A Dataset and a Comparison of Classification Methods for Valve Plate Fault Prediction of Piston Pump
Abstract
1. Introduction
- Introducing a dataset representing real measurements of the valve plate failures in different damage conditions
- Performing a broad comparison of various machine learning classifiers for prediction of the state of the valve plate
- Analysis of the feature importance of the best prediction model in order to verify knowledge extracted by the model
- Analysis of the model’s sensitivity to the uncertainty of sensor measurements or other noise sources.
2. Related Work
3. The Dataset
3.1. Data Collection Process
- displacement: 45 cm3/rev.
- max. continuous pressure: 280 bar
- peak pressure: 350 bar
- suction line: temperature of the oil
- the output line of the pump: pressure, temperature and flow
- leak line: pressure, temperature and flow
3.2. Data Preprocessing and Forming the Training and Test Set
4. The Experiments
4.1. Models Used for Evaluation
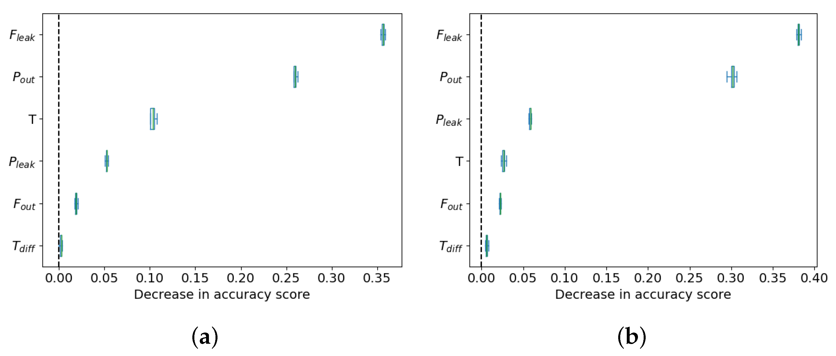
4.2. Feature Importance Analysis
4.3. Model Sensitivity Analysis
4.4. Model Evaluation Procedure
5. Results
5.1. Model Selection
5.2. Feature Importance Analysis
5.3. Model Sensitivity
6. Conclusions
- three classification datasets were developed which represent three levels of valve plate damage,
- the best performance out of the evaluated models was obtained by a neural network consisting of two hidden layers containing 100 and 10 neurons, respectively,
- the system’s accuracy depends on the level of damage,
- the most important attributes are the flow in the leak line, the system output pressure, the pressure on the leak line and the temperature,
- the system performance starts to be sensitive to the input parameters when the level of noise in the input data is higher than .
Author Contributions
Funding
Institutional Review Board Statement
Informed Consent Statement
Data Availability Statement
Conflicts of Interest
Abbreviations
| kNN | k-nearest neighbors |
| GBT | gradient boosted trees |
| RF | random forest |
| MLP | multi-layer perceptron |
| ML | Machine Learning |
| CNN | convolutional neural networks |
| ARIMA | auto-regressive integrated moving-average |
| SVM | support vector machine |
| LSSVM | least squares support vector machine |
| PCA | principal component analysis |
| ANN | artificial neural network |
| BO | Bayesian optimization |
| DT | decision tree |
| EWT | empirical wavelet transform |
| MCPF | monotonicity-constrained particle filtering |
| MAAKR | modified auto-associative kernel regression |
| RBFNN | regularized radial basis function neural network |
| RUL | remaining useful life |
References
- Carvalho, T.P.; Soares, F.A.; Vita, R.; Francisco, R.d.P.; Basto, J.P.; Alcalá, S.G. A systematic literature review of machine learning methods applied to predictive maintenance. Comput. Ind. Eng. 2019, 137, 106024. [Google Scholar] [CrossRef]
- Jędrzykiewicz, Z.; Stojek, J.; Rosikowski, P. Napęd i Sterowanie Hydrostatyczne; Wydawnictwo Akademii Górniczo-Hutniczej: Krakow, Poland, 2017. [Google Scholar]
- Blachnik, M.; Przyłucki, R.; Golak, S.; Ściegienka, P.; Wieczorek, T. On the development of a digital twin for underwater UXO detection using magnetometer-based data in application for the training set generation for machine learning models. Sensors 2023, 23, 6806. [Google Scholar] [CrossRef]
- Rivera, D.L.; Scholz, M.R.; Fritscher, M.; Krauss, M.; Schilling, K. Towards a predictive maintenance system of a hydraulic pump. IFAC-PapersOnLine 2018, 51, 447–452. [Google Scholar] [CrossRef]
- Breiman, L. Random forests. Mach. Learn. 2001, 45, 5–32. [Google Scholar] [CrossRef]
- Natekin, A.; Knoll, A. Gradient boosting machines, a tutorial. Front. Neurorobot. 2013, 7, 21. [Google Scholar] [CrossRef] [PubMed]
- Rodriguez, J.J.; Kuncheva, L.I.; Alonso, C.J. Rotation forest: A new classifier ensemble method. IEEE Trans. Pattern Anal. Mach. Intell. 2006, 28, 1619–1630. [Google Scholar] [CrossRef] [PubMed]
- Kordos, M.; Blachnik, M.; Strzempa, D. Do we need whatever more than k-NN? In Proceedings of the Artificial Intelligence and Soft Computing: 10th International Conference, ICAISC 2010, Zakopane, Poland, 13–17 June 2010; Part I 10. Springer: Berlin/Heidelberg, Germany, 2010; pp. 414–421. [Google Scholar]
- Bishop, C.M.; Bishop, H. Deep Learning: Foundations and Concepts; Springer Nature: Berlin/Heidelberg, Germany, 2023. [Google Scholar]
- Tang, S.; Zhu, Y.; Yuan, S. A novel adaptive convolutional neural network for fault diagnosis of hydraulic piston pump with acoustic images. Adv. Eng. Inform. 2022, 52, 101554. [Google Scholar] [CrossRef]
- Li, Z.; Jiang, W.; Zhang, S.; Xue, D.; Zhang, S. Research on prediction method of hydraulic pump remaining useful life based on KPCA and JITL. Appl. Sci. 2021, 11, 9389. [Google Scholar] [CrossRef]
- Guo, R.; Li, Y.; Zhao, L.; Zhao, J.; Gao, D. Remaining useful life prediction based on the Bayesian regularized radial basis function neural network for an external gear pump. IEEE Access 2020, 8, 107498–107509. [Google Scholar] [CrossRef]
- Yu, H.; Li, H. Pump remaining useful life prediction based on multi-source fusion and monotonicity-constrained particle filtering. Mech. Syst. Signal Process. 2022, 170, 108851. [Google Scholar] [CrossRef]
- Bykov, A.; Voronov, V.; Voronova, L. Machine learning methods applying for hydraulic system states classification. In Proceedings of the 2019 Systems of Signals Generating and Processing in the Field of on Board Communications, Moscow, Russia, 20–21 March 2019; pp. 1–4. [Google Scholar]
- Ding, Y.; Ma, L.; Wang, C.; Tao, L. An EWT-PCA and extreme learning machine based diagnosis approach for hydraulic pump. IFAC-PapersOnLine 2020, 53, 43–47. [Google Scholar] [CrossRef]
- Tang, S.; Zhu, Y.; Yuan, S. An improved convolutional neural network with an adaptable learning rate towards multi-signal fault diagnosis of hydraulic piston pump. Adv. Eng. Inform. 2021, 50, 101406. [Google Scholar] [CrossRef]
- Tang, S.; Khoo, B.C.; Zhu, Y.; Lim, K.M.; Yuan, S. A light deep adaptive framework toward fault diagnosis of a hydraulic piston pump. Appl. Acoust. 2024, 217, 109807. [Google Scholar] [CrossRef]
- Surucu, O.; Gadsden, S.A.; Yawney, J. Condition monitoring using machine learning: A review of theory, applications, and recent advances. Expert Syst. Appl. 2023, 221, 119738. [Google Scholar] [CrossRef]
- Sharma, A.K.; Punj, P.; Kumar, N.; Das, A.K.; Kumar, A. Lifetime prediction of a hydraulic pump using ARIMA model. Arab. J. Sci. Eng. 2024, 49, 1713–1725. [Google Scholar] [CrossRef]
- Buabeng, A.; Simons, A.; Frempong, N.K.; Ziggah, Y.Y. Hybrid intelligent predictive maintenance model for multiclass fault classification. In Soft Computing; Springer: Berlin/Heidelberg, Germany, 2023; pp. 1–22. [Google Scholar]
- Tang, S.; Zhu, Y.; Yuan, S. Intelligent fault diagnosis of hydraulic piston pump based on deep learning and Bayesian optimization. ISA Trans. 2022, 129, 555–563. [Google Scholar] [CrossRef]
- Shao, Y.; Chao, Q.; Xia, P.; Liu, C. Fault severity recognition in axial piston pumps using attention-based adversarial discriminative domain adaptation neural network. Phys. Scr. 2024, 99, 056009. [Google Scholar] [CrossRef]
- Konieczny, J.; Łatas, W.; Stojek, J. Application of analysis of variance to determine important features of signals for diagnostic classifiers of displacement pumps. Sci. Rep. 2024, 14, 6098. [Google Scholar] [CrossRef]
- ISO 3448:1992; Industrial liquid lubricants—ISO viscosity classification. ISO—International Organization for Standardization: Geneva, Switzerland, 1992.
- Blachnik, M.; Duch, W. LVQ algorithm with instance weighting for generation of prototype-based rules. Neural Netw. 2011, 24, 824–830. [Google Scholar] [CrossRef]
- Kolodner, J. Case-Based Reasoning; Morgan Kaufmann: Cambridge, MA, USA, 2014. [Google Scholar]
- Blachnik, M.; Kordos, M. Comparison of instance selection and construction methods with various classifiers. Appl. Sci. 2020, 10, 3933. [Google Scholar] [CrossRef]
- Nicodemus, K.K.; Malley, J.D.; Strobl, C.; Ziegler, A. The behaviour of random forest permutation-based variable importance measures under predictor correlation. BMC Bioinform. 2010, 11, 110. [Google Scholar] [CrossRef]
- Kaneko, H. Cross-validated permutation feature importance considering correlation between features. Anal. Sci. Adv. 2022, 3, 278–287. [Google Scholar] [CrossRef] [PubMed]
- Minghui, H.; Ya, H.; Xinzhi, L.; Ziyuan, L.; Jiang, Z.; Bo, M. Digital twin model of gas turbine and its application in warning of performance fault. Chin. J. Aeronaut. 2023, 36, 449–470. [Google Scholar]
- Tao, F.; Qi, Q. Make more digital twins. Nature 2019, 573, 490–491. [Google Scholar] [CrossRef] [PubMed]









| Pos. | Description | Symbol | Manufacturer |
|---|---|---|---|
| 1 | Temperature sensor Pt1000 150 °C | TA2105 | IFM, Germany |
| 2 | Pressure sensor −1…1 bar | PA3509 | IFM, Germany |
| 3 | Electric motor 37 kW | FCMP 225S-4/PHE | AC-Motoren, Germany |
| 4 | Temperature sensor Pt1000 150 °C | TA2105 | IFM, Germany |
| 5 | Pressure sensor 400 bar | PT5400 | IFM, Germany |
| 6 | Turbine flow meter | PPC-04/12-SFM-015 | Stauff, Germany |
| 7 | Check valve | S8A1.0 | Ponar, Poland |
| 8 | Temperature sensor Pt1000 150 °C | TA2105 | IFM, Germany |
| 9 | Pressure sensor 10 bar | PT5404 | IFM, Germany |
| 10 | Piston pump | HSP10VO45DFR | Hydraut, Italy |
| 11 | Gear wheel flow meter | DZR-10155 | Kobold, Germany |
| 12 | Temperature sensor Pt1000 150 °C | TA2105 | IFM, Germany |
| 13 | Pressure sensor 10 bar | PT5404 | IFM, Germany |
| 14 | Hydraulic motor | F12 060 MF | Parker, USA |
| 15 | Torque meter | T22/1KNM | HBM, Germany |
| 16 | Electric motor 170 kW | LSRPM250ME1 | Emerson, USA |
| 17 | Filter | FS1 | Ponar, Poland |
| 18 | Pressure sensor 250 bar | PT5401 | IFM, Germany |
| 19 | Temperature sensor Pt1000 150 °C | TA2105 | IFM, Germany |
| Class Name | Number of Records | |
|---|---|---|
| 1 | No-fail | 2.7 + mln |
| 2 | Failure 1 | 2.3 + mln |
| 3 | Failure 2 | 770 + k |
| 4 | Failure 3 | 900 + k |
| Columns Name | Symbol | |
|---|---|---|
| 1 | Pressure—leak line | |
| 2 | Temperature—leak line | |
| 3 | Pressure—output | |
| 4 | Temperature—suction line | |
| 5 | Temperature—output | |
| 6 | Flow—leak line | |
| 7 | Flow—output | |
| 8 | Temp. diff |
| Class Name | Number of Records | |
|---|---|---|
| 1 | No-fail | 68,345 |
| 2 | Failure 1 | 47,207 |
| 3 | Failure 2 | 14,333 |
| 4 | Failure 3 | 16,472 |
| Failure 1 | 53,345 | 47,207 | 100,552 | 0.5305 | 0.4695 |
| Failure 2 | 15,000 | 14,333 | 29,333 | 0.5114 | 0.4886 |
| Failure 3 | 15,000 | 16,472 | 31,472 | 0.4766 | 0.5234 |
| Model | Param | Values |
|---|---|---|
| RandomForest | # trees | [t] |
| max depth | ||
| max features | [b] | |
| RotationForest | # trees | [t] |
| max depth | ||
| # featuressubset | [b] | |
| GradientBoostedTrees | # trees | [50, 100, 200, 300] [t] |
| max depth | ||
| learning rate | [b] | |
| kNN | k | [t] |
| voting | democratic/weighted [b] | |
| MLP | architecture | [(4,), (10,), (30,), (50,), (100,), (100,10)] [t] |
| # iter. | [100, 500, 1000] | |
| learning rate | [b] |
| LagModel | RandomForest | RotationForest | GradientBoostedTrees | kNN | MLP |
|---|---|---|---|---|---|
| 0 | 0.8442 | 0.8335 | 0.8455 | 0.8739 | 0.8868 |
| 1 | 0.8223 | 0.8224 | 0.8440 | 0.8742 | 0.8803 |
| 2 | 0.8180 | 0.8295 | 0.8429 | 0.8737 | 0.8865 |
| Failure 2 | Failure 3 | |
|---|---|---|
| MLP | 0.8016 | 0.9313 |
| 1.00 | −0.35 | 0.57 | −0.52 | −0.44 | 0.36 | 0.03 | 0.46 [t] | |
| −0.35 | 1.00 | 0.33 | 0.88 | 0.91 | 0.43 | 0.37 | −0.07 | |
| 0.57 | 0.33 | 1.00 | 0.05 | 0.17 | 0.79 | 0.26 | 0.47 | |
| −0.52 | 0.88 | 0.05 | 1.00 | 0.99 | 0.23 | 0.27 | −0.54 | |
| −0.44 | 0.91 | 0.17 | 0.99 | 1.00 | 0.32 | 0.30 | −0.47 | |
| 0.36 | 0.43 | 0.79 | 0.23 | 0.32 | 1.00 | 0.12 | 0.29 | |
| 0.03 | 0.37 | 0.26 | 0.27 | 0.30 | 0.12 | 1.00 | 0.10 | |
| 0.46 | −0.07 | 0.47 | −0.54 | −0.47 | 0.29 | 0.10 | 1.00 [b] |
| Pos. | Description | Symbol | Accuracy |
|---|---|---|---|
| 1 | Temperature sensor Pt1000 −50…150 C | TA2105 | 0.1% FS ± 3 K |
| 2 | Pressure sensor −1…1 bar | PA3509 | 0.8% FS |
| 3 | Pressure sensor 400 bar | PT5400 | 1.05% FS |
| 4 | Turbine flow meter 1…15 L/min | PPC-04/12-SFM-015 | 1% FS |
| 5 | Pressure sensor 10 bar | PT5404 | 1.05% FS |
| 6 | Gear wheel flow meter 1…250 L/min | DZR-1015 S25 | 0.3% FS |
| 7 | Torque meter 1 kNm | T22/1KNM | 0.5% FS |
| 8 | Pressure sensor 250 bar | PT5401 | 1.05% FS |
Disclaimer/Publisher’s Note: The statements, opinions and data contained in all publications are solely those of the individual author(s) and contributor(s) and not of MDPI and/or the editor(s). MDPI and/or the editor(s) disclaim responsibility for any injury to people or property resulting from any ideas, methods, instructions or products referred to in the content. |
© 2024 by the authors. Licensee MDPI, Basel, Switzerland. This article is an open access article distributed under the terms and conditions of the Creative Commons Attribution (CC BY) license (https://creativecommons.org/licenses/by/4.0/).
Share and Cite
Rojek, M.; Blachnik, M. A Dataset and a Comparison of Classification Methods for Valve Plate Fault Prediction of Piston Pump. Appl. Sci. 2024, 14, 7183. https://doi.org/10.3390/app14167183
Rojek M, Blachnik M. A Dataset and a Comparison of Classification Methods for Valve Plate Fault Prediction of Piston Pump. Applied Sciences. 2024; 14(16):7183. https://doi.org/10.3390/app14167183
Chicago/Turabian StyleRojek, Marcin, and Marcin Blachnik. 2024. "A Dataset and a Comparison of Classification Methods for Valve Plate Fault Prediction of Piston Pump" Applied Sciences 14, no. 16: 7183. https://doi.org/10.3390/app14167183
APA StyleRojek, M., & Blachnik, M. (2024). A Dataset and a Comparison of Classification Methods for Valve Plate Fault Prediction of Piston Pump. Applied Sciences, 14(16), 7183. https://doi.org/10.3390/app14167183

