Next Article in Journal
Factors Influencing the Effects of Triticale on Laying Hens’ Performance: A Meta-Analysis
Next Article in Special Issue
Theoretical and Numerical Simulation Research on Fire of Large-Span Spatial Structures
Previous Article in Journal
Modeling and Experimental Validation on Current Uniformity Characteristics of Parallel Spiral Structure Surge Arrester in ±550 kV DC GIS
Previous Article in Special Issue
The Impact of Inlet Structure on Stratification Performance in Thermal Storage Tanks: A Study through Simulation and Experimental Analysis
 
 
Font Type:
Arial Georgia Verdana
Font Size:
Aa Aa Aa
Line Spacing:
Column Width:
Background:
Article

Experimental Study on the Factors Affecting Pedestrian Exit Selection on the Basis of the Mixed Reality Evacuation LVC Simulation System

1
School of Emergency Management and Safety Engineering, China University of Mining and Technology-Beijing, Beijing 100083, China
2
School of Safety Science, Tsinghua University, Beijing 100084, China
*
Author to whom correspondence should be addressed.
Appl. Sci. 2024, 14(13), 5741; https://doi.org/10.3390/app14135741
Submission received: 28 April 2024 / Revised: 25 June 2024 / Accepted: 28 June 2024 / Published: 1 July 2024
(This article belongs to the Special Issue Advanced Methodology and Analysis in Fire Protection Science)

Abstract

Evacuation rules for pedestrians in emergencies are of great significance for the design of building exits, exit management, and evacuation facilities. Based on the mixed reality evacuation LVC simulation system we developed, in this paper, three kinds of pedestrian exit selection experiments were carried out, in which the influence of distance and exit selection on pedestrian exit selection was studied. In line with common sense, during the single-factor control tests, the participants preferred the exit with fewer people and at a closer distance. The two-factor combined effect of the above two factors was also studied. It can be found that the participants preferred to choose the least crowded exit with a closer distance for evacuation. Among these two factors, the participants would give priority to the number of people at the exit. In addition, participants show different trajectories for the difference in the number of people at the two exits. Their walking trajectory was close to an arc line in the case of an equal number of people at two exits. The results of this paper provide a theoretical basis for research on designing evacuation facilities and guiding evacuees, and allows us to explore a new approach for mixed reality evacuation research by conducting virtual crowd experiments in a real environment.

1. Introduction

1.1. Research Background

In the past few decades, the proportion of urbanization has been increasing in China. On the one hand, the process of urbanization has promoted the development of the regional economy and narrowed the economic gap between urban and rural areas; on the other hand, urbanization has also brought a series of problems. With the growth of the urbanization rate, more people have poured into cities, and the distribution of the urban population is highly concentrated, especially in big cities such as Beijing, Shanghai, and Shenzhen [1]. To alleviate the living problems caused by the rapid population growth, many high-rise residential buildings, large shopping malls, high-rise office buildings, subway stations, and other buildings have been built in cities, which have brought many benefits to lives.
However, concentration also brings security risks. These buildings are densely populated and have complicated escape routes. When a dangerous event suddenly occurs, people are prone to panic and even to making irrational behavioral decisions. For example, during the evacuation process, people may not evacuate following the correct evacuation method due to their unfamiliarity with the escape route, panic, and herd behavior, and become crowded at the door [2,3,4,5]. The unreasonable design of exits and evacuation facilities in the building leads to a decrease in the evacuation efficiency of personnel [6,7]. It is very important to study the evacuation of pedestrians in buildings. During the evacuation process, the evacuation of pedestrians is not timely, the design and management of exits in buildings are unreasonable, and there are no scientific evacuation guidance measures, which will cause casualties.

1.2. Literature Review

Many researchers have used a combination of dynamics and macroscopic and microscopic characteristics in evacuation situations to establish mathematical models for crowd evacuation within bounded areas [8], including models based on macroscopic flow and microscopic forces.
The flow-based model treats crowds as a continuous medium and uses equations like fluid mechanics to describe crowd movement and evacuation behavior through the relationship between density, velocity, and flow rate. For example, Shen et al. [9] and others used a coarse network to partition and describe building scenes and proposed a personnel evacuation model (ESM) based on flow theory. Lo et al. [10]. proposed a personnel evacuation model for high-rise buildings, which introduces characteristic length for each person to describe the heterogeneity of personnel density in different network nodes, i.e., different rooms, as well as the physiological and psychological differences of personnel regarding gender and age. The advantage of flow-based evacuation models lies in their low computational complexity and fast computation speed, which played an essential role in the past when computer technology was not fully developed. The disadvantage is that the processing method needs to be simplified, and accuracy is difficult to ensure. Kim et al. [11] simulated the evacuation scenario of two groups of interacting pedestrians based on the methods of the kinetic theory of active particles. They evaluated how the geometric shape of the domain and the details of fear propagation affect the evacuation dynamics.
Force-based models mainly include social force, cellular automata, and agent-based models. These models are represented by the Social Force Model (SFM) proposed by Helbing [2]. This type of model uses mechanical theory to describe people’s force and action intentions more accurately; for example, Helbing et al. used a social force model to simulate the walking direction at narrow passages [3] and the phenomenon of “fast is slow” in emergencies [2]; Agnelli et al. [12] used game theory tools to model interactions between humans and other pedestrians and the environment, including walls, exits, and obstacles, transforming them into crowd dynamics. This model allows pedestrians to balance between two competing behaviors: searching for areas with lower levels of congestion and unconsciously following the river in panic situations. Lakoba et al. [13] added factors such as the density of the surrounding population, memory of exit positions, and whether the pedestrian applying force is facing or facing the pedestrian being subjected to force to the social force model; Han et al. [14] added information transmission between pedestrians in emergencies to the social force model, simulating herd behavior during evacuation. However, its disadvantage is that it is challenging to explain individual differences. Although it can effectively reproduce the interactions between pedestrians and the environment, it still lacks some behavioral characteristics of pedestrians. It has a large number of parameters that need to be calibrated. The computational workload will increase significantly, especially when the number of people in the scene increases. Another idea is the rule-based model, in which the interaction rules and logic between the individual, the individual, and the environment are preset, and then the group evolves according to these established rules. The main rule model is the element cellular automata model [15,16,17]. Cellular automata effectively solve the discretization problem of evacuation models in time and space dimensions through space-time modeling. However, this model also has certain limitations: since the cellular automaton only sets the conversion rules of cellular states, it is difficult to describe microscopic behaviors from the perspective of personnel fully; at the same time, the set of cellular states is limited and cannot depict the complex behaviors of personnel. Parameters also make it difficult to reflect differences between individuals. These two models have been widely used in studying the exit choice behavior of evacuees in rooms.
During the evacuation process, the selection of exits is also crucial, and many researchers have conducted extensive research based on the above models. First, based on the social force model, an exit model was modified to evaluate several important factors influencing multiple exit scenarios [18,19,20,21,22,23,24]. Cai and Tu found that the number of luggage-laden pedestrians was the main factor for the increase in evacuation time, and the relationship between time and population density is not monotonic [18]. Chen et al. pointed out that evacuation efficiency sensitively depends on the arrangement of obstacles for multi-exits configurations [20]. Hou et al. simulated the number and positions of evacuation leaders on the evacuation dynamics in rooms with limited visibility range, and they found that each leader should head to a different exit, otherwise the evacuation efficiency was slower [21].
Second, using the cellular automata model, Zhao et al. not only revealed that the spatial distance to exits and the occupant density were two important factors influencing evacuated the decision-making of the personals [25], but they studied the evacuation time with different exit widths and suggested that the symmetrical layout of the exits should be applied. Additionally, Zhao et al. [26] studied the exit-choosing behavior conserving the reserve capacity in rooms with multiple exits; similar issues were also discussed from the influencing factors, such as destination, utilization of the exit area [27], and seat pitch in aircraft [28].
A series of these studies have characterized the decision-making behavior of the pedestrians, such as the evacuation flow rate [29,30], time, and route and exit selection under the influence of the occupant density [30,31,32], obstacle, evacuation distance, exit size, and visibility in the process of evacuation [33]. However, it is notable that most published computer simulations using the pedestrian dynamics model did not consider the connection between the real space of the control experiment and the simulated space of the computer simulation, bringing a great influence on the study of micro behavior among pedestrians. For example, in previous work by Liu et al., they pointed to that because people perform more stochastic behaviors in reality than in the model, only the overall tendency of the distribution of evacuation could be well reproduced [5]. Additionally, there were few studies on exit behavior-related to personnel trajectory characteristics.
In recent years, some researchers have applied mixed reality to pedestrian research and evacuation, which helped solve this problem. Mixed Reality is an emerging technology that integrates graphics processing, human-computer interaction, computer vision, and other technologies; Mixed Reality can realize the superposition of the virtual world and the real physical world, allowing users to see the objects in each world [34]. It combines virtual elements with the real world, allowing users to perceive the natural world while interacting with virtual objects. With head-mounted devices like Microsoft’s HoloLens, MR technology can superimpose virtual objects into the user’s field of view to interact with these virtual elements in the natural environment. In 2018, Cai et al. proposed a new eye tracking method in mixed reality applications, and conducted experiments to demonstrate the feasibility of this method [35]. In 2019, Yang et al. built a fire scene visualization and interaction system based on mixed reality technology [34]. In 2022, We developed a mixed reality evacuation simulation system, providing a new method for studying crowd behavior.
In this work, the mixed reality evacuation LVC simulation system was introduced into the experiments to build the connection between human behavior and the real environment. The pedestrian evacuation process is tested on three conditions, in which the decision-making behavior for exit and the corresponding path trajectory were obtained and analyzed [36].

2. Methods and Experiments

2.1. MR Environment Set-Up

The MR environment is set up by the mixed reality evacuation LVC simulation system we developed, which is based on the MR headset and evacuation simulation modeling tools. The methodology and operation of the system are described in detail in our earlier publication [34]. Participants can see the dynamic process of computer evacuation simulation in real space through the headset. The specific workflow and system prototype are as follows:
First, as shown in Figure 1a,b, using the SLAM component in HoloLens (Microsoft, Redmond, WA, USA), a coarse building information model consistent with the physical space is obtained by walking around and looking around the room while wearing the headset; Figure 1c shows what the experimenter sees from the first perspective—a virtual character scene.
Second, using the scan information, a building model of the same size as the experimental site is built using spatial markers in Anylogic (version 8.8.4). Then, pedestrian evacuation and exit selection logic modules were built using the module in the pedestrian library to establish a virtual human motion model to simulate the behavior selection and motion behavior of virtual humans in a dangerous scene.
Third, after completing the pedestrian simulation in Anylogic, the simulation model was exported as an independent program for secondary development into a server. Through this server, the position and status of the virtual human simulated by Anylogic could be sent to the HoloLens in real-time so that the observed situation of the experiment participants could be synchronized with the evacuation movement in the virtual scene. In other words, what the participant was watching was the virtual human evacuated in a preset manner.
Fourth, the mixed reality evacuation LVC simulation system realizes the spatial matching between the virtual space and the real space based on the built-in components of HoloLens and the Vuforia platform. During the experiments in this study, the calibration image was placed at the midpoint of the two exits as the connection point and coordinate origin between the virtual space and the real physical space. After completing the matching between the virtual space and the real space, the participant would have a virtual avatar in the virtual space whose spatial position was synchronized with the participant. The coordinates and corresponding time series information of both avatar and the virtual pedestrian in each frame would obtained and saved automatically.

2.2. Experiments

The experiments were conducted at Tsinghua University, and the participants in the experiment were all students of the university. There were 12 people invited to participate in the experiment, including 6 males and 6 females. All participants had normal or corrected-to-normal visual acuity.
The experimental scene was an open rectangular area of 6 m × 15 m. There were two exits, left and right, on one side of the space, which were recorded as exit A (left) and exit B (right). The width of the two exits was 0.84 m and the interval was 5.4 m. In the experiment, the distance between the participant and the two exits was varied by setting different initial positions. There were seven different initial positions in this study, corresponding to seven different distance scales, as shown in Figure 2. LA and LB in the figure represent the distance from the initial position to exit A and exit B, respectively. To study the influencing factors of pedestrians making exit decisions, three kinds of working cases were designed and carried out, focusing on the distance preference and exit number preference of pedestrians when making exit choices.
Case 1—There were six kinds of distance test conditions. The starting positions were marked in Figure 2, named with P1 to P6. The ratio of the distance from the starting point to the two gates, namely the value of LA/LB, is between 0.83 to 1.60. Additionally, to avoid the influence of the number of virtual pedestrians at the exit on the participant’s exit decision, the number of those at the two exits in this group of experiments was fixed at 5.
Case 2—The initial position of the pedestrian was fixed at the position P7, which was the same distance from the two exits. In the nine groups of experiments, the number of people at exit A increased sequentially from 1 to 9, while the number of people at exit B decreased from 9 to 1.
Case 3—To study the interaction influence of the two factors on pedestrian exit decision-making, the tests with varied exit distances and exit pedestrian numbers were designed. The ratio of LA/LB varied from 1.0 to 1.6. The total number of pedestrians at the two exits was 10, and the ratio of the number between exit A and exit B was 1:9, 1:4, 3:7, 2:3, and 1:1, respectively. As a result, 20 kinds (4 distance × 5 number) of tests were carried out.
Before the start of the experiments, the participants would be introduced to the background and purpose of the experiment. At the same time, participants would learn how to use the HoloLens according to the previously written guide and then perform visual calibration. The participants first needed to visually observe the AR identification code, then operate the software to fix the virtual coordinates, ensuring that the coordinates of the virtual space and the display space were coincident. In addition, a demonstration experiment was conducted to make sure the experiment participants were familiarized with the experimental scene and the virtual human in case disturbing emotions affected the experimental results.
In the formal experiment, the researcher would utilize experimental assistant software to facilitate the administration of tests. The tests would be randomly assigned to participants until all experimental procedures are completed. Participants would receive clear instructions to promptly evacuate the room upon hearing the simulated fire alarm. Specifically, the experiment would feature two indistinguishable exits positioned in front of the participants, and ten virtual human avatars would also partake in the evacuation process.

3. Results

3.1. Data Preprocessing

Due to the principle of confidentiality, the names of the relevant personnel are not displayed in the paper but are represented by experimental numbers 1~12. Since this work is mainly conducted to analyze the influence of various factors on the participant in the simulated fire evacuation situation, only the plane coordinates of the participant with the time series are needed. Figure 3 displays the trajectory of 12 subjects during evacuation in a certain group of experiments. As we can see, it is not only the plane position of the participant in the evacuation space that can be known in real-time, but the participants’ movement trajectory can also be obtained.
It can be seen from the partially enlarged view in Figure 3 that the starting points of several evacuation paths have shifted. This is because during some experiments the 3D coordinates of the spatial positioning will be offset since the HoloLens gradually heats up with the operation, and the sensing ability of the spatial self-positioning becomes weaker. However, it is to be noted that the offset of the self-positioning only causes the position of the origin to move on the space plane, but the relative position of the evacuation path is still correct. As shown in Figure 3b, to eliminate the positioning error caused by the deviation of the self-positioning of the HoloLens, all the path data are processed relatively: the coordinate value of the initial point is subtracted from the coordinate point at each moment to obtain a relative path to the series. In addition, the black line is the average of the trajectories of the 12 subjects, representing the universality of the movement behavior of evacuees.

3.2. The Effect of Evacuation Distance on Exit Selection

Table 1 represents a general description of the experimenter’s exit selection in distance single-factor experiments. It can be seen from the table that when the distance to exit B is closer, the experimenter is more inclined to choose exit B, and the exit selection score is less than 0.5; as the distance gap between the experimenter and the two exits decreases, the experimenter chooses exit B. The number of experimenters who exited also gradually increased. When the distance between the experimenter and the two exits was equal, it was a turning point. The number of people who chose exit A and exit B was equal, and the score was 0.5. When the distance to exit A is closer, the experimenter is more inclined to choose to exit A.
Figure 4 shows the number of choices and trajectories of the participants on exit. Since the initial position is symmetrically distributed, only the right-side departure is shown in the figure. To facilitate statistics and data processing, during the evacuation process, the choice of exit A (left side) is recorded as “1” and the choice of exit B (right side) is recorded as “0”. The line width represents the number of people who select the track. The exit choice behavior of pedestrians in the figure can be explained by the self-driving and repulsive forces in the social force model: as participants are closer to exit B, self-driving forces make them more inclined to choose exit B. As the distance between participants and the two exits decreases, the number of participants choosing the two exits gradually approaches zero. The turning point is when the exit distance is equal, and the same number of people decide to exit A and B. When outlet A is closer, the self-driving force makes participants more inclined to select outlet A; this indicates that the exit decisions of participants are significantly influenced by the distance between the participants and the exit, and pedestrians prefer to choose exits closer for evacuation. Analysis of variance shows that evacuation distance (F (6,77) = 5.81, p < 0.01) significantly affects exit selection.
On the other hand, most participants who chose the closer exit moved to the middle of the two doors for a certain distance and then chose an exit to evacuate according to the situation at this time. In addition, the moving distance decreases as the distance difference between the initial position of the two exits increases. Participants who chose the furthest exit ran to their chosen exit more decisively. This is mainly because in the experiment, the congested virtual pedestrians at the closest exit are approximately in front of the participant, and the virtual pedestrians overlap each other, which makes it difficult to judge the actual situation. This creates the illusion that there are more pedestrians here. For the case with a farther distance, the viewing angle is larger, and the visual effect of the number of virtual pedestrians at the farther exit is closer to the actual situation. As a result, it can be concluded that the angle between the exits of the participant will have a certain impact on the evacuation behavior of the participant.

3.3. The Effect of Evacuation Numbers on Exit Selection

Table 2 represents a general description of the experimenter’s exit selection in the single-factor experiment with the number of exits. It can be seen from the table that when the number of virtual pedestrians evacuating to the left exit is small, pedestrians are more inclined to choose the left exit, and the average scores are greater than 0.8; as the number of virtual pedestrians evacuating to the left exit increases, the number of virtual pedestrians evacuating to the right exit decreases. The proportion of people choosing Exit B also increases accordingly; when the number of people at the two exits is equal, it is a turning point, and at this time most experimenters choose Exit B. When there were fewer people in exit B, all experimenters chose exit B. Figure 5 displays the number of participants who choose the exit. The abscissa is the ratio of the number of virtual people evacuated to Exit A and Exit B, and the ordinate is the exit choice of the experimental participants. When the number of virtual pedestrians evacuating to the left exit is small, pedestrians are more inclined to choose the left exit; as the number of virtual pedestrians at the left exit increases, the number of people at the right exit decreases, and the proportion of participants choosing exit B also increases accordingly. Equality is a turning point.
This indicates that the participant’s exit decision is affected by the number of pedestrians at the exit and that pedestrians prefer to choose exits with fewer people to evacuate. In the social force model, repulsion describes the interaction forces between pedestrians, who tend to avoid crowded areas to reduce the risk of collision with other pedestrians. This is consistent with our experimental results, which suggest that pedestrians tend to choose exits with fewer people for evacuation, thereby reducing the likelihood of collisions and crowding. This can be verified by the results of the evacuation number (F(8,99) = 50.722, p < 0.01). It is worth noting that owing to the initial starting point being located at the midpoint directly below those exits, there is no obvious difference in the personnel trajectory under different working conditions.

3.4. The Coupling Effect of Evacuated Number and Distance on Exit Selection

Figure 6 shows the heat map of exit choices of pedestrians under different experimental conditions in the two-factor experiment. The abscissa is the ratio of the number of people at exit A and exit B, and the ordinate is the ratio of the distance between the initial position of the participants and exit A and exit B. During the evacuation process, the participants tended to choose exits with fewer exits and closer distances. Under the condition of the same number of exits, the participant is more inclined to choose the exit with a closer distance. In cases with the same distance ratio, the participant is more inclined to choose the exit with a smaller number of virtual exits. This is consistent with the previous results obtained in the single-factor experiments.
To further examine the influence of distance and exit number on pedestrian exit decisions in the evacuation process and the interaction between those factors, a two-way analysis of variance was carried out in this paper. It can be found that the main effect of the number (F = 23.20, p < 0.01) and the distance (F = 3.422, p < 0.01) on the exit choice of pedestrians are significant. The interaction effect was not significant (F = 0.978, p = 0.471 > 0.05), which is consistent with the conclusions obtained in the previous single-factor experiments. Among these two factors, the exit number factor has a greater impact on the exit choice, and the participant will give priority to the number of virtual pedestrians at the exit compared to the distance.
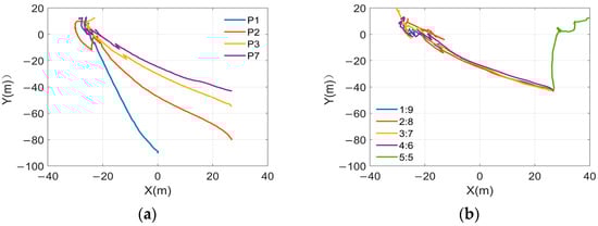
Figure 7 can better confirm and explain the above phenomenon. The line width represents the number of people who select the track. It is to be noted that Figure 7a displays the trajectory of the participants for comparison, where the virtual numbers of exits A and B are 1 and 9, respectively. Due to the large difference in the number of people at the two exits, the distance ratio does not affect the probability of personnel selection. At the same time, the trajectory shows that the choice of participants is relatively decisive, and they all directly arrive at the left exit from the starting point, which is different from the single factor experiment of distance influence when the number of people is equal (Figure 4). In comparison to the number of people evacuated (Figure 7b), the probability of choosing the left exit decreases as the population increases at this exit. In addition, the trajectories of the personnel have a high degree of overlap, indicating that the difference in the number of people does not affect the personnel path selection.

4. Discussion

This paper builds an experimental platform based on the mixed reality evacuation LVC simulation system and conducts experimental research on various factors that affect pedestrian evacuation decision-making and path trajectory during the evacuation process.
The evacuation distance and numbers of people had a significant impact on the exit choice of the participant, and the participant was more inclined to choose the exit with a closer distance or a smaller number of people. It also can be concluded that the angle between the exits and the participant would have a certain impact on the evacuation behavior of the participant.
In the two-factor coupling influence experiment, it was found that the number of exits had a greater impact on the exit choice of the experimenter, and the participant would give priority to the number of exiting virtual pedestrians compared with the distance. At the same time, the large difference in the number of people made the decision of pedestrians more decisive, and the walking track of evacuees was close to a straight line.
Although the LVC simulation system provides an experience that combines virtual and natural environments, it still cannot restore the emotions and pressure of pedestrians in the real environment, as well as the complexity of conditions such as noise and light. The control of experimental variables and the representativeness of the experimenters are also tricky. It has certain limitations. Future research should improve the complexity and authenticity of the simulation environment, expand the diversity of participants, comprehensively analyze multiple influencing factors, and further improve the effectiveness and applicability of the evacuation plan.

Author Contributions

Conceptualization, Z.T. and Y.L.; methodology, Y.L.; software, Z.T. and Y.L.; validation, X.H. and Y.W.; formal analysis, Y.L.; investigation, M.C.; resources, Y.L.; data curation, Y.L.; writing—original draft preparation, Z.T., Y.L. and X.H.; writing—review and editing, Y.L.; visualization, Y.L.; supervision, R.Y.; project administration, Z.T. and Y.L.; funding acquisition, Z.T. All authors have read and agreed to the published version of the manuscript.

Funding

This research was funded by the National Natural Science Foundation of China (Grant No. 52304273), the Opening Fund of Key Laboratory of Civil Aviation Emergency Science & Technology (CAAC) (NJ2022022), and the Fundamental Research Funds for the Central Universities (2023ZKPYAQ07).

Institutional Review Board Statement

This study is not applicable to human or animal research.

Informed Consent Statement

We have obtained informed consent forms from all participants in this study.

Data Availability Statement

The raw data supporting the conclusions of this article will be made available by the authors on request.

Conflicts of Interest

The authors declare no conflicts of interest.

References

  1. National Bureau of Statistics of China. 2021. Available online: http://www.stats.gov.cn/sj/ndsj/2021/indexch.htm (accessed on 27 June 2024).
  2. Helbing, D.; Farkas, I.; Vicsek, T. Simulating dynamical features of escape panic. Nature 2000, 407, 487–490. [Google Scholar] [CrossRef] [PubMed]
  3. Helbing, D.; Molnar, P. Self-organization phenomena in pedestrian crowds. arXiv 1998, arXiv:cond-mat/9806152. [Google Scholar]
  4. Farkas, I.; Helbing, D.; Vicsek, T. Mexican waves in an excitable medium. Nature 2002, 419, 131–132. [Google Scholar] [CrossRef] [PubMed]
  5. Liu, S.; Yang, L.; Fang, T.; Li, J. Evacuation from a classroom considering the occupant density around exits. Phys. A Stat. Mech. Its Appl. 2009, 388, 1921–1928. [Google Scholar] [CrossRef]
  6. Gu, Z.; Liu, Z.; Shiwakoti, N.; Yang, M. Video-based analysis of school students’ emergency evacuation behavior in earthquakes. Int. J. Disaster Risk Reduct. 2016, 18, 1–11. [Google Scholar] [CrossRef]
  7. Zhang, Q.; Liu, M.; Liu, J.; Zhao, G. Modification of evacuation time computational model for stadium crowd risk analysis. Process Saf. Environ. Prot. 2007, 85, 541–548. [Google Scholar] [CrossRef]
  8. Liao, J.; Zhou, L. A kinetic modeling of crowd evacuation with several groups in complex venues. Math. Models Methods Appl. Sci. 2022, 32, 1785–1805. [Google Scholar] [CrossRef]
  9. Shen, T.-S. ESM: A building evacuation simulation model. Build. Environ. 2005, 40, 671–680. [Google Scholar] [CrossRef]
  10. Lo, S.M.; Fang, Z.; Chen, D. Use of a modified network model for analyzing evacuation patterns in high-rise buildings. J. Archit. Eng. 2001, 7, 21–29. [Google Scholar] [CrossRef]
  11. Kim, D.; O’Connell, K.; Ott, W.; Quaini, A. A kinetic theory approach for 2D crowd dynamics with emotional contagion. Math. Models Methods Appl. Sci. 2021, 31, 1137–1162. [Google Scholar] [CrossRef]
  12. Agnelli, J.P.; Colasuonno, F.; Knopoff, D. A kinetic theory approach to the dynamics of crowd evacuation from bounded domains. Math. Models Methods Appl. Sci. 2015, 25, 109–129. [Google Scholar] [CrossRef]
  13. Lakoba, T.I.; Kaup, D.J. Modifications of the Helbing-Molnar-Farkas-Vicsek social force model for pedestrian evolution. Simulation 2005, 81, 339–352. [Google Scholar] [CrossRef]
  14. Han, Y.; Liu, H. Modified social force model based on information transmission toward crowd evacuation simulation. Phys. A Stat. Mech. Its Appl. 2017, 469, 499–509. [Google Scholar] [CrossRef]
  15. Blue, V.J.; Adler, J.L. Cellular automata microsimulation of bidirectional pedestrian flows. Transp. Res. Rec. 1999, 1678, 135–141. [Google Scholar] [CrossRef]
  16. Fukui, M.; Ishibashi, Y. Self-organized phase transitions in cellular automaton models for pedestrians. J. Phys. Soc. Jpn. 1999, 68, 2861–2863. [Google Scholar] [CrossRef]
  17. Klüpfel, H.; Meyer-König, T.; Wahle, J.; Schreckenberg, M. (Eds.) Microscopic simulation of evacuation processes on passenger ships. In Theory and Practical Issues on Cellular Automata: Proceedings of the Fourth International Conference on Cellular Automata for Research and Industry, Karlsruhe, Germany, 4–6 October 2000; Springer: London, UK, 2001. [Google Scholar]
  18. Cai, Z.; Zhou, R.; Cui, Y.; Wang, Y.; Jiang, J. Influencing factors for exit selection in subway station evacuation. Tunn. Undergr. Space Technol. 2022, 125, 104498. [Google Scholar] [CrossRef]
  19. Zhou, R.; Cui, Y.; Wang, Y.; Jiang, J. A modified social force model with different categories of pedestrians for subway station evacuation. Tunn. Undergr. Space Technol. 2021, 110, 103837. [Google Scholar] [CrossRef]
  20. Chen, L.; Zheng, Q.; Li, K.; Li, Q.-R.; Zhang, J.-L. Emergency evacuation from multi-exits rooms in the presence of obstacles. Phys. Scr. 2021, 96, 115208. [Google Scholar] [CrossRef]
  21. Hou, L.; Liu, J.-G.; Pan, X.; Wang, B.-H. A social force evacuation model with the leadership effect. Phys. A Stat. Mech. Its Appl. 2014, 400, 93–99. [Google Scholar] [CrossRef]
  22. Wang, L.; Zheng, J.-H.; Zhang, X.-S.; Zhang, J.-L.; Wang, Q.-Z.; Zhang, Q. Pedestrians’ behavior in emergency evacuation: Modeling and simulation. Chin. Phys. B 2016, 25, 118901. [Google Scholar] [CrossRef]
  23. Song, W.-G.; Yu, Y.-F.; Wang, B.-H.; Fan, W.-C. Evacuation behaviors at exit in CA model with force essentials: A comparison with social force model. Phys. A Stat. Mech. Its Appl. 2006, 371, 658–666. [Google Scholar] [CrossRef]
  24. Guo, N.; Jiang, R.; Hu, M.-B.; Ding, J.-X. Constant evacuation time gap: Experimental study and modeling. Chin. Phys. B 2017, 26, 120506. [Google Scholar] [CrossRef]
  25. Zhao, D.; Li, J.; Zhu, Y.; Zou, L. The application of a two-dimensional cellular automata random model to the performance-based design of building exit. Build. Environ. 2008, 43, 518–522. [Google Scholar] [CrossRef]
  26. Zhao, H.; Gao, Z. Reserve capacity and exit choosing in pedestrian evacuation dynamics. J. Phys. A Math. Theor. 2010, 43, 105001. [Google Scholar] [CrossRef]
  27. Qin, D.-H.; Duan, Y.-F.; Cheng, D.; Su, M.-Z.; Shao, Y.-B. An extended cellular automata model with modified floor field for evacuation. Chin. Phys. B 2020, 29, 098901. [Google Scholar] [CrossRef]
  28. Zhang, Y.; Yang, Z.; Sun, Z. A dynamic estimation method for aircraft emergency evacuation based on cellular automata. Adv. Mech. Eng. 2019, 11, 1687814019825702. [Google Scholar] [CrossRef]
  29. Ma, Y.-P.; Zhang, H. Simulation study on cooperation behaviors and crowd dynamics in pedestrian evacuation. Chin. Phys. B 2020, 29, 038901. [Google Scholar] [CrossRef]
  30. Niu, Y.; Chen, Y.; Yuan, B.; Xiao, J. Dynamic evolution model of pedestrian cooperation behavior based on coordination game. Expert Syst. Appl. 2021, 167, 114173. [Google Scholar] [CrossRef]
  31. Hassanpour, S.; Rassafi, A.A. Agent-based simulation for pedestrian evacuation behaviour using the affordance concept. KSCE J. Civ. Eng. 2021, 25, 1433–1445. [Google Scholar] [CrossRef]
  32. Zou, B.; Lu, C.; Mao, S.; Li, Y. Effect of pedestrian judgement on evacuation efficiency considering hesitation. Phys. A Stat. Mech. Its Appl. 2020, 547, 122943. [Google Scholar] [CrossRef]
  33. Chen, L.; Tang, T.-Q.; Huang, H.-J.; Wu, J.-J.; Song, Z. Modeling pedestrian flow accounting for collision avoidance during evacuation. Simul. Model. Pract. Theory 2018, 82, 1–11. [Google Scholar] [CrossRef]
  34. Rokhsaritalemi, S.; Sadeghi-Niaraki, A.; Choi, S.-M. A review on mixed reality: Current trends, challenges and prospects. Appl. Sci. 2020, 10, 636. [Google Scholar] [CrossRef]
  35. Cai, L., Yang, R., Tao, Z., Eds.; A new method of evaluating signage system using mixed reality and eye tracking. In Proceedings of the 4th ACM SIGSPATIAL International Workshop on Safety and Resilience, Seattle, WA, USA, 6 November 2018. [Google Scholar]
  36. Chen, M.; Yang, R.; Tao, Z.; Zhang, P. Mixed reality LVC simulation: A new approach to study pedestrian behaviour. Build. Environ. 2022, 207, 108404. [Google Scholar] [CrossRef]
Figure 1. Buildings and models of the experimental sites, they should be listed as: (a) Real scene; (b) 3−D Model; (c) Virtual pedestrians.
Figure 1. Buildings and models of the experimental sites, they should be listed as: (a) Real scene; (b) 3−D Model; (c) Virtual pedestrians.
Applsci 14 05741 g001
Figure 2. Experimenter’s initial positioning map.
Figure 2. Experimenter’s initial positioning map.
Applsci 14 05741 g002
Figure 3. Experimental data processing process, they should be listed as: (a) Original evacuation trajectory; (b) Evacuation trajectory after calibration.
Figure 3. Experimental data processing process, they should be listed as: (a) Original evacuation trajectory; (b) Evacuation trajectory after calibration.
Applsci 14 05741 g003
Figure 4. Choices number and trajectory of the participants under different distance ratios, they should be listed as: (a) The pedestrian selecting the exit A; (b) The pedestrian selecting the left B.
Figure 4. Choices number and trajectory of the participants under different distance ratios, they should be listed as: (a) The pedestrian selecting the exit A; (b) The pedestrian selecting the left B.
Applsci 14 05741 g004
Figure 5. Exit choices and trajectory of the participants under different distance ratios.
Figure 5. Exit choices and trajectory of the participants under different distance ratios.
Applsci 14 05741 g005
Figure 6. The selection probability heat map of exit A.
Figure 6. The selection probability heat map of exit A.
Applsci 14 05741 g006
Figure 7. Comparison of exit choices and trajectory of the participants for different starting positions and virtual pedestrian ratio, they should be listed as: (a) pedestrian ratio 1:9; (b) distance ratio 1:1.6.
Figure 7. Comparison of exit choices and trajectory of the participants for different starting positions and virtual pedestrian ratio, they should be listed as: (a) pedestrian ratio 1:9; (b) distance ratio 1:1.6.
Applsci 14 05741 g007
Table 1. General description of the experimenter’s exit selection in distance single-factor experiments.
Table 1. General description of the experimenter’s exit selection in distance single-factor experiments.
LA:LBAverage ValueStandard Deviation
1.6:1.00.250.452
1.4:1.00.250.452
1.2:1.00.330.492
1.0:1.00.500.522
1.0:1.60.920.289
1.0:1.40.920.289
1.0:1.20.750.452
Total0.560.499
Table 2. General description of the experimenter’s exit selection in the single-factor experiments with the number of exits.
Table 2. General description of the experimenter’s exit selection in the single-factor experiments with the number of exits.
Number of People at Exit A: Number of People at Exit BAverage ValueStandard Deviation
1:91.000.000
2:81.000.000
3:70.920.289
4:60.830.389
5:50.330.492
6:40.000.000
7:30.000.000
8:20.000.000
9:10.000.000
Total0.450.500
Disclaimer/Publisher’s Note: The statements, opinions and data contained in all publications are solely those of the individual author(s) and contributor(s) and not of MDPI and/or the editor(s). MDPI and/or the editor(s) disclaim responsibility for any injury to people or property resulting from any ideas, methods, instructions or products referred to in the content.

Share and Cite

MDPI and ACS Style

Tao, Z.; Li, Y.; Huang, X.; Wang, Y.; Chen, M.; Yang, R. Experimental Study on the Factors Affecting Pedestrian Exit Selection on the Basis of the Mixed Reality Evacuation LVC Simulation System. Appl. Sci. 2024, 14, 5741. https://doi.org/10.3390/app14135741

AMA Style

Tao Z, Li Y, Huang X, Wang Y, Chen M, Yang R. Experimental Study on the Factors Affecting Pedestrian Exit Selection on the Basis of the Mixed Reality Evacuation LVC Simulation System. Applied Sciences. 2024; 14(13):5741. https://doi.org/10.3390/app14135741

Chicago/Turabian Style

Tao, Zhenxiang, Ying Li, Xubo Huang, Yisen Wang, Minze Chen, and Rui Yang. 2024. "Experimental Study on the Factors Affecting Pedestrian Exit Selection on the Basis of the Mixed Reality Evacuation LVC Simulation System" Applied Sciences 14, no. 13: 5741. https://doi.org/10.3390/app14135741

APA Style

Tao, Z., Li, Y., Huang, X., Wang, Y., Chen, M., & Yang, R. (2024). Experimental Study on the Factors Affecting Pedestrian Exit Selection on the Basis of the Mixed Reality Evacuation LVC Simulation System. Applied Sciences, 14(13), 5741. https://doi.org/10.3390/app14135741

Note that from the first issue of 2016, this journal uses article numbers instead of page numbers. See further details here.

Article Metrics

Back to TopTop