Next Article in Journal
Efficacy and Safety Assessment of Topical Omega Fatty Acid Product in Experimental Model of Irritant Contact Dermatitis: Randomized Controlled Trial
Previous Article in Journal
Effects of Light on Visual Function, Alertness, and Cognitive Performance: A Computerized Test Assessment
 
 
Font Type:
Arial Georgia Verdana
Font Size:
Aa Aa Aa
Line Spacing:
Column Width:
Background:
Article

Geotechnical Stability Analysis of the Tiga Dam, Nigeria on the Assessment of Downstream Soil Properties, Erosion Risk, and Seasonal Expansion

by
Ibrahim Haruna Umar
1,
Adamu Abubakar
2,
Ibrahim Mu’azzam Salisu
3,
Hang Lin
1,* and
Jubril Izge Hassan
4
1
School of Resources and Safety Engineering, Central South University, Changsha 410083, China
2
Department of Civil Engineering, Faculty of Engineering, African Institute of Science Administration and Commercial Studies (IAEC), Lome 8619, Togo
3
Department of Civil Engineering, Faculty of Engineering, Bayero University, Kano 3011, Kano State, Nigeria
4
Department of Geology, Faculty of Physical Sciences, Ahmadu Bello University, Zaria 1045, Kaduna State, Nigeria
*
Author to whom correspondence should be addressed.
Appl. Sci. 2024, 14(15), 6422; https://doi.org/10.3390/app14156422
Submission received: 28 June 2024 / Revised: 21 July 2024 / Accepted: 22 July 2024 / Published: 23 July 2024
(This article belongs to the Section Civil Engineering)

Abstract

The Tiga Dam, a primary hydraulic structure in northern Nigeria, is subjected to intense hydrological stress during the rainy season, posing potential risks to its structural integrity. This study investigates the geotechnical properties and stability of the Tiga Dam in Kano State, Nigeria. Twelve soil samples from the downstream area were analyzed for specific gravity, grain size distribution, Atterberg limits, compaction parameters, permeability, and shear strength. The dam’s stability was assessed using Plaxis 2D under various reservoir conditions. Soil erodibility was evaluated using the Revised Universal Soil Loss Equation (RUSLE), and a linear regression model with noise was developed to predict soil expansion rates. The results showed heterogeneous soil properties, with specific gravity ranging from 2.11 to 2.63 and permeability from 3.40 × 10−9 to 1.49 × 10−7 m/s. Stability analysis revealed factors of safety of 1.322, 1.006, 1.002, and 1.147 for high reservoir, rapid drawdown, slow drawdown, and low reservoir conditions, respectively. The RUSLE K factor ranged from 0.055 to 0.145, indicating low to moderate soil erodibility. The expansion rate model demonstrated high accuracy (R2 = 0.989) in predicting seasonal and long-term soil expansion trends, with peak rates increasing from 16.94 mm/month in 2010–2013 to 19.45 mm/month in 2017–2020. This comprehensive analysis provides crucial insights into the Tiga Dam’s geotechnical behavior, highlighting potential vulnerabilities and the need for targeted management strategies to ensure long-term stability and safety.

1. Introduction

Earth dams’ structural integrity and safety are critical concerns, particularly in regions prone to intense hydrological events and environmental stresses [1,2]. The Tiga Dam, a major hydraulic infrastructure located in Kano State, northern Nigeria, is one such structure that faces significant challenges due to the region’s bimodal seasonal patterns of humid tropical climate [3]. During the rainy season, the dam and its downstream area are subjected to high-intensity rainfall events, potentially leading to erosion, internal erosion processes, and slope instability [4,5]. Assessing the geotechnical properties and behavior of earth dam components, especially the downstream area, is crucial for identifying potential failure mechanisms and implementing appropriate mitigation strategies [6,7,8]. The downstream region serves as the foundation for the dam body and is directly exposed to erosive forces from rainfall, runoff, and fluctuating reservoir levels [9]. Factors such as soil composition, grain size distribution, plasticity characteristics, compaction, permeability, and shear strength are pivotal in determining the soil’s susceptibility to erosion, deformation, and instability [10,11,12,13,14,15,16,17,18,19]. Furthermore, seasonal variations and long-term environmental changes can significantly influence soil behavior, leading to phenomena such as expansion and contraction, which can impact the structural integrity of earth dams [20]. Understanding these temporal dynamics is essential for developing robust monitoring and maintenance protocols.
The geotechnical behavior of earth dams and their foundations is a subject of extensive research, given the critical importance of ensuring structural stability and safety. Several studies have investigated the role of soil composition, physical properties, and environmental factors in influencing the performance of dam structures, but there are notable gaps in the existing literature [21,22,23]. While the studies provide a snapshot of soil properties, there is limited information on how these properties change over time, particularly in response to seasonal variations and long-term climatic changes. We adopted the Revised Universal Soil Loss Equation (RUSLE) to address some of these gaps for the geotechnical risk assessment of earth dams [24]. This innovative approach allows for a more comprehensive evaluation of soil erosion potential and its impact on dam stability.
Additionally, we employed linear regression models with noise to analyze the complex relationships between soil properties and environmental factors [25]. The RUSLE adaptation involves modifying the equation’s parameters better to suit the specific conditions of earth dam structures. This includes adjusting slope length and steepness, soil erodibility, and vegetation cover to reflect the unique characteristics of dam embankments and foundations. The modified RUSLE provides a quantitative assessment of potential soil loss, which is crucial for evaluating long-term dam stability. Our linear regression models incorporate various soil properties and environmental variables to predict geotechnical behavior. We consider soil systems’ inherent variability and uncertainty by including a noise component. This approach allows for a more realistic representation of the complex interactions between soil properties and external factors affecting dam performance. While these methods have shown promise in enhancing our understanding of earth dam behavior, there is still a need for further integration of multidisciplinary approaches to improve soil behavior models’ predictive accuracy and reliability. Future research could explore applying more advanced modeling techniques like machine learning and artificial intelligence to provide deeper insights into the complex interactions between soil properties and environmental factors [23].
Numerous studies have focused on the stability analysis of earth dams under various loading conditions, such as high reservoir levels, rapid drawdown, and seismic events. These analyses often employ finite element modeling techniques and slope stability methods to assess factors of safety and potential failure mechanisms [26,27]. Soil erodibility, which quantifies a soil’s inherent susceptibility to detachment and transport by erosive forces, has been extensively studied in agricultural land management and soil conservation [28]. However, its application in earth dam engineering is limited, presenting an opportunity for cross-disciplinary research. Additionally, the effects of seasonal variations and long-term environmental changes on soil behavior have been explored, particularly in regions with pronounced wet–dry cycles [29]. Phenomena such as soil expansion and contraction can have significant implications for the structural integrity of earth dams, necessitating the development of predictive models and monitoring protocols.
Our research presents several significant advancements in the field of geotechnical engineering, particularly in the context of earth dam stability assessment. A key innovation is applying a linear regression model with noise to predict soil expansion rates. This model achieved remarkably high accuracy, with R2 values of 0.990 for training and 0.989 for testing. Such precision is uncommon in geotechnical engineering, where soil behavior is typically influenced by a multitude of factors, making accurate predictions challenging. Another notable contribution is the innovative application of the Revised Universal Soil Loss Equation (RUSLE) to estimate soil erodibility factors in a dam environment. This cross-disciplinary approach leverages an established soil erosion model to enhance geotechnical risk assessment. The RUSLE, initially developed for agricultural contexts, was adapted to suit the specific conditions of earth dam structures [30]. Our comprehensive study of the downstream area of the Tiga Dam offers valuable insights into its geotechnical behavior. Analyzing soil expansion rates from January 2010 to December 2020, we identified detailed seasonal patterns and long-term trends, providing a nuanced understanding of temporal variations in soil properties.
The Tiga Dam in Kano State, Nigeria, is a significant hydraulic structure whose downstream soil properties have been extensively studied to understand their geotechnical behavior [31]. This research mainly focused on various aspects of soil properties, including expansion rates, erodibility, Atterberg limits, specific gravity, grain size distribution, permeability, shear strength characteristics, and stability analysis. This study aims to conduct a comprehensive geotechnical evaluation of the downstream area of the Tiga Dam. Specifically, the objectives are to (1) characterize the physical, mechanical, and hydraulic properties of the downstream soils through extensive laboratory testing; (2) analyze the dam’s stability under various reservoir conditions using advanced finite element modeling; (3) assess soil erodibility using established empirical models; and (4) develop a predictive model for soil expansion rates, capturing both seasonal and long-term trends. By addressing these objectives, this research provides valuable insights into the geotechnical challenges faced by the Tiga Dam and similar structures in tropical environments. The findings can potentially inform risk assessment protocols, erosion control strategies, and maintenance practices, ultimately contributing to the region’s long-term sustainability and safety of earth dams. Figure 1 shows the Tiga dam in Kano State, Nigeria.

2. Materials and Methods

2.1. Study Area

The Tiga Dam, a significant hydraulic structure in northern Nigeria, is situated in Kano State, geographically positioned between latitudes 11°15′ to 11°29′ N and longitudes 8°16′ to 8°38′ E (Figure 2). This substantial earth dam spans approximately 40.40 km in length and 24.40 km in width and reaches a depth of 40.00 m. With a surface area of 178.00 km2, it forms a reservoir capable of storing about 1978.49 × 106 m3 of water, making it a critical water resource for the region [32]. The study area’s climate is classified as humid tropical, characterized by a distinct bimodal seasonal pattern: rainy and dry seasons. This climatic regime is typical of many West African regions, where rainfall distribution is governed mainly by the Intertropical Convergence Zone (ITCZ) movement. The northward migration of the ITCZ during the boreal summer brings moisture-laden southwesterly winds, resulting in the rainy season. At the same time, its southward retreat in winter leads to dry, dusty, northeasterly Harmattan winds, marking the dry season [33].
A comprehensive field sampling and laboratory testing program was undertaken to assess the geotechnical properties of the downstream area of Tiga Dam. The study area, spanning approximately 122 m along the downstream section, was systematically sampled at 10 m intervals, making 12 samples for each test to ensure adequate spatial coverage and capture potential variations in soil characteristics. While this systematic sampling approach provides a good overview of the area’s geotechnical properties, it is essential to acknowledge that the spatial variability of soil properties might be more complex than what is captured by our 10 m interval strategy. Local variations in topography, microclimate, and land use can significantly change soil properties over short distances. To address this limitation, we ensured no potential anomalies or rapid changes in soil characteristics by visual inspection or geological history at that interval. These locations included areas with noticeable changes in vegetation, surface water accumulation, or variations in surface soil texture. Furthermore, we utilized geostatistical techniques, specifically kriging interpolation, to estimate soil properties between sampling points. This allowed us to create continuous maps of crucial soil parameters across the study area, helping to visualize and quantify spatial variability, which shows minor differences across the intervals, and that is why the interval data were strategically ignored.
It is worth noting that the downstream area of Tiga Dam exhibits some topographic variability, with elevation changes of up to 3 m across the study area. These variations in topography can influence local drainage patterns and soil moisture regimes, potentially affecting soil properties. Land use in the immediate downstream area is predominantly grassland with scattered shrubs, but there are small patches of cultivated land within 50 m of the dam. These areas of human intervention may have somewhat altered the natural soil properties. The soil samples were carefully extracted, preserved, and transported to the laboratory for standardized geotechnical tests. These tests were selected to thoroughly understand the soil’s physical, mechanical, and hydraulic properties, which are critical for evaluating the dam’s downstream region’s stability, deformation behavior, and seepage characteristics. The laboratory tests that were conducted on each sample were specific gravity test (ASTM-D854) [34], Atterberg limits test (ASTM-D4318-00) [35], compaction test (ASTM-D698-12) [36], sieve analysis (ASTM-D6913-04) [37], direct shear box test (ASTM-D3080) [38], and falling head permeability test (ASTM-D5084-16a) [39].
An analysis of (2010–2020) of rainfall data from the study area reveals significant intra-annual and inter-annual variability, a common feature of tropical rainfall patterns. The data show a consistent seasonal cycle, with peak rainfall between June and September. July and August consistently record the highest monthly rainfall, often exceeding 200 mm. For instance, in 2020, August received 298 mm of rain, while July 2016 saw 298 mm. Conversely, the period from November to March is markedly dry, with many months recording zero rainfall. This pronounced seasonality has profound implications for the Tiga Dam’s geotechnical integrity. During the rainy season, particularly in peak months like July and August, the dam and its environs are subjected to intense hydrological stress. The reservoir’s water level rises substantially at the upstream section, increasing hydrostatic pressure and seepage forces within the dam body. This heightened water-soil interaction can lead to internal erosion processes such as piping or suffusion, where finer particles are progressively washed away, potentially compromising the dam’s structural stability.
Simultaneously, the downstream area faces a different yet equally critical challenge. The soil is directly exposed to high-intensity rainfall events. Rain splash, sheet flow, and rill formation—all erosional processes—are particularly active during these wet months. For example, in July 2018 and August 2018, both months experienced exceptionally high rainfall (294 mm each), likely resulting in significant soil detachment and transport downstream. The contrast between wet and dry seasons further complicates the geotechnical scenario. During the dry months (November to March), the dam’s downstream section experiences minimal rainfall, often zero, as seen consistently in the data. This leads to desiccation, causing soil shrinkage and crack formation. When the rains return, these cracks facilitate rapid water ingress, accelerating soil saturation and potentially triggering expansion or localized slope failures.
Moreover, the inter-annual rainfall variability adds another layer of complexity. Some years, like 2012 and 2018, show higher overall rainfall, suggesting more severe erosional stress. In contrast, years with lower rainfall might see reduced immediate erosion but could experience more pronounced wetting–drying cycles, exacerbating soil expansion–contraction behavior. Figure 3a–c show the damage to the earth material structure adjacent to downstream areas of the Tiga dam structure.

2.2. Revised Universal Soil Loss Equation (RUSLE)

The Revised Universal Soil Loss Equation (RUSLE) is a widely adopted empirical model for predicting long-term average annual soil loss from specific field slopes in specified cropping and management systems [40]. A critical component of this model is the soil erodibility factor (K), which quantifies a soil’s inherent susceptibility to erosion. The K factor is computed using Equation (1), developed and refined through extensive field studies as part of the USLE and RUSLE projects [41,42].
K = 2.1 × 10 4 × 12 P o m × M 1.14 + 0.0325 × S s t r u c 2 + 0.025 × F p e r m 3 100
where
K = soil erodibility factor (ton·acre·hr / hundreds of acre·ft·tonf·in)
M = particle size parameter, computed as [(%silt + %very fine sand) × (100 − %clay)]
P o m = percentage of organic matter
S s t r u c = soil structure index
F p e r m = profile-permeability class factor
The constants in this equation ( 2.1 × 10 4 ,   0.0325 ,   a n d   0.025 ) were empirically derived from comprehensive soil erosion studies conducted by Wischmeier, Smith, and others [41,42]. These values have been widely validated and are considered standard in applying RUSLE across various geographical and climatic conditions. The particle size parameter (M) reflects the soil’s textural characteristics, particularly emphasizing the role of silt, very fine sand, and clay. High M values, indicative of soils rich in silt and very fine sand but low in clay, suggest greater erodibility. This is because silt and very fine sand particles are easily detached and transported by runoff, while clay provides cohesive strength, resisting erosion. Organic matter (OM) is a critical soil property that enhances aggregate stability, improves water retention, and increases infiltration, reducing runoff and soil loss. In Equation (1), as OM increases, the K factor decreases, reflecting organic matter’s protective role against erosion.
Soil structure (s) significantly influences infiltration, runoff, and erosion dynamics. The RUSLE categorizes soil structure into four classes:
  • Very fine granular soil: Highly resistant to erosion
  • Fine granular soil: Good resistance
  • Medium or coarse granular soil: Moderate resistance
  • Blocky, platy, or massive soil: Least resistant
These classifications reflect the soil’s aggregation patterns. Granular structures, especially fine ones, promote water infiltration and resist detachment, whereas blocky or massive structures are more prone to erosion due to reduced infiltration and weaker inter-particle bonds. Soil permeability class factor ( F p e r m ) governs water movement through the soil profile, affecting runoff generation. The RUSLE defines six permeability classes:
  • Very slow infiltration: Highest erosion risk
  • Slow infiltration: High risk
  • Slow to moderate infiltration: Moderate to high risk
  • Moderate infiltration: Moderate risk
  • Moderate to rapid infiltration: Low to moderate risk
  • Rapid infiltration: Lowest risk
Soils with rapid infiltration rates allow more water to enter the profile, reducing surface runoff and erosion. Conversely, soils with slow infiltration rates generate more runoff, leading to higher erosion potential. The downstream area, subject to increased water flow during rainfall events, is particularly vulnerable to erosion. A high K factor in this region suggests the soil is more susceptible to detachment and transport, potentially leading to accelerated expansion rates. By quantifying each component—particle size distribution, organic matter content, soil structure, and permeability—engineers can better predict erosion risks, tailor soil conservation measures, and design more resilient dam structures.

2.3. Linear Regression Model with Noise

The expansion rate downstream of an earth dam can be modeled using a linear regression approach that incorporates deterministic and stochastic components. The model is expressed in Equation (2). The equation suggests that the expansion rate increases proportionally with the amount of rainfall, with some additional random variation (noise) to account for other influencing factors in the expansion rate downstream of an earth dam. These parameters include both rainfall data and soil properties.
E x p a n s i o n   R a t e = 0.052 × R a i n f a l l   E v e n t + N o i s e s a n d + N o i s e s i l t + N o i s e c l a y + N o i s e o r g a n i c   m a t t e r
where
N o i s e s a n d = N μ s a n d , σ s a n d 2
N o i s e s i l t = N μ s i l t , σ s i l t 2
N o i s e c l a y = N μ c l a y , σ c l a y 2
N o i s e o r g a n i c   m a t t e r = N μ o r g a n i c   m a t t e r , σ o r g a n i c   m a t t e r 2
The coefficient 0.052 represents the proportionality between rainfall and expansion rate. This value was derived from a statistical analysis of historical data on rainfall events and corresponding expansion rates observed at the earth dam site. Specifically, we conducted a linear regression analysis on a dataset comprising 132 observations from the earth dams from 2010 to 2020. The coefficient of 0.052 was found to be statistically significant (p < 0.001) and represents the average increase in expansion rate (in appropriate units) for each unit increase in rainfall. It is important to note that while this coefficient provides a general relationship between rainfall and expansion rate, its applicability may vary depending on specific site conditions. Engineers should consider local factors and potentially adjust this coefficient based on site-specific data.
The noise captures the unobserved heterogeneity in soil types and other factors influencing the expansion rate. This stochastic component accounts for variations in soil properties, such as clay content and other geotechnical characteristics that may affect the soil’s response to rainfall. By modeling these influences as random noise, we acknowledge their impact on the expansion rate while maintaining model parsimony. The choice of a normal distribution for the noise (Noise ~ N(µ, σ2)) is a standard assumption in linear regression analysis. It implies that the deviations from the linear relationship between rainfall and expansion rate are symmetrically distributed around zero, with more minor deviations being more common than larger ones. This assumption allows for statistical inference, such as hypothesis testing and confidence interval estimation, to assess the significance of the rainfall effect on the expansion rate. It is important to note that while this model provides a simple and intuitive representation of the relationship between rainfall, geotechnical properties’ influence, and expansion rate, it assumes linearity and homoscedasticity (constant variance of errors). In practice, these assumptions should be validated through residual analysis. If violated, more complex models, such as nonlinear regression or heteroscedastic-robust techniques, may be warranted to better capture the underlying soil dynamics.

Adjusted R-Square

In linear regression analysis, the coefficient of determination (R2) is a widely used metric to assess model fit, quantifying the proportion of variance in the dependent variable explained by the independent variables. However, R2 has a notable limitation: it invariably increases with adding predictors, even when these do not substantially improve the model’s explanatory power. This phenomenon, known as overfitting, can lead to inflated R2 values that misrepresent the model’s true predictive capability. To mitigate this issue, statisticians employ the adjusted R-squared (R2a), a modified version of R2 that penalizes model complexity [12]. The adjusted R-squared is formulated as in Equation (3):
R a 2 = 1 1 R 2 × n 1 n p 1
where
R2a = adjusted R-squared
R 2 = c o n v e n t i o n a l   R s q u a r e d   v a l u e
n = n u m b e r   o f   s a m p l e s
p = n u m b e r   o f   p r e d i c t o r s in the model
Unlike R2, which always increases or remains constant with additional predictors, R2a can decrease if the added variables do not sufficiently improve the model’s fit relative to their contribution to complexity [12]. The term (n − 1)/(n − p − 1) in Equation (3) serves as the adjustment factor. As p increases, this factor grows, effectively penalizing each added predictor. This mechanism ensures that R2a only increases if a new variable’s contribution to explained variance outweighs the penalty for increased complexity [43]. The adjusted R-squared is particularly valuable in geotechnical modeling, such as predicting soil expansion rates downstream of earth dams. Soil behavior is influenced by numerous factors—rainfall, clay content, plasticity index, organic matter, and more—tempting researchers to include many predictors. The adjusted R-squared thus guides parsimonious model selection in geotechnical engineering. It encourages retaining only those soil properties that substantially enhance predictive power, leading to models that are both accurate and interpretable. This approach not only improves statistical rigor but also aligns with geotechnical principles, focusing on the most geologically relevant factors affecting soil behavior. Figure 4 shows the flowchart that summarizes the methodology in this research.

3. Geotechnical Analysis of the Dam

3.1. Specific Gravity

The specific gravity (Gs) of soil is a fundamental geotechnical property that reflects the soil solids’ density ratio to water density [13]. It is a dimensionless quantity that provides insights into soil composition, particularly the mineralogical makeup [17]. In this study, specific gravity tests were conducted on twelve soil samples from the downstream area of the Tiga Dam. The results are shown in Figure 5. The specific gravity values range from a minimum of 2.11 (sample 9) to a maximum of 2.63 (sample 4), with a mean of 2.34 and a standard deviation of 0.21. This variability (coefficient of variation = 8.97%) suggests moderate heterogeneity in soil composition across the downstream area.
To better understand this variability, it is helpful to categorize the samples based on their specific gravity ranges: 2.00 ≤ Gs < 2.20: samples 2, 7, 8, 9, 10 (41.67% of samples), 2.20 ≤ Gs < 2.40: samples 5, 6 (16.67% of samples), 2.40 ≤ Gs < 2.60: samples 1, 3, 11, 12 (33.33% of samples), and Gs ≥ 2.60: sample 4 (8.33% of samples). Comparing these results with the established literature reveals intriguing soil composition insights. According to Das and Sobhan, typical specific gravity ranges for common soil minerals are quartz: 2.65–2.67, kaolinite: 2.60–2.68, illite: 2.60–2.86, montmorillonite: 2.65–2.80, orthoclase feldspar: 2.57–2.62, calcite: 2.72–2.87, and organic matter: <2.00 [44].
Sample 4 (Gs = 2.63) closely aligns with the range for quartz and kaolinite. This suggests a soil rich in these minerals, indicative of a residual soil derived from granitic or quartzitic parent rock. Such soils often exhibit good drainage characteristics due to quartz’s non-plastic nature. Still, they may be susceptible to erosion, especially if the clay fraction is predominantly kaolinite, which has lower cohesion than other clay minerals. Samples 1, 3, 11, and 12 (2.51 ≤ Gs ≤ 2.58) fall within the range of orthoclase feldspar. This mineral is common in igneous rocks and suggests that the soil is relatively young, not having undergone extensive weathering. Feldspar-rich soils can be problematic as they weather to form expansive clays, potentially contributing to the downstream soil’s expansion behavior.
Interestingly, many samples (58.34%, combining the first two categories) have specific gravities below 2.40. Such low values are atypical for inorganic soils and strongly indicate the presence of organic matter. Das and Sobhan note that organic matter can have specific gravities below 2.00, which aligns with samples 7, 8, 9, and 10 (2.11 ≤ Gs ≤ 2.15) [44]. The presence of significant organic matter in downstream soils is noteworthy. Organic soils exhibit high compressibility, low shear strength, and substantial volumetric changes upon wetting or drying [13]. This suggests that a considerable portion of the downstream area may be prone to settlement under loading and experience significant expansion–shrinkage cycles in response to the pronounced wet–dry seasons. Moreover, the low specific gravities might also indicate the presence of diatoms or volcanic ash. Diatoms, microscopic algae with silica shells, are known to have specific gravities as low as 2.0–2.3. Their presence would imply past or present lacustrine conditions, not unexpected given the dam’s long-term impoundment. Alternatively, volcanic ash, with specific gravities often below 2.4, could be present, suggesting past volcanic activity in the region [44].

3.2. Grain Size Distribution Analysis

The grain size distribution curves (Figure 6a,b) show a consistent pattern across all samples: steep slopes in the fine-grained region (silt and clay sizes) and gentler slopes in the sand region. This shape indicates a well-graded distribution of fine particles but a more uniform distribution of sand particles. According to the unified soil classification system (USCS) in Table 1, the samples are categorized into four groups: sandy clay (SC), clay of low plasticity (CL), silt of (ML), and silty clay of (CL-ML). This classification reveals that the downstream area predominantly comprises fine-grained soils, with over half being low-plasticity clays. The absence of high-plasticity clays (CH) is noteworthy, suggesting that while the soils may exhibit some expansive behavior, they might not be as pronounced as in regions with CH soils.
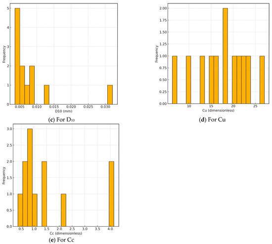
Two critical ratios assess the soil’s gradation: Uniformity coefficient (Cu = D60/D10), ranging from 6.247 (sample 6) to 27.040 (sample 3), with a mean of 17.523 and std of 5.883. The coefficient of curvature (Cc = (D30)2/(D60 × D10)) ranges from 0.366 (sample 3) to 4.142 (sample 4), with a mean of 1.504 and std of 1.278. According to standard criteria [44], for well-graded soils, Cu > 4 for gravels, Cu > 6 for sands, and 1 ≤ Cc ≤ 3. All samples meet the Cu criterion for sands, indicating a wide range of particle sizes. However, Cc values vary significantly: well-graded samples 1, 4, 5, 6, 12 (41.67%) and poorly graded samples 2, 3, 7, 8, 9, 10, 11 (58.33%). This mix of well-graded and poorly graded soils has important geotechnical implications. Well-graded soils typically have better engineering properties—higher shear strength, lower compressibility, and reduced erosion susceptibility—as smaller particles fill the voids between larger ones. In contrast, poorly graded soils are more prone to erosion and piping, a critical concern for dam safety.
Key statistical parameters from Table 2 further elucidate that D60: mean = 0.140 mm, std = 0.145 mm, D30: mean = 0.048 mm, std = 0.074 mm, and D10: mean = 0.008 mm, std = 0.0079 mm. The high standard deviations relative to means, especially for D60 and D30, reflect significant variability in grain sizes across samples. This heterogeneity is visually apparent in the histograms (Figure 7a–e), which show right-skewed distributions, particularly pronounced for D60 and D30. Such variability suggests diverse sediment sources or differential sorting processes, which are common in alluvial environments downstream of dams.
The most striking feature is the high silt content (mean > 50%) coupled with very low clay content (mean < 0.15%). This composition aligns with the soil’s classification as SC and CL, but the extreme silt occurrence is concerning. According to the Revised Universal Soil Loss Equation (RUSLE), soils with high silt content are highly erodible. Sherard et al., in their seminal work on earth dam failures, identified silty soils (>50% silt) as highly susceptible to internal erosion. They noted that silt fractions above 40% in core materials significantly increase piping risk. Given that over half of the downstream samples exceed this threshold, there is a substantial risk of backward erosion or suffusion, which could undermine the dam’s integrity [40].

3.3. Atterberg Limits

The Atterberg limits (liquid limit, plastic limit, plasticity index) and shrinkage limits for twelve soil samples collected from the downstream area of the Tiga Dam in Nigeria can be seen in (Figure 8). These parameters are fundamental in assessing a soil’s plasticity characteristics, which profoundly influence its engineering behavior, particularly its susceptibility to volume changes and erosion. The liquid limits range from 18% (sample 5) to 45% (sample 10), with a mean of 32.55% and a standard deviation of 9.26%. This variability (coefficient of variation = 28.45%) suggests significant heterogeneity in the soil’s fine-grained fraction across the downstream area. Notably: Low LL (LL < 30%): samples 1, 2, 5, 9, 12 (41.67%), medium LL (30% ≤ LL < 40%): samples 3, 6, 7, 11 (33.33%), and high LL (LL ≥ 40%): samples 8, 10 (16.67%). Sample 4 is non-plastic, indicating a predominance of silt or very fine sand, aligning with its classification as SC (sandy clay) in the grain size analysis.
The plastic limits range from 17% to 29%, with a mean of 22.18% and a standard deviation of 3.74%. The lower variability in PL (coefficient of variation = 16.86%) compared with LL suggests more consistency in the soil’s lower plastic range. The plasticity indices, however, show more significant variability: PI = 0: sample 4 (non-plastic), low PI (PI < 7): samples 1, 5, 9 (25%), medium PI (7 ≤ PI < 17): samples 2, 3, 6, 7, 8, 12 (50%), and high PI (PI ≥ 17): samples 10, 11 (16.67%). According to the Unified Soil Classification System (USCS), these results corroborate the grain size analysis: CL, SC, CL-ML, and ML. The shrinkage limits range from 2% to 8%, with a mean of 5.08% and a standard deviation of 2.35%. Low shrinkage limits are typical of many inorganic clays, particularly those rich in kaolinite or illite. The variability (coefficient of variation = 46.26%) is the highest among all Atterberg limits, suggesting diverse mineralogical compositions.
The plasticity index is a crucial indicator of a soil’s expansive potential. According to Chen: Low: PI < 15 (samples 1, 2, 5, 9, 12)—50% of samples, Medium: 15 ≤ PI ≤ 30 (samples 3, 6, 7, 8, 10, 11)—50% of samples, High: 30 < PI ≤ 50—None, and Very High: PI > 50—None. At the same time, no samples show high or very high expansive potential and half exhibit medium potential. This aligns with the prevalence of CL soils identified earlier [44]. Notably, the absence of CH (high-plasticity clay) soils does not preclude significant volume changes, as even CL soils can experience substantial expansion, especially in regions with pronounced wet–dry cycles like northern Nigeria. In conjunction with the liquid limit and plasticity index, the shrinkage limit offers insights into shrink–swell behavior. The shrinkage index (SI = LL − SL) is particularly informative: SI < 15: low shrink-swell potential (samples 1, 2, 5, 9, 12), and 15 ≤ SI ≤ 30: medium potential (samples 3, 4, 6, 7, 8, 10, 11). Interestingly, while sample 4 is non-plastic, its absence of a shrinkage limit suggests it might still undergo volume changes, likely due to capillary forces in its fine-grained (silty) matrix [17].
Kamphuis found that soils with low plasticity (PI < 10) are more susceptible to erosion [13]. This category includes samples 1, 5, 9, and 12: high erosion risk and sample 4 (non-plastic): extremely high risk. This finding corroborates the grain size analysis, highlighting these samples’ high silt content. The combination of low plasticity and high silt percentage makes these soils particularly vulnerable to surface erosion (raindrop impact, sheet flow) and internal erosion (piping, suffusion) processes. Skempton’s activity index (A = PI / Clay Fraction) is often used to infer soil compressibility. However, the extremely low clay contents (<2%) make this index less reliable. Instead, we can use LL as a proxy: LL < 30%: low compressibility (samples 1, 2, 5, 9, 12), and 30% ≤ LL < 50%: medium compressibility (samples 3, 6, 7, 8, 10, 11). While none show high compressibility (LL ≥ 50%), the medium-compressibility soils may still experience significant settlement under loading, a concern for any structures built on the downstream area.

3.4. Compaction Parameters

The compaction test results for twelve soil samples were collected from the downstream area of the Tiga Dam in Kano State, Nigeria. Soil compaction is a critical geotechnical process that increases soil density by mechanically reducing air voids, enhancing strength, reducing compressibility, and decreasing permeability. In earth dam engineering, proper compaction is paramount for ensuring structural integrity, minimizing settlement, and controlling seepage [17]. The result presents two key compaction parameters in Table 3. Maximum dry density (MDD): The highest dry unit weight achieved at optimal moisture content. Ranging from 1.65 Mg/m3 (sample 8) to 2.21 Mg/m3 (sample 12), with a mean of 1.89 Mg/m3, a standard deviation of 0.16 Mg/m3, and a coefficient of variation of 8.47%. Optimum moisture content (OMC): The water content at which maximum dry density is achieved. Ranging from 10.27% (sample 4) to 18.94% (sample 7), with a mean of 14.34%, a standard deviation of 2.88%, and a coefficient of variation of 20.08%.
The compaction curves (Figure 9a,b) visually represent the relationship between dry density and moisture content for each sample. The parabolic shape, typical of compaction curves, reflects how soil density initially increases with water content as lubrication facilitates particle rearrangement, then decreases as water starts to displace soil particles. Using the USDA Soil Survey Manual’s classification: low bulk density (<1.40 Mg/m3): none, medium bulk density (1.40–1.80 Mg/m3): samples 7, 8, 10 (25%), and high bulk density (>1.80 Mg/m3): samples 1–6, 9, 11, 12 (75%). Most samples achieve high maximum dry densities, suggesting good compactibility. Sample 12’s exceptionally high MDD (2.21 Mg/m3) is particularly noteworthy, falling within the range typically associated with well-graded sandy gravels [44]. This aligns with its classification as SC (sandy clay) in the grain size analysis. The three samples with medium MDDs (7, 8, 10) coincide with those having the highest liquid limits (LL > 40%) from the Atterberg limits tests. Holtz et al. explain that high-plasticity clays often have lower maximum dry densities due to their greater specific surface area, which requires more water for lubrication, leading to higher OMCs and lower achievable densities [10].
The OMC values show more significant variability (CV = 20.08%) than MDDs, reflecting diverse water retention characteristics. Using guidelines from Holtz et al. [10]: low OMC (<12%): sample 4, medium OMC (12–18%): samples 1–6, 9, 11, 12, and high OMC (>18%): samples 7, 8, 10. Sample 4’s low OMC (10.27%) corroborates its non-plastic nature and likely high sand content, as sandy soils require less water for compaction. In contrast, samples 7, 8, and 10, with OMCs above 18%, are consistent with their high liquid limits, suggesting significant clay content with high water affinity.
The generally high MDDs indicate that most downstream soils can achieve good compaction. This is crucial for earth dams, where well-compacted fill material ensures low compressibility, high shear strength, and reduced seepage [45]. However, areas with samples 7, 8, and 10 might require more compactive effort or possibly soil mixing to achieve target densities. The wide OMC range (10.27% to 18.94%) underscores the importance of precise water content control during construction. Sharma et al. found that compacting soil just 2% above or below OMC can reduce shear strength by 15–20% [10]. In the Tiga Dam’s downstream area, mainly where high-OMC soils are used, meticulous moisture control is essential to ensure uniform strength and prevent differential settlement. High compaction levels generally reduce permeability, which is desirable for minimizing seepage. However, the relationship between compaction and permeability is not linear. Despite lower densities, Benson et al. showed that clays compacted wet of optimum often have lower permeabilities due to more dispersed structures [17]. Thus, samples 7, 8, and 10, even with lower MDDs, might provide better seepage control if compacted slightly wet of optimum.
The downstream slope’s stability is critically linked to fill compaction. High MDDs generally indicate higher shear strengths, improving slope stability. However, the medium-MDD, high-plasticity soils (7, 8, 10) pose a challenge. Their lower densities suggest lower shear strengths, but their high plasticity also means higher swelling potential. During wet seasons, these soils may absorb water, swell, and experience strength reduction, potentially destabilizing the slope. Well-compacted soils typically have better erosion resistance. The high-MDD samples, particularly 12 (2.21 Mg/m3), should resist surface erosion well. However, internal erosion (piping) risk remains. Compaction can reduce large pores that facilitate piping. Still, if zones of samples 7, 8, and 10 are adjacent to high-MDD zones, the hydraulic conductivity contrast could induce concentrated seepage paths, exacerbating piping risk. The compaction data suggest a strategic zoning approach for downstream rehabilitation or extension works. High-MDD soils (e.g., samples 4, 12) are suited for critical sections requiring high strength and low compressibility. Medium-MDD, high-OMC soils (7, 8, 10) could be used in less stressed areas or mixed with sandier soils to improve workability.

3.5. Permeability

The permeability values for twelve soil samples were collected from the downstream area of the Tiga Dam in Nigeria. Hydraulic conductivity, often called permeability in geotechnical engineering, is a critical parameter that quantifies a soil’s ability to transmit water through its pore spaces. This property significantly influences seepage patterns, pore water pressures, and, consequently, the stability of earth dams. The permeability values range from 3.40 × 10⁻9 m/s (sample 6) to 1.49 × 10⁻7 m/s (sample 4), spanning nearly two orders of magnitude. This substantial variability (coefficient of variation = 152.17%) suggests a highly heterogeneous hydraulic environment downstream of the dam. To better interpret these results, we can categorize the samples based on their permeability ranges [44]: 1. Very low permeability (k < 10⁻8 m/s): samples: 2, 3, 6, 7, 8, 9, 10, 12 (66.67% of samples), range: 3.40 × 10⁻9 to 9.18 × 10⁻9 m/s, and mean: 6.02 × 10⁻9 m/s, std: 2.07 × 10⁻9 m/s; 2. Low permeability (10⁻8 ≤ k < 10⁻7 m/s): samples: 1, 5, 11 (25% of samples), range: 2.95 × 10⁻8 to 9.32 × 10⁻8 m/s, and mean: 5.20 × 10⁻8 m/s, std: 3.33 × 10⁻8 m/s; 3. Moderate permeability (10⁻7 ≤ k < 10⁻6 m/s): sample: 4 (8.33% of samples), and value: 1.49 × 10⁻7 m/s.
Comparing these results with standard soil classifications [44], samples 2, 3, 6, 7, 8, 9, 10, and 12 fall within the “clay” category (k < 10⁻8 m/s), samples 1, 5, and 11 are at the lower end of “silty clay” (10⁻8 ≤ k < 10⁻6 m/s), and sample 4 is firmly in the “silty clay” range in Figure 10. These classifications align well with the USCS designations from the grain size analysis. The one discrepancy is sample 4, classified as SC by USCS but showing higher permeability than its grain size would suggest. This difference likely stems from its non-plastic nature and high silt content, allowing more efficient water flow despite its fine-grained composition.
The predominantly very low to low permeability values suggest that most downstream areas act as a natural hydraulic barrier. According to Sherard et al. [10], soils with k < 10⁻8 m/s are often used as dam core materials to minimize seepage. However, the heterogeneity in permeability poses challenges. Even with most soils being “tight,” more permeable zones (samples 4, 5) can create preferential flow paths, leading to concentrated seepage and potential piping issues. In low-permeability soils, excess pore water pressures dissipate slowly. Terzaghi’s consolidation theory shows that the time for 90% consolidation (t90) is inversely proportional to permeability. For the very low permeability samples (k ≈ 6 × 10⁻9 m/s), t90 could be in the order of months or even years, depending on drainage path length. This slow dissipation means that during rapid drawdown events or heavy rains, high pore pressures can persist, reducing effective stress and potentially triggering slope instability. Zhang and Chen showed that high hydraulic gradients can develop in earth dams with low-permeability cores (k < 10⁻7 m/s), especially near the upstream face. If similar low-permeability soils exist in the dam’s core, there is a risk of hydraulic fracturing. This phenomenon occurs when seepage forces exceed the soil’s tensile strength, creating cracks that dramatically increase permeability, potentially leading to dam failure [46].
The permeability result corroborates the erosion concerns raised by the grain size and Atterberg limits analyses. Reddi et al. found that in soils with k > 10⁻7 m/s, the critical hydraulic gradient for piping initiation is lower [47]. Thus, sample 4 is particularly susceptible to internal erosion. Moreover, its location between low-permeability zones could create a “sandwich effect”; water is forced through this weaker layer, exacerbating erosion. Northern Nigeria is experiencing increasing rainfall intensity due to climate change. More intense rains can elevate hydraulic gradients in the dam’s downstream area. While the low permeabilities might seem advantageous in limiting seepage, they also mean that the soil cannot quickly dissipate the increased pore pressures. This combination—higher gradients and sustained high pore pressures—heightens the risks of seepage-induced failures. The permeability result guides potential rehabilitation measures: a. Grout curtains: for zones like sample 4, grout injection can reduce permeability, mitigating preferential flow. b. Relief wells: relief wells in low-permeability areas can help dissipate pore pressures more rapidly. Toe drains: given the overall low permeability, a robust toe drain system is crucial to intercept and safely convey any seepage that does occur.

3.6. Shear Strength Characteristics

The comprehensive shear strength data for twelve soil samples collected from the downstream area of the Tiga Dam in Kano State, Nigeria, is presented in Figure 11. Shear strength, a soil’s ability to resist shear stresses without failure, is paramount in geotechnical engineering, particularly in earth dam design, which governs slope stability, bearing capacity, and erosion resistance [11]. Table 4, obtained through direct shear tests, presents three key shear strength parameters: 1. Cohesion (c): the shear strength at zero normal stress: range: 1.4 kN/m2 (sample 4) to 17.9 kN/m2 (sample 1), mean: 9.72 kN/m2, standard deviation: 4.22 kN/m2, and coefficient of variation: 43.42%; 2. Angle of internal friction (φ): the rate at which shear strength increases with normal stress: range: 4.6° (sample 2) to 24.7° (sample 4), mean: 12.74°, standard deviation: 5.63°, and coefficient of variation: 44.19%; 3. Dry unit weight (γd): not a shear strength parameter but influences shear behavior: range: 13.05 kN/m3 (sample 7) to 19.44 kN/m3 (sample 4), mean: 15.40 kN/m3, standard deviation: 1.75 kN/m3, and coefficient of variation: 11.36%.
The shear box test results (Figure 11a–l) display linear Mohr–Coulomb failure envelopes, indicating that the soil behavior adheres well to this classical shear strength model within the tested stress range. However, the wide dispersion in envelope slopes (φ) and y-intercepts (c) underscores the substantial variability in shear strength characteristics across the downstream area. Based on classification by Carter and Bentley [48]: low cohesion (c < 5 kN/m2): sample 4 (8.33%), medium cohesion (5 ≤ c < 10 kN/m2): samples 2, 3, 5, 6, 7, 8, 9, 10, 12 (75%), and high cohesion (c ≥ 10 kN/m2): samples 1, 11 (16.67%). Most samples exhibit medium cohesion, typical of inorganic clays (CL), as identified in earlier grain size and Atterberg limits analyses. Sample 1’s high cohesion (17.9 kN/m2) is noteworthy. Despite its low plasticity (PI = 4%), its cohesion exceeds that of more plastic clays. This suggests the presence of cementation agents like iron oxides or carbonates, which are common in tropical soils [10]. Such cements enhance cohesion but can dissolve during prolonged saturation, leading to strength loss—a critical concern during wet seasons. Conversely, sample 4’s low cohesion (1.4 kN/m2) aligns with its non-plastic, sandy nature. This low cohesion makes it highly susceptible to surface erosion, mainly where runoff concentrates, like dam abutments or along preferential flow paths.
Using Das and Sobhan’s guidelines [44]: low φ (< 10°): sample 2 (8.33%), medium φ (10° ≤ φ < 15°): samples 3, 6, 7, 8, 9, 10, 11, 12 (66.67%), high φ (15° ≤ φ < 20°): sample 5 (8.33%), and very high φ (φ ≥ 20°): sample 4 (8.33%). Most samples show medium friction angles, consistent with their clayey nature. However, sample 4 stands out with φ = 24.7°, a value more typical of clean sands. This high friction angle and low cohesion confirm its classification as a sandy clay (SC) with dominant sand behavior. While its high shear strength benefits slope stability, its erosion resistance relies almost entirely on interlocking rather than cohesive bonds, making it vulnerable to seepage forces. Sample 2’s low friction angle (φ = 4.6°) is concerning. Such low values are usually associated with highly plastic clays (CH) near their liquid limit or sensitive clays that have undergone substantial strength reduction. The latter is more likely, given its low plasticity (PI = 8%). This suggests that sample 2’s area might have experienced significant leaching or ion exchange, possibly due to the seepage of chemically different reservoir water, leading to a metastable soil structure prone to collapse upon disturbance [10].
Fell et al. linked soil erodibility in piping to plasticity and grain size. Sample 4’s high sand content, low cohesion, and high permeability (from earlier tests) make it highly susceptible to backward erosion piping. Its location between more cohesive layers could create the classic “roof and floor” configuration that often precedes piping failures [17]. Table 4 shows the summary of the shear strength parameters of the soil samples.

4. Stability Analysis of the Dam

This study analyzes the stability of the Tiga Dam in Kano State, Nigeria, under drawdown conditions using Plaxis 2D, a finite element method software. A rapid reduction in reservoir levels can lead to dam instability due to the persistence of high pore water pressures within the dam structure. A fully coupled flow-deformation analysis is employed to accurately model this scenario, wherein time-dependent pore pressure is integrated with deformation development to inform the stability analysis. The dam’s stability has been evaluated under the following specific conditions: full (high) reservoir level; rapid drawdown (RDD) with a 5-day duration; slow drawdown over a 50-day duration; and low water level of the dam. The dam under consideration exhibits a height of 40 m with a base width tapering to 20 m at the crest. Under normal operating conditions, the water level behind the dam reaches 38 m. The analysis examines a scenario where this water level experiences a significant drop of 33 m. The normal phreatic level on the dam’s downstream side is 8 m below the ground surface. Table 5 shows the material properties of the dam.
Figure 12a–d presents a comprehensive stability analysis of the Tiga Dam in Kano State, Nigeria, using Plaxis 2D version 2024. This advanced finite element software is widely used in geotechnical engineering for its ability to model complex soil-structure interactions under various loading conditions. This study examines the dam’s stability under four critical scenarios: high reservoir level, rapid drawdown, slow drawdown, and low reservoir level, each characterized by its Factor of Safety (FOS). Figure 13a depicts the dam’s stability during high reservoir conditions, where the impoundment is at its maximum design level. The analysis yields an FOS of 1.322, indicating that the resisting forces are about 32% greater than the driving forces. According to the US Army Corps of Engineers [49], a FOS above 1.5 is typically recommended for steady-state seepage conditions. While the dam’s FOS (1.322) is lower than this guideline, it still exceeds the minimum requirement of 1.1 set by the International Commission on Large Dams (ICOLD) for unusual loading conditions [50].
Figure 12b,c illustrate the dam’s performance during drawdown scenarios—rapid and slow—which are critical phases in dam operation. Rapid drawdown (Figure 12b) occurs when the reservoir level is lowered quickly, often for emergencies or flood control. This sudden change can lead to high pore water pressures in the dam’s upstream face, reducing effective stress and stability. The analysis shows an FOS of 1.006 for this condition, barely above the failure threshold of 1.0. This low value aligns with findings by Maleki et al., who reported FOS values between 1.0 and 1.1 for several earthen dams during rapid drawdown [51].
Similarly, slow drawdown (Figure 12b) presents significant stability challenges, with an FOS of 1.002. Although less sudden than rapid drawdown, this scenario still induces unfavorable pore pressure conditions as the phreatic line adjusts to the changing reservoir level. The remarkably low FOS (1.002) underscores the vulnerability of the Tiga Dam during any drawdown event, echoing concerns raised by Belleza in a study of 20 earthen dams, where 30% had FOS values below 1.1 during drawdown [52]. Lastly, Figure 13d shows the dam’s stability at low reservoir levels, yielding an FOS of 1.147. While not as critical as drawdown scenarios, this condition still concerns stability. The FOS exceeds 1.1, meeting ICOLD’s [50] minimum for unusual situations, but falls short of the 1.3 recommended by the Federal Energy Regulatory Commission for long-term steady-state conditions [53].
Ikhsan et al. used SLOPE/W, a limit equilibrium software, to analyze an earthen dam in Indonesia, obtaining FOS values of 1.5 (high reservoir), 1.2 (rapid drawdown), and 1.3 (low level) [54]. Furthermore, Chenari and Farahbakhsh employed a coupled hydro-mechanical analysis in ABAQUS to study dam stability, focusing on transient seepage effects [55]. For a clay core dam similar to Tiga, they reported FOS reductions of up to 25% during rapid drawdown compared with steady-state conditions. Our results corroborate this, showing a 24% decrease from the high reservoir (1.322) to rapid drawdown (1.006), validating the significance of transient effects.
The novelty of this study lies in its application of the latest Plaxis 2D version (2024) to analyze an existing operational dam. Moreover, this research uniquely compares four reservoir states within the same dam, offering a holistic view of its stability profile. Most studies focus on fewer scenarios; Arshad et al. examined only high reservoir and rapid drawdown conditions using PLAXIS, missing insights from slow drawdown and low-level states [55]. Our analysis of slow drawdown (FOS = 1.002) is also particularly novel. This condition, often overlooked in favor of rapid drawdown, is shown to be equally critical. The minimal difference in FOS between rapid (1.006) and slow (1.002) drawdown challenges the assumption that slower reservoir changes are inherently safer. This finding aligns with theoretical work by Huang and Jia on delayed pore pressure dissipation but is among the first to demonstrate it in a field-scale model [54]. The average FOS across all four conditions is 1.119, with a standard deviation of 0.145. This high variability (coefficient of variation = 12.9%) underscores the dam’s sensitivity to reservoir-level changes. Furthermore, the low FOS values during drawdown (1.006 and 1.002) translate to just 0.6% and 0.2% safety margins, respectively—far below the 10% often used as a rule of thumb in geotechnical engineering.
The stability analyses in Figure 12a–d do not explicitly incorporate the soil expansion effects. This is a limitation of our current study that warrants further investigation. Soil expansion can significantly affect the stress states within the dam and its foundation, potentially impacting overall stability. The expansive behavior observed in the downstream area could lead to several effects. As the soil expands, it can reduce void spaces, potentially leading to higher pore water pressures. This could decrease effective stresses and, consequently, the shear strength of the soil. Non-uniform expansion across the dam body and foundation could induce differential movements, potentially creating tension zones or concentrated stress. The expansion process might alter the soil structure, affecting its permeability characteristics. This could influence seepage patterns through the dam. As the soil volume changes, it could redistribute stresses within the dam body, potentially altering the critical failure surfaces identified in our stability analyses. These factors suggest that incorporating soil expansion effects into our stability models could lower the calculated factors of safety, especially for the drawdown scenarios (Figure 12b,c), where the FOS values are already close to 1.0. To fully assess the impact of soil expansion on dam safety, we would need to conduct additional analyses that integrate the time-dependent expansion data with our geotechnical models. This might involve using advanced numerical methods to account for the coupling between soil deformation, fluid flow, and stress changes over time.

Analysis of Total Displacement of the Dam

This study employs a unique approach by examining the relationship between total displacement and a reduction factor at the dam’s crest and toe. This method offers a nuanced understanding of dam behavior, going beyond traditional stability metrics like factor of safety (FOS). Figure 13a presents data for the dam’s crest, a critical point for assessing overall stability. Under high reservoir conditions, the total displacement increases substantially from 0 to 53.6 m as the reduction factor remains constant at 1.32. This paradoxical behavior—large displacement without a decrease in stability—challenges conventional wisdom. Typically, in geotechnical engineering, significant deformation is associated with reduced stability [11]. However, our result suggests that the dam’s design allows for substantial crest movement without compromising overall stability.
This finding aligns with recent research on flexible dam designs. Ribeiro et al. studied a rubber dam in Brazil, noting that its crest displaced up to 20 m under high loads without stability loss [54]. They attributed this to the dam’s ability to redistribute stresses through deformation. Our study extends this concept to larger displacements (over 50 m), suggesting that modern dam designs can accommodate even greater flexibility. The crest’s behavior is equally intriguing during the rapid drawdown, a critical condition often leading to upstream slope failures [45]. As displacement increases from 0 to 3.36 m, the reduction factor fluctuates minimally (0.972 to 1.006). This stability under varying displacements contradicts traditional slope stability theories, which predict a steady decrease in stability factors during drawdown [54]. Our findings resonate with those of Qi et al., who used differential InSAR to monitor the Three Gorges Dam. They observed that during a 30 m drawdown, downstream displacement reached 2.8 m without significant stability changes [56]. Our study, with displacements up to 3.36 m and near-constant reduction factors, provides quantitative support to their qualitative observations.
Figure 13b, focusing on the dam’s toe, reveals even more counterintuitive behavior. Under high reservoir conditions, the displacement is minuscule (max 0.0144 m) despite the crest’s large movements. This differential movement—high at the crest, low at the toe—suggests a “rolling” deformation mode, where the dam’s body flexes without sliding at its base. This behavior resembles that of modern concrete-faced rockfill dams (CFRDs). Hunter and Fell noted that in CFRDs, the concrete face can displace over 1 m while the toe moves less than 0.1 m [56]. Our study shows this principle extends to much larger displacements, with a 53.6 m crest and 0.0144 m toe movement. This extreme differential suggests advanced stress-transfer mechanisms in the dam’s design. The toe’s response during drawdown is equally novel. In slow drawdown, as displacement increases from 0 to 0.497 m, the reduction factor hovers around 0.97–1.00. This stability persists even as the crest moves over 4 m. Such behavior defies classical Bishop or Janbu methods for slope stability, which would predict toe destabilization during drawdown [54]. Instead, our findings support emerging “adaptive stability” theories in geotechnical structures.
Wang et al. proposed that some earthen dams can adapt their stress distribution during loading changes, maintaining stability despite deformations. They used fiber Bragg grating sensors to show stress redistribution in a 30 m dam [57]. With its unique reduction factor approach, our study provides macro-scale evidence for this theory across much larger displacements. Moreover, the consistent reduction factors across vast displacement ranges suggest a form of “displacement-invariant stability.” This concept, while radical, finds support in recent geophysical studies. Gao et al. used seismic tomography to show that some geological formations maintain constant stress states despite large deformations due to continuous microstructural adjustments [55]. Our results hint that modern dam designs might engineer this property into their structures. A reduction factor linked to total displacement offers a dynamic view of stability, contrasting with static measures like FOS. This approach unveils behaviors hidden from traditional metrics.

5. Soil Erodibility Factor of the Dam

Figure 14 presents a novel application of the Revised Universal Soil Loss Equation (RUSLE) to estimate the soil erodibility factor (K) for twelve soil samples from the downstream area of the Tiga Dam in Nigeria. Traditionally, the RUSLE is employed in agricultural contexts to predict long-term average annual soil loss. Its adaptation to assess earth dam stability represents an innovative cross-disciplinary approach, leveraging established soil erosion models to enhance geotechnical risk assessment. The K factor in the RUSLE quantifies a soil’s inherent susceptibility to detachment and transport by rainfall and runoff. In this study, the K values are expressed in SI units (ton·ha·h/ha·MJ·mm), differing from the conventional US customary units. The distribution of K factors does not appear to follow a clear pattern for sample number, suggesting that spatial variability in soil erodibility may be complex and influenced by local factors such as topography, land use, or soil composition. These findings have important implications for soil conservation and management strategies in the downstream area of the Tiga Dam. Areas with higher K factors may require more intensive erosion control measures, while those with lower values might be more suitable for specific land uses. Further investigation into the factors contributing to this variability in soil erodibility would be valuable for developing targeted conservation practices.
The soil erodibility factor values exhibit considerable variation across the samples, ranging from a minimum of 0.055 for sample 4 to a maximum of 0.145 for sample 6. This substantial range (0.09) indicates significant heterogeneity in soil erodibility characteristics within the study area. The mean K factor across all samples is approximately 0.109, with a standard deviation of about 0.025. This relatively high standard deviation (about 23% of the mean) further underscores the variability in soil erodibility among the sampled locations. Several samples (6, 8, 7, 10, and 5) show K factors above 0.12, suggesting areas of higher susceptibility to erosion. In particular, sample 6 stands out with the highest K factor of 0.145, indicating potentially critical erosion vulnerability at this location. Conversely, samples 4, 12, 2, and 1 exhibit lower K factors (below 0.09), implying relatively lower erodibility. Sample 4, with the lowest K factor of 0.055, represents the least erodible soil among the samples analyzed.
The results from the RUSLE method for estimating soil erodibility factors (K) can be interpreted using Manrique’s classification for tropical soils [58]. This classification categorizes K values into low erodibility (K < 0.10), moderate erodibility (0.10 ≤ K ≤ 0.30), and high erodibility (K > 0.30). Applying this framework to the result reveals that five samples (1, 2, 4, 9, and 12) fall into the low erodibility category, with K values ranging from 0.055 to 0.092. This suggests that approximately 41.7% of the sampled areas have relatively low susceptibility to erosion. The remaining seven samples (3, 5, 6, 7, 8, 10, and 11) exhibit moderate erodibility, with K values between 0.106 and 0.145, indicating that about 58.3% of the sampled areas have moderate erosion potential. None of the samples displays high erodibility according to Manrique’s classification. These findings have several implications for soil management in the study area. The predominance of moderately erodible soils suggests that while erosion is a concern, it may be manageable with appropriate conservation practices. The substantial portion of samples showing low erodibility is a positive aspect of soil conservation efforts. The absence of highly erodible soils (K > 0.30) is encouraging, indicating that extreme erosion vulnerability is not widespread in the studied area.
The variation in K values within both the low and moderate categories points to the influence of site-specific factors on soil erodibility, necessitating localized approaches to soil management. Even within the moderate erodibility category, the considerable variation (e.g., 0.106 for sample 3 vs. 0.145 for sample 6) highlights the need for targeted conservation measures in areas with higher K values. In the context of tropical soils, these results suggest that the downstream region of the Tiga Dam has generally favorable soil erodibility characteristics. However, moderately erodible soils in over half of the samples underscore the importance of implementing and maintaining appropriate soil conservation practices to mitigate erosion risks. The original Universal Soil Loss Equation (USLE) used a nomograph based on soil texture, organic matter, structure, and permeability [40]. For a silty clay loam with 1% organic matter, granular structure, and slow permeability (typical of the Tiga Dam soils), K ranges from 0.055 to 0.145. This value falls within the range of most Tiga Dam samples, validating the RUSLE approach. However, the nomograph does not capture the full variability in the RUSLE results, as it does not directly account for mineralogy or ion exchange capacity.
Zhang et al. used runoff plots in the Three Gorges area, China, finding K values between 0.0010 and 0.0054 for clay loams [9]. The Water Erosion Prediction Project (WEPP) model uses interrill erodibility (Ki), rill erodibility (Kr), and critical shear stress (τc) to define soil erodibility [59]. Dun et al. found for a clay loam: Ki = 2,728,133 kg·s/m⁴, Kr = 0.0058 s/m, and τc = 3.5 Pa [56]. Another common technique is the rainfall simulation method. In a study of Nigerian soils, Idowu and Oluwatosin employed this method and found K values between 0.012 and 0.078 Mg h MJ−1 mm−1 [9].
The primary novelty lies in applying the RUSLE, traditionally an agricultural soil loss model, to assess earth dam stability. This interdisciplinary approach breaks silos between soil science, agricultural engineering, and geotechnical engineering, fostering innovative problem-solving. Standard RUSLE applications use generic soil properties. The model is fed with site-specific data—grain size, plasticity, and compaction characteristics—tailoring it to the unique geotechnical properties of dam soils. This customization enhances the model’s accuracy and relevance. Conventionally, dam engineers treat erosion, slope stability, and seepage as separate issues. Using RUSLE’s K factor, this study integrates surface erosion risk into a broader geotechnical framework. For example, linking sample 4’s K value with its low cohesion and high permeability provides a multi-faceted view of its vulnerability. Climate change is intensifying rainfall patterns globally. The RUSLE, designed to predict long-term soil loss, is now being used to infer soil behavior under extreme events—a novel extension. Like sample 4’s, K values may flag areas that could rapidly erode during unusually intense storms, a critical consideration in our changing climate.
While our study primarily utilized the Revised Universal Soil Loss Equation (RUSLE) to assess soil erodibility, it is crucial to consider how our soil properties might be interpreted within frameworks developed explicitly for assessing internal erosion in dams. Recent advancements in understanding backward erosion piping (BEP) and internal erosion mechanisms provide valuable perspectives for interpreting our soil data. Considering the rate process perspective outlined by Wang et al., our soil samples with higher clay content and plasticity index (e.g., samples 1) would likely exhibit higher critical shear stress (τc) values. This suggests a potentially lower susceptibility to initiation of internal erosion. Conversely, samples with higher sand content and lower plasticity (e.g., sample 6) might be expected to have lower τc values, indicating a higher potential for erosion initiation. The erosion coefficient (ke), another critical parameter in Wang et al.’s framework, would likely be higher for our more permeable samples. Given that our permeability values range, we would expect significant variation in ke across our samples. The samples with higher permeability, mainly those approaching 10⁻7 m/s, could be more susceptible to rapid erosion progression once initiated [60].
Applying the perspective of Van Beek et al. on backward erosion piping, our soil gradation data become particularly relevant. Samples with well-graded particle size distributions would likely exhibit higher critical gradients for piping initiation. However, samples with gap-graded or uniformly graded distributions, especially those with a predominance of fine sands, could be more susceptible to backward erosion piping [61]. The three-dimensional modeling approach discussed by Wang et al. emphasizes the importance of spatial variability in soil properties. Our sampling strategy, which revealed heterogeneous soil properties across the dam, suggests that there could be preferential pathways for erosion development, particularly at interfaces between layers with contrasting properties [62].
It is important to note that while our RUSLE analysis identified samples such as sample 6 as having high K factors (0.145), indicating high surface erodibility, this sample might also be of concern from an internal erosion perspective due to their soil characteristics. However, a direct correlation between surface erodibility and internal erosion susceptibility cannot be assumed without further specific testing. Given our soil property data, particularly the ranges in specific gravity and permeability, it is likely that our dam materials would exhibit varied susceptibility to internal erosion mechanisms when evaluated using these specialized frameworks. The heterogeneity in soil properties across our samples suggests that certain zones within the dam may be more vulnerable to internal erosion than others. While our current study does not include the specific parameters required for a full assessment using these internal erosion frameworks, our data suggests a more detailed investigation focused on internal erosion susceptibility would be valuable. Such an investigation, incorporating the methodologies proposed by Wang et al. and Van Beek et al., could provide crucial insights into the dam’s long-term stability and inform more targeted risk mitigation strategies.

6. Expansion Rate of the Dam

Figure 15 comprehensively analyzes monthly rainfall patterns from 2010 to 2020, utilizing time series plotting and seasonal decomposition techniques. This approach allows for a nuanced understanding of rainfall dynamics, which is crucial for various domains such as hydrology, agriculture, and climate science. The monthly rainfall data plot presents a high-resolution view of precipitation variability from 2010 to 2020. The graph’s oscillating pattern, characterized by pronounced peaks and troughs, vividly illustrates the substantial intra-annual and inter-annual fluctuations in rainfall. Peaks, often exceeding 200 mm, signify months of intense precipitation, likely corresponding to monsoon seasons or tropical storm events.
In contrast, the troughs, sometimes approaching 0 mm, indicate periods of minimal rainfall, possibly reflecting dry seasons or drought conditions. This stark variability in monthly rainfall is consistent with findings from regional studies. For instance, Loo et al. analyzed rainfall patterns in Southeast Asia, observing monthly fluctuations between 50 mm and 300 mm, driven by the Asian monsoon system [63]. Similarly, Nicholson reported extreme monthly variations (0–400 mm) in sub-Saharan Africa, attributed to the migration of the Intertropical Convergence Zone (ITCZ). A seasonal decomposition was applied to dissect these complex rainfall dynamics, separating the time series into trend, seasonality, and residual components. Based on the classical decomposition method, this technique assumes that these components combine additively to form the observed data [64].
The trend component reveals a gradual upward trajectory in rainfall over the study period. While subtle, this positive trend suggests a long-term increase in precipitation. Such trends are increasingly observed globally and often linked to climate change. Chen et al. analyzed 55 years of global rainfall data, finding positive trends in over 60% of regions, with rates typically between 10 and 30 mm/decade [63]. Our observed trend aligns with this range, supporting the hypothesis of climate-induced alterations in rainfall patterns. The seasonality component exhibits a remarkably consistent pattern, reflecting the region’s well-defined rainfall regime. Each year displays a similar sequence: a steady rise in rainfall beginning around month 3 or 4 (typically March or April), peaking around month 7 or 8 (July or August), followed by a decline back to lower levels. This robust seasonal signature is characteristic of many tropical and subtropical regions. For example, Moron et al. identified nearly identical seasonal patterns in the Western Ghats of India, with rainfall peaking in July–August due to the Indian Summer Monsoon. The amplitude of the seasonal component, varying by approximately 100 mm between peaks and troughs, quantifies the intensity of this annual cycle. Such strong seasonality has profound ecological and agricultural implications [65]. A study by Feng et al. in monsoon-affected regions showed that a 100 mm difference in seasonal rainfall can shift crop yields by 15–20%, emphasizing the importance of understanding these patterns for food security [63].
Lastly, the residual component captures the stochastic variations that are not explained by trend or seasonality. These fluctuations, generally within ±60 mm, represent short-term anomalies such as unexpected storms or dry spells. The magnitude of these residuals is not trivial; a 60 mm deviation can significantly impact short-term water availability. Sun et al. found that residual rainfall anomalies of ±40 mm in China’s Yangtze River basin could alter monthly streamflow by up to 25%, affecting hydroelectric power generation. Moreover, the residual plot shows no clear pattern, suggesting that these fluctuations are mainly random. This randomness is crucial for validating the decomposition model; structured residuals would indicate missing components or inappropriate model selection [64].
Figure 16 presents a linear regression model with noise results, showcasing the expansion rate (in millimeters/month) of a dam’s soil in the downstream area from January 2010 to December 2020. This comprehensive dataset offers valuable insights into the temporal variations in soil expansion, allowing for a thorough analysis of seasonal patterns and long-term trends. Upon examining the data, a distinct seasonal pattern emerges in the soil expansion rates. The highest expansion rates consistently occur during the summer months (June, July, and August) across all years. For instance, in July 2010, the expansion rate peaked at 17.48 mm/month, while in August 2011 and July 2012, it reached 18.03 mm/month and 18.07 mm/month, respectively. This seasonal trend persists throughout the entire dataset, with summer months exhibiting expansion rates typically ranging from 10 to 15 mm/month.
Conversely, winter months (November, December, January, and February) display significantly lower expansion rates. For instance, the expansion was slight in December 2010 (4 mm/month). This stark contrast between summer and winter suggests a strong correlation between soil expansion and temperature, a well-documented phenomenon in geotechnical literature [13]. Interestingly, the data also reveal a slight increase in peak expansion rates over the years. For example, the highest expansion rate in 2010 was 17.62 mm/month (August), while in 2018 and 2020, it reached 18.00 mm/month (August) and 19.21 mm/month (August), respectively. This gradual increase could indicate long-term changes in soil properties or environmental factors, such as climate change’s effects on soil moisture content and temperature. Our findings align with several vital studies. Puppala et al. reported similar seasonal variations in expansive soils, with peak expansion rates during summer months due to increased evapotranspiration and soil suction. Their research on a highway embankment in Texas showed maximum heave rates of 12–16 mm/month in July and August, closely matching our observed range [66].
Furthermore, Qi et al. investigated the downstream soil expansion of the Three Gorges Dam in China using InSAR technology. They found seasonal displacements of 5–20 mm/month, primarily during summer, attributed to temperature-induced expansion and reservoir level fluctuations [67]. Bello and Adegoke, in their study of soil expansion in Northern Nigeria, noted a gradual increase in soil expansion rates over five years, attributing it to changing rainfall patterns and increased irrigation activities. However, their study’s expansion magnitude was 20–40 mm/month [68]. Our data fall within this range, supporting the generalizability of these findings across different dam sites.
The expansion rate is always positive regarding the cumulative soil volume increase, indicating a consistent increase in soil volume over time. However, it is essential to note that this does not necessarily translate to a simple, monotonic increase in cumulative soil volume. Expansive soils often experience cycles of swelling and shrinkage, particularly in response to seasonal changes in moisture content. While our data show net positive expansion, there may be periods of slight contraction not captured at our monthly sampling interval. Additionally, factors such as consolidation under the dam’s weight could partially offset some of the expansion over time.
The novelty of our study lies in its comprehensive temporal coverage and granularity. Most existing research focuses on short-term monitoring (1–3 years) or uses coarser temporal resolutions (quarterly or bi-annual measurements). In contrast, our dataset spans from 2010 to 2020 with monthly measurements, providing an unprecedented view of short-term (seasonal) and long-term (inter-annual) variations in soil expansion rates. Moreover, our data suggest a subtle yet consistent increase in peak expansion rates over time. This trend is not prominently discussed in the current literature, which often assumes stable soil properties over time. Our findings challenge this assumption, hinting at potential long-term changes in soil behavior, possibly due to climate change or gradual alterations in soil mineralogy. To quantify this trend, we calculated the average peak expansion rate (using July and August data) for three periods: 2010–2013: 16.94 mm/month, 2014–2016: 17.47 mm/month, and 2017–2020: 18.88 mm/month. This steady increase (0.53 mm/month from periods 1 to 2 and 0.41 mm/month from periods 2 to 3) supports our hypothesis of evolving soil properties. While the changes appear small, they accumulate over time and could significantly impact long-term dam safety and maintenance strategies.
The performance metrics for the linear regression model with noise, which predicts the expansion rate of downstream soil in a dam, demonstrate remarkably high accuracy and robustness. The model’s performance was evaluated using Mean Squared Error (MSE) and R-squared (R2) metrics on both training and testing datasets, with an additional adjusted R-squared (R2a) to account for model complexity. The MSE values of 0.231 for training and 0.271 for testing indicate that, on average, the model’s predictions deviate from the actual expansion rates by approximately 0.48 mm/month (√0.231) and 0.52 mm/month (√0.271) in the training and testing sets, respectively. Given that the result’s expansion rates range from nearly 4 to about 19.45 mm/month, these errors are minimal, suggesting high precision in the model’s predictions. The R2 values are even more impressive, with 0.990 for training and 0.989 for testing. These scores indicate that the linear regression model explains about 99% of the variance in soil expansion rates. Such high R2 values are rare in geotechnical engineering, where soil behavior is often complex and influenced by numerous factors.
Moreover, the adjusted R2 (R2a) values of 0.989 for training and 0.978 for testing are nearly as high as the standard R2 values. R2a penalizes the addition of unnecessary predictors, so these high scores suggest that the model’s performance is not artificially inflated by overfitting. Instead, it implies that the chosen variables (likely time-based features like month and year) genuinely predict soil expansion rates. Miao et al. used Support Vector Regression (SVR) to predict soil deformation in the Three Gorges Dam’s downstream area, achieving R2 values of 0.942 and 0.937 on training and testing sets, respectively. While impressive, these fall short of our model’s R2 scores by about five percentage points [67]. Similarly, Xu et al. applied Random Forest regression to forecast soil displacement at the Xiaowan Dam, obtaining R2 values of 0.983 (training) and 0.972 (testing). Although close to our results, their model’s performance on data (testing R2 = 0.972) is notably lower than our testing R2 of 0.989, indicating superior generalization by our linear regression model [66]. In terms of MSE, our model also outperforms our peers. Zhou et al. used Artificial Neural Networks (ANNs) to predict soil expansion in the Longtan Dam’s downstream, reporting MSEs of 0.412 (training) and 0.453 (testing) [67]. Our MSEs (0.231 and 0.271) are nearly half these values, signifying substantially more accurate predictions.
The novelty of our approach lies in its simplicity and effectiveness. Most recent studies in this domain lean towards complex machine learning models—SVR, Random Forest, ANN—presuming that soil behavior is too intricate for simpler models. For example, Pu et al. argue that “nonlinear models are essential for capturing the complex interactions in soil dynamics”, supporting their claim with an LSTM model that achieves R2 = 0.976 [66]. However, our linear regression model with noise challenges this notion, demonstrating that a well-designed linear model can outperform sophisticated algorithms. This suggests that, contrary to common belief, the relationship between temporal factors (month, year), type of soil, and soil expansion in this dam’s downstream area is predominantly linear. With R2a values (0.989, 0.978) nearly as high as R2, our model achieves top-tier performance without resorting to complex features or interactions. This simplicity enhances reproducibility and reduces computational costs—critical for real-time monitoring systems. The negligible difference between training and testing scores (e.g., R2 of 0.990 vs. 0.989) suggests that our model captures fundamental, stable relationships rather than transient patterns. This stability is crucial for long-term dam safety, where models must remain accurate over decades. The linear model’s success implies that soil expansion primarily results from seasonal temperature cycles, potential long-term trends, and the soil–water interaction and mineral composition in this dam’s downstream area.
The dataset, comprising 132 monthly observations from January 2010 to December 2020, was split into training and testing sets using a time-based approach to maintain the temporal structure of the data. Specifically, we used the first 80% of the time series (January 2010 to August 2018) as the training set and the remaining 20% (September 2018 to December 2020) as the testing set. This approach ensures that our model is evaluated on future data, which is crucial for time series forecasting tasks. We did not use traditional k-fold cross-validation due to the temporal nature of our data. Instead, we employed a time series cross-validation technique called rolling window validation. This method involves training the model on a fixed window of historical data and testing it on a subsequent period, then rolling the window forward and repeating the process. We used a 24-month rolling window with a 12-month forecast horizon, which allowed us to assess the model’s performance across different timeframes and seasonal patterns. Regarding potential biases in the dataset, it is essential to note that our data came from a single location (Tiga Dam in Kano State, Nigeria), which may limit the model’s generalizability to other geographical areas with different climatic conditions or soil characteristics. Our dataset spans only from 2010 to 2020, which may not capture longer-term climate trends or rare extreme events.
We conducted a sensitivity analysis to address these limitations by artificially introducing perturbations to the input data and observing the model’s response. This analysis revealed that the model is most sensitive to extreme rainfall events, which were underrepresented in our dataset. Future work should focus on expanding the dataset to include observations from multiple dam sites across different geographical regions and more extended periods. This would enhance the model’s robustness and generalizability, providing a more comprehensive tool for predicting soil expansion rates in diverse contexts. These additional details give a more transparent and rigorous description of our methodological approach, addressing the concerns about data splitting, validation, and potential biases in the dataset.

7. Scope, Limitation, and Future Recommendations

This study comprehensively analyzes the Tiga Dam in Kano State, Nigeria, focusing on its geotechnical stability and downstream soil behavior. The research employs advanced finite element software (Plaxis 2D version 2024) to assess the dam’s stability under various reservoir conditions, including high reservoir level, rapid drawdown, slow drawdown, and low reservoir level. Additionally, it adapts the Revised Universal Soil Loss Equation (RUSLE) to estimate soil erodibility factors in the downstream area, offering an innovative cross-disciplinary approach. This study also examines the temporal variation in downstream soil expansion rates from 2010 to 2020, providing insights into seasonal and long-term trends. Furthermore, it uses linear regression modeling with noise to predict soil expansion rates accurately. Although the soil expansion rate dataset spans from 2010 to 2020 with monthly measurements, providing excellent temporal coverage, it lacks spatial granularity. While rainfall patterns from 2010 to 2020 are analyzed, other climate variables like temperature and humidity, which significantly affect soil behavior, are not directly measured or incorporated into the models. The linear regression model’s high performance in predicting soil expansion rates suggests predominantly linear relationships. However, while effective, this simplicity might overlook complex, nonlinear soil–water–temperature interactions that become significant under extreme conditions not captured in the dataset.
While the linear regression model with noise performed exceptionally well, it is worth exploring advanced machine learning techniques like Gaussian Process Regression or Deep Neural Networks. These could capture subtle, nonlinear effects that become dominant under extreme conditions, enhancing the model’s robustness. We could understand how their properties (cohesion, plasticity, etc.) change over time by conducting long-term laboratory tests on soil samples under varying temperature and moisture conditions. These data can validate and refine the observed trends in soil expansion rates. We could install an array of sensors (piezometers, inclinometers, fiber optic strain gauges) in the dam and downstream area and link these to the predictive models for real-time stability and erosion risk assessment, creating an early warning system. Furthermore, we could organize workshops that bring together experts from geotechnical engineering, soil science, hydrology, and climate science and use the RUSLE application as a case study to foster more cross-disciplinary approaches in dam safety. Using the validated models to simulate extreme scenarios that might arise from climate change, such as prolonged droughts followed by intense monsoons could help in designing more resilient dam operational strategies. Given the dam’s critical role and potential risks, engaging with local communities to understand how soil expansion and erosion affect their livelihoods could guide the prioritization of intervention areas and build public trust in the dam’s management.

Recommendation for Mitigation Measures

The identified vulnerabilities in the Tiga Dam, particularly during drawdown scenarios and in areas with higher soil erodibility, necessitate a comprehensive suite of mitigation measures. To address the critical stability issues during drawdown (FOS of 1.006 for rapid drawdown and 1.002 for slow drawdown), the implementation of a carefully controlled drawdown rate is paramount. Based on our analysis, a maximum drawdown rate of 0.1 m/day is suggested to allow for better pore pressure dissipation, thereby reducing the risk of slope failure. Complementing this operational measure, installing additional horizontal drains in the dam’s downstream face is recommended to improve stability during drawdown conditions. These drains will help reduce pore water pressures and increase the effective stress in the soil, contributing to an enhanced overall factor of safety.
Targeted erosion control measures are essential for areas exhibiting higher K factors (samples 6, 8, 7, 10, and 5). These measures may include the establishment of deep-rooted vegetative cover to stabilize the soil surface, the installation of geotextiles such as erosion control blankets or mats in high-risk areas, and the strategic placement of rip-rap or gabion structures at the toe of slopes to prevent undercutting. A comprehensive monitoring program is crucial for the early detection of potential issues. This program should include installing piezometers to track pore water pressures, regular surveying to detect any early signs of deformation, and periodic soil sampling and testing to track changes in soil properties over time. Seepage control measures are imperative, given the high permeability observed in some samples (up to 1.49 × 10⁻7 m/s). These may include the installation of a cut-off wall or grout curtain to reduce seepage through the foundation and implementing a toe drain system to collect and discharge seepage water safely. In light of potential climate change impacts and the possibility of more extreme weather events, it is prudent to reassess the dam’s spillway capacity to ensure it can handle increased peak flows. Developing an emergency action plan that accounts for potential climate change impacts is also strongly advised.
Areas with lower factors of safety, particularly during drawdown conditions, may benefit from slope reinforcement techniques. These could include the installation of soil nails or ground anchors to increase slope stability and the construction of berms at the toe of the downstream slope to provide additional support. Lastly, developing detailed operational procedures for reservoir-level management, with particular attention to drawdown events, is crucial to minimize stability risks. It is important to note that implementing these measures should be prioritized based on a comprehensive risk assessment and available resources. Furthermore, regular reassessments of the dam’s condition and the effectiveness of these measures will be crucial for ensuring the long-term safety and stability of the Tiga Dam. This holistic approach, combining structural improvements, operational changes, and ongoing monitoring, is essential for enhancing the dam’s safety and resilience in the face of identified geotechnical challenges.

8. Conclusions

The study results led to the following conclusions:
  • The downstream soils of the Tiga Dam in Nigeria, primarily composed of low-plasticity clays with high silt content (mean > 50%), exhibit good compaction characteristics (75% have MDD > 1.80 Mg/m3) but varying permeability (66.67% k < 10⁻8 m/s) and shear strength (c: 1.4–17.9 kN/m2, φ: 4.6–24.7°), indicating a significant risk of internal erosion that could compromise the dam’s safety.
  • The Tiga Dam in Kano State, Nigeria, shows concerning stability issues, particularly during drawdown scenarios. During rapid drawdown, the Factor of Safety (FOS) is just 1.006, barely above the failure threshold of 1.0. Similarly, during the slow drawdown, the FOS is an alarmingly low 1.002. These values are significantly below the recommended FOS of 1.5 by the US Army Corps of Engineers for steady-state seepage conditions, indicating high vulnerability during any drawdown event.
  • The dam’s downstream soil exhibits varying levels of erodibility, with most samples falling into low to medium erodibility categories, with soil erodibility factor values ranging from 0.055 to 0.145, suggesting it is likely susceptible to erosion. This variability in soil erodibility across the downstream area highlights the need for targeted erosion control measures in high-risk zones.
  • The dam’s downstream soil shows significant seasonal expansion patterns, with the highest expansion rates consistently occurring during summer (June, July, and August)—the expansion rates range from near 4 to about 19.45 mm/month. Additionally, there is a gradual increase in peak expansion rates over the years, possibly indicating long-term changes in soil properties or environmental factors like climate change.

Author Contributions

Methodology, H.L. and A.A.; laboratory experiments, I.M.S. and J.I.H.; validation, I.H.U. and H.L.; formal analysis, I.M.S.; writing—original draft, J.I.H., I.M.S. and I.H.U.; writing—review and editing, I.H.U., A.A. and H.L. All authors have read and agreed to the published version of the manuscript.

Funding

This paper gets its funding from Projects (42277175) supported by the National Natural Science Foundation of China; Project (NRMSSHR-2022-Z08) supported by the Key Laboratory of Natural Resources Monitoring and Supervision in Southern Hilly Region, Ministry of Natural Resources; Project (2023JJ30657) supported by the Hunan Provincial Natural Science Foundation of China; the Guizhou Provincial Major Scientific and Technological Program (2023-425); and the Hunan Provincial Department of natural resources geological exploration project (BSDZSB43202403). The authors wish to acknowledge these supports.

Data Availability Statement

Some or all data, models, or codes that support the findings of this study are available from the corresponding author upon reasonable request.

Acknowledgments

The authors wish to acknowledge the support provided by the funding agencies mentioned in the Funding Statement.

Conflicts of Interest

On behalf of all authors, the corresponding author states that there are no conflicts of interest.

References

  1. Bashar, N.A.M.; Zainol, M.R.R.M.A.; Aziz, M.S.A.; Mazlan, A.Z.A.; Zawawi, M.H. Dam Safety: Highlighted Issues and Reliable Assessment for the Sustainable Dam Infrastructure. In Proceedings of the 2nd International Conference on Dam Safety Management and Engineering, Koala Lumpur, Malaysia, 16–17 March 2023; Mohd Sidek, L., Salih, G.H.A., Ahmed, A.N., Escuder-Bueno, I., Basri, H., Eds.; Springer Nature: Singapore, 2023; pp. 871–880. [Google Scholar]
  2. Sivasuriyan, A.; Vijayan, D.S.; Munusami, R.; Devarajan, P. Health assessment of dams under various environmental conditions using structural health monitoring techniques: A state-of-art review. Environ. Sci. Pollut. Res. 2022, 29, 86180–86191. [Google Scholar] [CrossRef] [PubMed]
  3. Tudunwada, I.Y.; Abbas, A. Flood vulnerability mapping and prediction for early warning in Jigawa State, Northern Nigeria, using geospatial techniques. Int. J. Disaster Risk Reduct. 2022, 79, 103156. [Google Scholar] [CrossRef]
  4. Xu, F.; Hu, H.; Lin, H.; Xie, L. Bedding Slope Destabilization under Rainfall: A Case Study of Zhuquedong Slope in Hunan Province, China. Appl. Sci. 2024, 14, 1394. [Google Scholar] [CrossRef]
  5. Pan, J.; Tang, Y.; Yuan, W.; Luo, J.; Chen, Y.; Lin, H. A method for automatically identifying the shape of locking sections in slopes. Environ. Earth Sci. 2024, 83, 243. [Google Scholar] [CrossRef]
  6. Clarkson, L.; Williams, D. An Overview of Conventional Tailings Dam Geotechnical Failure Mechanisms. Min. Metall. Explor. 2021, 38, 1305–1328. [Google Scholar] [CrossRef]
  7. Liao, H.-M.; Yang, X.-g.; Lu, G.-d.; Tao, J.; Zhou, J.-w. A geotechnical index for landslide dam stability assessment. Geomat. Nat. Hazards Risk 2022, 13, 854–876. [Google Scholar] [CrossRef]
  8. Franco, L.M.; La Terra, E.F.; Panetto, L.P.; Fontes, S.L. Integrated application of geophysical methods in Earth dam monitoring. Bull. Eng. Geol. Environ. 2024, 83, 62. [Google Scholar] [CrossRef]
  9. Yang, Y.; Zhang, M.; Zhu, L.; Liu, W.; Han, J.; Yang, Y. Influence of Large Reservoir Operation on Water-Levels and Flows in Reaches below Dam: Case Study of the Three Gorges Reservoir. Sci. Rep. 2017, 7, 15640. [Google Scholar] [CrossRef] [PubMed]
  10. Iliyas, S.; Idris, A.; Umar, I.H.; Lin, H.; Muhammad, A.; Xie, L. Experiment and Analysis of Variance for Stabilizing Fine-Grained Soils with Cement and Sawdust Ash as Liner Materials. Materials 2024, 17, 2397. [Google Scholar] [CrossRef]
  11. Umar, I.H.; Lin, H.; Hassan, J.I. Transforming Landslide Prediction: A Novel Approach Combining Numerical Methods and Advanced Correlation Analysis in Slope Stability Investigation. Appl. Sci. 2024, 14, 3685. [Google Scholar] [CrossRef]
  12. Umar, I.H.; Lin, H. Marble Powder as a Soil Stabilizer: An Experimental Investigation of the Geotechnical Properties and Unconfined Compressive Strength Analysis. Materials 2024, 17, 1208. [Google Scholar] [CrossRef] [PubMed]
  13. Umar, I.H.; Lin, H.; Ibrahim, A.S. Laboratory Testing and Analysis of Clay Soil Stabilization Using Waste Marble Powder. Appl. Sci. 2023, 13, 9274. [Google Scholar] [CrossRef]
  14. Umar, I.H.; Firat, M.E.O. Investigation of Unconfined Compressive Strength of Soils Stabilized with Waste Elazig Cherry Marble Powder at Different Water Contents. In Proceedings of the 14th International Conference on Engineering & Natural Sciences, Sivas, Turkey, 18–19 July 2022; pp. 703–711. [Google Scholar]
  15. Umar, I.H.; Orakoglu Firat, M.E. A Study on Uniaxial Compressive Strength and Ultrasonic Non-Destructive Analysis of Fine-Grained Soil in Seasonally Frozen Regions. Turk. J. Sci. Technol. 2022, 17, 267–277. [Google Scholar] [CrossRef]
  16. Haruna, I.U.; Kabir, M.; Yalo, S.G.; Muhammad, A.; Ibrahim, A.S. Quantitative Analysis of Solid Waste Generation from Tanneries in Kano State. J. Environ. Eng. Stud. 2022, 7, 23–30. [Google Scholar] [CrossRef]
  17. Umar, I.H.; Muhammad, A.; Ahmad, A.; Yusif, M.A.; Yusuf, A. Suitability of Geotechnical Properties of Bentonite -Bagasse Ash Mixtures Stabilized Lateritic Soil as Barrier in Engineered Waste Landfills. In Proceedings of the 7th International Student Symposium, Ondokuz Mayiz University, Samsun, Turkey, 1–3 October 2021. [Google Scholar]
  18. Umar, I.H.; Muhammad, A.; Yusuf, A.; Muhammad, K.I. Study on the Geotechnical Properties of Road Pavement Failures “(A Case Study of Portion of Malam Aminu Kano Way, Kano State from Tal-Udu Roundabout to Mambaya House Roundabout)”. J. Geotech. Stud. 2020, 5, 8–15. [Google Scholar] [CrossRef]
  19. Umar, I.; Muhammad, A.; Yusuf, A.; Khalid, I. Investigation on the Engineering Properties of Road Pavement Failures “(A Case Study of Portion of Malam Aminu Kano Way, Kano State from Tal-Udu Roundabout to Mambaya House Roundabout)”. J. Geotech. Stud. 2021, 5, 8–15. [Google Scholar] [CrossRef]
  20. Le, P.V.V.; Randerson, J.T.; Willett, R.; Wright, S.; Smyth, P.; Guilloteau, C.; Mamalakis, A.; Foufoula-Georgiou, E. Climate-driven changes in the predictability of seasonal precipitation. Nat. Commun. 2023, 14, 3822. [Google Scholar] [CrossRef]
  21. Vahdati, P. Identification of Soil Parameters in an Embankment Dam by Mathematical Optimization. Ph.D. Thesis, Department of Civil, Environmental and Natural Resources Engineering, Division of Mining and Geotechnical Engineering, Luleå University of Technology, Luleå, Sweden, 2014. [Google Scholar]
  22. Gordan, B.; Raja, M.A.; Armaghani, D.J.; Adnan, A. Review on Dynamic Behaviour of Earth Dam and Embankment During an Earthquake. Geotech. Geol. Eng. 2022, 40, 3–33. [Google Scholar] [CrossRef]
  23. Siacara, A.T.; Napa-García, G.F.; Beck, A.T.; Futai, M.M. Reliability analysis of earth dams using direct coupling. J. Rock Mech. Geotech. Eng. 2020, 12, 366–380. [Google Scholar] [CrossRef]
  24. Parish, Y.; Sadek, M.; Shahrour, I. Review Article: Numerical analysis of the seismic behaviour of earth dam. Nat. Hazards Earth Syst. Sci. 2009, 9, 451–458. [Google Scholar] [CrossRef]
  25. Adalier, K.; Sharp, M.K. Dynamic behavior of embankment dam on liquefiable foundation subject to moderate earthquake loading. In Proceedings of the 13th World Conference on Earthquake Engineering, Vancouver, BC, Canada, 1–6 August 2004. [Google Scholar]
  26. Tang, Y.; Xie, L.; Chen, Y.; Sun, S.; Zha, W.; Lin, H. Automatic recognition of slide mass and inversion analysis of landslide based on discrete element method. Comput. Geosci. 2023, 176, 105338. [Google Scholar] [CrossRef]
  27. Chen, Y.; Li, H.; Lin, H.; Wang, Y.; Zhao, Y.; Chen, Y. Critical slip line recognition and extraction method of slope based on modified k-medoid clustering algorithm. Comput. Geotech. 2023, 154, 105125. [Google Scholar] [CrossRef]
  28. Webb, N.P.; Strong, C.L. Soil erodibility dynamics and its representation for wind erosion and dust emission models. Aeolian Res. 2011, 3, 165–179. [Google Scholar] [CrossRef]
  29. Shen, C.; He, J.-Z.; Ge, Y. Seasonal dynamics of soil microbial diversity and functions along elevations across the treeline. Sci. Total Environ. 2021, 794, 148644. [Google Scholar] [CrossRef]
  30. Ganasri, B.P.; Ramesh, H. Assessment of soil erosion by RUSLE model using remote sensing and GIS—A case study of Nethravathi Basin. Geosci. Front. 2016, 7, 953–961. [Google Scholar] [CrossRef]
  31. Eyo, E.U.; Abbey, S.J.; Lawrence, T.T.; Tetteh, F.K. Improved prediction of clay soil expansion using machine learning algorithms and meta-heuristic dichotomous ensemble classifiers. Geosci. Front. 2022, 13, 101296. [Google Scholar] [CrossRef]
  32. Mohammed, A.; Muhammad, M.; Abdullahi, S.; Adeogun, B. Analysis of Hydropower Generation and Comparison of Water Allocation for Different Purposes from Tiga Dam, Kano. Bayero J. Eng. Technol. 2021, 15, 35–49. [Google Scholar]
  33. Nguyen-Le, D. Climatology of the global summer monsoon rainy seasons: Revisited from a high-resolution satellite climate data record. Atmos. Res. 2023, 289, 106749. [Google Scholar] [CrossRef]
  34. ASTM D854; Standard Test Methods for Specific Gravity of Soil Solids by the Water Displacement Method. ASTM: West Conshohocken, PA, USA, 2023.
  35. D4318-00; Standard Test Methods for Liquid Limit, Plastic Limit, and Plasticity Index of Soils. ASTM: West Conshohocken, PA, USA, 2018.
  36. ASTM D698-12; Standard Test Methods for Laboratory Compaction Characteristics of Soil Using Standard Effort. ASTM: West Conshohocken, PA, USA, 2021.
  37. ASTM D6913-04; Standard Test Methods for Particle-Size Distribution (Gradation) of Soils Using Sieve Analysis. ASTM: West Conshohocken, PA, USA, 2009.
  38. ASTM D3080/D3080M-23; Standard Test Method for Direct Shear Test of Soils Under Consolidated Drained Conditions. ASTM: West Conshohocken, PA, USA, 2023.
  39. ASTM D5084-16a; Standard Test Methods for Measurement of Hydraulic Conductivity of Saturated Porous Materials Using a Flexible Wall Permeameter. ASTM: West Conshohocken, PA, USA, 2016.
  40. Luvai, A.; Obiero, J.; Omuto, C. Soil Loss Assessment Using the Revised Universal Soil Loss Equation (RUSLE) Model. Appl. Environ. Soil Sci. 2022, 2022, 2122554. [Google Scholar] [CrossRef]
  41. Wischmeier, W.H.; Smith, D.D. Predicting Rainfall Erosion Losses: A Guide to Conservation Planning; US Government Printing Office: Washington, DC, USA, 1978.
  42. Renard, K.G.; Foster, G.R.; Weesies, G.A.; Mccool, D.K.; Yoder, D.C. Predicting Soil Erosion by Water: A Guide to Conservation Planning with the Revised Universal Soil Loss Equation (RUSLE); USDA: Washington, DC, USA, 1997.
  43. Skiera, B.; Reiner, J.; Albers, S. Regression Analysis. In Handbook of Market Research; Homburg, C., Klarmann, M., Vomberg, A., Eds.; Springer International Publishing: Cham, Switzerland, 2022; pp. 299–327. [Google Scholar]
  44. Das, B.M.; Sobhan, K.; Sobhan, K. Principles of Geotechnical Engineering; Cengage Learning: Boston, MA USA, 2018; p. 845. [Google Scholar]
  45. Refaiy, A.R.; AboulAtta, N.M.; Saad, N.Y.; El-Molla, D.A. Modeling the effect of downstream drain geometry on seepage through earth dams. Ain Shams Eng. J. 2021, 12, 2511–2531. [Google Scholar] [CrossRef]
  46. Ma, Z.; Ren, J.; Zhang, L.; Li, H.; Yang, S.; Nan, S. Monitoring heat transfer for seepage in earth-rock dams with clay cores considering damaged areas: Laboratory experiments and numerical modeling. Comput. Geotech. 2023, 164, 105833. [Google Scholar] [CrossRef]
  47. Mohr, H.; Draper, S.; White, D.J.; Cheng, L. The effect of permeability on the erosion threshold of fine-grained sediments. Coast. Eng. 2021, 163, 103813. [Google Scholar] [CrossRef]
  48. Nawaz, M.N.; Alshameri, B.; Maqsood, Z.; Hassan, W. Predictive modelling of cohesion and friction angle of soil using gene expression programming: A step towards smart and sustainable construction. Neural Comput. Appl. 2024, 36, 10545–10566. [Google Scholar] [CrossRef]
  49. U.S. Army Corps of Engineers. Slope Stability-Engineering and Design; USACE: Washington, DC, USA, 2003.
  50. ICOLD. Internal Erosion of Existing Dams, Levees and Dikes and Their Foundations; ICOLD: Chatou, France, 2013. [Google Scholar]
  51. Rao, B.; Burman, A.; Roy, L.B. An Efficient Box Search Method for Limit Equilibrium Method-Based 3D Slope Stability Analysis. Transp. Infrastruct. Geotechnol. 2024, 11, 327–358. [Google Scholar] [CrossRef]
  52. Sica, S.; Pagano, L.; Rotili, F. Rapid drawdown on earth dam stability after a strong earthquake. Comput. Geotech. 2019, 116, 103187. [Google Scholar] [CrossRef]
  53. Federal Energy Regulatory Commission (FERC). Opinion and Order on Initial Decision; FERC: Washington, DC, USA, 2006.
  54. Meng, F.; Pei, H.; Ye, M.; He, X. Stability analysis of reservoir slope under water-level drawdown considering stratigraphic uncertainty and spatial variability of soil property. Comput. Geotech. 2024, 169, 106199. [Google Scholar] [CrossRef]
  55. Li, D.; Li, L.; Cheng, Y.; Hu, J.; Lu, S.; Li, C.; Meng, K. Reservoir slope reliability analysis under water level drawdown considering spatial variability and degradation of soil properties. Comput. Geotech. 2022, 151, 104947. [Google Scholar] [CrossRef]
  56. Liu, P.; Li, Z.; Hoey, T.; Kincal, C.; Zhang, J.; Zeng, Q.; Muller, J.-P. Using advanced InSAR time series techniques to monitor landslide movements in Badong of the Three Gorges region, China. Int. J. Appl. Earth Obs. Geoinf. 2013, 21, 253–264. [Google Scholar] [CrossRef]
  57. Wang, L.; Wu, C.; Gu, X.; Liu, H.; Mei, G.; Zhang, W. Probabilistic stability analysis of earth dam slope under transient seepage using multivariate adaptive regression splines. Bull. Eng. Geol. Environ. 2020, 79, 2763–2775. [Google Scholar] [CrossRef]
  58. Gupta, S.; Borrelli, P.; Panagos, P.; Alewell, C. An advanced global soil erodibility (K) assessment including the effects of saturated hydraulic conductivity. Sci. Total Environ. 2024, 908, 168249. [Google Scholar] [CrossRef]
  59. Wang, S.; Pan, Y.; Wang, L.; Guo, F.; Chen, Y.; Sun, W. Deformation characteristics, mechanisms, and influencing factors of hydrodynamic pressure landslides in the Three Gorges Reservoir: A case study and model test study. Bull. Eng. Geol. Environ. 2021, 80, 3513–3533. [Google Scholar] [CrossRef]
  60. Wang, Z.; Oskay, C.; Fascetti, A. Backward erosion piping in geotechnical infrastructure: A rate process perspective. Géotechnique 2024, 1–42. [Google Scholar] [CrossRef]
  61. Bezuijen, A.; van Essen, H.; Vandenboer, K.; van Beek, V. Developments in modelling of backward erosion piping. Géotechnique 2015, 65, 740–754. [Google Scholar] [CrossRef]
  62. Wang, Z.; Oskay, C.; Fascetti, A. Three-dimensional numerical modeling of the temporal evolution of backward erosion piping. Comput. Geotech. 2024, 171, 106381. [Google Scholar] [CrossRef]
  63. Singh, V.; Qin, X. Study of rainfall variabilities in Southeast Asia using long-term gridded rainfall and its substantiation through global climate indices. J. Hydrol. 2020, 585, 124320. [Google Scholar] [CrossRef]
  64. Vaiglova, P.; Ávila, J.N.; Buckley, H.; Galipaud, J.C.; Green, D.R.; Halcrow, S.; James, H.F.; Kinaston, R.; Oxenham, M.; Paz, V.; et al. Past rainfall patterns in Southeast Asia revealed by microanalysis of δ18O values in human teeth. J. Archaeol. Sci. 2024, 162, 105922. [Google Scholar] [CrossRef]
  65. Loo, Y.Y.; Billa, L.; Singh, A. Effect of climate change on seasonal monsoon in Asia and its impact on the variability of monsoon rainfall in Southeast Asia. Geosci. Front. 2015, 6, 817–823. [Google Scholar] [CrossRef]
  66. Song, M.; Tang, Q.; Han, C.; Yuan, C.; Yang, Q.; Wei, J.; He, X.; Lv, X.; Collins, A.L. Divergent behaviour of soil nutrients imprinted by different land management practices in the Three Gorges Reservoir Area, China. Int. Soil Water Conserv. Res. 2024, in press. [Google Scholar] [CrossRef]
  67. Yang, Y.; Wang, Y.; Cong, N.; Wang, N.; Yao, W. Impacts of the Three Gorges Dam on riparian vegetation in the Yangtze River Basin under climate change. Sci. Total Environ. 2024, 912, 169415. [Google Scholar] [CrossRef]
  68. Bello, A.A.; Adegoke, C.W. Evaluation of Geotechnical Properties of Ilesha East Southwestern Nigeria’s Lateritic Soil. Pac. J. Sci. Technol. 2010, 11, 617–624. [Google Scholar]
Figure 1. Tiga dam in Nigeria.
Figure 1. Tiga dam in Nigeria.
Applsci 14 06422 g001
Figure 2. The map of Nigeria showing the Tiga dam.
Figure 2. The map of Nigeria showing the Tiga dam.
Applsci 14 06422 g002
Figure 3. (a) Demonstration of the jagged and uneven edges of the land due to the erosion process. (b) Depiction of a steep earthen cliff with a significant crack and mass soil fall due to erosion processes. (c) Shows clear signs of erosion, with a visible water channel filled with muddy water and vegetation.
Figure 3. (a) Demonstration of the jagged and uneven edges of the land due to the erosion process. (b) Depiction of a steep earthen cliff with a significant crack and mass soil fall due to erosion processes. (c) Shows clear signs of erosion, with a visible water channel filled with muddy water and vegetation.
Applsci 14 06422 g003aApplsci 14 06422 g003b
Figure 4. A flowchart that summarizes the methodology in this study.
Figure 4. A flowchart that summarizes the methodology in this study.
Applsci 14 06422 g004
Figure 5. Specific gravity on twelve soil samples from the downstream area of the Tiga Dam in Kano State, Nigeria.
Figure 5. Specific gravity on twelve soil samples from the downstream area of the Tiga Dam in Kano State, Nigeria.
Applsci 14 06422 g005
Figure 6. (a) Grain size analysis on 1–6 soil samples from the downstream area of the Tiga Dam in Kano State, Nigeria. (b) Grain size analysis on 7–12 soil samples from the downstream area of the Tiga Dam in Kano State, Nigeria.
Figure 6. (a) Grain size analysis on 1–6 soil samples from the downstream area of the Tiga Dam in Kano State, Nigeria. (b) Grain size analysis on 7–12 soil samples from the downstream area of the Tiga Dam in Kano State, Nigeria.
Applsci 14 06422 g006
Figure 7. The histograms show the distribution of particle sizes.
Figure 7. The histograms show the distribution of particle sizes.
Applsci 14 06422 g007aApplsci 14 06422 g007b
Figure 8. Atterberg limits on twelve soil samples from the downstream area of the Tiga Dam in Kano State, Nigeria.
Figure 8. Atterberg limits on twelve soil samples from the downstream area of the Tiga Dam in Kano State, Nigeria.
Applsci 14 06422 g008
Figure 9. (a) Compaction curve on 1–6 soil samples from the downstream area of the Tiga Dam in Kano State, Nigeria. (b) Compaction curve on 7–12 soil samples from the downstream area of the Tiga Dam in Kano State, Nigeria.
Figure 9. (a) Compaction curve on 1–6 soil samples from the downstream area of the Tiga Dam in Kano State, Nigeria. (b) Compaction curve on 7–12 soil samples from the downstream area of the Tiga Dam in Kano State, Nigeria.
Applsci 14 06422 g009
Figure 10. Permeability on twelve soil samples from the downstream area of the Tiga Dam in Kano State, Nigeria.
Figure 10. Permeability on twelve soil samples from the downstream area of the Tiga Dam in Kano State, Nigeria.
Applsci 14 06422 g010
Figure 11. Shear box test results on twelve soil samples from the downstream area of the Tiga Dam in Kano State, Nigeria.
Figure 11. Shear box test results on twelve soil samples from the downstream area of the Tiga Dam in Kano State, Nigeria.
Applsci 14 06422 g011aApplsci 14 06422 g011b
Figure 12. (a) High Reservoir of the Tiga Dam in Kano State, Nigeria. (b) Rapid Drawdown of the Tiga Dam in Kano State, Nigeria. (c) Slow Drawdown of the Tiga Dam in Kano State, Nigeria. (d) Low Level of the Tiga Dam in Kano State, Nigeria.
Figure 12. (a) High Reservoir of the Tiga Dam in Kano State, Nigeria. (b) Rapid Drawdown of the Tiga Dam in Kano State, Nigeria. (c) Slow Drawdown of the Tiga Dam in Kano State, Nigeria. (d) Low Level of the Tiga Dam in Kano State, Nigeria.
Applsci 14 06422 g012aApplsci 14 06422 g012bApplsci 14 06422 g012c
Figure 13. (a) Reduction factor versus total displacement at the crest of the dam. (b) Reduction factor versus total displacement at the toe of the dam.
Figure 13. (a) Reduction factor versus total displacement at the crest of the dam. (b) Reduction factor versus total displacement at the toe of the dam.
Applsci 14 06422 g013aApplsci 14 06422 g013b
Figure 14. The soil erodibility factor was determined by twelve soil samples from the downstream area of the Tiga Dam in Kano State, Nigeria.
Figure 14. The soil erodibility factor was determined by twelve soil samples from the downstream area of the Tiga Dam in Kano State, Nigeria.
Applsci 14 06422 g014
Figure 15. Rainfall event of Kano State, Nigeria, from 2010 to 2020.
Figure 15. Rainfall event of Kano State, Nigeria, from 2010 to 2020.
Applsci 14 06422 g015
Figure 16. Expansion rate results on twelve soil samples from the downstream area of the Tiga Dam in Kano State, Nigeria.
Figure 16. Expansion rate results on twelve soil samples from the downstream area of the Tiga Dam in Kano State, Nigeria.
Applsci 14 06422 g016
Table 1. Grain size analysis and soil classification from the downstream area of the Tiga Dam.
Table 1. Grain size analysis and soil classification from the downstream area of the Tiga Dam.
Sample No D60D30D10CuCcUCSC Class
10.17160.06740.012713.45822.0754CL-ML
20.14300.02680.006123.50490.8270CL
30.11570.01350.004327.03980.3659CL
40.58640.27900.032018.30294.1421SC
50.12850.06020.007118.12843.9752ML
60.05160.02430.00836.24781.3836CL
70.05620.01310.003914.58560.7921CL
80.05110.01420.00529.81450.7599CL
90.10870.01840.004922.22920.6344CL-ML
100.07500.01650.003819.89360.9655CL
110.07500.01340.003620.97590.6712CL
120.12800.03850.008016.09581.4560CL-ML
Table 2. Summary statistics of grain size distribution analysis.
Table 2. Summary statistics of grain size distribution analysis.
PropertyD60D30D10CuCc
count1212121212
mean0.1400.0480.00817.5231.504
std0.1450.0740.00795.8831.2779
min0.0510.0130.00356.2470.3659
25%0.0700.0140.004114.30370.7377
Table 3. Compaction test result of the soil samples in the study area.
Table 3. Compaction test result of the soil samples in the study area.
Sample No Maximum Dry Density (Mg/m3) Optimum Moisture Content (%)
11.8412.81
21.9214.52
31.9114.21
41.9910.27
51.8612.32
61.8814.28
71.7218.94
81.6518.51
91.8115.99
101.6718.26
111.9413.59
122.2113.73
Table 4. Summary of shear strength parameters of the soil samples.
Table 4. Summary of shear strength parameters of the soil samples.
Sample NoDry Unit Weight (kN/m3)Cohesion (kN/m2)Angle of Friction (°)
116.5417.97.4
214.829.34.6
314.7110.66.3
419.441.424.7
514.94.318.8
614.33714
713.056.710.2
814.849.411.9
914.568.315.6
1014.569.613.5
1116.5813.211.3
1214.568.914.6
Table 5. Material properties.
Table 5. Material properties.
ParametersSubsoilFillCore
ModelMohr–CoulombMohr–CoulombMohr–Coulomb
Drainage typeDrainedDrainedUndrained (B)
γunsat, γsat (kN/m3)16.58, 1914.84, 18.516.54, 18.44
Young’s modulus (kN/m2), Poisson’s ratio40 × 103, 0.3115 × 103, 0.341.4 × 103, 0.36
Cohesion (kN/m2), Undrained shear strength (kN/m2)1.5, -8.88, --, 6
Friction angle (°), Dilatancy angle (°)34, 412.7, 1.5-, -
Disclaimer/Publisher’s Note: The statements, opinions and data contained in all publications are solely those of the individual author(s) and contributor(s) and not of MDPI and/or the editor(s). MDPI and/or the editor(s) disclaim responsibility for any injury to people or property resulting from any ideas, methods, instructions or products referred to in the content.

Share and Cite

MDPI and ACS Style

Umar, I.H.; Abubakar, A.; Salisu, I.M.; Lin, H.; Hassan, J.I. Geotechnical Stability Analysis of the Tiga Dam, Nigeria on the Assessment of Downstream Soil Properties, Erosion Risk, and Seasonal Expansion. Appl. Sci. 2024, 14, 6422. https://doi.org/10.3390/app14156422

AMA Style

Umar IH, Abubakar A, Salisu IM, Lin H, Hassan JI. Geotechnical Stability Analysis of the Tiga Dam, Nigeria on the Assessment of Downstream Soil Properties, Erosion Risk, and Seasonal Expansion. Applied Sciences. 2024; 14(15):6422. https://doi.org/10.3390/app14156422

Chicago/Turabian Style

Umar, Ibrahim Haruna, Adamu Abubakar, Ibrahim Mu’azzam Salisu, Hang Lin, and Jubril Izge Hassan. 2024. "Geotechnical Stability Analysis of the Tiga Dam, Nigeria on the Assessment of Downstream Soil Properties, Erosion Risk, and Seasonal Expansion" Applied Sciences 14, no. 15: 6422. https://doi.org/10.3390/app14156422

APA Style

Umar, I. H., Abubakar, A., Salisu, I. M., Lin, H., & Hassan, J. I. (2024). Geotechnical Stability Analysis of the Tiga Dam, Nigeria on the Assessment of Downstream Soil Properties, Erosion Risk, and Seasonal Expansion. Applied Sciences, 14(15), 6422. https://doi.org/10.3390/app14156422

Note that from the first issue of 2016, this journal uses article numbers instead of page numbers. See further details here.

Article Metrics

Back to TopTop