New Display Technologies: The Most Desired Usage Properties and Their Perception during Product Interaction
Abstract
1. Introduction
2. Related Work
2.1. User Experience: Perceptions in Interaction with New Display Technologies
2.2. Usage Properties in Display Technologies
3. Materials and Methods
3.1. Selection of Subjects
3.2. Selection of Display Technologies and Their Usage Properties
3.3. Selection of Products and Website Development
3.4. Procedure
3.5. Analysis of the Results
- Non-parametric Friedman tests (repeated measures) by taking, as dependent variables, the ratings of perceptions for each usage property and the display technology. Technologies 2D, 360°, and AR were compared by half the sample, and 2D, 360°, ni_VR, and i_VR by the other half (as participants used either AR or VR, but not both). In each group, pairwise comparisons were performed by adjusting significance values using the Bonferroni correction for multiple tests. An a priori power analysis was performed by the Wilcoxon signed-rank test for matched pairs by taking the following as input parameters: power of 80%, error probability α of 0.05, effect size of 0.5 based on a mean difference of 0.5 and SD of difference = 1. The analysis showed a total sample size of 35 participants set for two tails.
- Independent-sample Mann–Whitney U tests were applied to verify possible differences between the usage properties between AR and ni_VR and also between AR and i_VR.
- Independent-sample Mann–Whitney U tests were also applied to check possible differences in usage properties’ ratings depending on product type. The properties’ ratings for each technology were taken as dependent variables and product type as the independent variable.
4. Results
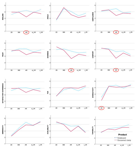
Importance and Perception of Technologies’ Usage Properties
5. Discussion
6. Conclusions
Supplementary Materials
Author Contributions
Funding
Institutional Review Board Statement
Informed Consent Statement
Data Availability Statement
Conflicts of Interest
References
- Kim, K.; Billinghurst, M.; Bruder, G.; Duh, H.B.L.; Welch, G.F. Revisiting Trends in Augmented Reality Research: A Review of the 2nd Decade of ISMAR (2008–2017). IEEE Trans. Vis. Comput. Graph. 2018, 24, 2947–2962. [Google Scholar] [CrossRef] [PubMed]
- Kim, W.B.; Choo, H.J. How Virtual Reality Shopping Experience Enhances Consumer Creativity: The Mediating Role of Perceptual Curiosity. J. Bus. Res. 2023, 154, 113378. [Google Scholar] [CrossRef]
- Zhu, T. The Impact of Non-Immersive Virtual Reality Technologies on Consumers’ Behaviors in Real Estate: A Website’s Perspective. In Proceedings of the 2022 IEEE International Symposium on Mixed and Augmented Reality Adjunct, ISMAR-Adjunct, Singapore, 17–21 October 2022; IEEE: Piscataway, NJ, USA, 2022; pp. 13–20. [Google Scholar]
- Park, M.; Im, H.; Kim, D.Y. Feasibility and User Experience of Virtual Reality Fashion Stores. Fash. Text. 2018, 5, 32. [Google Scholar] [CrossRef]
- Crilly, N.; Moultrie, J.; Clarkson, P.J. Seeing Things: Consumer Response to the Visual Domain in Product Design. Des. Stud. 2004, 25, 547–577. [Google Scholar] [CrossRef]
- Kuo, J.Y.; Chen, C.H.; Roberts, J.R.; Chang, D. Evaluation of the User Emotional Experience on Bicycle Saddle Designs via a Multi-Sensory Approach. Int. J. Ind. Ergon. 2020, 80, 103039. [Google Scholar] [CrossRef]
- Vergara, M.; Mondragón, S.; Sancho-Bru, J.L.; Company, P.; Agost, M.J. Perception of Products by Progressive Multisensory Integration. A Study on Hammers. Appl. Ergon. 2011, 42, 652–664. [Google Scholar] [CrossRef] [PubMed]
- Yim, M.Y.C.; Park, S.Y. “I Am Not Satisfied with My Body, so I like Augmented Reality (AR)”: Consumer Responses to AR-Based Product Presentations. J. Bus. Res. 2019, 100, 581–589. [Google Scholar] [CrossRef]
- Pleyers, G.; Poncin, I. Non-Immersive Virtual Reality Technologies in Real Estate: How Customer Experience Drives Attitudes toward Properties and the Service Provider. J. Retail. Consum. Serv. 2020, 57, 102175. [Google Scholar] [CrossRef]
- Berni, A.; Borgianni, Y. Applications of Virtual Reality in Engineering and Product Design: Why, What, How, When and Where. Electronics 2020, 9, 1064. [Google Scholar] [CrossRef]
- Palacios-Ibáñez, A.; Felip-Miralles, F.; Galán, J.; García-García, C.; Contero, M. Consumer Subjective Impressions in Virtual Reality Environments: The Role of the Visualization Technique in Product Evaluation. Electronics 2023, 12, 3051. [Google Scholar] [CrossRef]
- Felip, F.; Galán, J.; Contero, M.; García-García, C. Touch Matters: The Impact of Physical Contact on Haptic Product Perception in Virtual Reality. Appl. Sci. 2023, 13, 2649. [Google Scholar] [CrossRef]
- Galán, J.; Felip, F.; Garciá-Garciá, C.; Contero, M. The Influence of Haptics When Assessing Household Products Presented in Different Means: A Comparative Study in Real Setting, Flat Display, and Virtual Reality Environments with and without Passive Haptics. J. Comput. Des. Eng. 2021, 8, 330–342. [Google Scholar] [CrossRef]
- Zhou, X.; Rau, P.L.P. Determining Fidelity of Mixed Prototypes: Effect of Media and Physical Interaction. Appl. Ergon. 2019, 80, 111–118. [Google Scholar] [CrossRef] [PubMed]
- Palacios-Ibáñez, A.; Alonso-García, M.; Contero, M.; Camba, J.D. The Influence of Hand Tracking and Haptic Feedback for Virtual Prototype Evaluation in the Product Design Process. J. Mech. Des. 2023, 145, 041403. [Google Scholar] [CrossRef]
- Agost, M.-J.; Vergara, M.; Bayarri-Porcar, V. Perceiving Design Features in New Interaction Environments: Comparing Rendered Images, 360° Rotation, AR, Immersive and Non-Immersive VR, and Real Product Interaction. Appl. Sci. 2024, 14, 4470. [Google Scholar] [CrossRef]
- Kim, Y.M.; Rhiu, I. Development of a Virtual Reality System Usability Questionnaire (VRSUQ). Appl. Ergon. 2024, 119, 104319. [Google Scholar] [CrossRef] [PubMed]
- Picardi, A.; Caruso, G. User-Centered Evaluation Framework to Support the Interaction Design for Augmented Reality Applications. Multimodal Technol. Interact. 2024, 8, 41. [Google Scholar] [CrossRef]
- Al-kfairy, M.; Alomari, A.; Al-Bashayreh, M.; Alfandi, O.; Tubishat, M. Unveiling the Metaverse: A Survey of User Perceptions and the Impact of Usability, Social Influence and Interoperability. Heliyon 2024, 10, e31413. [Google Scholar] [CrossRef] [PubMed]
- Al-Adaileh, A.; Al-Kfairy, M.; Tubishat, M.; Alfandi, O. A Sentiment Analysis Approach for Understanding Users’ Perception of Metaverse Marketplace. Intell. Syst. Appl. 2024, 22, 200362. [Google Scholar] [CrossRef]
- Saprikis, V.; Avlogiaris, G.; Katarachia, A. Determinants of the Intention to Adopt Mobile Augmented Reality Apps in Shopping Malls among University Students. J. Theor. Appl. Electron. Commer. Res. 2021, 16, 491–512. [Google Scholar] [CrossRef]
- Davis, F.D. Technology Acceptance Model: TAM. In Information Seeking Behavior and Technology Adoption: Theories and Trends; Al-Suqri, M.N., Al-Aufi, A.S., Eds.; IGI Global: Hershey, PA, USA, 1989; pp. 205–219. [Google Scholar]
- Javornik, A. Augmented Reality: Research Agenda for Studying the Impact of Its Media Characteristics on Consumer Behaviour. J. Retail. Consum. Serv. 2016, 30, 252–261. [Google Scholar] [CrossRef]
- Verhagen, T.; Vonkeman, C.; Van Dolen, W. Making Online Products More Tangible: The Effect of Product Presentation Formats on Product Evaluations. Cyberpsychol. Behav. Soc. Netw. 2016, 19, 460–464. [Google Scholar] [CrossRef] [PubMed]
- Jordan, P.W. Designing Pleasurable Products; CRC Press: Boca Raton, FL, USA, 2000; ISBN 9780429219962. [Google Scholar]
- Agost, M.J.; Vergara, M.; Bayarri, V. The Use of New Presentation Technologies in Electronic Sales Environments and Their Influence on Product Perception. In Human Interface and the Management of Information. Information Presentation and Visualization, Proceedings of the International Conference on Human-Computer Interaction, Virtual, 24–29 July 2021; Lecture Notes in Computer Science (LNCS); Springer Science and Business Media Deutschland GmbH: Berlin/Heidelberg, Germany, 2021; Volume 12765, pp. 3–15. [Google Scholar]
- Zhang, S.; Li, W. Applying EXtended Reality(XR) Technology in Commerce, Management, and Business Applications: A Survey. In Proceedings of the 2024 4th International Conference on Computer, Control and Robotics (ICCCR), Shnaghai, China, 19–21 April 2024; pp. 108–113. [Google Scholar] [CrossRef]
- Scholz, J.; Duffy, K. We ARe at Home: How Augmented Reality Reshapes Mobile Marketing and Consumer-Brand Relationships. J. Retail. Consum. Serv. 2018, 44, 11–23. [Google Scholar] [CrossRef]
- Liao, Y.-C.; Wang, T.-H.; Koong Lin, H.-C.; Lin, K.-Y. Innovative Technologies and Learning, Proceedings of the Augmented Reality Applied to Smartphones and Wearable Devices—Virtual Furniture Simulation System, Portoroz, Slovenia, 27–30 August 2018; Springer: Berlin/Heidelberg, Germany, 2018. [Google Scholar]
- Figueiredo, M.; Mafalda, R.; Kamensky, A. Virtual Reality as an Educational Tool for Elementary School. In Interdisciplinary Conference on Innovation, Desgin, Entrepreneurship, And Sustainable Systems; Springer: Cham, Switzerland, 2021; Volume 198, pp. 261–267. [Google Scholar]
- Segura, Á.; Barandiaran, J.; Moreno, A.; Barandiaran, I.; Flórez, J. Improved Virtual Reality Perception with Calibrated Stereo and Variable Focus for Industrial Use. Int. J. Interact. Des. Manuf. 2018, 12, 95–103. [Google Scholar] [CrossRef]
- Dubin, A.K.; Julian, D.; Tanaka, A.; Mattingly, P.; Smith, R. A Model for Predicting the GEARS Score from Virtual Reality Surgical Simulator Metrics. Surg. Endosc. 2018, 32, 3576–3581. [Google Scholar] [CrossRef]
- Formosa, N.J.; Morrison, B.W.; Hill, G.; Stone, D. Testing the Efficacy of a Virtual Reality-Based Simulation in Enhancing Users’ Knowledge, Attitudes, and Empathy Relating to Psychosis. Aust. J. Psychol. 2018, 70, 57–65. [Google Scholar] [CrossRef]
- Xi, N.; Hamari, J. Shopping in Virtual Reality: A Literature Review and Future Agenda. J. Bus. Res. 2021, 134, 37–58. [Google Scholar] [CrossRef]
- Carmigniani, J.; Furht, B.; Anisetti, M.; Ceravolo, P.; Damiani, E.; Ivkovic, M. Augmented Reality Technologies, Systems and Applications. Multimed. Tools Appl. 2011, 51, 341–377. [Google Scholar] [CrossRef]
- Yoo, J.; Kim, M. The Effects of Online Product Presentation on Consumer Responses: A Mental Imagery Perspective. J. Bus. Res. 2014, 67, 2464–2472. [Google Scholar] [CrossRef]
- Agost, M.J.; Vergara, M. Relationship between Meanings, Emotions, Product Preferences and Personal Values. Application to Ceramic Tile Floorings. Appl. Ergon. 2014, 45, 1076–1086. [Google Scholar] [CrossRef]
- Desmet, P.; Hekkert, P. Framework of Product Experience. Int. J. Des. 2007, 1, 57–66. [Google Scholar]
- Arbeláez, J.C.; Osorio-Gómez, G. Crowdsourcing Augmented Reality Environment (CARE) for Aesthetic Evaluation of Products in Conceptual Stage. Comput. Ind. 2018, 99, 241–252. [Google Scholar] [CrossRef]
- Palacios-Ibáñez, A.; Navarro-Martínez, R.; Blasco-Esteban, J.; Contero, M.; Camba, J.D. On the Application of Extended Reality Technologies for the Evaluation of Product Characteristics during the Initial Stages of the Product Development Process. Comput. Ind. 2023, 144, 103780. [Google Scholar] [CrossRef]
- Van Damme, S.; Tack, J.; Van Wallendael, G.; De Turck, F.; Vega, M.T. Are We Ready for Haptic Interactivity in VR? In An Experimental Comparison of Different Interaction Methods in Virtual Reality Training. In Proceedings of the 2023 15th International Conference on Quality of Multimedia Experience, QoMEX 2023, Ghent, Belgium, 20–22 June 2023; Institute of Electrical and Electronics Engineers Inc.: Piscataway, NJ, USA, 2023; pp. 294–299. [Google Scholar]
- Gan, Q.; Liu, Z.; Liu, T.; Zhao, Y.; Chai, Y. Design and User Experience Analysis of AR Intelligent Virtual Agents on Smartphones. Cogn. Syst. Res. 2023, 78, 33–47. [Google Scholar] [CrossRef]
- Gattullo, M.; Laviola, E.; Evangelista, A.; Fiorentino, M.; Uva, A.E. Towards the Evaluation of Augmented Reality in the Metaverse: Information Presentation Modes. Appl. Sci. 2022, 12, 12600. [Google Scholar] [CrossRef]
- Afrin, S.; Zaman, S.R.; Sadekeen, D.; Islam, Z.; Tabassum, N.; Islam, M.N. How Usability and User Experience Vary among the Basic M-Commerce, AR and VR Based User Interfaces of Mobile Application for Online Shopping. In Advances in Design and Digital Communication II, Proceedings of the 5th International Conference on Design and Digital Communication, Digicom 2021, Barcelos, Portugal, 4–6 November 2021; Springer Series in Design and Innovation; Springer: Cham, Switzerland, 2022; Volume 19, pp. 44–53. ISBN 978-3-030-89735-2. [Google Scholar]
- Rauschnabel, P.A.; Ro, Y.K. Augmented Reality Smart Glasses: An Investigation of Technology Acceptance Drivers. Int. J. Technol. Mark. 2016, 11, 123–148. [Google Scholar] [CrossRef]
- Rese, A.; Schreiber, S.; Baier, D. Technology Acceptance Modeling of Augmented Reality at the Point of Sale: Can Surveys Be Replaced by an Analysis of Online Reviews? J. Retail. Consum. Serv. 2014, 21, 869–876. [Google Scholar] [CrossRef]
- Haugstvedt, A.C.; Krogstie, J. Mobile Augmented Reality for Cultural Heritage: A Technology Acceptance Study. In Proceedings of the ISMAR 2012—11th IEEE International Symposium on Mixed and Augmented Reality 2012, Atlanta, GA, USA, 5–8 November 2012; Science and Technology Papers. pp. 247–255. [Google Scholar]
- Balog, A.; Pribeanu, C. The Role of Perceived Enjoyment in the Students’ Acceptance of an Augmented Reality Teaching Platform: A Structural Equation Modelling Approach. Stud. Inform. Control 2010, 19, 319–330. [Google Scholar] [CrossRef]
- Venkatesh, V.; Morris, M.G.; Davis, G.B.; Davis, F.D. User Acceptance of Information Technology: Toward a Unified View. MIS Q. Manag. Inf. Syst. 2003, 27, 425–478. [Google Scholar] [CrossRef]
- Ahmad, M.I. Unified Theory of Acceptance and Use of Technology (UTAUT). A Decade of Validation and Development. LinkedIn Pulse 2015, 179–211. [Google Scholar]
- Stewart, D.W.; Pavlou, P.A. The Effects of Media on Marketing Communications. In Media Effects: Advances in Theory and Research; Taylor and Francis: London, UK, 2009; pp. 362–401. ISBN 9781135591106. [Google Scholar]
- Littlejohn, S.W.; Foss, K.A. Theories of Human Communication: Tenth Edition; Waveland Press, Inc.: Long Grove, IL, USA, 2010; Volume 4, ISBN 1478609397. [Google Scholar]
- Sundar, S.S. Media Effects 2.0: Social and Psychological Effects. In The SAGE Handbook of Media Processes and Effects; Nabi, R.L., Oliver, M.B., Eds.; SAGE Publications Inc.: Thousand Oaks, CA, USA, 2009; pp. 545–560. [Google Scholar]
- Shankar, V.; Balasubramanian, S. Mobile Marketing: A Synthesis and Prognosis. J. Interact. Mark. 2009, 23, 118–129. [Google Scholar] [CrossRef]
- Varadarajan, R.; Srinivasan, R.; Vadakkepatt, G.G.; Yadav, M.S.; Pavlou, P.A.; Krishnamurthy, S.; Krause, T. Interactive Technologies and Retailing Strategy: A Review, Conceptual Framework and Future Research Directions. J. Interact. Mark. 2010, 24, 96–110. [Google Scholar] [CrossRef]
- Radhakrishnan, K.; Thacker, A.K.; Maloo, J.C.; Gerryo, S.E.; Mousa, M.E. Descriptive Epidemiology of Some Rare Neurological Diseases in Benghazi, Libya. Neuroepidemiology 1988, 7, 159–164. [Google Scholar] [CrossRef] [PubMed]
- Steuer, J. Defining Virtual Reality: Dimensions Determining Telepresence. J. Commun. 1992, 42, 73–93. [Google Scholar] [CrossRef]










| Type | Usage Property | Description |
|---|---|---|
| Functionality | Realism | It provides a realistic representation: it has sufficient quality and resolution |
| Angle | It allows the product to be viewed from any angle | |
| Usefulness | It is useful | |
| Usability | Trust | It provides trust and security; it offers sufficient information to evaluate the product and to decide without risks |
| Easiness | It is easy to use | |
| Comfort | It provides comfort | |
| Pleasure | Satisfactory experience | It provides a satisfactory shopping experience |
| Fun | It provides fun | |
| Media | Interactivity | It provides interactivity: interaction with the presentation is allowed |
| Immersivity | It provides immersivity: you feel you are inside the represented environment | |
| Availability | It provides accessibility at home and can be used when shopping | |
| Tangibility | It allows product features to be perceptible to senses |
| Ratings | ||||||||||||
|---|---|---|---|---|---|---|---|---|---|---|---|---|
| Importance | 2D | 360° | AR | ni_VR | i_VR | |||||||
| M | SD | M | SD | M | SD | M | SD | M | SD | M | SD | |
| Realism | 4.62 | 0.61 | 3.77 | 1.05 | 3.96 | 0.91 | 3.69 | 1.42 | 3.92 | 0.75 | 4.03 | 1.40 |
| Angle | 4.27 | 0.86 | 2.75 | 1.03 | 4.57 | 0.68 | 3.79 | 1.34 | 3.24 | 1.20 | 3.58 | 1.59 |
| Usefulness | 4.22 | 0.82 | 4.10 | 0.98 | 4.26 | 0.68 | 3.92 | 1.38 | 3.79 | 0.91 | 3.82 | 1.29 |
| Trust | 4.29 | 0.77 | 3.77 | 0.93 | 4.00 | 0.86 | 3.64 | 1.39 | 3.61 | 0.89 | 3.71 | 1.37 |
| Easiness | 4.10 | 0.78 | 4.21 | 1.02 | 3.97 | 0.73 | 3.15 | 1.20 | 3.37 | 0.97 | 3.32 | 1.38 |
| Comfort | 4.12 | 0.87 | 4.22 | 0.87 | 4.09 | 0.73 | 3.15 | 1.31 | 3.63 | 0.88 | 3.11 | 1.37 |
| Satisfactory experience | 4.09 | 0.87 | 3.81 | 0.97 | 4.03 | 0.79 | 3.72 | 1.36 | 3.82 | 0.83 | 3.76 | 1.34 |
| Fun | 3.06 | 0.93 | 2.69 | 0.83 | 3.78 | 0.75 | 3.95 | 1.47 | 3.68 | 0.84 | 4.18 | 1.25 |
| Availability | 3.86 | 0.88 | 4.34 | 0.82 | 4.06 | 0.80 | 3.31 | 1.26 | 3.76 | 1.13 | 2.79 | 1.44 |
| Interactivity | 3.62 | 0.81 | 2.25 | 0.99 | 4.21 | 0.82 | 4.21 | 1.38 | 4.00 | 0.93 | 4.39 | 1.29 |
| Immersivity | 3.65 | 0.94 | 2.23 | 1.01 | 3.29 | 0.99 | 4.15 | 1.41 | 3.87 | 0.94 | 4.47 | 1.20 |
| Tangibility | 3.88 | 0.82 | 2.88 | 1.11 | 3.44 | 1.07 | 3.46 | 1.47 | 3.74 | 0.86 | 3.92 | 1.28 |
| MEAN | 3.42 | 3.97 | 3.68 | 3.70 | 3.76 | |||||||
Disclaimer/Publisher’s Note: The statements, opinions and data contained in all publications are solely those of the individual author(s) and contributor(s) and not of MDPI and/or the editor(s). MDPI and/or the editor(s) disclaim responsibility for any injury to people or property resulting from any ideas, methods, instructions or products referred to in the content. |
© 2024 by the authors. Licensee MDPI, Basel, Switzerland. This article is an open access article distributed under the terms and conditions of the Creative Commons Attribution (CC BY) license (https://creativecommons.org/licenses/by/4.0/).
Share and Cite
Agost, M.-J.; Bayarri-Porcar, V. New Display Technologies: The Most Desired Usage Properties and Their Perception during Product Interaction. Appl. Sci. 2024, 14, 6739. https://doi.org/10.3390/app14156739
Agost M-J, Bayarri-Porcar V. New Display Technologies: The Most Desired Usage Properties and Their Perception during Product Interaction. Applied Sciences. 2024; 14(15):6739. https://doi.org/10.3390/app14156739
Chicago/Turabian StyleAgost, Maria-Jesus, and Vicente Bayarri-Porcar. 2024. "New Display Technologies: The Most Desired Usage Properties and Their Perception during Product Interaction" Applied Sciences 14, no. 15: 6739. https://doi.org/10.3390/app14156739
APA StyleAgost, M.-J., & Bayarri-Porcar, V. (2024). New Display Technologies: The Most Desired Usage Properties and Their Perception during Product Interaction. Applied Sciences, 14(15), 6739. https://doi.org/10.3390/app14156739

