A Parallel Algorithm Based on Regularized Lattice Boltzmann Method for Multi-Layer Grids
Abstract
1. Introduction
2. RLBM Based on Multi-Layer Grids
2.1. Governing Equation for RLBM
2.2. RLBM Based on Multi-Layer Grids
3. Parallel Strategy and Algorithm
| Algorithm 1 Load Balancing-Based Grid Dividing Algorithm |
| Input: Number of grid layers: N; Number of processes: ; Output: File after grid division.
|
| Algorithm 2 MPI-based parallel algorithm for RLBM on multi-layer grids |
|
4. Numerical Simulations
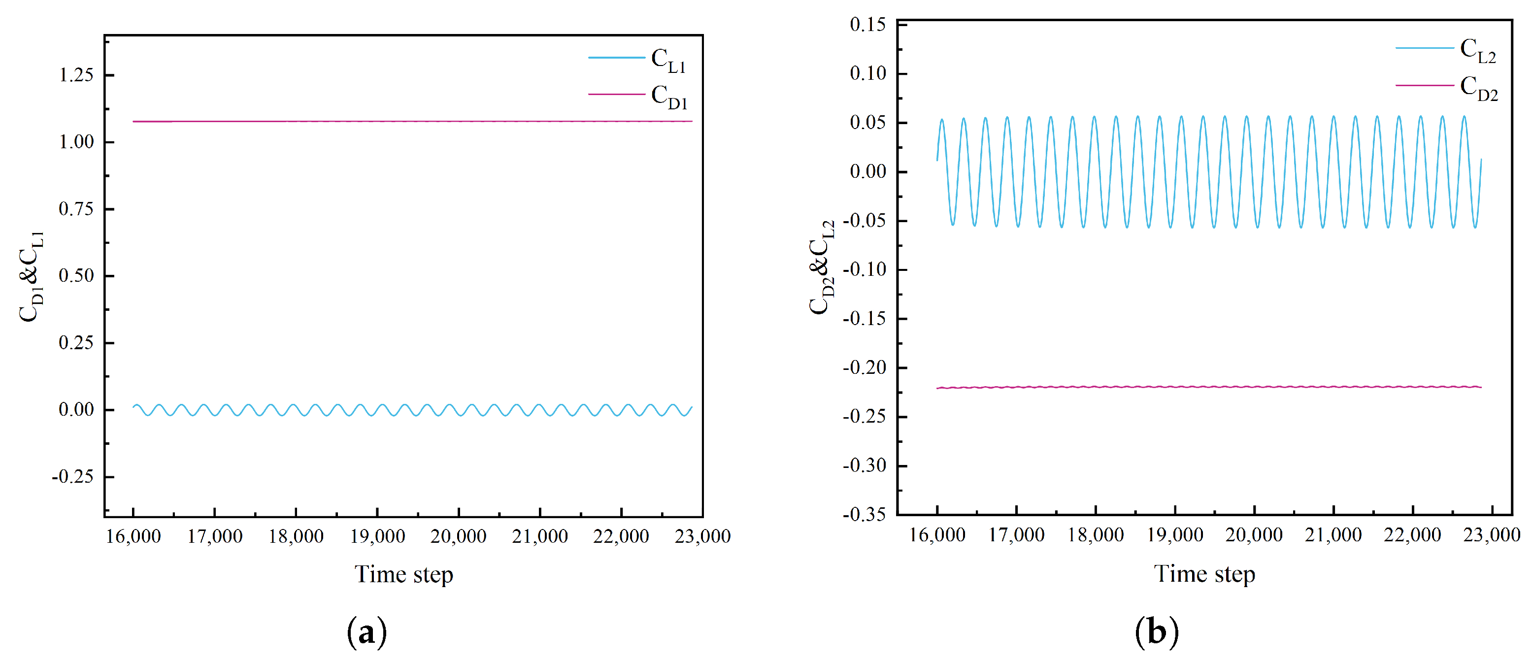
4.1. Flow over Two Circular Cylinders in a 2D Case
4.2. Flow around a Sphere in 3D Case
4.3. Performance Evaluation
5. Conclusions
Author Contributions
Funding
Data Availability Statement
Acknowledgments
Conflicts of Interest
Appendix A
References
- Xue, X.; Yao, H.D.; Davidson, L. Synthetic turbulence generator for lattice Boltzmann method at the interface between RANS and LES. Phys. Fluids 2022, 34, 055118. [Google Scholar] [CrossRef]
- Lai, H.; Lin, C.; Gan, Y.; Li, D.; Chen, L. The influences of acceleration on compressible Rayleigh-Taylor instability with non-equilibrium effects. Comput. Fluids 2023, 266, 106037. [Google Scholar] [CrossRef]
- Jiao, C.; Leng, Z.; Zou, D.; Ta, N.; Rao, Z. Numerical research of the infinitely wide wedge flow based on the lattice Boltzmann method. Proc. Inst. Mech. Eng. J J. Eng. Tribol. 2021, 235, 343–350. [Google Scholar] [CrossRef]
- Tong, Z.; Li, M.; Xie, T.; Gu, Z. Lattice Boltzmann method for conduction and radiation heat transfer in composite materials. J. Therm. Sci. 2022, 31, 777–789. [Google Scholar] [CrossRef]
- Li, C.; Zhao, Y.; He, Y.; Luo, K.H.; Li, Y. Simulation of indoor harmful gas dispersion and airflow using three-dimensional lattice Boltzmann method based large-eddy simulation. AIP Adv. 2021, 11, 035235. [Google Scholar] [CrossRef]
- Lai, H.; Li, D.; Lin, C.; Chen, L.; Ye, H.; Zhu, J. Investigation of effects of initial interface conditions on the two-dimensional single-mode compressible Rayleigh–Taylor instability: Based on the discrete Boltzmann method. Comput. Fluids 2024, 277, 106289. [Google Scholar] [CrossRef]
- Liu, Z.; Ruan, J.; Song, W.; Zhou, L.; Guo, W.; Xu, J. Parallel Scheme for Multi-Layer Refinement Non-Uniform Grid Lattice Boltzmann Method Based on Load Balancing. Energies 2022, 15, 7884. [Google Scholar] [CrossRef]
- Shu, C.; Niu, X.D.; Chew, Y.T.; Cai, Q.D. A fractional step lattice Boltzmann method for simulating high Reynolds number flows. Math. Comput. Simul. 2006, 72, 201–205. [Google Scholar] [CrossRef]
- Latt, J.; Chopard, B. Lattice Boltzmann method with regularized pre-collision distribution functions. Math. Comput. Simul. 2006, 72, 165–168. [Google Scholar] [CrossRef]
- Liu, Z.; Li, Y.; Song, W. Regularized lattice Boltzmann method parallel model on heterogeneous platforms. Concurr. Comput. Pract. Exp. 2022, 34, e6875. [Google Scholar] [CrossRef]
- Liu, Z.; Chen, Y.; Xiao, W.; Song, W.; Li, Y. Large-Scale Cluster Parallel Strategy for Regularized Lattice Boltzmann Method with Sub-Grid Scale Model in Large Eddy Simulation. Appl. Sci. 2023, 13, 11078. [Google Scholar] [CrossRef]
- Liu, Z.; Zhao, Y.; Shi, S.; Wang, Y. A regularized lattice Boltzmann method based on the multi-layer grid using a buffer scheme. Int. J. Modern Phys. C 2024, in press. [CrossRef]
- Malaspinas, O.; Chopard, B.; Latt, J. General regularized boundary condition for multi-speed lattice Boltzmann models. Comput. Fluids 2011, 49, 29–35. [Google Scholar] [CrossRef]
- Feng, Y.; Guo, S.; Jacob, J.; Sagaut, P. Solid wall and open boundary conditions in hybrid recursive regularized lattice Boltzmann method for compressible flows. Phys. Fluids 2019, 31, 126103. [Google Scholar] [CrossRef]
- Otomo, H.; Zhang, R.; Chen, H. Improved phase-field-based lattice Boltzmann models with a filtered collision operator. Int. J. Modern Phys. C 2019, 30, 1941009. [Google Scholar] [CrossRef]
- Basha, M.; Nor Azwadi, C.S. Regularized lattice Boltzmann simulation of laminar mixed convection in the entrance region of 2-D channels. Heat Transf. A Appl. 2013, 63, 867–878. [Google Scholar] [CrossRef]
- Agarwal, A.; Gupta, S.; Prakash, A. A comparative study of three-dimensional discrete velocity set in LBM for turbulent flow over bluff body. J. Braz. Soc. Mech. Sci. Eng. 2021, 43, 39. [Google Scholar] [CrossRef]
- Liu, Z.; Li, S.; Ruan, J.; Zhang, W.; Zhou, L.; Huang, D.; Xu, J. A new multi-level grid multiple-relaxation-time lattice Boltzmann method with spatial interpolation. Mathematics 2023, 11, 1089. [Google Scholar] [CrossRef]
- Filippova, O.; Hanel, D. Grid refinement for lattice-BGK models. J. Comput. Phys. 1998, 147, 219–228. [Google Scholar] [CrossRef]
- Guzik, S.M.; Weisgraber, T.H.; Colella, P.; Alder, B.J. Interpolation methods and the accuracy of lattice-Boltzmann mesh refinement. J. Comput. Phys. 2014, 259, 461–487. [Google Scholar] [CrossRef]
- Liu, Z.; Tian, F.B.; Feng, X. An efficient geometry-adaptive mesh refinement framework and its application in the immersed boundary lattice Boltzmann method. Methods Appl. Mech. Eng. 2022, 392, 114662. [Google Scholar] [CrossRef]
- Lin, C.L.; Lai, Y.G. Lattice Boltzmann method on composite grids. Phys. Rev. E 2000, 62, 2219. [Google Scholar] [CrossRef] [PubMed]
- Dupuis, A.; Chopard, B. Theory and applications of an alternative lattice Boltzmann grid refinement algorithm. Phys. Rev. E 2003, 67, 066707. [Google Scholar] [CrossRef] [PubMed]
- Chen, S.; Peng, C.; Teng, Y.; Wang, L.P.; Zhang, K. Improving lattice Boltzmann simulation of moving particles in a viscous flow using local grid refinement. Comput. Fluids 2016, 136, 228–246. [Google Scholar] [CrossRef]
- Rohde, M.; Kandhai, D.; Derksen, J.; Van den Akker, H.E. A generic, mass conservative local grid refinement technique for lattice-Boltzmann schemes. Int. J. Numer. Methods Fluids 2006, 51, 439–468. [Google Scholar] [CrossRef]
- Eitel-Amor, G.; Meinke, M.; Schröder, W. A lattice-Boltzmann method with hierarchically refined meshes. Comput. Fluids 2013, 75, 127–139. [Google Scholar] [CrossRef]
- Hasert, M.; Masilamani, K.; Zimny, S.; Klimach, H.; Qi, J.; Bernsdorf, J.; Roller, S. Complex fluid simulations with the parallel tree-based lattice Boltzmann solver Musubi. J. Comput. Sci. 2014, 5, 784–794. [Google Scholar] [CrossRef]
- Kandhai, D.; Koponen, A.; Hoekstra, A.G.; Kataja, M.; Timonen, J.; Sloot, P.M. Lattice-Boltzmann hydrodynamics on parallel systems. Comput. Phys. Commun. 1998, 111, 14–26. [Google Scholar] [CrossRef]
- Pan, C.; Prins, J.F.; Miller, C.T. A high-performance lattice Boltzmann implementation to model flow in porous media. Comput. Phys. Commun. 2004, 158, 89–105. [Google Scholar] [CrossRef]
- Onodera, N.; Idomura, Y.; Uesawa, S.; Yamashita, S.; Yoshida, H. Locally mesh-refined lattice Boltzmann method for fuel debris air cooling analysis on GPU supercomputer. Mech. Eng. J. 2020, 7, 19-00531. [Google Scholar] [CrossRef]
- Pasquali, A.; Schönherr, M.; Geier, M.; Krafczyk, M. Simulation of external aerodynamics of the DrivAer model with the LBM on GPGPUs. In Parallel Computing: On the Road to Exascale; IOS Press: Clifton, VA, USA, 2016; Volume 27, pp. 391–400. [Google Scholar]
- Schornbaum, F.; Rude, U. Massively parallel algorithms for the lattice Boltzmann method on nonuniform grids. SIAM J. Sci. Comput. 2016, 38, C96–C126. [Google Scholar] [CrossRef]
- Abas, A.; Mokhtar, N.H.; Ishak, M.H.H.; Abdullah, M.Z.; Ho Tian, A. Lattice Boltzmann model of 3D multiphase flow in artery bifurcation aneurysm problem. Comput. Math. Methods Med. 2016, 2016, 6143126. [Google Scholar] [CrossRef] [PubMed]
- Tan, J.; Sinno, T.R.; Diamond, S.L. A parallel fluid–solid coupling model using LAMMPS and Palabos based on the immersed boundary method. J. Comput. Sci. 2018, 25, 89–100. [Google Scholar] [CrossRef] [PubMed]
- Mekala, M.; Dhiman, G.; Srivastava, G.; Nain, Z.; Zhang, H.; Viriyasitavat, W.; Varma, G. A DRL-based service offloading approach using DAG for edge computational orchestration. IEEE Trans. Comput. Soc. Syst. 2022. early access. [Google Scholar] [CrossRef]
- Shukla, S.K.; Gupta, V.K.; Joshi, K.; Gupta, A.; Singh, M.K. Self-aware execution environment model (SAE2) for the performance improvement of multicore systems. Int. J. Mod. Res. 2022, 2, 17–27. [Google Scholar]
- Safdari Shadloo, M. Numerical simulation of compressible flows by lattice Boltzmann method. Numer. Heat Transf. Part A Appl. 2019, 75, 167–182. [Google Scholar] [CrossRef]
- Guo, Z.; Zheng, C.; Shi, B. An extrapolation method for boundary conditions in lattice Boltzmann method. Phys. Fluids 2002, 14, 2007–2010. [Google Scholar] [CrossRef]
- Yu, D.; Mei, R.; Shyy, W. A unified boundary treatment in lattice boltzmann method. In Proceedings of the 41st Aerospace Sciences Meeting and Exhibit, Reno, NV, USA, 6–9 January 2003; p. 953. [Google Scholar]
- Fakhari, A.; Lee, T. Numerics of the lattice Boltzmann method on nonuniform grids: Standard LBM and finite-difference LBM. Comput. Fluids 2015, 107, 205–213. [Google Scholar] [CrossRef]
- Alam, M.M. Lift forces induced by phase lag between the vortex sheddings from two tandem bluff bodies. Fluids Struct. 2016, 65, 217–237. [Google Scholar] [CrossRef]
- Koda, Y.; Lien, F.S. Aerodynamic effects of the early three-dimensional instabilities in the flow over one and two circular cylinders in tandem predicted by the lattice Boltzmann method. Comput. Fluids 2013, 74, 32–43. [Google Scholar] [CrossRef]
- Meneghini, J.R.; Saltara, F.; Siqueira, C.D.; Ferrari, J.A., Jr. Numerical simulation of flow interference between two circular cylinders in tandem and side-by-side arrangements. J. Fluids Struct. 2001, 15, 327–350. [Google Scholar] [CrossRef]
- Xu, L.; Li, J.; Chen, R. A scalable parallel unstructured finite volume lattice Boltzmann method for three-dimensional incompressible flow simulations. Int. J. Numer. Methods Fluids 2021, 93, 2744–2762. [Google Scholar] [CrossRef]
- Cheng, C.; Galindo-Torres, S.A.; Zhang, X.; Zhang, P.; Scheuermann, A.; Li, L. An improved immersed moving boundary for the coupled discrete element lattice Boltzmann method. Comput. Fluids 2018, 177, 12–19. [Google Scholar] [CrossRef]
- Wu, J.; Shu, C. An improved immersed boundary-lattice Boltzmann method for simulating three-dimensional incompressible flows. J. Comput. Phys. 2010, 229, 5022–5042. [Google Scholar] [CrossRef]


























| Koda et al. [42] | Alam et al. [41] | Meneghini et al. [43] | Present Work | |||||
|---|---|---|---|---|---|---|---|---|
| 1.5 | 1.107 | 0.016 | − | − | 1.06 | − | 1.070 | 0.020 |
| 2 | − | − | − | − | 1.03 | − | 1.052 | 0.047 |
| 3 | 1.043 | 0.023 | 1.018 | 0.022 | 1.00 | − | 1.043 | 0.022 |
| 4 | 1.267 | 0.532 | 1.255 | 0.551 | 1.18 | − | 1.256 | 0.547 |
| Koda et al. [42] | Alam et al. [41] | Meneghini et al. [43] | Present Work | |||||
|---|---|---|---|---|---|---|---|---|
| 1.5 | −0.201 | 0.041 | − | − | −0.08 | − | −0.211 | 0.056 |
| 2 | − | − | − | − | −0.17 | − | −0.231 | 0.189 |
| 3 | −0.130 | 0.209 | −0.130 | 0.212 | −0.08 | − | −0.132 | 0.267 |
| 4 | 0.482 | 1.210 | 0.360 | 1.117 | 0.380 | − | 0.380 | 1.117 |
| Cheng et al. [45] | Wu et al. [46] | Xu et al. [44] | Present Work | |||||
|---|---|---|---|---|---|---|---|---|
| 50 | − | − | − | − | 1.56 | 0.43 | 1.575 | 0.44 |
| 100 | 1.099 | − | 1.128 | − | 1.12 | 0.90 | 1.08 | 0.925 |
| 150 | − | − | − | − | 0.85 | 1.26 | 0.881 | 1.25 |
| 200 | 0.800 | − | 0.800 | − | 0.81 | 1.42 | 0.783 | 1.40 |
| Cores | 1 | 2 | 4 | 8 | 16 |
|---|---|---|---|---|---|
| Speedup | 1 | 1.73 | 3.37 | 5.77 | 9.05 |
| Efficiency | 100% | 86.51% | 84.25% | 72.13% | 56.56% |
| Cores | 1 | 2 | 4 | 8 | 16 |
|---|---|---|---|---|---|
| Speedup | 1 | 1.46 | 2.35 | 3.05 | 4.62 |
| Efficiency | 100% | 73.00% | 58.75% | 38.18% | 28.88% |
Disclaimer/Publisher’s Note: The statements, opinions and data contained in all publications are solely those of the individual author(s) and contributor(s) and not of MDPI and/or the editor(s). MDPI and/or the editor(s) disclaim responsibility for any injury to people or property resulting from any ideas, methods, instructions or products referred to in the content. |
© 2024 by the authors. Licensee MDPI, Basel, Switzerland. This article is an open access article distributed under the terms and conditions of the Creative Commons Attribution (CC BY) license (https://creativecommons.org/licenses/by/4.0/).
Share and Cite
Liu, Z.; Zhao, Y.; Zhu, W.; Wang, Y. A Parallel Algorithm Based on Regularized Lattice Boltzmann Method for Multi-Layer Grids. Appl. Sci. 2024, 14, 6976. https://doi.org/10.3390/app14166976
Liu Z, Zhao Y, Zhu W, Wang Y. A Parallel Algorithm Based on Regularized Lattice Boltzmann Method for Multi-Layer Grids. Applied Sciences. 2024; 14(16):6976. https://doi.org/10.3390/app14166976
Chicago/Turabian StyleLiu, Zhixiang, Yunhao Zhao, Wenhao Zhu, and Yang Wang. 2024. "A Parallel Algorithm Based on Regularized Lattice Boltzmann Method for Multi-Layer Grids" Applied Sciences 14, no. 16: 6976. https://doi.org/10.3390/app14166976
APA StyleLiu, Z., Zhao, Y., Zhu, W., & Wang, Y. (2024). A Parallel Algorithm Based on Regularized Lattice Boltzmann Method for Multi-Layer Grids. Applied Sciences, 14(16), 6976. https://doi.org/10.3390/app14166976

