Damage Identification of Plate Structures Based on a Non-Convex Approximate Robust Principal Component Analysis
Abstract
1. Introduction
2. Theoretical Aspects of Lamb Waves
2.1. Basic Propagation Theory of Lamb Waves
2.2. Basic Equations of Lamb Waves
2.3. Dispersion Curves of Lamb Waves
2.4. Physical Module and Control Equations of Finite Element Simulation
3. Theoretical Foundations
3.1. Fundamentals of the RPCA Algorithm
3.2. Augmented Lagrange Multiplier Method and Inexact Augmented Lagrange Multiplier Method
4. The Non-Convex Approximate RPCA Algorithm
4.1. The Non-Convex Approximation of Rank
- (1)
- ;
- (2)
- , ;
- (3)
- is unitary invariant, meaning that for any orthogonal matrix and , it holds that ;
- (4)
- For any matrix , it holds that , if and only if , .
4.2. The Non-Convex Penalty Function
4.3. Derivation of the Overall Formula for NCA-RPCA Algorithm
5. Damage Detection in Wavefield Images Based on NCA-RPCA Algorithm
5.1. Establishment of Lamb Wave Damage Model and Parameter Selection
5.1.1. Model Establishment
5.1.2. Simulation Parameter Configuration
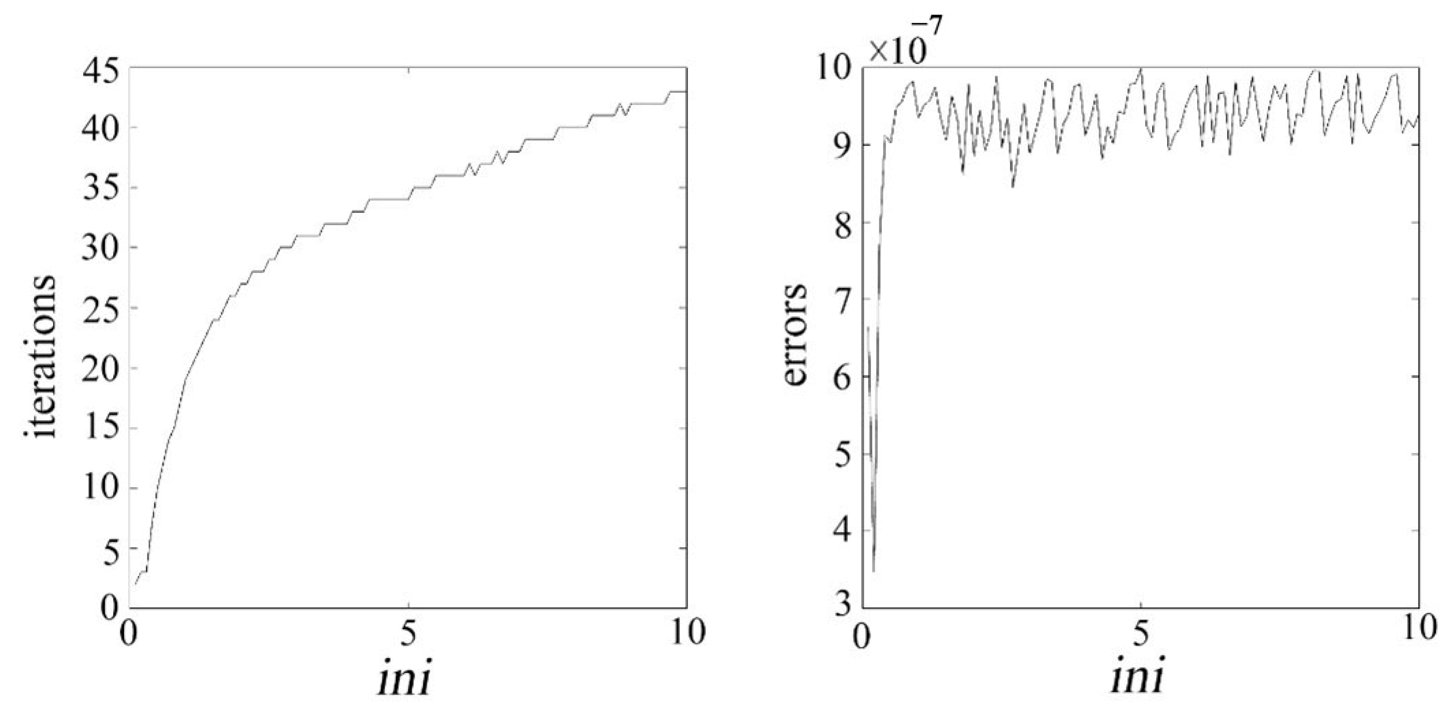
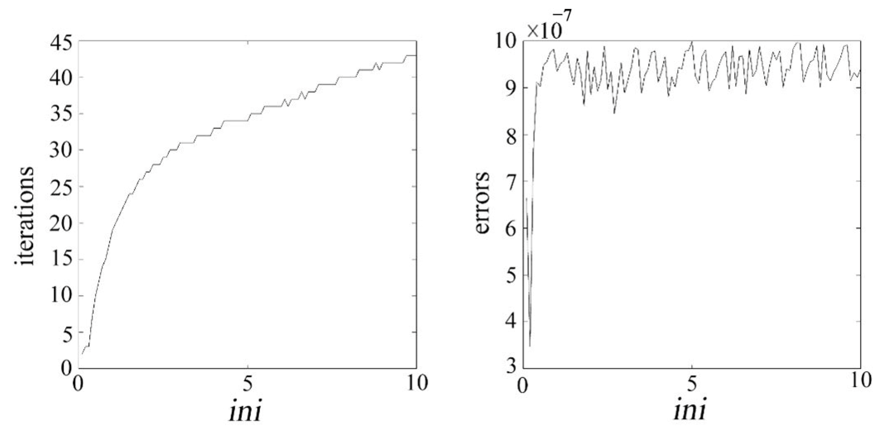
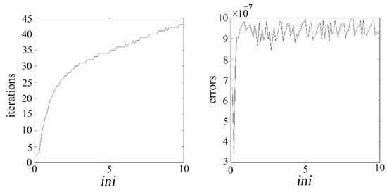
5.1.3. Algorithm Parameter Selection
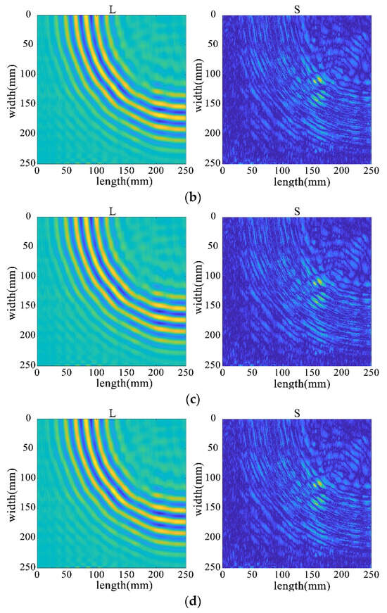
5.2. Wavefield Image Damage Identification of Single Defects Based on NCA-RPCA Algorithm
5.2.1. Defects in Intermediate Positions
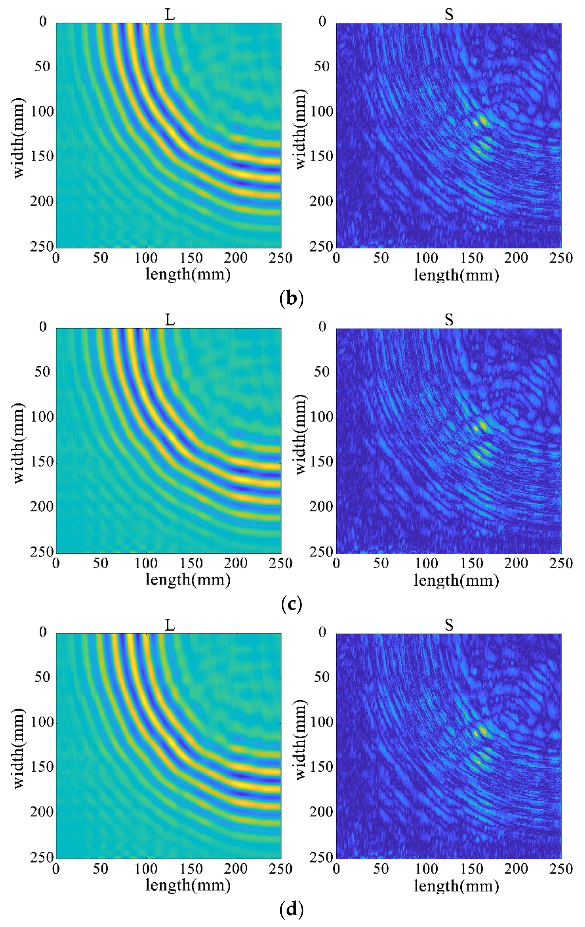
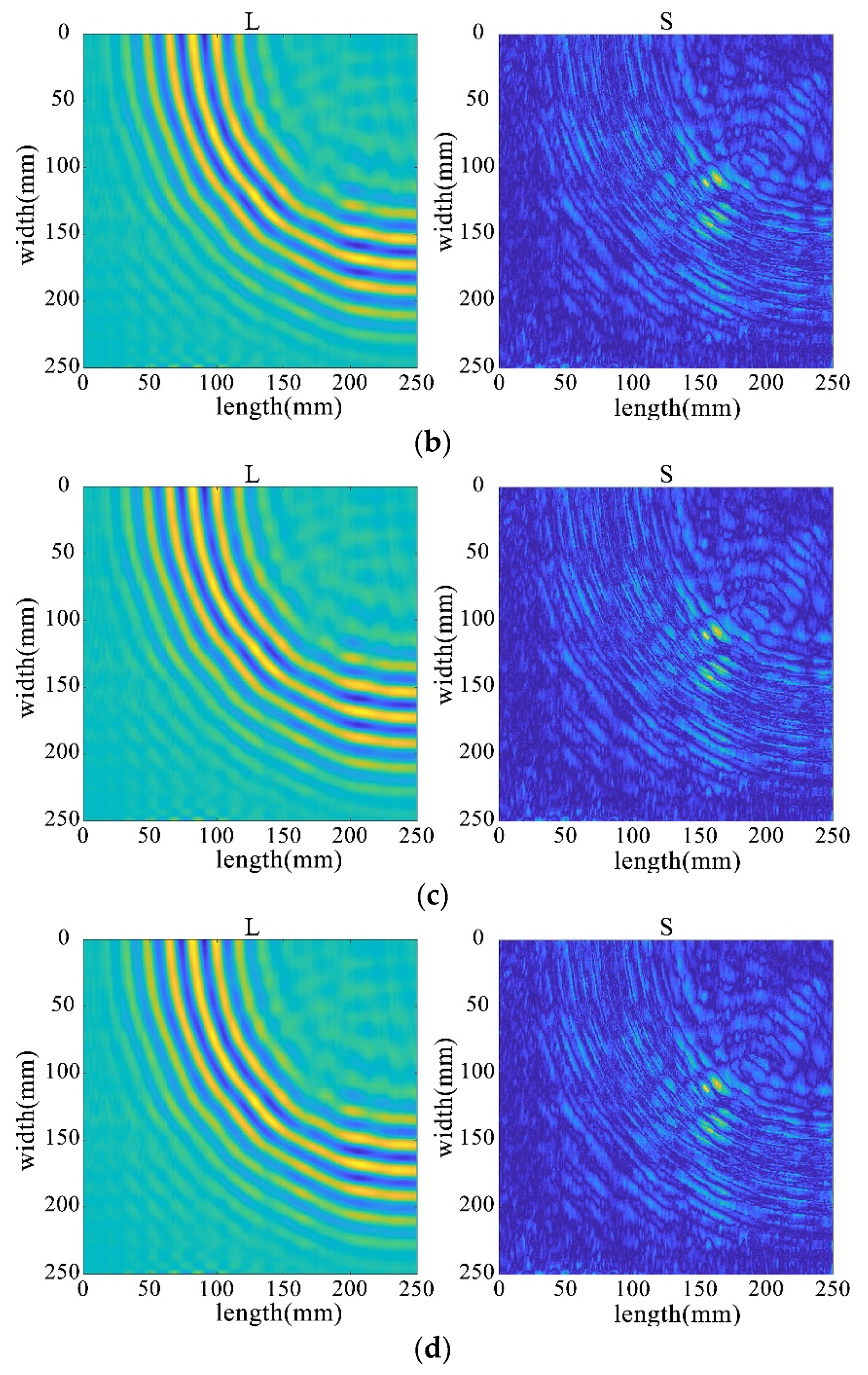
5.2.2. Defects at the Edge Positions
5.2.3. Wavefield Image Damage Identification of Multiple Defects Based on NCA-RPCA Algorithm
5.2.4. Comparison of Algorithms
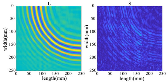
5.3. Experimental Verification of Wavefield
5.3.1. Experimental Configuration
5.3.2. Experimental Results and Analysis
6. Summary
6.1. Conclusions
6.2. Problem Analysis and Prospects
Author Contributions
Funding
Institutional Review Board Statement
Informed Consent Statement
Data Availability Statement
Conflicts of Interest
References
- Raghavan, A.; Cesnik, C.E.S. Review of guided-wave structural health monitoring. Shock. Vib. Dig. 2007, 39, 91–116. [Google Scholar] [CrossRef]
- Rose, J.L. A baseline and vision of ultrasonic guided wave inspection potential. J. Press. Vessel Technol. 2002, 124, 273–282. [Google Scholar] [CrossRef]
- Lowe, M.; Cawley, P. Long Range guided Wave Inspection Usage—Current Commercial Capabilities and Research Directions; Technical Report; Department of Mechanical Engineering, Imperial College London: London, UK, 2006; pp. 1–40. [Google Scholar]
- Mitra, M.; Gopalakrishnan, S. Smart Materials and Structures Guided wave based structural health monitoring: A review. Smart Mater. Struct. 2016, 27, 053001. [Google Scholar] [CrossRef]
- Boller, C.; Chang, F.-K.; Fujino, Y. Encyclopedia of Structural Health Monitoring; Wiley: Hoboken, NJ, USA, 2009. [Google Scholar]
- Chen, X.; Li, X.; Wang, S.; Yang, Z.; Chen, B.; He, Z. Composite damage detection based on redundant second-generation wavelet transform and fractal dimension tomography algorithm of Lamb wave. IEEE Trans. Instrum. Meas. 2013, 62, 1354–1363. [Google Scholar] [CrossRef]
- Li, X.; Yang, Z.; Zhang, H.; Du, Z.; Chen, X. Crack growth sparse pursuit for wind turbine blade. Smart Mater. Struct. 2014, 24, 015002. [Google Scholar] [CrossRef]
- Mesnil, O.; Yan, H.; Ruzzene, M.; Paynabar, K.; Shi, J. Fast wavenumber measurement for accurate and automatic location and quantifification of defect in composite. Struct. Health Monitor. 2016, 15, 223–234. [Google Scholar] [CrossRef]
- Staszewski, W.; Lee, B.C.; Traynor, R. Fatigue crack detection in metallic structures with Lamb waves and 3D laser vibrometry. Meas. Sci. Technol. 2007, 18, 727. [Google Scholar] [CrossRef]
- Sriram, P.; Craig, J.I.; Hanagud, S. Scanning laser Doppler techniques for vibration testing. Exp. Tech. 1992, 16, 21–26. [Google Scholar] [CrossRef]
- Xu, H.; Caramanis, C.; Sanghavi, S. Robust PCA via outlier pursuit. IEEE Trans. Inf. Theory 2012, 58, 3047–3064. [Google Scholar] [CrossRef]
- Nie, Z.; Guo, E.; Li, J.; Hao, H.; Ma, H.; Jiang, H. Bridge condition monitoring using fixed moving principal component analysis. Struct. Control Health Monit. 2020, 27, e2535. [Google Scholar] [CrossRef]
- Akintunde, E.; Azam, S.E.; Rageh, A.; Linzell, D. Full scale bridge damage detection using sparse sensor networks, principal component analysis, and novelty detection. Proceedings 2019, 42, 1. [Google Scholar] [CrossRef]
- Mújica, L.E.; Ruiz, M.; Pozo, F.; Rodellar, J.; Güemes, A. A structural damage detection indicator based on principal component analysis and statistical hypothesis testing. Smart Mater. Struct. 2013, 23, 025014. [Google Scholar] [CrossRef]
- Azim, M.R.; Gül, M. Data-driven damage identification technique for steel truss railroad bridges utilizing principal component analysis of strain response. Struct. Infrastruct. Eng. 2020, 17, 1019–1035. [Google Scholar] [CrossRef]
- Yang, P.; Hsieh, C.-J.; Wang, J.-L. History PCA: A new algorithm for streaming PCA. arXiv 2018, arXiv:1802.05447. [Google Scholar]
- Burrello, A.; Marchioni, A.; Brunelli, D.; Benatti, S.; Mangia, M.; Benini, L. Embedded streaming principal components analysis for network load reduction in structural health monitoring. IEEE Internet Things J. 2021, 8, 4433–4447. [Google Scholar] [CrossRef]
- Moallemi, A.; Burrello, A.; Brunelli, D.; Benini, L. Exploring Scalable, Distributed Real-Time Anomaly Detection for Bridge Health Monitoring. IEEE Internet Things J. 2022, 9, 17660–17674. [Google Scholar] [CrossRef]
- Flexa, C.; Gomes, W.; Sales, C. Data Normalization in Structural Health Monitoring by Means of Nonlinear Filtering. In Proceedings of the 2019 8th Brazilian Conference on Intelligent Systems (BRACIS), Salvador, Brazil, 15–18 October 2019; pp. 204–209. [Google Scholar]
- Anaya, M.; Tibaduiza, D.A.; Forero, E.; Castro, R.; Pozo, F. An acousto-ultrasonics pattern recognition approach for damage detection in wind turbine structures. In Proceedings of the 2015 20th Symposium on Signal Processing, Images and Computer Vision (STSIVA), Bogota, Colombia, 2–4 September 2015; pp. 1–5. [Google Scholar]
- Garcia-Sanchez, D.; Fernandez-Navamuel, A.; Sánchez, D.Z.; Alvear, D.; Pardo, D. Bearing assessment tool for longitudinal bridge excellence. J. Civ. Struct. Health Monit. 2020, 10, 1023–1036. [Google Scholar] [CrossRef]
- Calderano, P.; De Marins, D.B.; Ayala, H. A comparison of Feature Extraction Methods for Crack and Ice Monitoring in Wind Turbine Blades: System Identification and Matrix Decomposition. In Proceedings of the 2022 30th Mediterranean Conference on Control and Automation (MED), Vouliagmeni, Greece, 28 June–1 July 2022; pp. 779–784. [Google Scholar]
- Candès, J.; Li, X.; Ma, Y.; Wright, J. Robust principal component analysis? J. ACM 2011, 58, 11. [Google Scholar] [CrossRef]
- Ma, S.; Aybat, N.S. Efficient optimization algorithms for robust principal component analysis and its variants. Proc. IEEE 2018, 106, 1411–1426. [Google Scholar] [CrossRef]
- Chen, Y.; Wang, Y.; Li, M.; He, G. Augmented lagrangian alternating direction method for low-rank minimization via non-convex approximation. Signal Image Video Process. 2017, 11, 1271–1278. [Google Scholar] [CrossRef]
- Balcan, M.; Liang, Y.; Song, Z.; Woodruff, D.; Zhang, H. Non-convex matrix completion and related problems via strong duality. J. Mach. Learn. Res. 2019, 20, 1–56. [Google Scholar]
- Yang, Z.; Fan, L.; Yang, Y.; Yang, Z.; Gui, G. Generalized singular value thresholding operator based nonconvex low-rank and sparse decomposition for moving object detection. J. Frankl. Inst. 2019, 356, 10138–10154. [Google Scholar] [CrossRef]
- Wen, F.; Ying, R.; Liu, P.; Truong, T.-K. Nonconvex regularized robust PCA using the proximal block coordinate descent algorithm. IEEE Trans. Signal Process. 2019, 67, 5402–5416. [Google Scholar] [CrossRef]
- Kang, Z.; Peng, C.; Cheng, Q. Robust PCA via nonconvex rank approximation. In Proceedings of the IEEE International Conference on Data Mining, Atlantic City, NJ, USA, 14–17 November 2015; pp. 211–220. [Google Scholar]
- Li, X.; Ding, S.; Tan, B. Accurate defect detection in thin-wall structures with transducer networks via outlier elimination. IEEE Sens. J. 2018, 18, 9619–9628. [Google Scholar] [CrossRef]
- Dong, Y.; Wang, J.; Li, C.; Liu, Z.; Xi, J. Fusing multilevel deep features for fabric defect detection based NTV-RPCA. IEEE Access 2020, 8, 161872–161883. [Google Scholar] [CrossRef]
- Ebrahimi, S.; Fleuret, J.; Klein, M.; Théroux, L.-D.; Georges, M.; Ibarra-Castanedo, C.; Maldague, X. Robust Principal Component Thermography for Defect Detection in Composites. Sensors 2021, 21, 2682. [Google Scholar] [CrossRef]
- Wang, J.; Xu, G.; Li, C.; Wang, Z.; Yan, F. Surface defects detection using non-convex total variation regularized RPCA with kernelization. IEEE Trans. Instrum. Meas. 2021, 70, 5007013. [Google Scholar] [CrossRef]
- Wang, F.; Wang, L.; Wen, Y.; Ha, F.; Lu, J.; Jiao, W. Intelligent Diesel Engine Fault Diagnosis Method Based on Time-Frequency-Nonconvex Robust Principal Component Analysis. In Proceedings of the ICSMD, Harbin, China, 30 November–2 December 2022; pp. 1–5. [Google Scholar]
- Ning, W.; Wang, Y. Propagation of Lamb waves in three-layered solid composite media. Acta Acust. 1996, 21, 414–420. [Google Scholar]
- ElTantawy, A.; Shehata, M.S. KRMARO: Aerial detection of small-size ground moving objects using kinematic regularization and matrix rank optimization. IEEE Trans. Circuits Syst. Video Technol. 2018, 29, 1672–1686. [Google Scholar] [CrossRef]
- Bertsekas, D.P. Constrained Optimization and Lagrange Multiplier Methods; Academic Press: Cambridge, MA, USA, 2014. [Google Scholar]
- Zhang, S.; Zhao, J. Through-wall radar imaging algorithm based on IALM. J. Comput. Eng. Appl. 2021, 57, 77–83. [Google Scholar]
- Gasso, G.; Rakotomamonjy, A.; Canu, S. Recovering sparse signals with a certain family of nonconvex penalties and DC programming. IEEE Trans. Signal Process. 2009, 57, 4686–4698. [Google Scholar] [CrossRef]
- Mei, X.; Ma, Y.; Fan, F.; Li, C.; Liu, C.; Huang, J.; Ma, J. Infrared ultraspectral signature classification based on a restricted Boltzmann machine with sparse and prior constraints. Int. J. Remote Sens. 2015, 36, 4724–4747. [Google Scholar] [CrossRef]
- Gao, C.; Wang, N.; Yu, Q.; Zhang, Z. A feasible nonconvex relaxation approach to feature selection. Proc. AAAI Conf. Artif. Intell. 2011, 25, 356–361. [Google Scholar] [CrossRef]
- Li, F.R. Variable Selection via Nonconcave Penalized Likelihood and its Oracle Properties. Publ. Am. Stat. Assoc. 2001, 96, 1348–1360. [Google Scholar]
- Donoho, D.L. De-noising by soft-thresholding. IEEE Trans. Inf. Theory 1995, 41, 613–627. [Google Scholar] [CrossRef]
- Hindmarsh, A.C.; Brown, P.N.; Grant, K.E.; Lee, S.L.; Serban, R.; Shumaker, D.E.; Woodward, C.S. SUNDIALS: Suite of nonlinear and differential/algebraic equation solvers. ACM Trans. Math. Softw. 2005, 31, 363–396. [Google Scholar] [CrossRef]
- Moser, F.; Jacobs, L.J.; Qu, J. Modeling elastic wave propagation in waveguides with the finite element method. NDT E Int. 1999, 32, 225–234. [Google Scholar] [CrossRef]
- Moll, J.; Kathol, J.; Fritzen, C.P.; Moix-Bonet, M.; Rennoch, M.; Koerdt, M.; Herrmann, A.S.; Sause, M.G.; Bach, M. Open Guided Waves-Online Platform for Ultrasonic Guided Wave Measurements. Struct. Health Monit. 2018, 18, 1903–1914. [Google Scholar] [CrossRef]
- ISO 527-5:2009; Determination of Tensile Properties—Part 5: Test Conditions for Unidirectional Fiber-Reinforced Plastic Composites. ISO: Geneva, Switzerland, 2009. Available online: https://scholar.google.com/scholar_lookup?title=Determination+of+Tensile+Properties%E2%80%94Part+5:+Test+Conditions+for+Unidirectional+Fiber-Reinforced+Plastic+Composites&author=ISO+527-5:2009&publication_year=2009 (accessed on 10 May 2024).
- ISO 14129:1997; Fibre-Reinforced Plastic Composites—Determination of the In-Plane Shear Stress/Shear Strain Response, Including the In-Plane Shear Modulus and Strength, by the Plus or Minus 45 Degree Tension Test Method. International Organization for Standardization: Geneva, Switzerland, 1997. Available online: https://www.iso.org/standard/23641.html (accessed on 10 May 2024).







































| Penalty | ||
|---|---|---|
| Structure | Poisson Ratio | ||||
|---|---|---|---|---|---|
| 3D aluminum plate | 2778 | 71.7 | 0.33 | 1 | 27 |
| Algorithm Name | Intermediate Damage | Edge Damage | Two Damages | Three Damages |
|---|---|---|---|---|
| IALM | 434.39 s | 263.21 s | 308.38 s | 225.96 s |
| APG | 21.10 s | 21.93 s | 24.30 s | 25.38 s |
| RPCA-GD | 9.85 s | 12.56 s | 16.78 s | 16.71 s |
| NCA-RPCA (ARCTAN) | 0.80 s | 0.86 s | 0.85 s | 0.85 s |
| NCA-RPCA (ETP) | 0.82 s | 0.82 s | 0.84 s | 0.84 s |
| NCA-RPCA (Log) | 1.44 s | 1.10 s | 0.87 s | 0.85 s |
| NCA-RPCA (SCAD) | 0.85 s | 0.85 s | 0.87 s | 0.89 s |
| Algorithm Name | The Rank of the Low-Rank Matrix | Error | The Number of Iterations |
|---|---|---|---|
| IALM | 21 | 9.99 × 10−7 | 1033 |
| APG | 19 | 4.76 × 10−6 | 100 |
| RPCA-GD | 15 | 1.68 × 10−8 | 64 |
| NCA-RPCA (ARCTAN) | 4 | 9.62 × 10−11 | 2 |
| NCA-RPCA (ETP) | 4 | 4.07 × 10−8 | 2 |
| NCA-RPCA (Log) | 4 | 1.75 × 10−10 | 3 |
| NCA-RPCA (SCAD) | 4 | 9.07 × 10−9 | 2 |
| Physical Quantity | Measured Value | Test Standards |
|---|---|---|
| DIN EN ISO 527-5 [47] | ||
| DIN EN ISO 527-5 [47] | ||
| EN ISO 14129 [48] | ||
| DIN EN ISO 527-5 [47] | ||
| DIN EN ISO 527-5 [47] | ||
| - |
| Algorithm Name | The Rank of the Low-Rank Matrix | Error | The Number of Iterations | Processing Time(s) |
|---|---|---|---|---|
| IALM | 27 | 9.94 × 10−7 | 602 | 149.34 |
| APG | 26 | 1.10 × 10−6 | 120 | 24.80 |
| RPCA-GD | 19 | 8.64 × 10−8 | 58 | 16.78 |
| NCA-RPCA (ARCTAN) | 7 | 1.06 × 10−10 | 2 | 0.83 |
| NCA-RPCA (ETP) | 7 | 1.78 × 10−8 | 2 | 0.83 |
| NCA-RPCA (Log) | 7 | 1.24 × 10−9 | 3 | 1.53 |
| NCA-RPCA (SCAD) | 7 | 6.89 × 10−11 | 2 | 0.86 |
Disclaimer/Publisher’s Note: The statements, opinions and data contained in all publications are solely those of the individual author(s) and contributor(s) and not of MDPI and/or the editor(s). MDPI and/or the editor(s) disclaim responsibility for any injury to people or property resulting from any ideas, methods, instructions or products referred to in the content. |
© 2024 by the authors. Licensee MDPI, Basel, Switzerland. This article is an open access article distributed under the terms and conditions of the Creative Commons Attribution (CC BY) license (https://creativecommons.org/licenses/by/4.0/).
Share and Cite
Liang, D.; Zhang, Y.; Jiang, X.; Yin, L.; Li, A.; Shen, G. Damage Identification of Plate Structures Based on a Non-Convex Approximate Robust Principal Component Analysis. Appl. Sci. 2024, 14, 7076. https://doi.org/10.3390/app14167076
Liang D, Zhang Y, Jiang X, Yin L, Li A, Shen G. Damage Identification of Plate Structures Based on a Non-Convex Approximate Robust Principal Component Analysis. Applied Sciences. 2024; 14(16):7076. https://doi.org/10.3390/app14167076
Chicago/Turabian StyleLiang, Dong, Yarong Zhang, Xueping Jiang, Li Yin, Ang Li, and Guanyu Shen. 2024. "Damage Identification of Plate Structures Based on a Non-Convex Approximate Robust Principal Component Analysis" Applied Sciences 14, no. 16: 7076. https://doi.org/10.3390/app14167076
APA StyleLiang, D., Zhang, Y., Jiang, X., Yin, L., Li, A., & Shen, G. (2024). Damage Identification of Plate Structures Based on a Non-Convex Approximate Robust Principal Component Analysis. Applied Sciences, 14(16), 7076. https://doi.org/10.3390/app14167076
