Abstract
In low-dose cone beam computed tomography (CT), the insufficient number of photons inevitably results in noise, which reduces the accuracy of disease diagnosis. One approach to improving the image quality of CT images acquired using a low-dose protocol involves the utilization of a reconstruction algorithm that efficiently reduces noise. In this study, we modeled the Feldkamp–Davis–Kress (FDK) algorithm using various filters and projection angles and applied it to the reconstruction process using CT simulation. To quantitatively evaluate the quality of the reconstruction images, we measured the coefficient of variation (COV), and signal-to-noise ratio (SNR) in the air, brain, and bone regions to evaluate the noise level. Furthermore, we calculated root mean square error (RMSE), universal image quality index (UQI), and blind/referenceless image spatial quality evaluator (BRISQUE) as similarity and no-reference evaluation. The Hann filter of the FDK algorithm showed superior performance in terms of COV, SNR, RMSE, and UQI compared to the other filters. In addition, when analyzing the COV and SNR results, we observed that image quality increased significantly at projection angles smaller than approximately 2.8°. Moreover, based on BRISQUE results, we confirm that the Shepp–Logan filter exhibited the most superior performance. In conclusion, we believe that the application of the Hann filter in the FDK reconstruction process offers significant advantages in improving the image quality acquired under a low-dose protocol, and we expect that our study will be a preliminary study of no-reference evaluation of CT reconstruction images.
1. Introduction
Recently, cone beam computed tomography (CBCT) has been used for various purposes, such as guiding radiation therapy and breast imaging [1,2]. CBCT serves as an alternative to conventional computed tomography (CT) using a fan beam or spiral CT, allowing faster acquisition of the entire field of view (FOV) dataset and reduced examination time. Owing to its advantages of three-dimensional (3D) image reconstruction and high-resolution anatomical information, CBCT is widely used in the field of medical imaging [3,4]. However, there have been some issues with radiation dose to patients due to repeated CBCT scans during radiation therapy [5,6]. An efficient approach for reducing the CBCT dose involves obtaining projection data using a low-dose protocol [7,8]. However, the CBCT images acquired using low-dose protocols have a significant degradation in image quality because of the increase in X-ray quantum noise, which can decrease the accuracy of diagnosis [9].
Therefore, to address these issues, many studies have been conducted to improve the quality of CBCT images acquired using a low-dose protocol [10,11]. Among them, image quality improvement research based on CBCT reconstruction algorithms has been actively conducted, and various algorithms have been developed. One of the early proposed CBCT reconstruction algorithms, the Feldkamp–Davis–Kress (FDK) algorithm, operates based on statistical principles and has been widely used in the past decades. The FDK algorithm aims to estimate the true line integral from the CBCT by minimizing an objective function derived from the statistical properties of the noise in the projection data. The FDK algorithm, which reconstructs the image through filtering and back-projection, is used for most CBCT and has shown promising results in reducing noise in low-dose CBCT. The FDK algorithm can easily be implemented with currently available hardware and is widely used as an efficient method for producing practical images for various applications [12,13,14].
Parameter selection in the reconstruction process of the FDK algorithm significantly influences the quality of the CBCT reconstruction image. Therefore, evaluating and analyzing the parameter selection and the resulting effects on image quality in reconstruction can significantly improve the quality of CBCT reconstruction images [15,16]. Previous studies have evaluated the effects of various parameters in the FDK algorithm on the quality of CBCT reconstruction images and analyzed the characteristics and relationships between image noise and spatial resolution [17]. However, studies that include image similarity evaluation and no-reference evaluation according to changes in CBCT reconstruction parameters are lacking [18,19]. Therefore, the purpose of this study was to evaluate the effect of the filter and projection angle on CBCT reconstruction image quality, and to quantitatively evaluate the image quality according to the parameters of FDK reconstruction by conducting image noise, similarity, and no-reference evaluations.
2. Materials and Methods
2.1. Image Reconstruction
The FDK reconstruction algorithm was used because of its simple implementation and low computational requirements [20,21]. The FDK algorithm is one of the most referenced methods and a widely used approximation for CBCT reconstruction using circular trajectories. Based on a filtered backprojection method, the FDK reconstruction algorithm provides the flexibility to work with incomplete scan positions while maintaining high computational efficiency. The reconstruction image is generated by initially applying geometric coefficients to weight the projection data, thereby generating a weighted projection function. Subsequently, the weighted projection data is convolved with a selected filter , and the filtered data is finally backprojected at various angles using the formula outlined in Equation (1):
where is the projection data of an object obtained at angle , and is the distance from the source to the detector. The filter is applied using a one-dimensional (1D) method along a line parallel to the source trajectory plane within the detector plane.
The most appropriate method for studying CT image reconstruction algorithms is to acquire human body images using actual CT equipment. However, there are many limitations to the use of this approach based on research ethics. Therefore, we used the tomographic iterative graphics processing unit–based reconstruction toolbox (TIGRE), which is a CBCT simulation program. TIGRE, the CT simulation tool used in this study, enables users to customize various parameters, such as projection angle, geometry, and phantom, and enables simulated repeated acquisition of images under customized conditions [22]. Therefore, to reconstruct the CBCT images, we used the head phantom included in TIGRE, an open-source program for reconstructing 3D images from projection data. The default head phantom in the TIGRE program is based on a standard brain model and was created to simulate the artifacts and noise that can occur during a CT scan. The CBCT system employed in the simulation features a 512 512 matrix virtual detector with each pixel set to 0.8 mm. The distance from the source to the detector was set to 1536 mm, and distance from the source to the origin was set to 1000 mm. The size of the reconstructed image was set to 256 256 256 mm (the voxels were 512 512 512) to obtain 512 slices in the z-axis direction, as shown in Figure 1. In the process of acquiring reconstructed images, Gaussian noise with a mean of 0 and a standard deviation of 0.5 was added to the projection data acquired through the head phantom using the addnoise function built into the TIGRE program to replicate the noise environment under low-dose protocol during actual CT scans [23,24]. For similarity evaluation, we additionally acquired projection data without Gaussian noise to obtain reconstructed images under identical conditions. Subsequently, we evaluated the variations in the quality of the reconstructed images using different projection angles and reconstruction filters, which are parameters of the FDK algorithm.
Figure 1.
Slice selection in the cone beam computed tomography (CBCT) reconstruction image.
2.2. Reconstruction Parameters
The projection data using the simulation program was reconstructed with various filters, including Ram–Lak, Shepp–Logan, Cosine, Hamming, and Hann filters [17]. These filters were formulated based on the window required to adjust an ideal ramp filter in the frequency domain:
where is the spatial frequency, and is defined separately for each filter:
Various numbers of projections were used for a 360° circular scan to reconstruct the images, to evaluate the effects of the number of projections and different filters on image quality. For a circular scan of 360°, projection data was acquired at angular increments of 0.4°, ranging from 0.4° to 6.0°. The size of the reconstructed images was constant because the reconstruction was performed with a constant FOV.
2.3. Image Quality Evaluations
To quantitatively evaluate the image quality according to the projection angle and filter changes in the FDK algorithm, we calculated the coefficient of variation (COV), signal to noise ratio (SNR), root mean square error (RMSE), universal image quality index (UQI), and blind/referenceless image spatial quality evaluator (BRISQUE) [25,26,27,28,29]. We used MATLAB (ver. 2023a; MATHWORKS, Boston, MA, USA) to calculate the quantitative evaluation factors. We selected the 170th slice from the reconstructed 3D volume data, ensuring that it included the air, brain, and bone regions, to measure various quantitative evaluation metrics based on selected 2D images. Figure 2A shows the regions of interest (ROIs), indicating the material regions, including air, brain, and bone, for noise level evaluation in yellow boxes. The red box indicates the magnified region for visual evaluation in Figure 2A, and Figure 2B shows a reference image for similarity evaluation.
Figure 2.
(A) Acquired image with regions of interest (ROIs) for noise evaluation and (B) reference image for similarity evaluation.
To evaluate the noise level in the reconstructed image based on the filters and projection angle, ROIs were set in the air, brain, and bone regions to calculate the COV and SNR. The COV is useful for comparing the degree of change between different sets of data, even when their means are different, and is defined as the ratio of the standard deviation to the mean value (Equation (8)). SNR is the signal intensity of the region of interest compared to the noise signal, indicating the relative magnitude of the signal, where and represent the mean and standard deviation of the region of interest (Equation (9)):
The standard deviation and mean value for each ROI were calculated from a 20 20 matrix size for air, brain, and bone in the phantom image (Figure 2).
To evaluate the similarity of the FDK reconstruction algorithm using various filters and projection angles, we acquired reconstructed images of noise-free projection data scanned at a projection angle of 0.01°, the minimum angle possible for simulation program, as a reference image. We used the Hann filter as the reconstruction filter, which has demonstrated superior performance in noise level evaluations in previous studies [17]. The RMSE and UQI of the acquired reference and noisy reconstructed images were calculated. A smaller RMSE value indicates less error between the original and reference images, and a UQI value closer to 1.00 signifies a higher similarity in the intensity of the two image signals.
where and represent the reference and comparison images, respectively, and represents the number of pixels in the image. The mean luminance values are represented by and , and represents the covariance between the two images.
We used BRISQUE—an algorithm that evaluates the spatial quality of an image without a reference image—as the blind quality assessment method. BRISQUE measures the level of distortion by analyzing image quality characteristics related to visual perception. BRISQUE can identify spatial quality issues such as noise and blur, and considers the relationship between recognizability and subjective quality, with a lower value indicating higher image quality [29,30].
3. Results
3.1. Visual Evaluation
We conducted a visual evaluation to compare the image quality of the brain region in images reconstructed using various filters and projection angles. Figure 3 shows the results of the FDK reconstruction algorithm using various filters and projection angles with added Gaussian noise with a standard deviation of 0.5. We observed that as the projection angle increased, streak artifacts were enhanced in the brain region. Moreover, we found that a projection angle of 1.2° was the most effective for noise reduction without generating streak artifacts. Of the five filters used in the FDK reconstruction, the Ram–Lak filter exhibited the highest noise level, while the Hann filter was the most effective for noise reduction.
Figure 3.
Magnified region of the CBCT image outlined in the red box in Figure 2A reconstructed using various filters of the Feldkamp–David–Kress (FDK) algorithm with various projection angles.
3.2. Noise Level Evaluation Results
To evaluate the noise level of the reconstructed images for different FDK algorithm parameters, we acquired reconstructed images with various projection angles and filters. The projection angle was increased from 0.4° to 6.0° in increments of 0.4°, and reconstructed images were acquired using Ram–Lak, Shepp–Logan, Cosine, Hamming, and Hann filters to evaluate the noise level in the reconstructed images according to the filter used.
For noise evaluation of the head phantom, we measured the COV and SNR in ROIs with a matrix size of 20 20 at the 170th slice along the z-axis. The ROIs were located in the air, brain, and bone regions. On average, the lowest COV was observed in the brain region among the three ROIs, followed by the bone and air regions (Figure 4). Superior values were found in the following order based on the filter applied in the three ROIs: Hann, Hamming, Cosine, Shepp–Logan, and Ram–Lak. The performance of the most improved Hann filter was measured as a minimum of 0.49 and a maximum of 0.53 in the air region, a minimum of 0.16 and a maximum of 0.21 in the brain region, and a minimum of 0.28 and a maximum of 0.33 in the bone region. On average, the brain exhibited the highest SNR among the three ROIs (Figure 5). In addition, similar to the COV, the image quality improved in the order of brain, bone, and air, and all three ROIs showed superior values in the order of Hann, Hamming, Cosine, Shepp–Logan, and Ram–Lak. The Hann filter exhibited the best performance in the air region, with a minimum of 1.97 and a maximum of 2.04; followed by the brain region, with a minimum of 5.23 and a maximum of 6.08; and, finally, the bone region, with a minimum of 2.95 and a maximum of 3.53. The COV and SNR results for various filters and projection angles are shown in Figure 4 and Figure 5, respectively.
Figure 4.
Coefficient of variation for (A) air, (B) brain, and (C) bone in the simulation study.
Figure 5.
Signal to noise ratio for (A) air, (B) brain, and (C) bone in the simulation study.
3.3. Similarity Evaluation Results
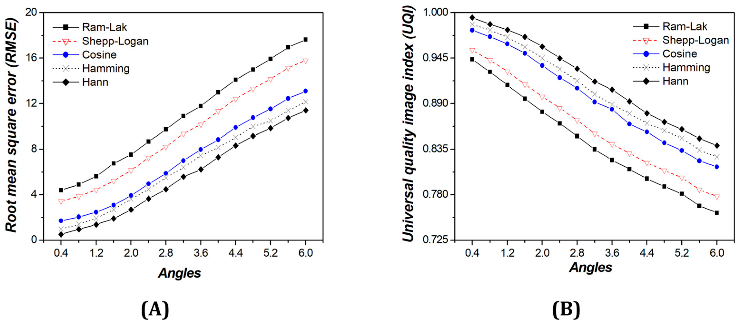
RMSE and UQI were evaluated to assess the degree of noise and similarity of the overall image. Both the RMSE and UQI gradually deteriorated as the projection angle increased from 0.4° to 1.2° and degraded more rapidly for projection angles above approximately 1.2° (Figure 6). In addition, both evaluation factors exhibited ideal image characteristics in the same order as the noise evaluation results: Hann, Hamming, Cosine, Shepp–Logan, and Ram–Lak.
Figure 6.
(A) Root mean square error and (B) universal quality image index in the simulation study.
3.4. No-Reference Evaluation Results
Figure 7 shows the calculated BRISQUE, a blind quality assessment of five reconstruction filters, at a projection angle of 1.2°. At a projection angle of 1.2°, the BRISQUE value was approximately 35.55, 35.03, 42.90, 45.66, and 48.89 for the Ram–Lak, Shepp–Logan, Cosine, Hamming, and Hann filters, respectively. Based on the graph analysis, the Ram–Lak filter, which had the lowest performance in terms of noise and similarity evaluation results, showed the greatest improvement. Conversely, the Hann filter, which exhibited the best performance in the noise and similarity evaluation results, exhibited the lowest performance in the no-reference evaluation results.
Figure 7.
Blind/referenceless image spatial quality evaluator (BRISQUE) at a projection angle of 1.2° for comparative evaluation of FDK reconstruction filters.
4. Discussion
In the field of radiology, CBCT has been widely used in medical imaging because of its advantages, including reduced examination time, 3D image reconstruction, and high-resolution anatomical information [31,32]. Recently, considering the excessive radiation dose of CBCT, low-dose CBCT has been proposed, however, noise is generated because of the insufficient number of photons, and to solve this issue, reconstruction of CBCT has been actively conducted [33,34,35,36].
One of the most widely used CBCT reconstruction algorithms, the FDK algorithm, has been shown, in many studies, to provide superior reconstruction results even when degraded by noise [37,38,39]. In addition, adjusting the parameters of the FDK algorithm can improve the quality of the reconstructed images. Therefore, this study focused on the FDK algorithm and evaluated the image quality of simulated reconstruction images by adjusting the parameters of the FDK algorithm. Although many previous studies have evaluated the image quality of the FDK algorithm, few have combined noise, similarity, and no-reference evaluations of reconstruction images, and few have evaluated the tendencies of different tissues or materials [17,40,41].
Therefore, in this simulation study, we aimed to quantitatively evaluate the image quality of the images reconstructed using the FDK algorithm according to the projection angle and filter applied through noise evaluation, similarity evaluation, and no-reference evaluation factors.
From the visual comparative evaluation shown in Figure 3, we found that noise remained when the Ram–Lak filter was applied. Moreover, we observed that noise was significantly enhanced as the projection angle increased. Based on these visual evaluation results, we confirmed that when the CBCT images were reconstructed by applying the FDK algorithm, the low-dose protocol resulted in noisy reconstruction images owing to the low SNR in the projection image.
In addition, we confirmed that streak artifacts were generated as the projection angle increased. Streak artifacts are dark bands or streaks that appear between dense objects in an image. Beam hardening is one of the most common causes of streak artifacts. An X-ray beam is composed of individual photons with a range of energies. In CBCT, the X-ray source is rotated around an object to acquire projections from different angles. Dense objects such as bone have a higher density than other surrounding tissues, and this high density causes the X-ray penetrating the object to be absorbed by the bone, thereby increasing the average energy of X-rays. When the emitted spectrum contains beams of relatively lower energy than those recorded by the detector (i.e., the beams are hardening), a nonlinear error (relatively high energy recorded in the beam path behind the highly absorbent material) is introduced into the recorded data spectrum. In 3D reconstruction, the error is backprojected onto the volume, resulting in dark streak artifacts. In addition, this artifact is more pronounced in CBCT images because the CBCT X-ray beam has a lower average kilovolt (peak) energy than conventional CT [42].
Moreover, we confirmed that the streak artifacts were enhanced as the projection angle increased. The sparse view resulted in undersampling of the streak artifacts. As the projection angle increases, the projection information for bones or objects in different views may overlap while acquiring projection data. This phenomenon, commonly known as view overlap, occurs in CBCT scans and causes streak artifacts around bones or dense objects. In the head CBCT simulation in this study, the streak artifacts were intensified by the petrous, a rock-shaped dense structure that is part of the body of the sphenoid bone, and the greater wing temporal bone around the brain region [43,44].
To compare the noise reduction ability of the FDK algorithm using various filters, we conducted comparative evaluations by analyzing the COV and SNR graphs. In addition, to evaluate the tendency of noise reduction for each structure, we set the ROIs in air, brain, and bone. We observed a significant increase in the slope of the COV graph at a projection angle of 2.8°, with the brain region exhibiting the lowest average COV. Moreover, when comparing the COV graphs for various filters, we found that the Ram–Lak filter exhibited the lowest noise reduction ability in all three regions, whereas the Hann filter demonstrated the most effective noise reduction. When analyzing the SNR graphs, we observed a rapid decrease in the SNR of the brain and bone regions at an average projection angle of 2.8°, with relatively small variation in the air region. Both the COV and SNR graphs showed similar tendencies for the Hamming and Hann filters. However, for all projection angles and tissues, the Hann filter proved to be the most effective in denoising. Based on these results, when the FDK algorithm was applied to reconstruct noisy projection data under a low-dose protocol, the image quality rapidly deteriorated for projection angles of 2.8° or more. Therefore, other reconstruction algorithms appropriate for the projection angle should be considered. Moreover, the Hann filter is the most effective in reducing noise. Considering visual evaluation, the application of the Ram–Lak filter appears to be effective when considering resolution and sharpness. Therefore, in future studies, we expect that the Hann filter will perform more effectively when applied in conjunction with improved resolution using a deblurring deep learning algorithm to compensate for the blurring phenomenon. In addition, as the values of COV and SNR rapidly increase and decrease, respectively, with an increased projection angle owing to streak artifacts, and if the streak artifacts are effectively reduced using deep learning, it is expected that improved reconstruction image quality can be achieved under a low-dose protocol using a larger projection angle.
The similarity evaluation results show that the Hann filter has the most improved performance, and the Ram–Lak filter has the most inferior performance in terms of both RMSE and UQI; this is the same trend as the noise evaluation results. The RMSE measures the difference in pixel values between the target and reference images, and the UQI measures the structural similarity between the target and reference images, considering the brightness, contrast, and structural information between the two images [45,46]. The noise, intensified by applying the Ram–Lak filter in the reconstruction process, increased the difference in pixel values between the target and reference images, which affected both the RMSE and UQI values, causing an increase in the RMSE value and a decrease in the UQI value. Therefore, for the Hann filter, which showed the most superior results in the noise evaluation, visual evaluation demonstrates that the blurring phenomenon is relatively intensified compared to the Ram–Lak filter. However, as the noise is effectively reduced, the similarity evaluation results show a superior performance corresponding to the noise evaluation results.
To quantitatively assess image quality in the medical field, evaluation factors that utilize reference images to effectively analyze the overall difference between images have been used. However, in most medical images, it is very difficult to obtain a perfect image that can be used as a reference for image evaluation, thus recent research has focused on no-reference evaluation factors. Although no-reference evaluation factors were proposed to evaluate “naturalness” in natural images, they are beginning to be applied to medical images [47,48]. However, the no-reference evaluation factors in medical images have limitations [49]. Noise distributions in natural images are generally represented by white Gaussian noise, whereas medical images contain various types of noise distributions. Moreover, natural images are generally in color, while medical images are grayscale. To address these limitations, research on no-reference evaluation factors for medical images should be conducted, however, there is still a relative lack of research [50]. In this study, we adopted a no-reference method by employing the BRISQUE factor to evaluate CT images. The BRISQUE evaluation factor is a recent no-reference metric that operates in the spatial domain and can characterize natural scene statistics in medical images based on Gaussian curve shape distortion analysis [51]. In particular, BRISQUE can be used to comprehensively analyze the decrease in spatial resolution or sharpness of medical images, which inevitably occurs depending on the denoising method [52]. No-reference evaluation has shown comparable performance to the peak signal to noise ratio across various distortions. In addition, the BRISQUE evaluation factor has the advantage of quantitatively analyzing overall image quality [53,54]. According to the results of the no-reference evaluation in our simulation study, the Hann filter, which has the best performance in noise reduction and similarity evaluation, has the highest value, and the Hamming filter, which has a similar tendency to the Hann filter on average, has the second-highest value following the Hann filter. Additionally, the Ram–Lak and Shepp–Logan filters, which performed poorly in both evaluations, performed better in the no-reference evaluation. Based on these results, no-reference evaluation has a greater effect on the spatial resolution or sharpness of medical images than denoising. Therefore, we expect that this study will provide a preliminary study for the application of no-reference evaluation factors in medical imaging. In future work, we plan to add different forms of noise to various medical images and evaluate their tendency, and model a generalized no-reference evaluation factor that can incorporate various image characteristics.
Recently, various algorithms based on the traditional FDK algorithm have been actively studied to improve the quality of CBCT reconstructed images. In one study, a combination-weighted Feldkamp algorithm (CW-FDK) was developed to improve the quality of CBCT images, and its usefulness was confirmed by applying it to phantom and clinical studies [55]. Based on these prior studies, we believe that the potential of FDK algorithms to improve the quality of CBCT reconstructed images is enormous, and that integrating FDK algorithms with other approaches will allow effective application to a variety of anatomical regions. Moreover, the flexibility of FDK algorithms allows them to address a wide range of clinical needs, making them a crucial tool in the field of medical imaging. In conclusion, with continuous research and improvement of FDK-based algorithms, the results of this study suggest that these approaches have significant potential for improving CBCT image quality in a variety of clinical settings. Furthermore, we expect that when FDK algorithms are combined with other advanced techniques, their applicability and effectiveness will be further expanded to achieve high-quality image acquisition.
Recently, numerous deep learning-based research efforts have been conducted to address artifacts in conventional reconstruction algorithms. One study proposed an architecture that combines the conventional FDK algorithm with an image domain U-Net to address artifacts in the FDK algorithm [56]. The results of the study showed that the proposed algorithm achieved significant improvements over the conventional FDK reconstruction algorithm. Based on these preliminary studies, it seems that combining deep learning techniques with conventional reconstruction algorithms will lead to significant advances in reconstructed image quality for CBCT. Furthermore, by utilizing simulation, we can acquire the most ideal reconstruction images, which are difficult to obtain in clinical practice. By acquiring the most ideal reference images, and constructing a dataset without artifacts and noise, we can expect to be able to remove artifacts when training deep learning models. In addition, by obtaining ideal reference images and constructing a large-scale deep learning dataset, ethical issues can be resolved, and the feasibility of utilization in clinical environments will be significantly increased. Simulated datasets reflecting different clinical situations can be developed to increase the generalizability of deep learning models and to enable more detailed training. Based on this approach, we can increase the reliability of reconstructed images and improve the accuracy of patient diagnosis and treatment. Simulations reflecting different image acquisition protocols and different patient conditions can enhance the generalization ability of deep learning models. This approach will overcome the limitations of existing models trained on limited datasets and enable wider clinical applications. In the future, we could apply this to a variety of medical imaging modalities, including CBCT, to improve image quality and increase patient safety. In this study, we conducted a tendency analysis using various parameters of the FDK reconstruction algorithm using the TIGRE simulation program. Subsequently, we quantitatively evaluated the reconstruction image quality using noise level, similarity, and no-reference evaluation. The results of this study demonstrate that the Hann filter has useful denoising efficiency; however, the future study will include incorporating a deep learning model for deblurring and artifact correction to improve reconstruction image quality.
5. Conclusions
In this study, we modeled a CBCT simulation system and applied various parameters of the FDK algorithm for noise reduction during the low-dose CBCT reconstruction process. Gaussian noise was added to the projection data to simulate noisy projection data produced using the low-dose protocol. We conducted a quantitative analysis of noise, similarity, and no-reference evaluation to confirm the effects of various parameter settings on reconstruction image quality. In the simulation study, we confirmed the considerable noise reduction ability of the FDK algorithm using the Hann filter for noisy projection data under a low-dose protocol across all quantitative evaluation factors. These results suggest that the Hann filter can replace the other filters available for the FDK algorithm. Furthermore, this work is expected to provide a preliminary study of the no-reference evaluation of CT reconstruction image quality, which has rarely been reported in literature.
Author Contributions
Conceptualization, H.K. and Y.L.; Methodology, H.K. and J.-S.C.; Software, H.K.; Formal analysis, H.K.; Investigation, H.K. and J.-S.C.; Writing—original draft preparation, H.K.; Writing—review and editing, J.-S.C. and Y.L.; Project administration, Y.L. All authors have read and agreed to the published version of the manuscript.
Funding
This study was supported by a grant from the National Foundation of Korea (NRF) funded by the Korean government (Grant No. RS-2024-00354252).
Informed Consent Statement
Not applicable.
Data Availability Statement
Data will be made available on request.
Conflicts of Interest
The authors declare no conflict of interest.
References
- Veiga, C.; McClelland, J.; Moinuddin, S.; Lourenço, A.; Ricketts, K.; Annkah, J.; Modat, M.; Ourselin, D.; D’Souza, D.; Royle, G. Toward adaptive radiotherapy for head and neck patients: Feasibility study on using CT-to-CBCT deformable registration for “dose of the day” calculations. Med. Phys. 2014, 41, 031703. [Google Scholar] [CrossRef] [PubMed]
- O’Connell, A.; Conover, D.L.; Zhang, Y.; Seifert, P.; Logan-Young, W.; Lin, C.F.L.; Sahler, L.; Ning, R. Cone-beam CT for breast imaging: Radiation dose, breast coverage, and image quality. Am. J. Roentgenol. 2010, 195, 496–509. [Google Scholar] [CrossRef] [PubMed]
- Lechuga, L.; Weidlich, G.A. Cone beam CT vs. fan beam CT: A comparison of image quality and dose delivered between two differing CT imaging modalities. Cureus 2016, 8, e778. [Google Scholar] [CrossRef] [PubMed]
- Scarfe, W.C.; Farman, A.G. What is cone-beam CT and how does it work? Dent. Clin. N. Am. 2008, 52, 707–730. [Google Scholar] [CrossRef] [PubMed]
- Islam, M.K.; Purdie, T.G.; Norrlinger, B.D.; Alasti, H.; Moseley, D.J.; Sharpe, M.B.; Siewerdsen, J.H.; Jaffray, D.A. Patient dose from kilovoltage cone beam computed tomography imaging in radiation therapy. Med. Phys. 2006, 33, 1573–1582. [Google Scholar] [CrossRef] [PubMed]
- Ouyang, L.; Solberg, T.; Wang, J. Effects of the penalty on the penalized weighted least-squares image reconstruction for low-dose CBCT. Phys. Med. Biol. 2011, 56, 5535. [Google Scholar] [CrossRef] [PubMed]
- Abbas, S.; Lee, T.; Shin, S.; Lee, R.; Cho, S. Effects of sparse sampling schemes on image quality in low-dose CT. Med. Phys. 2013, 40, 111915. [Google Scholar] [CrossRef] [PubMed]
- Song, Y.; Zhang, W.; Zhang, H.; Wang, Q.; Xiao, Q.; Li, Z.; Wie, X.; Lai, J.; Wang, X.; Li, W.; et al. Low-dose cone-beam CT (LD-CBCT) reconstruction for image-guided radiation therapy (IGRT) by three-dimensional dual-dictionary learning. Radiat. Oncol. 2020, 15, 192. [Google Scholar] [CrossRef] [PubMed]
- Wang, A.S.; Stayman, J.W.; Otake, Y.; Vogt, S.; Kleinszig, G.; Khanna, A.J.; Gallia, G.L.; Siewerdsen, J.H. Low-dose preview for patient-specific, task-specific technique selection in cone-beam CT. Med. Phys. 2014, 41, 071915. [Google Scholar] [CrossRef] [PubMed]
- Tian, Z.; Jia, X.; Yuan, K.; Pan, T.; Jiang, S.B. Low-dose CT reconstruction via edge-preserving total variation regularization. Phys. Med. Biol. 2011, 56, 5949. [Google Scholar] [CrossRef] [PubMed]
- Zhang, H.; Zeng, D.; Zhang, H.; Wang, J.; Liang, Z.; Ma, J. Applications of nonlocal means algorithm in low-dose X-ray CT image processing and reconstruction: A review. Med. Phys. 2017, 44, 1168–1185. [Google Scholar] [CrossRef] [PubMed]
- Zhang, S.; Geng, G.; Zhao, J. Fast parallel image reconstruction for cone-beam FDK algorithm. Concurr. Comput. Pract. Exp. 2019, 31, e4697. [Google Scholar] [CrossRef]
- Hsieh, J.; Nett, B.; Yu, Z.; Sauer, K.; Thibault, J.B.; Bouman, C.A. Recent advances in CT image reconstruction. Curr. Radiol. Rep. 2013, 1, 39–51. [Google Scholar] [CrossRef]
- Turbell, H. Cone-Beam Reconstruction Using Filtered Backprojection. Doctoral Dissertation, Linköping University Electronic Press, Linköping, Sweden, 2001. [Google Scholar]
- Guo, J.; Zeng, L.; Zou, X. An improved half-covered helical cone-beam CT reconstruction algorithm based on localized reconstruction filter. J. X-ray Sci. Technol. 2011, 19, 293–312. [Google Scholar] [CrossRef] [PubMed]
- Soimu, D.; Buliev, I.; Pallikarakis, N. Studies on circular isocentric cone-beam trajectories for 3D image reconstructions using FDK algorithm. Comput. Med. Imaging Graph. 2008, 32, 210–220. [Google Scholar] [CrossRef]
- Lee, S.W.; Lee, C.L.; Cho, H.M.; Park, H.S.; Kim, D.H.; Choi, Y.N.; Kim, H.J. Effects of reconstruction parameters on image noise and spatial resolution in cone-beam computed tomography. J. Korean Phys. Soc. 2011, 59, 2825–2832. [Google Scholar] [CrossRef]
- Lagerwerf, M.J.; Palenstijn, W.J.; Kohr, H.; Batenburg, K.J. Automated FDK-filter selection for Cone-beam CT in research environments. IEEE Trans. Comput. Imaging 2020, 6, 739–748. [Google Scholar] [CrossRef]
- Gayou, O. Influence of acquisition parameters on MV-CBCT image quality. J. Appl. Clin. Med. Phys. 2012, 13, 14–26. [Google Scholar] [CrossRef] [PubMed]
- Feldkamp, L.A.; Davis, L.C.; Kress, J.W. Practical cone-beam algorithm. J. Opt. Soc. Am. A 1984, 1, 612–619. [Google Scholar] [CrossRef]
- Grass, M.; Köhler, T.; Proksa, R. 3D cone-beam CT reconstruction for circular trajectories. Phys. Med. Biol. 2000, 45, 329. [Google Scholar] [CrossRef] [PubMed]
- Biguri, A.; Dosanjh, M.; Hancock, S.; Soleimani, M. TIGRE: A MATLAB-GPU toolbox for CBCT image reconstruction. Biomed. Phys. Eng. Express 2016, 2, 055010. [Google Scholar] [CrossRef]
- Lu, H.; Hsiao, T.; Li, X.; Liang, Z. Noise properties of low-dose CT projections and noise treatment by scale transformations. In Proceedings of the IEEE Nuclear Science Symposium Conference Record (Cat. No. 01CH37310), San Diego, CA, USA, 4–10 November 2001; Volume 3, pp. 1662–1666. [Google Scholar]
- Lu, H.; Li, X.; Hsiao, T.; Liang, Z. Analytical noise treatment for low-dose CT projection data by penalized weighted least-square smoothing in the KL domain. In Proceedings of the Medical Imaging 2002: Physics of Medical Imaging, San Diego, CA, USA, 23–28 February 2002; Volume 4682, pp. 146–152. [Google Scholar]
- Shechtman, O. The coefficient of variation as an index of measurement reliability. In Methods of Clinical Epidemiology; Springer: Berlin/Heidelberg, Germany, 2013; pp. 39–49. [Google Scholar]
- Germann, M.; Shim, S.; Angst, F.; Saltybaeva, N.; Boss, A. Spiral breast computed tomography (CT): Signal-to-noise and dose optimization using 3D-printed phantoms. Eur. Radiol. 2021, 31, 3693–3702. [Google Scholar] [CrossRef] [PubMed]
- Chai, T.; Draxler, R.R. Root mean square error (RMSE) or mean absolute error (MAE)?—Arguments against avoiding RMSE in the literature. Geosci. Model Dev. 2014, 7, 1247–1250. [Google Scholar] [CrossRef]
- Oh, J.E.; Cho, H.S.; Hong, D.K.; Lee, M.S.; Park, Y.O.; Je, U.K.; Kim, H.J.; Lee, S.H.; Choi, S.I.; Koo, Y.S.; et al. Compressed-sensing (CS)-based micro-DTS reconstruction for applications of fast, low-dose X-ray imaging. J. Korean Phys. Soc. 2012, 61, 1120–1124. [Google Scholar] [CrossRef]
- Mittal, A.; Moorthy, A.K.; Bovik, A.C. No-reference image quality assessment in the spatial domain. IEEE Trans. Image Process. 2012, 21, 4695–4708. [Google Scholar] [CrossRef] [PubMed]
- Fu, Y.; Wang, S. A no reference image quality assessment metric based on visual perception. Algorithms 2016, 9, 87. [Google Scholar] [CrossRef]
- Daly, M.J.; Siewerdsen, J.H.; Moseley, D.J.; Jaffray, D.A.; Irish, J.C. Intraoperative cone-beam CT for guidance of head and neck surgery: Assessment of dose and image quality using a C-arm prototype. Med. Phys. 2006, 33, 3767–3780. [Google Scholar] [CrossRef]
- Iskanderani, D.; Nilsson, M.; Alstergren, P.; Shi, X.Q.; Hellen-Halme, K. Evaluation of a low-dose protocol for cone beam computed tomography of the temporomandibular joint. Dentomaxillofacial Radiol. 2020, 49, 20190495. [Google Scholar] [CrossRef] [PubMed]
- Schwindling, F.S.; Hilgenfeld, T.; Weber, D.; Kosinski, M.A.; Rammelsberg, P.; Tasaka, A. In vitro diagnostic accuracy of low-dose CBCT for evaluation of peri-implant bone lesions. Clin. Oral Implant. Res. 2019, 30, 1200–1208. [Google Scholar] [CrossRef]
- Zhang, H.; Ouyang, L.; Ma, J.; Huang, J.; Chen, W.; Wang, J. Noise correlation in CBCT projection data and its application for noise reduction in low-dose CBCT. Med. Phys. 2014, 41, 031906. [Google Scholar]
- Zhang, Z.; Han, X.; Pearson, E.; Pelizzari, C.; Sidky, E.Y.; Pan, X. Artifact reduction in short-scan CBCT by use of optimization-based reconstruction. Phys. Med. Biol. 2016, 61, 3387. [Google Scholar] [CrossRef] [PubMed]
- Zhang, J.; He, B.; Yang, Z.; Kang, W. A novel reconstruction of the sparse-view CBCT algorithm for correcting artifacts and reducing noise. Mathematics 2023, 11, 2127. [Google Scholar] [CrossRef]
- Rodet, T.; Noo, F.; Defrise, M. The cone-beam algorithm of Feldkamp, Davis, and Kress preserves oblique line integrals. Med. Phys. 2004, 31, 1972–1975. [Google Scholar] [CrossRef] [PubMed]
- Hu, J.; Tam, K.; Qi, J. An approximate short scan helical FDK cone beam algorithm based on nutating curved surfaces satisfying the Tuy’s condition. Med. Phys. 2005, 32, 1529–1536. [Google Scholar] [CrossRef] [PubMed]
- Baek, J.; Pelc, N.J. A new method to combine 3D reconstruction volumes for multiple parallel circular cone beam orbits. Med. Phys. 2010, 37, 5351–5360. [Google Scholar] [CrossRef] [PubMed]
- Lee, S.; Kim, H.J. Noise properties of reconstructed images in a kilo-voltage on-board imaging system with iterative reconstruction techniques: A phantom study. Phys. Medica 2014, 30, 365–373. [Google Scholar] [CrossRef] [PubMed]
- Tseng, H.W.; Karellas, A.; Vedantham, S. Cone-beam breast CT using an offset detector: Effect of detector offset and image reconstruction algorithm. Phys. Med. Biol. 2022, 67, 085008. [Google Scholar] [CrossRef] [PubMed]
- Nagarajappa, A.K.; Dwivedi, N.; Tiwari, R. Artifacts: The downturn of CBCT image. J. Int. Soc. Prev. Community Dent. 2015, 5, 440–445. [Google Scholar] [PubMed]
- Yan, H.; Cervino, L.; Jia, X.; Jiang, S.B. A comprehensive study on the relationship between the image quality and imaging dose in low-dose cone beam CT. Phys. Med. Biol. 2012, 57, 2063. [Google Scholar] [CrossRef] [PubMed]
- Li, L.; Xing, Y.; Chen, Z.; Zhang, L.; Kang, K. A curve-filtered FDK (C-FDK) reconstruction algorithm for circular cone-beam CT. J. X-ray Sci. Technol. 2011, 19, 355–371. [Google Scholar] [CrossRef] [PubMed]
- Choong, M.K.; Logeswaran, R.; Bister, M. Improving diagnostic quality of MR images through controlled lossy compression using SPIHT. J. Med. Syst. 2006, 30, 139–143. [Google Scholar] [CrossRef] [PubMed]
- Wang, Z.; Bovik, A.C. A universal image quality index. IEEE Signal Process. Lett. 2002, 9, 81–84. [Google Scholar] [CrossRef]
- Kumar, A. Nonlocal means image denoising using orthogonal moments. Appl. Opt. 2015, 54, 8156–8165. [Google Scholar] [CrossRef] [PubMed]
- Klink, T.; Obmann, V.; Heverhagen, J.; Stork, A.; Adam, G.; Begemann, P. Reducing CT radiation dose with iterative reconstruction algorithms: The influence of scan and reconstruction parameters on image quality and CTDIvol. Eur. J. Radiol. 2014, 83, 1645–1654. [Google Scholar] [CrossRef] [PubMed]
- Chow, L.S.; Paramesran, R. Review of medical image quality assessment. Biomed. Signal Process. Control. 2016, 27, 145–154. [Google Scholar] [CrossRef]
- Oszust, M.; Piórkowski, A.; Obuchowicz, R. No-reference image quality assessment of magnetic resonance images with high-boost filtering and local features. Magn. Reson. Med. 2020, 84, 1648–1660. [Google Scholar] [CrossRef] [PubMed]
- Bjelopera, A.; Dumic, E.; Grgic, S. Evaluation of blur and Gaussian noise degradation in images using statistical model of natural scene and perceptual image quality measure. Radioengineering 2017, 26, 930–937. [Google Scholar] [CrossRef]
- Lee, M.H.; Yun, C.S.; Kim, K.; Lee, Y. Image restoration algorithm incorporating methods to remove noise and blurring from positron emission tomography imaging for Alzheimer’s disease diagnosis. Phys. Medica 2022, 103, 181–189. [Google Scholar] [CrossRef] [PubMed]
- Moorthy, A.K.; Bovik, A.C. A two-step framework for constructing blind image quality indices. IEEE Signal Process. Lett. 2010, 17, 513–516. [Google Scholar] [CrossRef]
- Mittal, A.; Muralidhar, G.S.; Ghosh, J.; Bovik, A.C. Blind image quality assessment without human training using latent quality factors. IEEE Signal Process. Lett. 2011, 19, 75–78. [Google Scholar] [CrossRef]
- Mori, S.; Endo, M.; Komatsu, S.; Kandatsu, S.; Yashiro, T.; Baba, M. A combination-weighted Feldkamp-based reconstruction algorithm for cone-beam CT. Phys. Med. Biol. 2006, 51, 3953. [Google Scholar] [CrossRef]
- Wang, Y.; Yang, T.; Huang, W. Limited-angle computed tomography reconstruction using combined FDK-based neural network and U-Net. In Proceedings of the IEEE Engineering in Medicine & Biology Society (EMBC), Montreal, QC, Canada, 20–24 July 2020; pp. 1572–1575. [Google Scholar]
Disclaimer/Publisher’s Note: The statements, opinions and data contained in all publications are solely those of the individual author(s) and contributor(s) and not of MDPI and/or the editor(s). MDPI and/or the editor(s) disclaim responsibility for any injury to people or property resulting from any ideas, methods, instructions or products referred to in the content. |
© 2024 by the authors. Licensee MDPI, Basel, Switzerland. This article is an open access article distributed under the terms and conditions of the Creative Commons Attribution (CC BY) license (https://creativecommons.org/licenses/by/4.0/).






