Effects of Light on Visual Function, Alertness, and Cognitive Performance: A Computerized Test Assessment
Abstract
1. Introduction
2. Materials and Methods
2.1. Sample Description and Selection
2.2. Arrangement of Elements and Ambient Lighting Conditions
2.3. Test Designs
2.3.1. Test 1
2.3.2. Test 2
2.3.3. Test 3
2.4. Assessment of Optical Changes: Aberrometry
2.5. Experimental Protocol
2.6. Data Processing and Statistical Analysis
3. Results
3.1. Computerized Tests
3.1.1. Results of Test 1
3.1.2. Results of Test 2
3.1.3. Results of Test 3
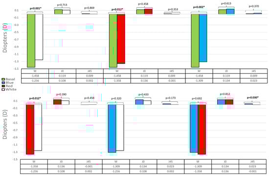
3.2. Aberrometric Measurements
3.3. Subjective Survey Results
4. Discussion
5. Conclusions
Author Contributions
Funding
Institutional Review Board Statement
Informed Consent Statement
Data Availability Statement
Conflicts of Interest
References
- Schwartz, S.H. Visual Perception: A Clinical Orientation; McGraw-Hill Medical Pub. Division: New York, NY, USA, 2004; ISBN 0071604618. [Google Scholar]
- Brown, G.C.; Magargal, L.E.; Sergott, R. Acute Obstruction of the Retinal and Choroidal Circulations. Ophthalmology 1986, 93, 1373–1382. [Google Scholar] [CrossRef]
- Tortora, G.J.; Derrickson, B. Principios de Anatomía y Fisiología (+e-Book); Editorial Médica Panamericana S.A.: Madrid, Spain, 2021; ISBN 9788411060264. [Google Scholar]
- Purves, D.; Augustine, G.J.; Fitzpatrick, D.; Hall, W.C.; LaMantia, A.-S.; McNamara, J.O.; Williams, S.M. Neurociencia; Panamericana: Singapore, 2007; ISBN 8479039892. [Google Scholar]
- Mahabadi, N.; Al Khalili, Y. Neuroanatomy, Retina; StatPearls: San Diego, CA, USA, 2023. [Google Scholar]
- van Bommel, W. El Espectro de Las Fuentes de Luz y Bajos Niveles de Iluminación: Fundamentos 2015. Available online: https://www.ceisp.com/fileadmin/pdf/Comunicaciones/Vision%20Mesopica%202009.pdf (accessed on 20 April 2024).
- Martín Herranz, R.; Vecilla Antolínez, G. Manual de Optometría; Editorial Médica Panamericana: Madrid, Spain, 2011. [Google Scholar]
- Vidal, R. Entendiendo e Interpretando Las Aberraciones Ópticas. Cienc. y Tecnol. Para La Salud Vis. y Ocul. 2011, 9, 105–122. [Google Scholar]
- Lok, R.; Smolders, K.C.H.J.; Beersma, D.G.M.; de Kort, Y.A.W. Light, Alertness, and Alerting Effects of White Light: A Literature Overview. J. Biol. Rhythms. 2018, 33, 589–601. [Google Scholar] [CrossRef] [PubMed]
- Siraji, M.A.; Kalavally, V.; Schaefer, A.; Haque, S. Effects of Daytime Electric Light Exposure on Human Alertness and Higher Cognitive Functions: A Systematic Review. Front. Psychol. 2022, 12, 765750. [Google Scholar] [CrossRef] [PubMed]
- Nosek, B.A.; Banaji, M.R. The Go/No-Go Association Task. Soc. Cogn. 2001, 19, 625–666. [Google Scholar] [CrossRef]
- Rigoli, M.; Facchin, A.; Cardile, D.; Beschin, N.; Luzzatti, C. Open-Source Open-Access Reaction Time Test (OORTT): An Easy Tool to Assess Reaction Times. Neurol. Sci. 2021, 42, 2461–2469. [Google Scholar] [CrossRef] [PubMed]
- Boulinguez, P.; Barthélémy, S.; Debû, B. Influence of the Movement Parameter to Be Controlled on Manual RT Asymmetries in Right-Handers. Brain Cogn. 2000, 44, 653–661. [Google Scholar] [CrossRef] [PubMed]
- Gottsdanker, R. Age and Simple Reaction Time. J. Gerontol. 1982, 37, 342–348. [Google Scholar] [CrossRef] [PubMed]
- Berson, D.M.; Dunn, F.A.; Takao, M. Phototransduction by Retinal Ganglion Cells That Set the Circadian Clock. Science 2002, 295, 1070–1073. [Google Scholar] [CrossRef] [PubMed]
- Sahin, L.; Wood, B.M.; Plitnick, B.; Figueiro, M.G. Daytime Light Exposure: Effects on Biomarkers, Measures of Alertness, and Performance. Behav. Brain Res. 2014, 274, 176–185. [Google Scholar] [CrossRef]
- Benarroch, E.E. The Melanopsin System: Phototransduction, Projections, Functions, and Clinical Implications. Neurology 2011, 76, 1422–1427. [Google Scholar] [CrossRef] [PubMed]
- Plitnick, B.; Figueiro, M.G.; Wood, B.; Rea, M.S. The Effects of Red and Blue Light on Alertness and Mood at Night. Light. Res. Technol. 2010, 42, 449–458. [Google Scholar] [CrossRef]
- Durmus, D.; Jägerbrand, A.K.; Tengelin, M.N. Research Note: Red Light to Mitigate Light Pollution: Is It Possible to Balance Functionality and Ecological Impact? Light. Res. Technol. 2024, 56, 304–308. [Google Scholar] [CrossRef]
- Figueiro, M.G.; Bierman, A.; Plitnick, B.; Rea, M.S. Preliminary Evidence That Both Blue and Red Light Can Induce Alertness at Night. BMC Neurosci. 2009, 10, 105. [Google Scholar] [CrossRef] [PubMed]
- Sahin, L.; Figueiro, M.G. Alerting Effects of Short-Wavelength (Blue) and Long-Wavelength (Red) Lights in the Afternoon. Physiol. Behav. 2013, 116, 1–7. [Google Scholar] [CrossRef] [PubMed]
- Carretero, M. Introducción a La Psicología Cognitiva; Aique: Buenos Aires, Argentina, 1998; ISBN 9507013741. [Google Scholar]
- Méndez, D.D.; Postigo, J.M.L. Psicología Médica; Elsevier: Amsterdam, The Netherlands, 2021; ISBN 849113946X. [Google Scholar]
- Atkinson, R.C.; Shiffrin, R.M. Human Memory: A Proposed System and Its Control Processes. In Psychology of Learning and Motivation; Elsevier: Amsterdam, The Netherlands, 1968; Volume 2, pp. 89–195. ISBN 0079-7421. [Google Scholar]
- Bailey, I.L.; Lovie-Kitchin, J.E. Visual Acuity Testing. From the Laboratory to the Clinic. Vis. Res. 2013, 90, 2–9. [Google Scholar] [CrossRef] [PubMed]
- Peirce, J.W. PsychoPy—Psychophysics Software in Python. J. Neurosci. Methods 2007, 162, 8–13. [Google Scholar] [CrossRef] [PubMed]
- Inicio—Optonet. Available online: https://optonet.com.es/ (accessed on 1 May 2024).
- Schwiegerling, J. Scaling Zernike Expansion Coefficients to Different Pupil Sizes. JOSA A 2002, 19, 1937–1945. [Google Scholar] [CrossRef] [PubMed]
- Visser, N.; Berendschot, T.T.J.M.; Verbakel, F.; Tan, A.N.; de Brabander, J.; Nuijts, R.M.M.A. Evaluation of the Comparability and Repeatability of Four Wavefront Aberrometers. Investig. Ophthalmol. Vis. Sci. 2011, 52, 1302–1311. [Google Scholar] [CrossRef]
- Robert, D.; Davis, B.A.; Collins, M.J.; Franklin, R. Objective Refraction from Monochromatic Wavefront Aberrations via Zernike Power Polynomials. Ophthalmic Physiol. Opt. 2007, 27, 245–255. [Google Scholar] [CrossRef]
- ISO 24157:2008; Ophthalmic Optics and Instruments—Reporting Aberrations of the Human Eye. ISO: Geneva, Switzerland. Available online: https://www.iso.org/standard/42041.html (accessed on 9 April 2024).
- Lin, C.-C.; Chen, M.-T. Effects of Color Combination on Visual Acuity and Display Quality with TFT-LCD. J. Chin. Inst. Ind. Eng. 2006, 23, 91–99. [Google Scholar] [CrossRef]
- Shieh, K.-K.; Lin, C.-C. Effects of Screen Type, Ambient Illumination, and Color Combination on VDT Visual Performance and Subjective Preference. Int. J. Ind. Ergon. 2000, 26, 527–536. [Google Scholar] [CrossRef]
- Clavé Cerezo, L.; Torrents Gómez, A.; Rallo Capdevila, M.; Millán Garcia-Varela, M.S. Visual Acuity Assessment in Phakic and Pseudophakic Eyes under Red, Green, and Blue Illumination. Ópt. Pura y Apl. 2020, 53, 1–10. [Google Scholar] [CrossRef]
- Clavé, L.; Faria-Ribeiro, M.; Millan, M.S. Chromatic Changes in Vision with Diffractive Ophthalmic Optics. Opt. Express 2024, 32, 10348–10361. [Google Scholar] [CrossRef] [PubMed]
- Fernandez-Alonso, M.; Finch, A.P.; Love, G.D.; Read, J.C.A. Ocular Accommodation and Wavelength: The Effect of Longitudinal Chromatic Aberration on the Stimulus–Response Curve. J. Vis. 2024, 24, 11. [Google Scholar] [CrossRef] [PubMed]
- Domenech, B.; Segui, M.M.; Capilla, P.; Illueca, C. Variation of the Visual Acuity-luminance Function with Background Colour. Ophthalmic Physiol. Opt. 1994, 14, 302–305. [Google Scholar] [CrossRef] [PubMed]
- Fernandez, E.J.; Suchkov, N.; Artal, P. Adaptation to the Eye’s Chromatic Aberration Measured with an Adaptive Optics Visual Simulator. Opt. Express 2020, 28, 37450–37458. [Google Scholar] [CrossRef]
- Suchkov, N.; Fernández, E.J.; Artal, P. Impact of Longitudinal Chromatic Aberration on Through-Focus Visual Acuity. Opt. Express 2019, 27, 35935–35947. [Google Scholar] [CrossRef] [PubMed]
- Roorda, A.; Cholewiak, S.A.; Bhargava, S.; Ivzan, N.H.; LaRocca, F.; Nankivil, D.; Banks, M.S. The Visual Benefits of Correcting Longitudinal and Transverse Chromatic Aberration. J. Vis. 2023, 23, 3. [Google Scholar] [CrossRef]
- Cengiz, C.; Puolakka, M.; Halonen, L. Reaction Time Measurements under Mesopic Light Levels: Towards Estimation of the Visual Adaptation Field. Light. Res. Technol. 2015, 47, 828–844. [Google Scholar] [CrossRef]
- Kubo, N.; Watanabe, T.; Chen, X.; Matsumoto, T.; Yunoki, K.; Kuwabara, T.; Kirimoto, H. The Effect of Prior Knowledge of Color on Behavioral Responses and Event-Related Potentials during Go/No-Go Task. Front. Hum. Neurosci. 2021, 15, 674964. [Google Scholar] [CrossRef] [PubMed]
- Amini Vishteh, R.; Mirzajani, A.; Jafarzadehpour, E.; Darvishpour, S. Evaluation of Simple Visual Reaction Time of Different Colored Light Stimuli in Visually Normal Students. Clin. Optom. (Auckl.) 2019, 2019, 167–171. [Google Scholar] [CrossRef] [PubMed]
- Horinouchi, T.; Watanabe, T.; Matsumoto, T.; Yunoki, K.; Kuwabara, T.; Ito, K.; Ishida, H.; Kirimoto, H. The Effect of Prior Knowledge of Color on Reaction Time Depends on Visual Modality. Heliyon 2022, 8, e09469. [Google Scholar] [CrossRef] [PubMed]
- Kambestad, O.B. The Effect of Light on an Emotional Go/No-Go Task in Young Adults. Available online: https://www.researchgate.net/profile/Oda-Bugge-Kambestad/publication/374233541_Effect_of_light_on_an_emotional_gono-go_task_in_young_adults/links/6515387237d0df2448f4701f/Effect-of-light-on-an-emotional-go-no-go-task-in-young-adults.pdf (accessed on 10 May 2024).
- Figueiro, M.G.; Sahin, L.; Wood, B.; Plitnick, B. Light at Night and Measures of Alertness and Performance: Implications for Shift Workers. Biol. Res. Nurs. 2016, 18, 90–100. [Google Scholar] [CrossRef]
- Orduna-Hospital, E.; Crespo-Castan, C.; Ávila, F.J.; Sanchez-Cano, A. Adaptive Illuminance Effects on Retinal Morphology and Refraction: A Comprehensive Study of Night Myopia. J. Clin. Med. 2023, 13, 211. [Google Scholar] [CrossRef]








| White TV | White LED | Blue TV | Blue LED | Red TV | Red LED | |
|---|---|---|---|---|---|---|
| Irradiance (W/m2) | 1.20 | 1.00 | 0.33 | 0.39 | 0.28 | 0.80 |
| Illuminance (lx) | 62.00 | 76.00 | 83.00 | |||
| Luminance (cd/m2) | 350.37 | 33.47 | 71.00 | |||
| p Values | C0 (2, −2) | C0 (2, 0) | C0 (2, 2) | C0 (3, −1) | C0 (4, 0) | C0 (6, 0) | C0 (6, 2) |
|---|---|---|---|---|---|---|---|
| Basal–White | p = 0.631 | p < 0.001 * | p = 0.267 | p = 0.224 | p = 0.079 | p = 0.280 | p = 0.009 * |
| Basal–Red | p = 0.417 | p = 0.042 * | p = 0.267 | p = 0.302 | p = 0.023 * | p = 0.015 * | p = 0.961 |
| Basal–Blue | p = 0.660 | p = 0.006 * | p = 0.396 | p = 0.037 * | p = 0.050 * | p = 0.003 * | p = 0.954 |
| White–Red | p = 0.183 | p = 0.002 * | p = 0.827 | p = 0.439 | p = 0.849 | p = 0.584 | p = 0.084 |
| White–Blue | p = 0.836 | p = 0.008 * | p = 0.721 | p = 0.392 | p = 0.471 | p = 0.045 * | p = 0.051 |
| Blue–Red | p = 0.151 | p = 0.653 | p = 0.702 | p = 0.033 * | p = 0.841 | p = 0.421 | p = 0.809 |
Disclaimer/Publisher’s Note: The statements, opinions and data contained in all publications are solely those of the individual author(s) and contributor(s) and not of MDPI and/or the editor(s). MDPI and/or the editor(s) disclaim responsibility for any injury to people or property resulting from any ideas, methods, instructions or products referred to in the content. |
© 2024 by the authors. Licensee MDPI, Basel, Switzerland. This article is an open access article distributed under the terms and conditions of the Creative Commons Attribution (CC BY) license (https://creativecommons.org/licenses/by/4.0/).
Share and Cite
Sánchez-Lacambra, M.; Orduna-Hospital, E.; Arcas-Carbonell, M.; Sánchez-Cano, A. Effects of Light on Visual Function, Alertness, and Cognitive Performance: A Computerized Test Assessment. Appl. Sci. 2024, 14, 6424. https://doi.org/10.3390/app14156424
Sánchez-Lacambra M, Orduna-Hospital E, Arcas-Carbonell M, Sánchez-Cano A. Effects of Light on Visual Function, Alertness, and Cognitive Performance: A Computerized Test Assessment. Applied Sciences. 2024; 14(15):6424. https://doi.org/10.3390/app14156424
Chicago/Turabian StyleSánchez-Lacambra, Marcos, Elvira Orduna-Hospital, María Arcas-Carbonell, and Ana Sánchez-Cano. 2024. "Effects of Light on Visual Function, Alertness, and Cognitive Performance: A Computerized Test Assessment" Applied Sciences 14, no. 15: 6424. https://doi.org/10.3390/app14156424
APA StyleSánchez-Lacambra, M., Orduna-Hospital, E., Arcas-Carbonell, M., & Sánchez-Cano, A. (2024). Effects of Light on Visual Function, Alertness, and Cognitive Performance: A Computerized Test Assessment. Applied Sciences, 14(15), 6424. https://doi.org/10.3390/app14156424

