The Leaky-Wave Perspective for Array-Fed Fabry–Perot Cavity and Bull’s-Eye Antennas
Abstract
1. Introduction
2. Fabry–Perot Cavity Antennas
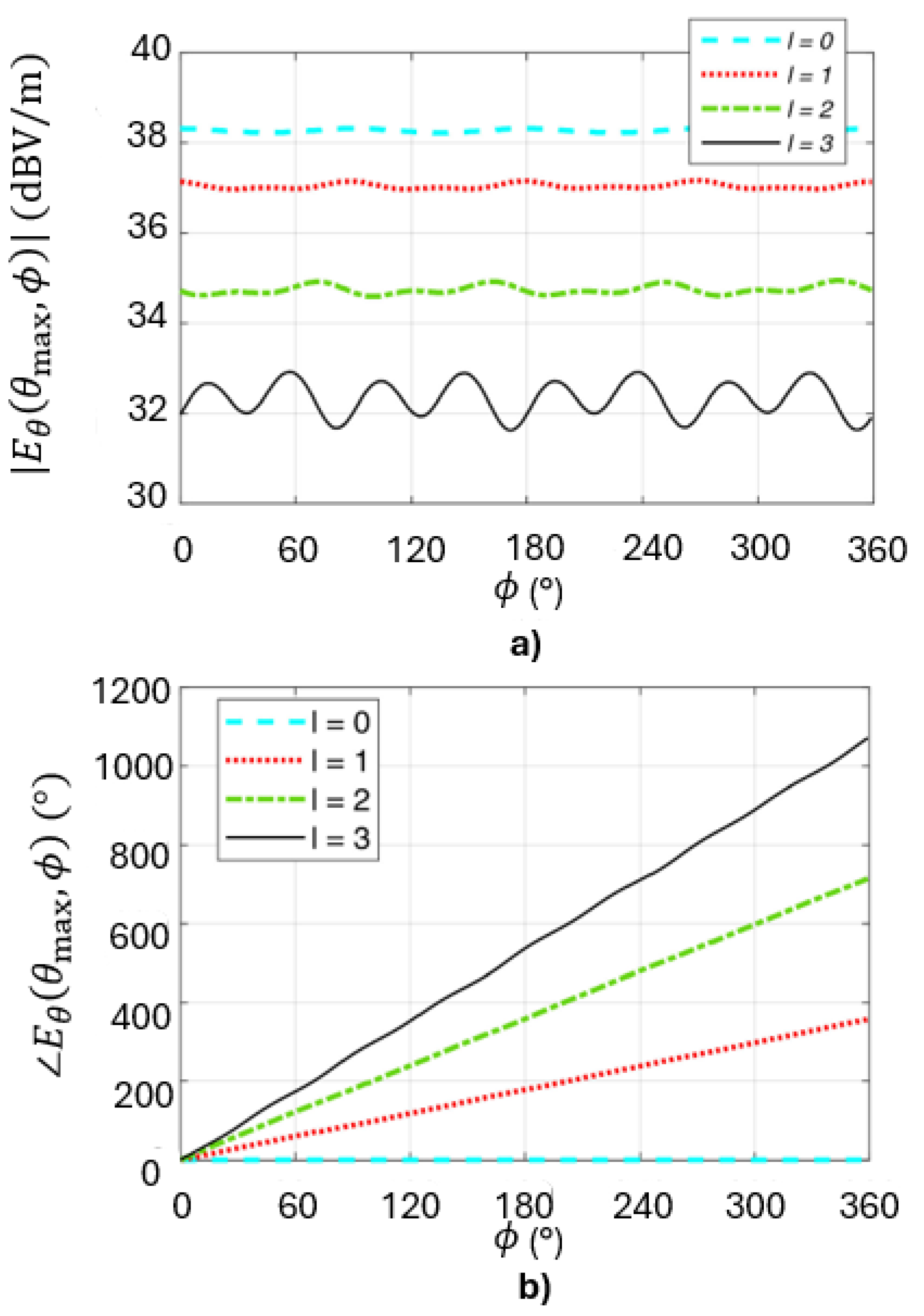
2.1. Fabry–Perot Cavities and Far-Field Twisted Beams
2.2. Fabry–Perot Cavities for Far-Field Polarization Reconfiguration
2.3. Fabry–Perot Cavities for Beam Scanning in Elevation and Azimuth
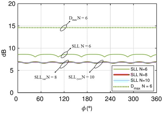
3. Bull’s-Eye Antennas
4. Conclusions
Author Contributions
Funding
Data Availability Statement
Acknowledgments
Conflicts of Interest
References
- Hessel, A. General characteristics of traveling-wave antennas. In Antenna Theory, Part 2; Collin, R.E., Zucker, F.J., Eds.; McGraw-Hill: New York, NY, USA, 1969. [Google Scholar]
- Jackson, D.R.; Caloz, C.; Itoh, T. Leaky-wave antennas. Proc. IEEE 2012, 100, 2194–2206. [Google Scholar] [CrossRef]
- Marcuvitz, N. On field representations in terms of leaky modes or eigenmodes. IRE Trans. Antennas Propag. 1956, 4, 192–194. [Google Scholar] [CrossRef]
- Goldstone, L.; Oliner, A.A. Leaky-wave antennas I: Rectangular Waveguides. IRE Trans. Antennas Propag. 1959, 7, 307–319. [Google Scholar] [CrossRef]
- Goldstone, L.; Oliner, A.A. Leaky-wave antennas II: Circular Waveguides. IRE Trans. Antennas Propag. 1961, 9, 280–290. [Google Scholar] [CrossRef]
- Balanis, C.A. Advanced Engineering Electromagnetics; John Wiley & Sons: Hoboken, NJ, USA, 2012. [Google Scholar]
- Ip, A.; Jackson, D.R. Radiation from cylindrical leaky waves. IEEE Trans. Antennas Propag. 1990, 38, 482–488. [Google Scholar] [CrossRef]
- Felsen, L. Real spectra, complex spectra, compact spectra. JOSA A 1986, 3, 486–496. [Google Scholar] [CrossRef]
- Fuscaldo, W.; Jackson, D.R.; Galli, A. General formulas for the beam properties of 1-D bidirectional leaky-wave antennas. IEEE Trans. Antennas Propag. 2019, 67, 3597–3608. [Google Scholar] [CrossRef]
- Zhao, T.; Jackson, D.R.; Williams, J.T.; Oliner, A.A. General formulas for 2-D leaky-wave antennas. IEEE Trans. Antennas Propag. 2005, 53, 3525–3533. [Google Scholar] [CrossRef]
- Tamir, T.; Oliner, A.A. Guided complex waves, Part 1: Fields at an interface Fields at an interface. Proc. Inst. Electr. Eng. 1963, 110, 310. [Google Scholar] [CrossRef]
- Tamir, T.; Oliner, A.A. Guided complex waves, Part 2: Relation to radiation patterns. Proc. Inst. Electr. Eng. 1963, 110, 325. [Google Scholar] [CrossRef]
- Fuscaldo, W.; Burghignoli, P.; Galli, A. Genealogy of Leaky, Surface, and Plasmonic Modes in Partially Open Waveguides. Phys. Rev. Appl. 2022, 17, 34–38. [Google Scholar] [CrossRef]
- Fong, B.H.; Colburn, J.S.; Ottusch, J.J.; Visher, J.L.; Sievenpiper, D.F. Scalar and tensor holographic artificial impedance surfaces. IEEE Trans. Antennas Propag. 2010, 58, 3212–3221. [Google Scholar] [CrossRef]
- Martinez-Ros, A.; Gómez-Tornero, J.L.; Goussetis, G. Holographic pattern synthesis with modulated substrate integrated waveguide line-source leaky-wave antennas. IEEE Trans. Antennas Propag. 2013, 61, 3466–3474. [Google Scholar] [CrossRef]
- Minatti, G.; Caminita, F.; Casaletti, M.; Maci, S. Spiral leaky-wave antennas based on modulated surface impedance. IEEE Trans. Antennas Propag. 2011, 59, 4436–4444. [Google Scholar] [CrossRef]
- Minatti, G.; Faenzi, M.; Martini, E.; Caminita, F.; De Vita, P.; González-Ovejero, D.; Sabbadini, M.; Maci, S. Modulated metasurface antennas for space: Synthesis, analysis and realizations. IEEE Trans. Antennas Propag. 2014, 63, 1288–1300. [Google Scholar] [CrossRef]
- Faenzi, M.; Caminita, F.; Martini, E.; De Vita, P.; Minatti, G.; Sabbadini, M.; Maci, S. Realization and measurement of broadside beam modulated metasurface antennas. IEEE Antennas Wirel. Propag. Lett. 2015, 15, 610–613. [Google Scholar] [CrossRef]
- González-Ovejero, D.; Jung-Kubiak, C.; Alonso-del Pino, M.; Reck, T.; Chattopadhyay, G. Design, fabrication and testing of a modulated metasurface antenna at 300 GHz. In Proceedings of the 11th European Conference on Antennas and Propagation (EUCAP) 2017, Paris, France, 19–24 March 2017; pp. 3416–3418. [Google Scholar]
- Fabry, C. Theorie et applications d’une nouvelle methods de spectroscopie intereferentielle. Ann. Chim. Ser. 7 1899, 16, 115–144. [Google Scholar]
- Trentini, G.V. Partially reflecting sheet arrays. IRE Trans. Antennas Propag. 1956, 4, 666–671. [Google Scholar] [CrossRef]
- Jackson, D.R.; Oliner, A.A.; Ip, A. Leaky-wave propagation and radiation for a narrow-beam multiple-layer dielectric structure. IEEE Trans. Antennas Propag. 1993, 41, 344–348. [Google Scholar] [CrossRef]
- Lovat, G.; Burghignoli, P.; Jackson, D.R. Fundamental properties and optimization of broadside radiation from uniform leaky-wave antennas. IEEE Trans. Antennas Propag. 2006, 54, 1442–1452. [Google Scholar] [CrossRef]
- James, J.R. Leaky-wave multiple dichroic beamformers. Electron. Lett. 1989, 18, 1209–1211. [Google Scholar] [CrossRef]
- Feresidis, A.P.; Vardaxoglou, J.C. High gain planar antenna using optimised partially reflective surfaces. IEE Proc. Microw. Antennas Propag. 2001, 148, 345–350. [Google Scholar] [CrossRef]
- Burghignoli, P.; Fuscaldo, W.; Galli, A. Fabry–Perot Cavity Antennas: The Leaky-Wave Perspective. IEEE Antennas Propag. Mag. 2021, 63, 116–145. [Google Scholar] [CrossRef]
- Jackson, D.R.; Oliner, A.A. A leaky-wave analysis of the high-gain printed antenna configuration. IEEE Trans. Antennas Propag. 1988, 36, 905–910. [Google Scholar] [CrossRef]
- Burghignoli, P.; Fuscaldo, W.; Mancini, F.; Comite, D.; Baccarelli, P.; Galli, A. Twisted beams with variable OAM order and consistent beam angle via single uniform circular arrays. IEEE Access 2020, 8, 163006–163014. [Google Scholar] [CrossRef]
- Su, H.; Shen, X.; Su, G.; Li, L.; Ding, J.; Liu, F.; Zhan, P.; Liu, Y.; Wang, Z. Efficient generation of microwave plasmonic vortices via a single deep-subwavelength meta-particle. Laser Photon. Rev. 2018, 12, 1800010. [Google Scholar] [CrossRef]
- Yan, Y.; Xie, G.; Lavery, M.P.; Huang, H.; Ahmed, N.; Bao, C.; Ren, Y.; Cao, Y.; Li, L.; Zhao, Z.; et al. High-capacity millimetre-wave communications with orbital angular momentum multiplexing. Nat. Commun. 2014, 5, 4876. [Google Scholar] [CrossRef] [PubMed]
- Allen, L.; Beijersbergen, M.W.; Spreeuw, R.; Woerdman, J. Orbital angular momentum of light and the transformation of Laguerre-Gaussian laser modes. Phys. Rev. Appl. 1992, 45, 8185. [Google Scholar] [CrossRef] [PubMed]
- Lee, D.; Sasaki, H.; Fukumoto, H.; Yagi, Y.; Shimizu, T. An evaluation of orbital angular momentum multiplexing technology. Appl. Sci. 2019, 9, 1729. [Google Scholar] [CrossRef]
- Trichili, A.; Park, K.H.; Zghal, M.; Ooi, B.S.; Alouini, M.S. Communicating using spatial mode multiplexing: Potentials, challenges, and perspectives. IEEE Commun. Surv. Tutor. 2019, 21, 3175–3203. [Google Scholar] [CrossRef]
- Yuan, T.; Wang, H.; Qin, Y.; Cheng, Y. Electromagnetic vortex imaging using uniform concentric circular arrays. IEEE Antennas Wirel. Propag. Lett. 2015, 15, 1024–1027. [Google Scholar] [CrossRef]
- Burghignoli, P.; Fuscaldo, W.; Comite, D.; Baccarelli, P.; Galli, A. Higher-Order Cylindrical Leaky Waves–Part I: Canonical sources and radiation formulas. IEEE Trans. Antennas Propag. 2019, 67, 6735–6747. [Google Scholar] [CrossRef]
- Kajiwara, A. Line-of-sight indoor radio communication using circular polarized waves. IEEE Trans. Veh. Technol. 1995, 44, 487–493. [Google Scholar] [CrossRef]
- Comite, D.; Baccarelli, P.; Burghignoli, P.; Galli, A. Omnidirectional 2-D leaky-wave antennas with reconfigurable polarization. IEEE Antennas Wirel. Propag. Lett. 2017, 16, 2354–2357. [Google Scholar] [CrossRef]
- Fuscaldo, W.; Galli, A.; Jackson, D.R. Optimization of 1-D unidirectional leaky-wave antennas based on partially reflecting surfaces. IEEE Trans. Antennas Propag. 2022, 70, 7853–7868. [Google Scholar] [CrossRef]
- Luukkonen, O.; Simovski, C.; Granet, G.; Goussetis, G.; Lioubtchenko, D.; Raisanen, A.V.; Tretyakov, S.A. Simple and accurate analytical model of planar grids and high-impedance surfaces comprising metal strips or patches. IEEE Trans. Antennas Propag. 2008, 56, 1624–1632. [Google Scholar] [CrossRef]
- Tretyakov, S. Analytical Modeling in Applied Electromagnetics; Artech House: Norwood, MA, USA, 2003. [Google Scholar]
- Mailloux, R.J. Phased Array Antenna Handbook; Artech House: Norwood, MA, USA, 2017. [Google Scholar]
- Borselli, L.; Di Nallo, C.; Galli, A.; Maci, S. Arrays with widely-spaced high-gain planar elements. In Proceedings of the IEEE Antennas and Propagation Society International Symposium. 1998 Digest. Antennas: Gateways to the Global Network. Held in Conjunction with: USNC/URSI National Radio Science Meeting (Cat. No.98CH36), Atlanta, GA, USA, 21–26 June 1998; Volume 2, pp. 1142–1145. [Google Scholar]
- Gardelli, R.; Albani, M.; Capolino, F. Array thinning by using antennas in a Fabry–Perot cavity for gain enhancement. IEEE Trans. Antennas Propag. 2006, 54, 1979–1990. [Google Scholar] [CrossRef]
- Scattone, F.; Ettorre, M.; Fuchs, B.; Sauleau, R.; Fonseca, N.J. Synthesis procedure for thinned leaky-wave-based arrays with reduced number of elements. IEEE Trans. Antennas Propag. 2015, 64, 582–590. [Google Scholar] [CrossRef]
- Costa, F.; Bianchi, D.; Monorchio, A.; Manara, G. Analytical design of extremely high-gain Fabry-Perot/leaky antennas by using multiple feeds. In Proceedings of the 2017 International Conference on Electromagnetics in Advanced Applications, Verona, Italy, 11–15 September 2017; pp. 1673–1675. [Google Scholar]
- Comite, D.; Burghignoli, P.; Baccarelli, P.; Galli, A. 2-D beam scanning with cylindrical-leaky-wave-enhanced phased arrays. IEEE Trans. Antennas Propag. 2019, 67, 3797–3808. [Google Scholar] [CrossRef]
- Comite, D.; Podilchak, S.K.; Kuznetcov, M.; Buendía, V.G.G.; Burghignoli, P.; Baccarelli, P.; Galli, A. Wideband array-fed Fabry-Perot cavity antenna for 2-D beam steering. IEEE Trans. Antennas Propag. 2021, 69, 784–794. [Google Scholar] [CrossRef]
- Baccarelli, P.; Burghignoli, P.; Lovat, G.; Paulotto, S. A novel printed leaky-wave’Bull’s-Eye’antenna with suppressed surface-wave excitation. In Proceedings of the IEEE Antennas and Propagation Society Symposium, Monterey, CA, USA, 20–25 June 2004; Volume 1, pp. 1078–1081. [Google Scholar]
- Encinar, J.A. Mode-matching and point-matching techniques applied to the analysis of metal-strip-loaded dielectric antennas. IEEE Trans. Antennas Propag. 1990, 38, 1405–1412. [Google Scholar] [CrossRef]
- Guglielmi, M.; Jackson, D.R. Broadside radiation from periodic leaky-wave antennas. IEEE Trans. Antennas Propag. 1993, 41, 31–37. [Google Scholar] [CrossRef]
- Burghignoli, P.; Baccarelli, P.; Frezza, F.; Galli, A.; Lampariello, P.; Oliner, A.A. Low-frequency dispersion features of a new complex mode for a periodic strip grating on a grounded dielectric slab. IEEE Trans. Microw. Theory Tech. 2002, 49, 2197–2205. [Google Scholar] [CrossRef]
- Albani, M.; Pavone, S.C.; Casaletti, M.; Ettorre, M. Generation of non-diffractive Bessel beams by inward cylindrical traveling wave aperture distributions. Opt. Express 2014, 22, 18354–18364. [Google Scholar] [CrossRef] [PubMed]
- Cai, B.G.; Li, Y.B.; Jiang, W.X.; Cheng, Q.; Cui, T.J. Generation of spatial Bessel beams using holographic metasurface. Opt. Express 2015, 23, 7593–7601. [Google Scholar] [CrossRef] [PubMed]
- Ettorre, M.; Grbic, A. Generation of propagating Bessel beams using leaky-wave modes. IEEE Trans. Antennas Propag. 2012, 60, 3605–3613. [Google Scholar] [CrossRef]
- Fuscaldo, W.; Comite, D.; Boesso, A.; Baccarelli, P.; Burghignoli, P.; Galli, A. Focusing Leaky Waves: A Class of Electromagnetic Localized Waves with Complex Spectra. Phys. Rev. Appl. 2018, 9, 054005. [Google Scholar] [CrossRef]
- Liu, H.; Xue, H.; Liu, Y.; Feng, Q.; Li, L. Generation of high-order Bessel orbital angular momentum vortex beam using a single-layer reflective metasurface. IEEE Access 2020, 8, 126504–126510. [Google Scholar] [CrossRef]
- Shen, Y.; Yang, J.; Meng, H.; Dou, W.; Hu, S. Generating millimeter-wave Bessel beam with orbital angular momentum using reflective-type metasurface inherently integrated with source. Appl. Phys. Lett. 2018, 112, 141901. [Google Scholar] [CrossRef]
- Wu, G.B.; Chan, K.F.; Chan, C.H. 3-D printed terahertz lens to generate higher order Bessel beams carrying OAM. IEEE Trans. Antennas Propag. 2020, 69, 3399–3408. [Google Scholar] [CrossRef]
- Xu, X.; Mazzinghi, A.; Freni, A.; Hirokawa, J. Simultaneous generation of three OAM modes by using a RLSA fed by a waveguide circuit for 60 GHz-band radiative near-field region OAM multiplexing. IEEE Trans. Antennas Propag. 2020, 69, 1249–1259. [Google Scholar] [CrossRef]
- Comite, D.; Fuscaldo, W.; Merola, G.; Burghignoli, P.; Baccarelli, P.; Galli, A. Twisted Bessel beams via bull-eye antennas excited by a single uniform circular array. IEEE Antennas Wirel. Propag. Lett. 2021, 20, 663–667. [Google Scholar] [CrossRef]





















Disclaimer/Publisher’s Note: The statements, opinions and data contained in all publications are solely those of the individual author(s) and contributor(s) and not of MDPI and/or the editor(s). MDPI and/or the editor(s) disclaim responsibility for any injury to people or property resulting from any ideas, methods, instructions or products referred to in the content. |
© 2024 by the authors. Licensee MDPI, Basel, Switzerland. This article is an open access article distributed under the terms and conditions of the Creative Commons Attribution (CC BY) license (https://creativecommons.org/licenses/by/4.0/).
Share and Cite
Madji, M.; Negri, E.; Fuscaldo, W.; Comite, D.; Galli, A.; Burghignoli, P. The Leaky-Wave Perspective for Array-Fed Fabry–Perot Cavity and Bull’s-Eye Antennas. Appl. Sci. 2024, 14, 6775. https://doi.org/10.3390/app14156775
Madji M, Negri E, Fuscaldo W, Comite D, Galli A, Burghignoli P. The Leaky-Wave Perspective for Array-Fed Fabry–Perot Cavity and Bull’s-Eye Antennas. Applied Sciences. 2024; 14(15):6775. https://doi.org/10.3390/app14156775
Chicago/Turabian StyleMadji, Mikhail, Edoardo Negri, Walter Fuscaldo, Davide Comite, Alessandro Galli, and Paolo Burghignoli. 2024. "The Leaky-Wave Perspective for Array-Fed Fabry–Perot Cavity and Bull’s-Eye Antennas" Applied Sciences 14, no. 15: 6775. https://doi.org/10.3390/app14156775
APA StyleMadji, M., Negri, E., Fuscaldo, W., Comite, D., Galli, A., & Burghignoli, P. (2024). The Leaky-Wave Perspective for Array-Fed Fabry–Perot Cavity and Bull’s-Eye Antennas. Applied Sciences, 14(15), 6775. https://doi.org/10.3390/app14156775

