Effects of Palm Kernel Shells (PKS) on Mechanical and Physical Properties of Fine Lateritic Soils Developed on Basalt in Bangangté (West Cameroon): Significance for Pavement Application
Abstract
1. Introduction
2. Materials and Methods
2.1. General Setting of the Study Area
2.2. Materials
2.3. Methods
2.3.1. Tests on Natural Materials
2.3.2. Tests on PKS
2.3.3. Preparation of the Soil–PKS Mixture
2.3.4. Tests on Soil–PKS Mixture
3. Results and Discussions
3.1. Characterization of Fine Lateritic Materials
3.1.1. Mineralogical Composition and MBT
3.1.2. Water Content and Density Parameters
3.1.3. Particle Size Distribution (PSD) and Atterberg Limits
3.1.4. Compaction Characteristics
3.2. Physical and Mechanical Characterization of Palm Kernel Shells (PKS)
4. Geotechnical Characteristics of the PKS-Improved Fine Laterites
4.1. Particle Size Distribution and Atterberg Limits
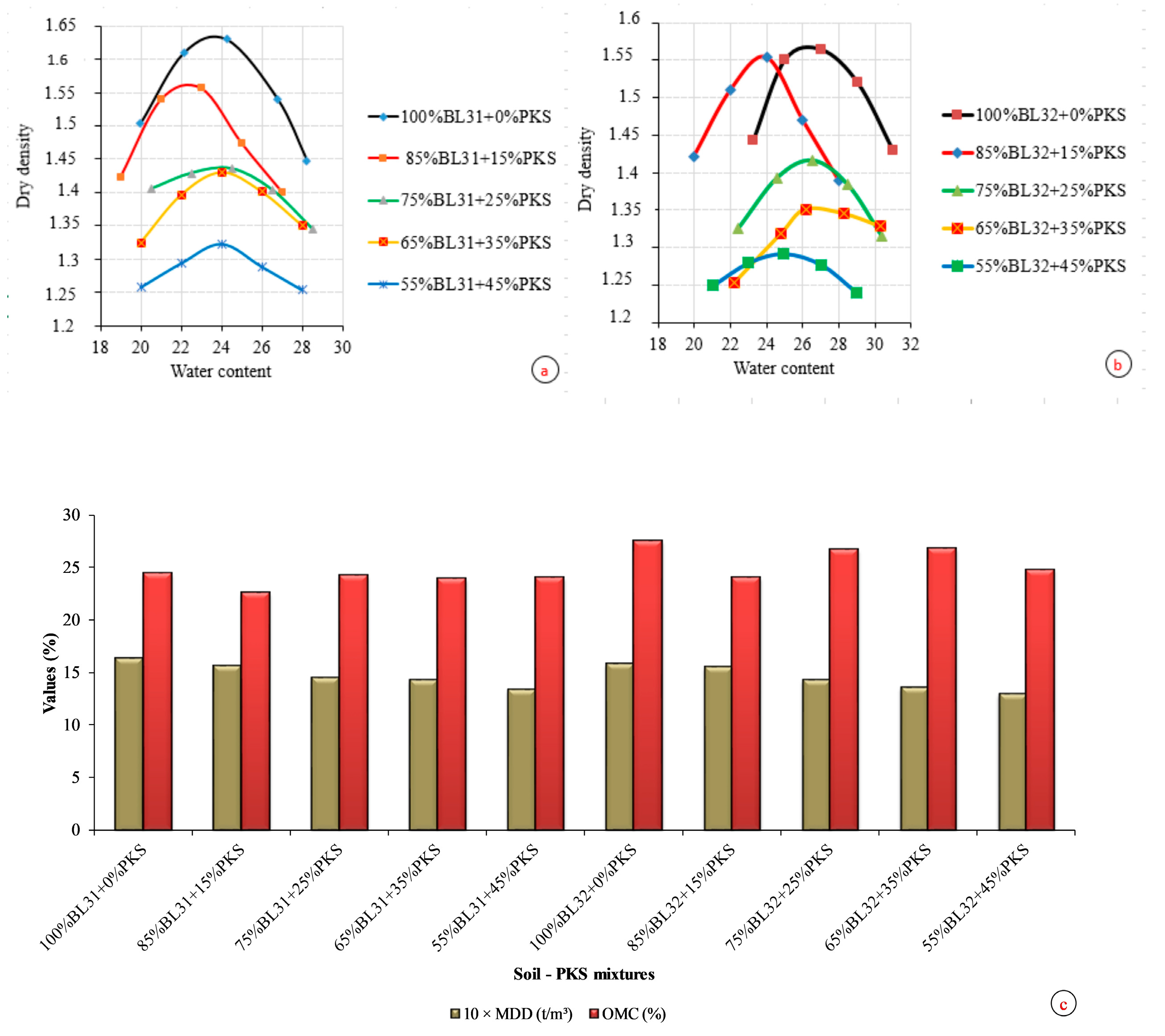
4.2. Mechanical Parameters
5. Conclusions
Author Contributions
Funding
Institutional Review Board Statement
Informed Consent Statement
Data Availability Statement
Acknowledgments
Conflicts of Interest
References
- Nahon, D. Altérations dans la zone tropicale. Signification à travers les mécanismes anciens et/ou encore actuels. C.R. Géosci. 2003, 335, 1109–1119. [Google Scholar] [CrossRef]
- Issiakou, S.M.; Saiyouri, N.; Anguy, Y.; Gaborieau, C.; Fabre, R. Study of lateritic materials used in road construction in Niger: Improvement method. In Proceedings of the 33ème Rencontres de l’AUGC, ISABTP/UPPA, Anglet, France, 27–29 May 2015; pp. 2–8. Available online: https://hal.archives-ouvertes.fr/hal-01167576 (accessed on 9 July 2023).
- Katte, V.Y.; Moupe Mfoyet, S.; Manefouet, B.; Wouatong, A.S.L.; Aleh Bezeng, L. Correlation of California Bearing Ratio (CBR) Value with Soil Properties of Road Subgrade Soil. Geotech. Geol. Eng. 2018, 37, 217–234. [Google Scholar] [CrossRef]
- Nyein Nyein, T. Effect of Lime on Engineering Properties of Cohesive Soil. Int. J. Trend Sci. Res. Dev. 2018, 2, 1757–1762. [Google Scholar]
- Niangoran Kouadio, C.; Thieblesson, L.M.; Kouakou Blikan, S.A.; Kouadio Koffi, T.S. Contribution à l’amélioration d’un Graveleux Latéritique Naturel de Type G3 par la Méthode de Litho-Stabilisation. Eur. J. Sci. Res. 2020, 155, 210–227. [Google Scholar]
- Millogo, Y.; Traore, K.; Ouedraogo, R.; Kabore, K.; Blanchart, P.; Thomassin, J.H. Geotechnical, mechanical, chemical and mineralogical characterization of lateritic gravel of Sapouy (Burkina Faso) used in road construction. J. Constr. Build. Mater. 2008, 22, 70–76. [Google Scholar] [CrossRef]
- Kamtchueng, B.T.; Onana, V.L.; Fantong, W.Y.; Ueda, A.; Ntouala, R.F.; Wongolo, M.H.; Ndongo, J.B.; Ngo’o Ze, A.; Kamgang, V.K.B.; Ondoa, J.M. Geotechnical, chemical and mineralogical evaluation of lateritic soils in humid tropical area (Mfou, Central-Cameroon): Implications for road construction. Int. J. Geo-Eng. 2015, 6, 1. [Google Scholar] [CrossRef]
- Hyoumbi, W.T.; Ludovic WA, S.; Pizette, P.; Abriak, N.E.; Medjo, R.E. Assessment of laterites suitable for Road contribution in Bafang Area (west Cameroon) Based on physical properties, geo-Environmental Factors and Gis software. J. Multidiscip. Eng. Sci. Technol. 2017, 4, 6815–6829. [Google Scholar]
- Ratsifarehandahy, D.F.; Ramaroson, M.; Rajaonah Rabevala, R.; Randriamalala, T.R. Study of stabilization of lateritic by binders, local plants and additives for construction road. Am. J. Innov. Res. Apply Sci. 2020, 11, 180–186. [Google Scholar]
- Tiomo, I.F.; Tematio, P.; Momo, N.M.; Happi, F.D.; Guimapi, T.N.; Tchaptchet, T.W.C. Mineralogical and geochemical evolution of pre-lateritic soil profiles over schist basement of the Lom series (Bétaré-Oya, East Cameroon): Implication to rock weathering and lithologic constraints on trace elements fractionation. J. Afr. Earth Sci. 2021, 176, 104133. [Google Scholar] [CrossRef]
- Ngueumdjo, Y.; Djoumbi, V.N.; Katte, V.Y.; Ngapgue, F.; Wouatong, A.S.L. Geomechanical characterization of lateritic hardpans from Bamendjou (West-Cameroon). Int. J. Geo-Eng. 2022, 13, 3. [Google Scholar] [CrossRef]
- Sikali, F.; Mir-Emarati, D. Utilisation des latérites en techniques routières au Cameroun. In Séminaire régional sur les latérites: Sols, matériaux, minerais: Sessions 1 et 3; ORSTOM: Paris, France, 1987; pp. 277–288. Available online: https://www.documentation.ird.fr/hor/fdi:25838 (accessed on 9 July 2023).
- Mbumbia, L.A.; de Wilmars Mertens Tirlocq, J. Performance characteristics of lateritic soil bricks fired at lowtemperatures: A case study of Cameroon. J. Constr. Build. Mater. 2000, 14, 121–131. [Google Scholar] [CrossRef]
- Hyoumbi, W.T.; Pizette, P.; Wouatong, A.S.L.; Abriak, N. Mineralogical, Chemical, Geotechnical and Mechanical Investigations of Bafang Lateritic Fine Soils Formed on Basalts (West-Cameroon) for Road Embankment Purpose. Earth Sci. Res. 2018, 7, 42–57. [Google Scholar] [CrossRef]
- Onana, V.L.; Nzabakurikiza, A.; Ndome Effoudou, E.; Likiby, B.; Kamgang Kabeyene, V.; Ekodeck, G.E. Geotechnical, mechanical and geological characterization of lateritic gravels of Boumpial (Cameroon) used in road construction. J. Cameroon Acad. Sci. 2015, 12, 45–54. [Google Scholar]
- Nzabakurikiza, A.; Onana, V.L.; Ze, A.N.O.; Mvindi, A.T.N.; Ekodeck, G.E. Geological, geotechnical, and mechanical characterization of lateritic gravels from Eastern Cameroon for road construction purposes. Bull. Eng. Geol. Environ. 2017, 76, 1549–1562. [Google Scholar] [CrossRef]
- Onana, V.L.; Ngo’o Ze, A.; Medjo Eko, R.; Ntouala, R.F.D.; Nanga Bineli, M.T.; Ngono Owoudou, B.; Ekodeck, G.E. Geological identification, geotechnical and mechanical characterization of charnockite-derived lateritic gravels from Southern Cameroon for road construction purposes. J. Afr. Earth Sci. 2016, 124, 371–382. [Google Scholar] [CrossRef]
- De Medina, J.; Motta, L.M.; Dos Santo, J.D. Deformability characteristics of Brazilian laterites. Geotech. Geol. Eng. 2006, 24, 949–971. [Google Scholar] [CrossRef]
- Mengue, E.; Mroueh, H.; Lancelot, L.; Medjo Eko, R. Dimensionnement d’une assise de chaussée à base d’un sol latéritique traité au ciment à différents dosages. 33ème Rencontres de l’AUGC, ISABTP/UPPA. Anglet 2015, 27–29, 1–9. [Google Scholar]
- Millogo, Y. Geotechnical, Chemical and Mineralogical Study of Clay and Laterite Raw Materials from Burkina Faso Improved with Hydraulic Binders: Application to Civil Engineering (Building and Road). Ph.D. Thesis, Inorganic Chemistry, University of Ouagadougou, Ouagadougou, Burkina Faso, 2008; 144p. [Google Scholar]
- Sabat, K. A Prediction of Maximum Dry Density and Specific Gravity of Fly Ash Using Support Vector Machine. Eur. J. Geotech. Eng. 2015, 20, 155–166. [Google Scholar]
- Lobe Bille, J.F.; Ngo’o Ze, A.; Onana, L.V.; Ekodeck, G.E. Effects of pozzolana addition and geogrid reinforcement of lateritic clays in the sub-Saharan zone (West Cameroon): Implications for road construction. Bull. Eng. Geol. Environ. 2022, 81, 272. [Google Scholar] [CrossRef]
- Balkıs, A.P.; Macid, S. Effect of Cement Amount on CBR Values of Different Soil. Eur. J. Sci. Technol. 2019, 16, 809–815. [Google Scholar] [CrossRef]
- Li, T.; Kong, L.; Liu, B. The California Bearing Ratio and Pore Structure Characteristics of Weakly Expansive Soil in Frozen Areas. J. Appl. Sci. 2020, 10, 7576. [Google Scholar] [CrossRef]
- Okagbue, C.O.; Yakubu, J.A. Limestone ash waste as a substitute for lime in soil improvement for engineering construction. Bull. Eng. Geol. Environ. 2000, 58, 107–113. [Google Scholar] [CrossRef]
- Melbouci, B. Etude comparative du traitement du sol marneux à la chaux et au ciment dans les couches de forme des chaussées. Commun. Sci. Technol. 2017, 18, 79–98. [Google Scholar]
- Hyoumbi Tchungouelieu, W.; Pizette, P.; Wouatong, A.S.L.; Nor-Edine Abriak Borre, L.R.; Norotiana Razafimahatratra, F.; Guiouillier, T. Investigations of the Crushed Basanite Aggregates Effects on Lateritic Fine Soils of Bafang Area (West-Cameroon). Geotech. Geol. Eng. 2019, 37, 2147–2164. [Google Scholar] [CrossRef]
- Ghembaza, M.S.; Dadouch, M.; Bellia, Z. Effet du ciment sur le comportement physico-chimique d’un matériau de la région de Sidi Bel Abbès. In Proceedings of the XXXème rencontres AUGCIBPSA, Chambery, Savoie, France, 6–8 June 2012. [Google Scholar]
- Souza Rocha, G.; Henrique de Carvalho Silva, C.; Nunes Pitanga, H.; Pinto Soares de Mendonça, E.; Cardoso de Lima, D.; Diniz da Corte, G. Effect of lime on the mechanical response of a soil for use in unpaved forest roads. Civ. Eng. J. 2019, 42, e44764. [Google Scholar]
- Ogila, A.M.W.; Eldamarawy, E.M. Use of Cement Kiln Dust for Improving the Geotechnical Properties of Collapsible Soils. Indian Geotech. J. 2022, 52, 70–85. [Google Scholar] [CrossRef]
- Ekeocha, N.E.; Agwuncha, F.N. Evaluation of palm kernel shells for use as stabilizing agents of lateritic soils. Asian Trans. Basic Appl. Sci. 2014, 4, 1–7. [Google Scholar]
- Adegoke, O.; Dewangan, G.C.; Pawar, P.; Pal, M. UV to X-Ray Comptonization Delay in Mrk 493. Astrophys. J. Lett. 2019, 870, 6. [Google Scholar] [CrossRef]
- Olugbenga, A.G.; Yahya, M.D.; Garba, M.U.; Mohammed, A. Utilization of Oil Properties to Develop a Spreading Rate Regression Model for Nigerian Crude Oil. Adv. Chem. Eng. Sci. 2020, 10, 332–342. Available online: https://www.scirp.org/journal/aces (accessed on 18 September 2020). [CrossRef]
- Megahid Ahmed, A.; Fargal, O.A.; Elrazek, M.A.; Eltawab, A.A. Effect of local additive (BM2010) on high performance concrete under sulphate attack. Mater. Sci. Eng. 2020, 956, 012017. [Google Scholar] [CrossRef]
- Saleem, M.; Hosoda, A. Development and testing of glow-in-the-dark concrete based raised pavement marker for improved traffic safety. J. Civ. Eng. Manag. 2021, 27, 278–287. [Google Scholar] [CrossRef]
- Aziz, M.A.; Zubair, M.; Saleem, M.; Alharthi, Y.M.; Ashraf, N.; Alotebi, K.S.; Agar, O.; Eid, A.A.A. Destructive, Nondestructive and Thermal Testing of Biochar-Mortar composite. Biomass Convers. Biorefinery 2023, 1–14. [Google Scholar] [CrossRef]
- Amu, O.O.; Adeyeri, J.B.; Oduma, E.W.; Fayokun, O.A. Stabilization Characteristics of Lime on Palm Kernel Blended Lateritic Soil. Trends Appl. Sci. Res. 2008, 3, 182–188. [Google Scholar]
- Alengaram, U.J.; Al Muhit, B.A.; Jumaat, M.Z. Utilization of Oil Palm Kernel Shell as Lightweight Aggregate in Concrete—A Review. Constr. Build. Mater. 2013, 38, 161–172. [Google Scholar] [CrossRef]
- Changizi, F.; Haddad, A. Stabilization of subgrade soil for highway by recycled polyester fiber. J. Rehabil. Civ. Eng. 2014, 2, 3–105. [Google Scholar]
- Adedokun, S.I.; Oluremi, J.R.; Obebe, D.S. Effect of Glass Fines on the Geotechnical Properties of Cement Stabilized Lateritic Soil. Int. J. Eng. Res. Afr. 2019, 45, 42–52. [Google Scholar] [CrossRef]
- Wouatong, A.S.L.; Wamba Danny, L.D.; Ngapgue, F.; Katte, Y.V.; Kabeyene Beyala, K.V. Influence of Random Inclusion of Synthetic Wicks Fibers of Hair on the Behavior of Clayey Soils. J. Geotech. Geol. Eng. 2017, 35, 2637–2646. [Google Scholar] [CrossRef]
- Babaliye, O.; Houanou Kocouvi, A.; Vianou, A.; Tchehouali, A.; Foudjet, A.E. Litho stabilization of the lateritic gravelly by granite crushed for their use in flexible pavement in Benin. Int. J. Adv. Res. 2020, 8, 1008–1016. [Google Scholar]
- Tiwari, N.; Satyam, N. An experimental study on the behavior of lime and silica fume treated coir geotextile reinforced expansive soil subgrade. Eng. Sci. Technol. Int. J. 2020, 23, 1214–1222. [Google Scholar] [CrossRef]
- Adeboje, A.; Kupolati, W.; Sadiku, E.; Ndambuki, J.; Kambole, C.; Ogunleye, O. Stabilization of lateritic soil with pulverized palm kernel shell (PPKS) for road construction. Afr. J. Sci. Technol. Innov. Dev. 2017, 9, 55–60. [Google Scholar] [CrossRef]
- Madjadoumbaye, J.; Ngapgue, F.; Nouanga, P.; Abdou, C.M.; Tamo, T.T. Improving the bearing capacity of laterite by adding sand. Eur. J. Geotech. Eng. 2013, 17, 1917–1928. [Google Scholar]
- Tamfuh, P.A.; Kouankap Nono, D.G.; Wotchoko, P. Geochemistry of a lateritic mantle developed on basalt in the Cameroon Western Highlands (Cameroon Volcanic Line). Geoderma 2020, 376, 114569. [Google Scholar] [CrossRef]
- Letouzey, R. Phytogeographic map of Cameroon. In Les Atlas Jeune Afrique; Jeune, A., Ed.; Les Atlas Jeune Afrique: Paris, France, 1980; pp. 20–24. [Google Scholar]
- Fitton, J.G. The Cameroon Line, Africa: A comparison between Oceanic and continental alkaline volcanism. In Alkaline Igneous Rocks; Fitton, J.G., Upton, B.G.J., Eds.; Special Publication; Geological Society: London, UK, 1987; Volume 30, pp. 273–291. [Google Scholar]
- Lee, D.C.; Halliday, A.N.; Fitton, J.C.; Poli, G. Isotopic variations with distance and time in the volcanic islands of the Cameroon line: Evidence for the plume origin. Earth Planet. Sci. Lett. 1994, 123, 119–138. [Google Scholar] [CrossRef]
- Déruelle, B.; Ngounouno, I.; Demaiffe, D. The Cameroon Hot Line (CHL): A Unique Example of Active Alkaline Intraplate Structure in both Oceanic and Continental Lithospheres. Comptes Rendus Geosci. 2007, 339, 589–600. [Google Scholar] [CrossRef]
- Kagou Dongmo, A.; Nkouathio, D.G.; Pouclet, A.; Bardintzeff, J.M.; Wandji, P.; Nono, A.; Guillou, H. The discovery of late Quaternary basalt on Mount Bambouto: Implications for recent widespread volcanic activity in the southern Cameroon Line. J. Afr. Earth Sc. 2010, 57, 96–108. [Google Scholar] [CrossRef]
- Tchouankoue, J.P.; Li, X.H.; Belnoun, R.N.N.; Mouafo, L.; Ferreira, V.P. Timing and tectonic implications of the Pan-African Bangangte syenomonzonite, West Cameroon: Constraints from in-situ zircon U-Pb age and Hf-O isotopes. J. Afr. Earth Sci. 2016, 124, 94–103. [Google Scholar] [CrossRef]
- Nono, A.; Likeng, J.D.H.; Wabo, H.; Tabue Youmbi, G.; Biaya, S. Influence of lithological nature and geological structures on groundwater quality and dynamics in the West Cameroon Highlands. Int. J. Biol. Chem. Sci. 2009, 3, 218–239. [Google Scholar]
- Tardy, Y. Petrology of Laterites and Tropical Soils; IBH Publishing Co., Pvt. Ltd.: Oxford, UK, 1997. [Google Scholar]
- Ufer, K.; Stanjek, H.; Roth, G.; Dohrmann, R.; Kleeberg, R.; Kaufhold, S. Quantitative phase analysis of bentonites by the Rietveld method. Clays Clay Miner. 2008, 56, 272. [Google Scholar] [CrossRef]
- NF P 94-050; Determination of the Water Content of Materials-Method by Steaming. AFNOR: Paris, France, 1991; 8p.
- AFNOR Sols: Reconnaissance et Essais. Détermination de la Masse Volumique des Particules Solides des Sols. Méthode du Pycnomètre à eau; Association Française de Normalisation: Paris, France, 1991; 8p.
- AFNOR. Méthodes d′Essai des Pierres Naturelles. Détermination des Masses Volumiques Réelle et Apparente et des Porosités Ouverte et Totale; AFNOR: Paris, France, 2007; p. 12. [Google Scholar]
- AFNOR. Sols: Reconnaissance et Essais. Analyse Granulométrique. Méthode par Sédimentation; AFNOR: Paris, France, 1992. [Google Scholar]
- AFNOR. Sols: Reconnaissance et Essais. Analyse Granulométrique. Méthode par Tamisage à sec Après Lavage; AFNOR: Paris, France, 1996. [Google Scholar]
- AFNOR. Sols: Reconnaissance et Essais. Détermination des Limites d’Atterberg. Limite de Liquidité à la Coupelle. Limite de Plasticité au Rouleau; AFNOR: Paris, France, 1993. [Google Scholar]
- AFNOR. Sols: Reconnaissance et Essai. Mesure de la Capacité d’Absorption de Bleu de Méthylène d’un Sol ou d’un Matériau Rocheux par l’Essai à la Tâche; AFNOR: Paris, France, 1998; p. 12. [Google Scholar]
- AFNOR. Sols: Reconnaissance et Essais. Détermination des Références de Compactage d’un Matériau. Essai Proctor Normal. Essai Proctor Modifié; AFNOR: Paris, France, 1999; p. 12. [Google Scholar]
- AFNOR. Sols: Reconnaissance et Essais. Indice CBR Après Immersion. Indice CBR Immédiat. Indice Portant Immédiat. Mesure sur Echantillon Compacté dans le Moule CBR; AFNOR: Paris, France, 1997; p. 12. [Google Scholar]
- AFNOR. Aggregates Normous Application Modalities NF EN in Trial on the Aggregate Flakiness Coefficient; AFNOR: Paris, France, 1997; p. 14. [Google Scholar]
- AFNOR. Aggregates, Normous Application Modalities NF EN in Trial on the Granulates: Los Angeles; AFNOR: Paris, France, 1990; p. 14. [Google Scholar]
- AFNOR. Roches. Détermination de la Résistance à la Compression Uniaxiale; AFNOR: Paris, France, 2000; p. 7. [Google Scholar]
- AFNOR. Détermination de la Résistance à la Traction-Méthode Indirecte—Essai Brésilien; AFNOR: Paris, France, 2001; p. 7. [Google Scholar]
- Tematio, P.; Fritsch, E.; Hodson, M.E.; Lucas, Y.; Bitom, D.; Bilong, P. Mineral and geochemical characterization of a leptic aluandic soil and a thapto aluandic-ferralsol developed on trachytes in Mount Bambouto (Cameroon volcanic line). Geoderma 2009, 152, 314–323. [Google Scholar] [CrossRef]
- Phillipponnat, G.; Hubert, B. Fondations et Ouvrages en Terre; Editions Eyrolles: Paris, France, 1998; 42p. [Google Scholar]
- Dupain, R.; Lanchon, R.; Saint-Arroman, J.-C. Granulats, Sols, Ciments et Bétons: Caractérisation des Matériaux du Génie Civil par les Essais de Laboratoire, Collection A. Capliez, Nouvelle edition; Casteilla: Paris, France, 2000; 235p. [Google Scholar]
- Guide Pratique de Dimensionnement des Chaussées Pour les Pays Tropicaux; CEBTP (Centre Expérimental du Bâtiment et de Travaux Publics): Paris, France, 1984; 155p.
- Amu, O.; Adetayo, O.; Faluyi, F.; Akinyele, E. Experimental Study of Improving the Properties of Lime-Stabilized Structural Lateritic Soil for Highway Structural Works using Groundnut Shell Ash. Walailak J. Sci. Tech. 2021, 18, 9475. [Google Scholar] [CrossRef]
- Lanchon, R. Cours de laboratoire: Granulats, bétons, sol. Castilla; Desforges: Paris, France, 1992; 137p. [Google Scholar]
- Shink, M. Elastic compatibility, mechanical behavior and optimization of lightweight aggregate concrete. Laval 2003. [Google Scholar]
- Amu, O.O.; Bamisaye, O.F.; Komolafe, I.A. The Suitability and Lime Stabilization Requirements of Some Lateritic Soil Samples as Pavement Construction Materials. Int. J. Pure Appl. Sci. Technol. 2011, 2, 29–46. [Google Scholar]
- Wouatong, A.S.L.; Medjo Eko, R.; Nankam, M.A.; Kamgang Kabeyene Beyala, V.; Ekodeck, G.E. Mineralogy, Geochemistry and Geotechnical Characteristics of Magha Landslides in the Bambouto Caldera, West Cameroon. J. Civ. Eng. Sci. 2014, 3, 36–49. [Google Scholar]
- Tchounang Kouonang, S.; Wouatong, A.S.L.; Deutou Nemaleu, J.G.; Yerima, K.P.B.; Njopwouo, D. Assessment of Ceramic Properties of Fired Clayey Brick Materials from Bamessing in North-West Cameroon (Central Africa). In Proceedings of the 59th International Colloquium On Refractories, EUROGRESS, Aachen, Germany, 28–29 September 2016. [Google Scholar]
- Ekodeck, G.E. Alteration of Metamorphic Rocks in Southern Cameroon and Its Geotechnical Aspects. Ph.D. Thesis, University Scientific Et Medic, Grenoble, France, 1984; 368p. [Google Scholar]
- Onana, V.L.; Ze AN, O.; Eko, R.M.; Ntouala RF, D.; Bineli, M.N.; Owoudou, B.N.; Ekodeck, G.E. Geological identification, geotechnical and mechanical characterization of charnockite-derived lateritic gravels from Southern Cameroon for road Construction purposes. Transp. Geotech. 2017, 10, 35–46. [Google Scholar] [CrossRef]
- Autret, P. Latérites et graveleux latéritiques; Institut des Sciences et des techniques de l’Équipement et de l’Environnement pour le Développement (ISTED): Paris, France, 1983; 38p. [Google Scholar]
- DEGN (Recommandation pour l’Utilisation en Corps de Chaussées de Graveleux Latéritiques Naturels) Recommandation, 3.0.0.0.4.-R; République du Cameroun, Ministère de L’équipement: Yaoundé, Cameroun, 1987.
- Paige-Green, P.; Pinard, M.I.; Netterberg, F. Low-Volume Roads with Neat Sand Bases. J. Transp. Research. Board 2015, 2474, 56–62. [Google Scholar] [CrossRef]
- Vouffo, M.; Tiomo, I.F.; Kemtchou Fanmi, H.; Kamga Djoumen, T.; Ngapgue, F. Physical and mechanical characterization of pyroclastic materials in Baleng area (Bafoussam, West-Cameroon): Implication for use in civil engineering. J. Case Stud. Constr. Mater. 2022, 16, e00916. [Google Scholar] [CrossRef]
- Jerry, V.P.E. Soil Mechanics; GEM Engineering Inc.: Louisville, KY, USA, 2008; Volume 502, pp. 493–7100. [Google Scholar]
- Adeyemi, G.O.; Wahab, K.A. Variability in the geotechnical properties of a lateritic soil from south western Nigeria. Bull. Eng. Geol. Environ. 2008, 67, 579–584. [Google Scholar] [CrossRef]
- Alengaram, U.J.; Mahmud, H.; Jumaat, M.Z.; Shirazi, S.M. Effect of aggregate size and proportion on strength properties of palm kernel shell concrete. Int. J. Phys. Sci. 2010, 5, 1848–1856. [Google Scholar]
- Ndiaye, M. Contribution to the Study of Lateritic Soils of Senegal and Brazil. Ph.D. Thesis, l’université Paris Est et l’Université Cheikh Anta Diop de Dakar, Dakar, Senegal, 2013; 163p. [Google Scholar]
- Uche OA, U.; Ahmed, J.A. Effect of Millet Husk Ash on Index Properties of Marginal Lateritic Soil. Niger. Res. J. Eng. Appl. Sci. 2013, 2, 365–369. [Google Scholar]
- Ngagoum, S.G.; Fokwa, D.; Tchemou, G.; Maxime, E. Study of physico-mechanical properties of concretes based on palm kernel shells originating from the locality of Haut Nkam in Cameroon. J. Civ. Eng. Constr. Technol. 2020, 11, 13–27. [Google Scholar]
- Dasho, D.K.; Verma, K.R. Geotechnical Investigation and Effect of Moisture Content on Subgrade CBR Values; Arbaminch-Chencha Existing Road; Ethiopia. Int. J. Eng. Res. Technol. 2019, 8, 347–363. [Google Scholar]
- Rabbechaut, H.; Guenin, G.; Ame, J. Absorption de l’eau par les noix de palme (Elaeis guineensis Jacq. var. Dura Becc.). Cah. ORSTOM Sér. Biot. 1969, 7, 15. [Google Scholar]
- Nguyen, B.T.; Mohajerani, A. Prediction of California Bearing Ratio from Physical Properties of Fine-Grained Soils. World Acad. Sci. Eng. Technol. Int. J. Civ. Environ. Eng. 2015, 9, 136–141. [Google Scholar]
- Nnochiri, E.S.; Ogundipe, O.M.; Oluwatuyi, O.E. Effects of palm kernel shell ash on lime-stabilized lateritic soil. Slovak J. Civ. Eng. 2017, 25, 1–7. [Google Scholar] [CrossRef]














| Profile | Samples | Kaolinite | Hematite | Goethite | Gibbsite | Anatase | Feldspars | Quartz | Magnetite | Ilmenite | MBT (g/100 g) |
|---|---|---|---|---|---|---|---|---|---|---|---|
| BG1 | BL15 | 39.6 | 12.3 | 17.1 | 7.1 | 7.4 | 2.7 | 1.4 | 5.6 | 6.7 | 0.4 |
| BL17 | 47.0 | 7.1 | 23.6 | 4.6 | 11.6 | 1.3 | 3.4 | 1.1 | 0.2 | 0.4 | |
| BL23 | 44.3 | 7.8 | 10.5 | 10.9 | 10.8 | 3.9 | 4.7 | 3.1 | 3.9 | 0.4 | |
| BL24 | 44.3 | 8.1 | 12.5 | 6.9 | 10.8 | 3.9 | 5.7 | 3.1 | 3.9 | 0.6 | |
| BL26 | 28.6 | 17.8 | 24.0 | 9.0 | 7.2 | 4.9 | 3.2 | 3.9 | 1.3 | 0.5 | |
| BL32 | 37.3 | 9.3 | 12.1 | 14.4 | 11.7 | 4.1 | 3.7 | 4.9 | 2.3 | 0.5 | |
| BG2 | BL13 | 39.3 | 28.4 | 14.1 | 10.5 | 0.9 | 3.6 | 2.5 | 0.0 | 0.6 | 0.3 |
| BL16 | 39.3 | 17.2 | 15.1 | 10.6 | 6.2 | 2.9 | 4.4 | 1.5 | 5.5 | 0.4 | |
| BL20 | 33.1 | 18.1 | 13.2 | 17.4 | 4.9 | 3.0 | 5.5 | 2.1 | 2.1 | 0.4 | |
| BL27 | 32.7 | 17.8 | 11.1 | 15.7 | 3.9 | 4.9 | 4.3 | 5.7 | 3.6 | 0.2 | |
| BL29 | 39.0 | 13.7 | 11.6 | 8.7 | 8.7 | 4.2 | 6.8 | 5.9 | 0.5 | 0.5 | |
| BL31 | 38.0 | 15.9 | 12.6 | 8.7 | 8.3 | 3.4 | 5.5 | 2.8 | 4.7 | 0.6 |
| Profiles | BG1 | BG2 | ||||||||||
|---|---|---|---|---|---|---|---|---|---|---|---|---|
| Geotechnical parameters | BL15 | BL17 | BL23 | BL24 | BL26 | BL32 | BL13 | BL16 | BL20 | BL27 | BL29 | BL31 |
| Water content (ω) (%) | 25.3 | 26.8 | 26.1 | 22.3 | 15.3 | 21.5 | 22.3 | 25.1 | 18.6 | 18.2 | 22.6 | 22.5 |
| Specific gravity (Gs) | 2.79 | 2.09 | 2.092 | 2.11 | 2.03 | 2.021 | 2.058 | 2.057 | 2.077 | 2.083 | 2.094 | 2.025 |
| Bulk density (γ) (t/m3) | 1.93 | 1.58 | 1.91 | 1.61 | 1.61 | 1.598 | 1.91 | 1.68 | 1.77 | 1.711 | 1.65 | 1.667 |
| Gravel | 0.0 | 2.95 | 15.11 | 12.22 | 0.14 | 2.6 | 0.0 | 0.7 | 15.11 | 0.0 | 4.99 | 2.4 |
| Coarse sand | 0.79 | 12.31 | 3.6 | 20.91 | 8.21 | 3.4 | 2.87 | 8.8 | 6.72 | 9.96 | 13.89 | 6.6 |
| Fine sand | 7.54 | 6.54 | 8.83 | 11.97 | 21.92 | 15.8 | 11.48 | 20.63 | 5.71 | 22.383 | 10.75 | 15.7 |
| Silt | 27.32 | 24.85 | 11.34 | 14.89 | 20.16 | 24.2 | 27.98 | 27.09 | 11.34 | 23.427 | 12.97 | 27.5 |
| Clay | 57.45 | 46.54 | 61.12 | 40.00 | 48.34 | 50.0 | 54.00 | 40.45 | 61.12 | 41.67 | 57.4 | 47.8 |
| Atterberg limits | ||||||||||||
| LL (%) | 69.01 | 59.8 | 76.8 | 59 | 48.25 | 71.7 | 59.2 | 65.5 | 60.4 | 61.6 | 68.3 | 71.8 |
| PL (%) | 40.31 | 30.46 | 41 | 35.15 | 28.78 | 41.7 | 35.38 | 31.1 | 36.76 | 37.4 | 45.02 | 41.7 |
| PI (%) | 28.7 | 29.4 | 35.8 | 23.87 | 19.47 | 30.0 | 23.82 | 34.4 | 23.63 | 24.2 | 23.28 | 30.0 |
| CI | 2.01 | 0.92 | 1.64 | 1.86 | 1.8 | 1.0 | 1.75 | 1.36 | 2.28 | 1.97 | 2.37 | 1.0 |
| Modified Proctor | ||||||||||||
| OMC (%) | 24.9 | 21 | 14.8 | 20 | 19.2 | 27.5 | 17.4 | 17.6 | 25.5 | 21 | 18.2 | 24.4 |
| MDD (t/m3) | 1.63 | 1.63 | 1.83 | 1.73 | 1.60 | 1.58 | 1.70 | 1.70 | 1.58 | 1.65 | 1.69 | 1.63 |
| CBR at 95% of MDD (%) | 22 | 25.5 | 29 | 23 | 29 | 16.0 | 32 | 27 | 23 | 35 | 27 | 14 |
| Classification of soils samples | ||||||||||||
| Highway Research Board (AASHTO) | A-7-5-(19) | A-7-5-(17) | A-7-5-(20) | A-6-(14) | A-6-(13) | A-7-5-(20) | A-7-5-(17) | A-7-5-(20) | A-7-5-(18) | A-7-5-(18) | A-7-5-(20) | A-7-5-(20) |
| Earthworks Road Guide (GTR) | A3ts | A2ts | A2ts | A3ts | A3ts | A2ts | A2ts | A2ts | A3ts | A3ts | A2ts | A2ts |
| USCS | Silty clay (CH) | |||||||||||
| Properties | PKS of Bangangté | |
|---|---|---|
| Variety of shells | Dura | |
| Crushing mode | Mechanical | |
| ɤ (t/m3) | 1.09 | |
| Water absorption after 48 h immersion | 20.78 | |
| Thickness (mm) | 5–7 | |
| Particle size distribution | d < 0.08 mm | 0.00% |
| d ≥ 2 mm | 94.60% | |
| Maximum size (mm) | 16.00 | |
| Uniformity coefficient | 4.80 | |
| Curvature coefficient | 1.40 | |
| Fineness modulus | 5.70 | |
| Flakiness index (%) FC | 34.60 | |
| Los Angeles (%) | 6.3/10 | 4.00 |
| 010/14 | 4.1 | |
| Mixtures | Statistical Data of Each Parameter | Particle Size Distribution | Atterberg Limits | Modified Proctor | Californian Bearing Ratios | ||||||
|---|---|---|---|---|---|---|---|---|---|---|---|
| 0.08 mm | 2 mm | LL (%) | LP (%) | PI (%) | CI | MDD (t/m3) | OMC (%) | SCBR (%) | UCBR (%) | ||
| 100%BL31 + 0%PKS | Min | 75.954 | 74.980 | 69.940 | 40.470 | 28.770 | 1.000 | 1.589 | 23.850 | 13.950 | 15.020 |
| Max | 78.010 | 79.970 | 73.730 | 43.090 | 31.570 | 1.090 | 1.686 | 25.030 | 15.000 | 17.010 | |
| Mean | 76.871 | 77.400 | 71.810 | 41.740 | 30.010 | 1.010 | 1.628 | 24.400 | 14.000 | 16.000 | |
| SD | 14.904 | 8.404 | 2.820 | 1.904 | 3.400 | 0.061 | 0.081 | 1.302 | 1.130 | 0.995 | |
| 85%BL31 + 15%PKS | Min | 49.780 | 65.980 | 62.720 | 42.810 | 18.780 | 1.010 | 1.590 | 22.400 | 15.900 | 18.460 |
| Max | 51.050 | 68.270 | 65.660 | 45.500 | 20.020 | 1.500 | 1.642 | 23.450 | 17.200 | 19.970 | |
| Mean | 50.702 | 66.410 | 64.350 | 44.410 | 19.940 | 1.160 | 1.560 | 22.600 | 16.000 | 19.400 | |
| SD | 14.601 | 8.100 | 2.500 | 1.500 | 3.600 | 0.061 | 0.117 | 1.100 | 1.200 | 1.200 | |
| 75%BL31 + 25%PKS | Min | 41.680 | 70.610 | 63.020 | 42.900 | 19.000 | 1.100 | 1.397 | 23.600 | 31.740 | 36.190 |
| Max | 44.130 | 73.040 | 64.450 | 44.140 | 21.170 | 1.100 | 1.422 | 24.870 | 33.010 | 37.760 | |
| Mean | 43.680 | 72.300 | 63.570 | 43.350 | 20.160 | 1.100 | 1.441 | 24.200 | 32.000 | 37.000 | |
| SD | 14.423 | 8.200 | 2.700 | 1.500 | 3.300 | 0.061 | 0.117 | 1.100 | 1.100 | 1.300 | |
| 65%BL31 + 35%PKS | Min | 40.020 | 76.010 | 63.040 | 43.070 | 20.022 | 1.090 | 1.400 | 23.000 | 47.000 | 49.010 |
| Max | 42.430 | 79.800 | 64.310 | 35.780 | 21.230 | 1.140 | 1.460 | 24.190 | 50.000 | 50.910 | |
| Mean | 41.346 | 78.800 | 63.350 | 43.640 | 20.710 | 1.110 | 1.430 | 23.900 | 49.000 | 50.000 | |
| SD | 14.210 | 8.401 | 2.501 | 1.711 | 3.410 | 0.061 | 0.117 | 1.000 | 1.603 | 1.000 | |
| 55%BL31 + 45%PKS | Min | 37.980 | 89.010 | 58.390 | 46.790 | 18.670 | 1.300 | 1.310 | 23.001 | 64.003 | 69.660 |
| Max | 39.530 | 90.110 | 62.750 | 49.580 | 21.310 | 1.330 | 1.380 | 26.000 | 67.001 | 74.040 | |
| Mean | 38.890 | 89.093 | 61.100 | 48.810 | 19.290 | 1.030 | 1.330 | 24.000 | 66.000 | 72.000 | |
| SD | 14.212 | 8.521 | 2.303 | 1.701 | 3.420 | 0.101 | 0.100 | 1.412 | 1.432 | 1.902 | |
| Mixtures | Statistical Data of Each Parameter | Particle Size Distribution | Atterberg Limits | Modified Proctor | Californian Bearing Ratios | ||||||
|---|---|---|---|---|---|---|---|---|---|---|---|
| 0.08 mm | 2 mm | LL (%) | LP (%) | PI (%) | CI | MDD (t/m3) | OMC (%) | SCBR (%) | UCBR (%) | ||
| 100%BL32 + 0%PKS | Min | 75.650 | 93.650 | 68.510 | 38.830 | 29.010 | 1.010 | 1.505 | 26.010 | 14.890 | 17.000 |
| Max | 78.980 | 95.920 | 72.840 | 44.610 | 30.000 | 1.010 | 1.596 | 27.900 | 17.700 | 20.210 | |
| Mean | 78.203 | 95.060 | 71.700 | 41.700 | 30.000 | 1.010 | 1.575 | 27.500 | 16.000 | 18.000 | |
| SD | 13.603 | 7.100 | 2.600 | 1.800 | 3.700 | 0.000 | 0.117 | 0.996 | 1.500 | 1.600 | |
| 85%BL32 + 15%PKS | Min | 61.110 | 67.150 | 63.900 | 43.010 | 19.320 | 1.000 | 1.501 | 23.500 | 15.980 | 18.780 |
| Max | 64.720 | 69.250 | 65.710 | 46.002 | 21.210 | 1.200 | 1.573 | 26.400 | 18.500 | 20.500 | |
| Mean | 62.590 | 68.893 | 64.400 | 44.410 | 19.990 | 1.160 | 1.550 | 24.000 | 17.000 | 20.000 | |
| SD | 13.403 | 7.310 | 2.100 | 1.800 | 3.700 | 0.106 | 0.117 | 1.500 | 1.500 | 1.900 | |
| 75%BL32 + 25%PKS | Min | 47.980 | 69.240 | 62.500 | 42.550 | 19.140 | 1.100 | 1.411 | 25.300 | 38.960 | 39.850 |
| Max | 49.780 | 71.100 | 65.900 | 44.530 | 20.910 | 1.100 | 1.462 | 26.930 | 41.600 | 42.190 | |
| Mean | 49.012 | 70.000 | 63.510 | 43.350 | 20.150 | 1.100 | 1.425 | 26.700 | 40.000 | 41.000 | |
| SD | 13.500 | 7.500 | 2.010 | 1.700 | 3.400 | 0.000 | 0.117 | 1.100 | 1.400 | 1.200 | |
| 65%BL31 + 35%PKS | Min | 43.150 | 81.700 | 67.009 | 42.790 | 23.560 | 1.090 | 1.343 | 26.101 | 36.600 | 42.000 |
| Max | 44.980 | 84.790 | 70.502 | 44.960 | 26.340 | 1.240 | 1.371 | 27.101 | 37.800 | 44.000 | |
| Mean | 44.680 | 84.457 | 69.903 | 44.710 | 25.130 | 1.140 | 1.353 | 26.800 | 37.000 | 43.000 | |
| SD | 13.320 | 7.401 | 2.220 | 1.500 | 3.410 | 0.110 | 0.117 | 1.502 | 1.601 | 1.010 | |
| 55%BL32 + 45%PKS | Min | 39.710 | 94.210 | 70.110 | 43.640 | 26.190 | 1.110 | 1.221 | 24.700 | 53.950 | 63.990 |
| Max | 41.690 | 95.810 | 71.980 | 45.120 | 27.310 | 1.130 | 1.321 | 24.900 | 55.530 | 65.701 | |
| Mean | 40.980 | 95.064 | 71.100 | 44.500 | 26.500 | 1.120 | 1.295 | 24.800 | 54.000 | 65.000 | |
| SD | 13.300 | 7.200 | 2.200 | 1.100 | 3.500 | 0.060 | 0.117 | 1.200 | 1.903 | 1.100 | |
| UCS (MPa) | Rt (MPa) | ||||||
|---|---|---|---|---|---|---|---|
| Parameters | 7 Days | 14 Days | 28 Days | 7 Days | 14 Days | 28 Days | |
| 100%BL31 + 0%PKS | Min | 0.675 | 1.240 | 1.980 | 2.090 | 2.250 | 2.720 |
| Max | 1.182 | 1.560 | 2.510 | 2.250 | 2.600 | 3.070 | |
| Mean | 1.070 | 1.541 | 2.122 | 2.241 | 2.521 | 3.001 | |
| SD | 0.363 | 0.158 | 0.272 | 0.076 | 0.175 | 0.156 | |
| 85%BL31 + 15%PKS | Min | 1.000 | 1.740 | 2.440 | 2.410 | 3.010 | 3.550 |
| Max | 1.110 | 1.820 | 2.590 | 2.500 | 3.210 | 3.700 | |
| Mean | 1.071 | 1.792 | 2.531 | 2.462 | 3.174 | 3.653 | |
| SD | 0.095 | 0.062 | 0.073 | 0.033 | 0.109 | 0.087 | |
| 75%BL31 + 25%PKS | Min | 1.080 | 1.990 | 3.020 | 3.110 | 4.000 | 5.010 |
| Max | 1.743 | 2.830 | 3.310 | 3.410 | 4.310 | 6.130 | |
| Mean | 1.403 | 2.600 | 3.160 | 3.204 | 4.080 | 5.800 | |
| SD | 0.342 | 0.192 | 0.318 | 0.460 | 0.383 | 0.783 | |
| 65%BL31 + 35%PKS | Min | 1.890 | 2.450 | 5.090 | 3.970 | 5.750 | 7.010 |
| Max | 1.890 | 2.830 | 5.713 | 4.890 | 6.510 | 8.560 | |
| Mean | 1.890 | 2.600 | 5.630 | 4.420 | 6.060 | 7.983 | |
| SD | 0.000 | 0.191 | 0.328 | 0.460 | 0.318 | 0.878 | |
| 55%BL31 + 45%PKS | Min | 3.160 | 3.936 | 6.891 | 4.230 | 6.043 | 8.980 |
| Max | 3.160 | 4.950 | 7.912 | 5.020 | 7.960 | 9.931 | |
| Mean | 3.160 | 4.710 | 7.670 | 4.901 | 6.962 | 9.711 | |
| SD | 0.000 | 0.729 | 0.512 | 0.425 | 0.969 | 0.492 | |
Disclaimer/Publisher’s Note: The statements, opinions and data contained in all publications are solely those of the individual author(s) and contributor(s) and not of MDPI and/or the editor(s). MDPI and/or the editor(s) disclaim responsibility for any injury to people or property resulting from any ideas, methods, instructions or products referred to in the content. |
© 2024 by the authors. Licensee MDPI, Basel, Switzerland. This article is an open access article distributed under the terms and conditions of the Creative Commons Attribution (CC BY) license (https://creativecommons.org/licenses/by/4.0/).
Share and Cite
Njuikom Djoumbi, V.H.; Yato Katte, V.; Tiomo, I.F.; Wouatong, A.S.L. Effects of Palm Kernel Shells (PKS) on Mechanical and Physical Properties of Fine Lateritic Soils Developed on Basalt in Bangangté (West Cameroon): Significance for Pavement Application. Appl. Sci. 2024, 14, 6610. https://doi.org/10.3390/app14156610
Njuikom Djoumbi VH, Yato Katte V, Tiomo IF, Wouatong ASL. Effects of Palm Kernel Shells (PKS) on Mechanical and Physical Properties of Fine Lateritic Soils Developed on Basalt in Bangangté (West Cameroon): Significance for Pavement Application. Applied Sciences. 2024; 14(15):6610. https://doi.org/10.3390/app14156610
Chicago/Turabian StyleNjuikom Djoumbi, Verlène Hardy, Valentine Yato Katte, Idriss Franklin Tiomo, and Armand Sylvain Ludovic Wouatong. 2024. "Effects of Palm Kernel Shells (PKS) on Mechanical and Physical Properties of Fine Lateritic Soils Developed on Basalt in Bangangté (West Cameroon): Significance for Pavement Application" Applied Sciences 14, no. 15: 6610. https://doi.org/10.3390/app14156610
APA StyleNjuikom Djoumbi, V. H., Yato Katte, V., Tiomo, I. F., & Wouatong, A. S. L. (2024). Effects of Palm Kernel Shells (PKS) on Mechanical and Physical Properties of Fine Lateritic Soils Developed on Basalt in Bangangté (West Cameroon): Significance for Pavement Application. Applied Sciences, 14(15), 6610. https://doi.org/10.3390/app14156610

