Vortex Characterization and Parametric Study of Miniature Vortex Generators and Their Near-Field Boundary Layer Effects
Abstract
1. Introduction
2. Materials and Methods
2.1. Governing Equations and Numerical Setup
2.2. MVG Parameters and Flow Configuration
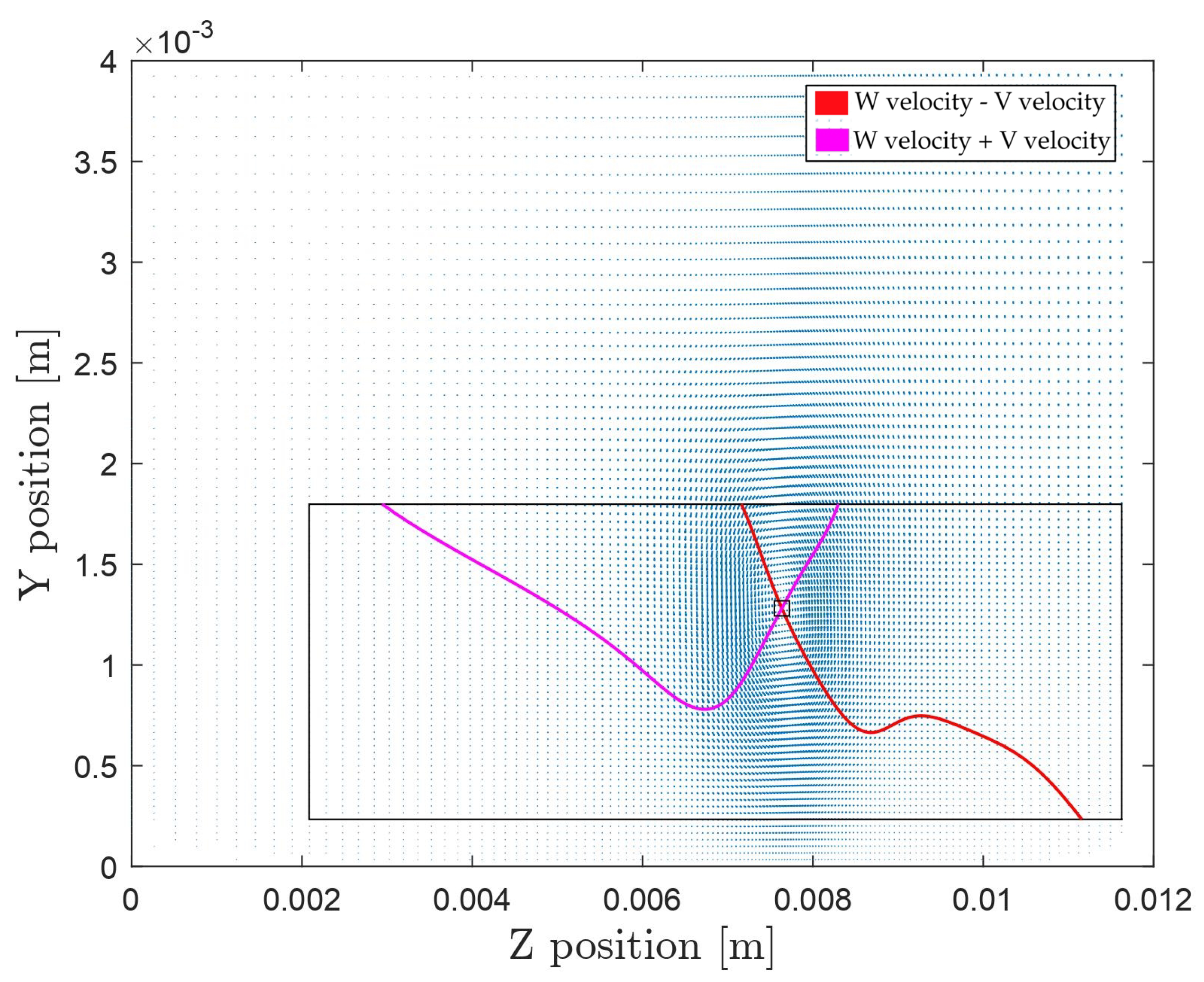
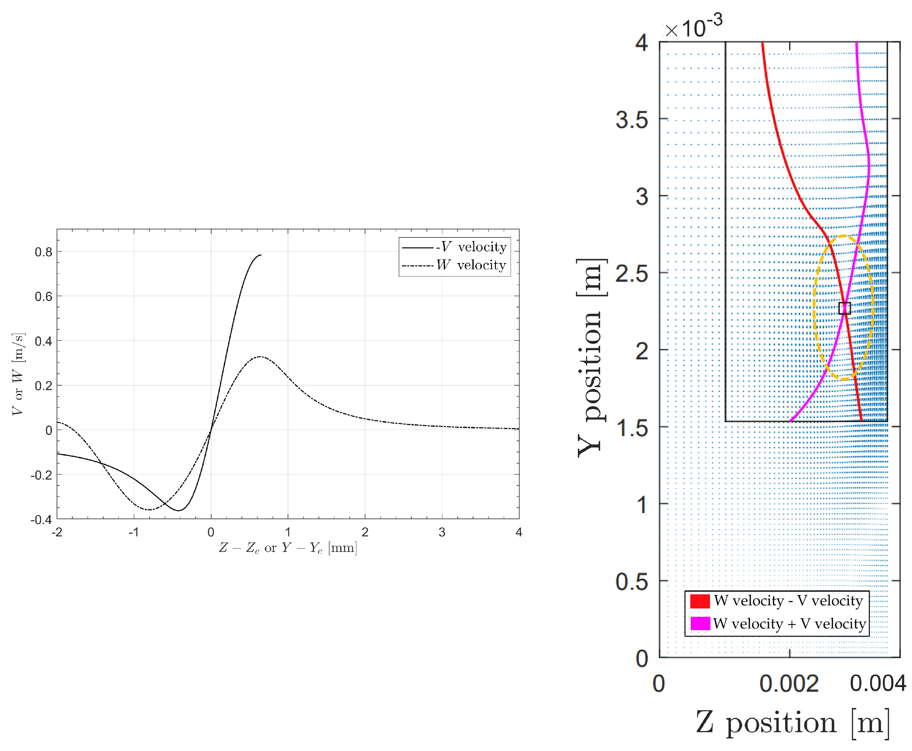
2.3. Vortex Characterization
3. Results
3.1. Batchelor Vortex Fitting
3.2. Heatmaps
3.3. Drag Reduction Potential and Correlation Maps
3.4. Vortical Structure Analysis
4. Discussion
4.1. Circulation ()
4.2. Aspect Ratio
4.3. Vortex Radius ()
5. Conclusions
Author Contributions
Funding
Institutional Review Board Statement
Informed Consent Statement
Data Availability Statement
Conflicts of Interest
References
- Li, L.; Xu, P.; Xu, W.; Lu, B.; Wang, C.; Tan, D. Multi-field coupling vibration patterns of the multiphase sink vortex and distortion recognition method. Mech. Syst. Signal Process. 2024, 219, 111624. [Google Scholar] [CrossRef]
- Morkovin, M.V. On the Many Faces of Transition. In Viscous Drag Reduction; Wells, C.S., Ed.; Springer: Boston, MA, USA, 1969; pp. 1–31. [Google Scholar]
- Reshotko, E. Transient growth: A factor in bypass transition. Phys. Fluids 2001, 13, 1067–1075. [Google Scholar] [CrossRef]
- Tollmien, W. Über die Entstehung der Turbulenz. 1. Mitteilung. Nachrichten Von Der Ges. Der Wiss. Göttingen Math.-Phys. Kl. 1928, 1929, 21–44. [Google Scholar]
- Kachanov, Y.S. Physical Mechanisms of Laminar-Boundary-Layer Transition. Annu. Rev. Fluid Mech. 1994, 26, 411–482. [Google Scholar] [CrossRef]
- Gad-el Hak, M. Flow Control. Appl. Mech. Rev. 1989, 42, 261–293. [Google Scholar] [CrossRef]
- Fransson, J.H.M.; Brandt, L.; Talamelli, A.; Cossu, C. Experimental and theoretical investigation of the nonmodal growth of steady streaks in a flat plate boundary layer. Phys. Fluids 2004, 16, 3627–3638. [Google Scholar] [CrossRef]
- Landahl, M.T. On sublayer streaks. J. Fluid Mech. 1990, 212, 593–614. [Google Scholar] [CrossRef]
- Brandt, L.; Henningson, D.S. Transition of streamwise streaks in zero-pressure-gradient boundary layers. J. Fluid Mech. 2002, 472, 229–261. [Google Scholar] [CrossRef]
- Siconolfi, L.; Camarri, S.; Fransson, J.H.M. Stability analysis of boundary layers controlled by miniature vortex generators. J. Fluid Mech. 2015, 784, 596–618. [Google Scholar] [CrossRef]
- Szabó, A.; Nagy, P.T.; De Baets, G.; Vanierschot, M.; Paál, G. Stability analysis of a streaky boundary layer generated by miniature vortex generators. Comput. Fluids 2024, 269, 106123. [Google Scholar] [CrossRef]
- Fransson, J.H.M.; Talamelli, A.; Brandt, L.; Cossu, C. Delaying Transition to Turbulence by a Passive Mechanism. Phys. Rev. Lett. 2006, 96, 064501. [Google Scholar] [CrossRef] [PubMed]
- Batchelor, G.K. Axial flow in trailing line vortices. J. Fluid Mech. 1964, 20, 645–658. [Google Scholar] [CrossRef]
- De Tullio, N.; Paredes, P.; Sandham, N.D.; Theofilis, V. Laminar–turbulent transition induced by a discrete roughness element in a supersonic boundary layer. J. Fluid Mech. 2013, 735, 613–646. [Google Scholar] [CrossRef]
- Konishi, Y.; Asai, M. Experimental investigation of the instability of spanwise-periodic low-speed streaks. Fluid Dyn. Res. 2004, 34, 299–315. [Google Scholar] [CrossRef]
- Fransson, J.H.M.; Brandt, L.; Talamelli, A.; Cossu, C. Experimental study of the stabilization of Tollmien–Schlichting waves by finite amplitude streaks. Phys. Fluids 2005, 17, 054110. [Google Scholar] [CrossRef]
- Shahinfar, S.; Fransson, J.H.M.; Sattarzadeh, S.S.; Talamelli, A. Scaling of streamwise boundary layer streaks and their ability to reduce skin-friction drag. J. Fluid Mech. 2013, 733, 1–32. [Google Scholar] [CrossRef]
- Shahinfar, S.; Sattarzadeh, S.S.; Fransson, J.H.M.; Talamelli, A. Revival of Classical Vortex Generators Now for Transition Delay. Phys. Rev. Lett. 2012, 109, 074501. [Google Scholar] [CrossRef] [PubMed]
- Weingaertner, A.; Mamidala, S.B.; Fransson, J.H. Application of Miniature Vortex Generators for Boundary Layer Transition Delay. In Proceedings of the AIAA SCITECH 2023 Forum, National Harbor, MD, USA & Online, 23–27 January 2023. [Google Scholar] [CrossRef]
- Siconolfi, L.; Camarri, S.; Fransson, J.H.M. Boundary layer stabilization using free-stream vortices. J. Fluid Mech. 2015, 764, R2. [Google Scholar] [CrossRef]
- De Baets, G.; Szabo, A.; Nagy, P.T.; Paal, G.; Vanierschot, M. Vortex Characteristics of Miniature Vortex Generators: A Numerical Investigation. In Proceedings of the Canadian Society for Mechanical Engineering: 31st Annual Conference of the Computational Fluid Dynamics Society of Canada, Toronto, ON, Canada, 26–29 May 2024. [Google Scholar]
- Schlichting, H.; Gersten, K. Boundary-Layer Theory; Springer: Berlin/Heidelberg, Germany, 2017. [Google Scholar] [CrossRef]
- Camarri, S.; Fransson, J.H.M.; Talamelli, A. Numerical Investigation of the AFRODITE Transition Control Strategy. In Progress in Turbulence V; Springer Proceedings in Physics; Talamelli, A., Oberlack, M., Peinke, J., Eds.; Springer International Publishing: Cham, Switzerland, 2014; Volume 149, pp. 65–69. [Google Scholar] [CrossRef]
- Vanierschot, M.; Szabó, A.; Nagy, P.T.; Paál, G. Direct Numerical Simulation of the Wake Flow of a Miniature Vortex Generator and its Interaction with a Laminar Boundary Layer. In Proceedings of the Conference on Modelling Fluid Flow CMFF22, Budapest, Hungary, 30 August–2 September 2022. [Google Scholar]
- Roache, P.J. Perspective: A Method for Uniform Reporting of Grid Refinement Studies. J. Fluids Eng. 1994, 116, 405–413. [Google Scholar] [CrossRef]
- Sattarzadeh, S.S.; Fransson, J.H.M. On the scaling of streamwise streaks and their efficiency to attenuate Tollmien–Schlichting waves. Exp. Fluids 2015, 56, 58. [Google Scholar] [CrossRef]


















| h (mm) | (mm) | d (mm) | L (mm) | w (mm) | (°) | (mm) |
|---|---|---|---|---|---|---|
| 1.3 | 13 | 3.25 | 3.25 | 0.3 | 9 | 222 |
| 0.36 | 3.60 | 0.90 | 0.90 | 0.08 | 61.48 |
Disclaimer/Publisher’s Note: The statements, opinions and data contained in all publications are solely those of the individual author(s) and contributor(s) and not of MDPI and/or the editor(s). MDPI and/or the editor(s) disclaim responsibility for any injury to people or property resulting from any ideas, methods, instructions or products referred to in the content. |
© 2024 by the authors. Licensee MDPI, Basel, Switzerland. This article is an open access article distributed under the terms and conditions of the Creative Commons Attribution (CC BY) license (https://creativecommons.org/licenses/by/4.0/).
Share and Cite
De Baets, G.; Szabó, A.; Nagy, P.T.; Paál, G.; Vanierschot, M. Vortex Characterization and Parametric Study of Miniature Vortex Generators and Their Near-Field Boundary Layer Effects. Appl. Sci. 2024, 14, 6966. https://doi.org/10.3390/app14166966
De Baets G, Szabó A, Nagy PT, Paál G, Vanierschot M. Vortex Characterization and Parametric Study of Miniature Vortex Generators and Their Near-Field Boundary Layer Effects. Applied Sciences. 2024; 14(16):6966. https://doi.org/10.3390/app14166966
Chicago/Turabian StyleDe Baets, Gilles, András Szabó, Péter Tamás Nagy, György Paál, and Maarten Vanierschot. 2024. "Vortex Characterization and Parametric Study of Miniature Vortex Generators and Their Near-Field Boundary Layer Effects" Applied Sciences 14, no. 16: 6966. https://doi.org/10.3390/app14166966
APA StyleDe Baets, G., Szabó, A., Nagy, P. T., Paál, G., & Vanierschot, M. (2024). Vortex Characterization and Parametric Study of Miniature Vortex Generators and Their Near-Field Boundary Layer Effects. Applied Sciences, 14(16), 6966. https://doi.org/10.3390/app14166966

