Modeling and Experimental Validation on Current Uniformity Characteristics of Parallel Spiral Structure Surge Arrester in ±550 kV DC GIS
Abstract
Featured Application
Abstract
1. Introduction
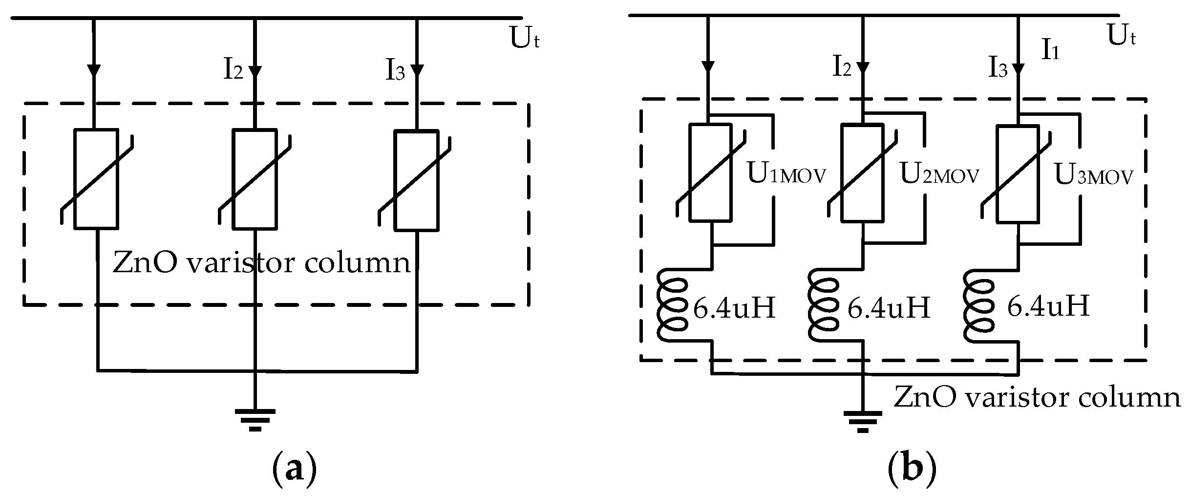
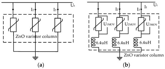
2. Electrothermal Model of Spiral Structure GISA
2.1. Parameters of ±550 kV DC GISA
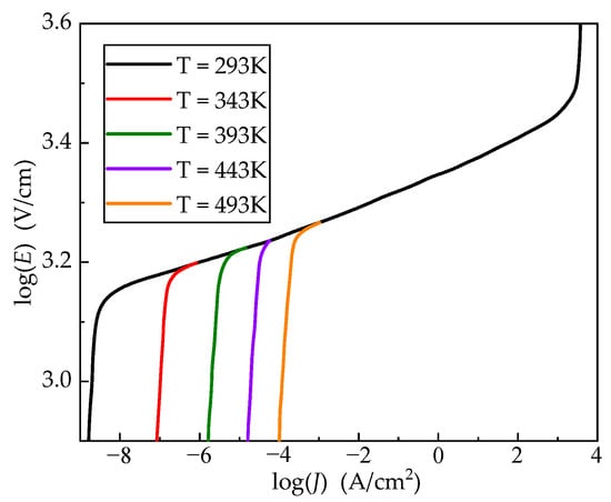
2.2. Electric Field Equation
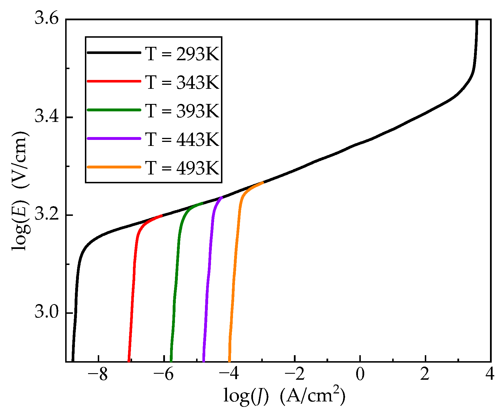
2.3. Temperature and Flow Field Equation
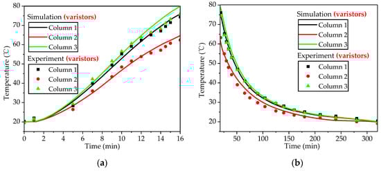
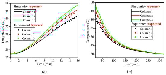
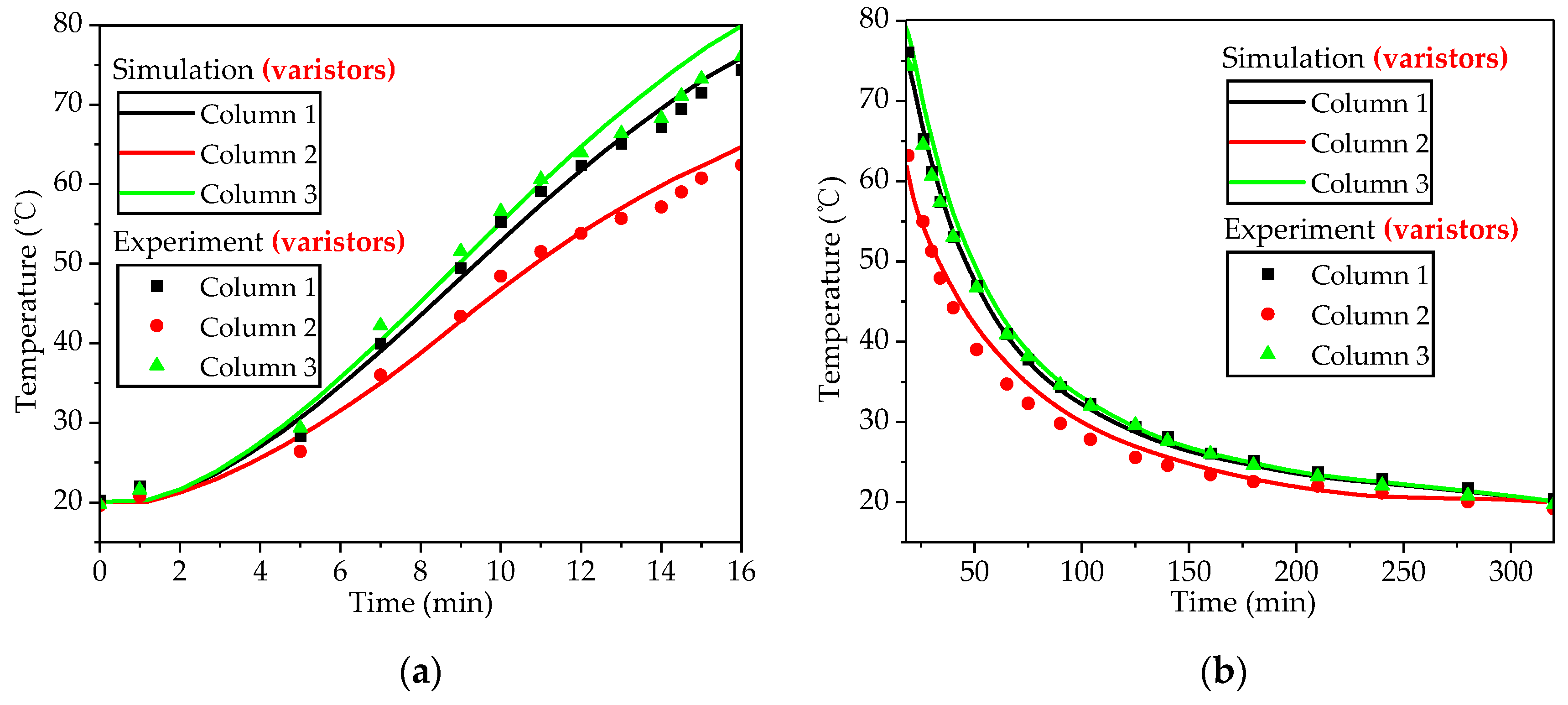
3. Simulation Results and Experimental Validation
3.1. Simulation Parameters
3.2. Experiment Setup
- The current distribution factor β of the three-column parallel core is measured under the single-column 1000–3000 A amplitude lightning impulse current, and it should be ensured that β is not greater than 1.10;
- The effect of current magnitude on the homogenization characteristics is determined. The current distribution non-uniformity coefficients under 8/20 us lightning strikes in the range of 1000–3000 A currents in a single-column core are measured separately.
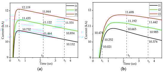
3.3. Simulation Results and Experimental Verification
3.4. Simulation Results of ±550 kV DC GISA
4. Verification of Self-generated Inductor Current Uniformity
5. Conclusions
- The spiral structure of the ±550 kV DC GISA core reduces the length of the core by 56.25%. In the simulation results of the ±550 kV DC GISA, the maximum electric field strength is 4.85 kV/cm. The self-generated inductor of the ±550 kV DC GISA spiral structure is calculated to be 6.4 μH. The temperature difference of the ZnO varistors under the same condition is 7 °C.
- In the experimental results of the ±66 kV DC GISA miniature model, in the range of 154–3140 A per column, the current distribution coefficient β of the ±66 kV DC GISA prototype is between 1.01 and 1.04. With the increase in current, the inter-column current coefficient β decreases gradually. The current of columns 1, 2, and 3 increases sequentially, and the energy absorbed increases.
- The current uniformity effect of the 6.4 μH inductor is validated. The results show that compared with the linear structure arrester (which has no inductor), the self-generated inductor of the spiral structure reduces the uneven coefficient of current distribution from 1.06 to 1.02. The current deviation coefficients are reduced by 28–65%. This current uniformity scheme automatically plays a role in the use of the arrester, which relies on the self-generated structure of the arrester for current uniformity. It provides a new direction for improving the current uniformity of multi-column parallel arresters.
Author Contributions
Funding
Institutional Review Board Statement
Informed Consent Statement
Data Availability Statement
Conflicts of Interest
References
- Wu, H.; Yu, J.; Liu, J.; Mei, R.; Ji, X.; Wang, H. Voltage control of offshore wind farm considering reactive ability of electrochemical energy storage. In Proceedings of the 2022 IEEE Sustainable Power and Energy Conference (ISPEC), Perth, Australia, 4–7 December 2022. [Google Scholar]
- Li, L.; Yang, C.; Xu, H.; Yan, Q.; Zhou, S.; Yang, H. Coordinated Voltage Control for Offshore Wind Farm Equipped with SVG and Energy Storage. In Proceedings of the 2022 12th International Conference on Power and Energy Systems, ICPES, Guangzhou, China, 23–25 December 2022; pp. 800–804. [Google Scholar]
- Li, Y.; Zhang, B.; Li, X.; Li, K.; Ji, K.; Nan, Z.; Yao, X. Optimization of insulators in ±550 kV HVDC GIS for offshore wind platform considering charge accumulation. Electr. Power Syst. Res. 2023, 223, 109549. [Google Scholar] [CrossRef]
- Kosse, M.; Juhre, K.; Kuschel, M.; Dejun, L. Overview of development, design, testing and application of compact gas-insulated DC systems up to 550 kV. Glob. Energy Interconnect. 2019, 2, 567–577. [Google Scholar] [CrossRef]
- Guo, L.; Du, Y.; Yang, Z.; Xiong, X.; Wang, Q.; Jia, F. Non-communication Dynamic Low-Frequency Wind Power System and Its Generator Types. In Proceedings of the 4th International Conference on Advanced Electrical and Energy Systems (AEES), Shanghai, China, 1–3 December 2023; Volume 2023, pp. 287–292. [Google Scholar] [CrossRef]
- Meinecke, H. High voltage gas insulated switchgear: An overview. In Proceedings of the IEE Colloquium on GIS (Gas-Insulated Switchgear) at Transmission and Distribution Voltages, Nottingham, UK, 14 November 1995; pp. 3/1–3/8. [Google Scholar]
- Tian, X.; Xu, L.; Sun, H.; Dong, H. Temperature field Simulation of 27.5 kV Environment-friendly Gas Insulated Switchgear based on ANSYS. In Proceedings of the 3rd International Academic Exchange Conference on Science and Technology Innovation (IAECST), Guangzhou, China, 10–12 December 2021; Volume 2021, pp. 184–187. [Google Scholar]
- Zhong, J.; Zhang, B.; Guo, Y.; Wang, Z.; Yao, Y.; Zhang, H.; Liu, Y. Gas and solid insulation in HVDC gas insulated switchgear. In Proceedings of the IEEE Conference on Energy Internet and Energy System Integration (EI2), Beijing, China, 26–28 November 2017; Volume 2017, pp. 1–5. [Google Scholar]
- Sun, Q.Q.; Yang, L.; Zheng, Z.; Han, J.H.; Wang, Y.Z.; Yao, L. A comprehensive lightning surge analysis in offshore wind farm. Electr. Power Syst. Res. 2022, 211, 108259. [Google Scholar] [CrossRef]
- Abouelatta, M.A.; Ward, S.A.; Sayed, A.M.; Mahmoud, K.; Lehtonen, M.; Darwish, M.M.F. Fast corona discharge assessment using FDM integrated with full multigrid method in HVDC transmission lines considering wind impact. IEEE Access 2020, 8, 225872–225883. [Google Scholar] [CrossRef]
- Gouda, O.E.; Darwish, M.M.F.; Mahmoud, K.; Lehtonen, M.; Elkhodragy, T.M. Pollution severity monitoring of high voltage transmission line insulators using wireless device based on leakage current bursts. IEEE Access 2022, 10, 53713–53723. [Google Scholar] [CrossRef]
- Riechert, U.; Straumann, U.; Gremaud, R. Compact gas-insulated systems for high voltage direct current transmission: Design and testing. In Proceedings of the IEEE/PES Transmission. and Distribution Conference and Exposition, Dallas, TX, USA, 3–5 May 2016; pp. 1–5. [Google Scholar]
- Li, S.T.; He, J.Q.; Lin, J.J.; Wang, H.; Liu, W.F.; Liao, Y.L. Electrical-Thermal Failure of Metal-Oxide Arrester by Successive Impulses. IEEE Trans. Power Deliv. 2016, 6, 2538–2545. [Google Scholar] [CrossRef]
- Zhang, C.; Yi, X.; Li, C.; Xu, Y.; Xing, H. Study on the Influence of Thermal Effect of Multi-Pulse Lightning Current on the Aging Characteristics of ZnO Varistor. In Proceedings of the IEEE 15th International Conference on Electronic Measurement & Instruments (ICEMI), Nanjing, China, 29–31 October 2021; Volume 2021, pp. 206–211. [Google Scholar]
- Metwally, I.A.; Gastli, A.; Ahmed, M.M.; Al-Badi, A. Surge arrester performance under AC artificial pollution and impulse conditions: A comparative investigation. Electr. Power Compon. Syst. 2006, 34, 1243–1251. [Google Scholar] [CrossRef]
- Meng, P.; Cao, W.; Chen, C.; Wan, S.; Xu, H.; Hu, J.; He, J. Excellent electrical properties of zinc-oxide varistors by tailoring sintering process for optimizing line-arrester configuration. In Proceedings of the 2020 IEEE International Conference on High Voltage Engineering and Application (ICHVE), Beijing, China, 6–10 September 2020; pp. 1–4. [Google Scholar]
- Tarfulea, N.; Frigura-Iliasa, F.M.; Vatau, D.; Frigura-Iliasa, M.; Andea, P.; Balcu, F.I. Research and Developpment of a new Material for Metal Oxide Varistors. In Proceedings of the 2018 IEEE International Conference on Environment and Electrical Engineering and 2018 IEEE Industrial and Commercial Power Systems Europe (EEEIC/I&CPS Europe), Palermo, Italy, 12–15 June 2018; pp. 1–4. [Google Scholar]
- Bartkowiak, M.; Mahan, G.D.; Modine, F.A.; Alim, M.A.; Lauf, R.; McMillan, A. Voronoi network model of ZnO varistors with different types of grain boundaries. J. Appl. Phys. 1996, 80, 6516–6522. [Google Scholar] [CrossRef]
- Hu, S. Research on Pole Bus Metal Oxide Surge Arrester for 800 kV UHVDC Converter Station. High Volt. Appar. 2016, 52, 34–40+45. [Google Scholar] [CrossRef]
- Liu, Z. Research on the method of ZnO varistor combination of multi-column parallel arrester group based on energy absorption equilibrium. Insul. Surge Arresters 2022, 1, 62–68. [Google Scholar]
- Haddad, A.; Waters, R.T.; German, D.M.; Abdul-Malek, Z. Current disparity in multi-column surge arresters. IEE Proc.-Gener. Transm. Distrib. 2005, 152, 945–951. [Google Scholar] [CrossRef]
- Lu, W.; Wen, W.; Liu, W.; Zhuang, D.; Wen, Q. Current uniformity characteristics of multi-column parallel arresters under long persistent overvoltage. High Volt. Appar. 2019, 45, 3280–3289. [Google Scholar]
- Tuczek, M.N.; Broeker, M.; Hinrichsen, V.; Goehler, R. Effects of Continuous Operating Voltage Stress and AC Energy Injection on Current Sharing Among Parallel-Connected Metal-Oxide Resistor Columns in Arrester Banks. IEEE Trans. Power Deliv. 2015, 30, 1331–1337. [Google Scholar] [CrossRef]
- Kosse, M.; Tuczek, M.; Klein, C.; Claus, M. Experiences with on-site dielectric testing during commissioning tests of world’s first offshore HVDC GIS 320 kV. In Proceedings of the VDE High Voltage Technology: 4. ETG-Symposium, Berlin, Germany, 8–10 November 2022; pp. 1–6. [Google Scholar]
- Jiang, S.; Ding, G. State Monitoring of Mechanical and Electrical Equipment for Offshore Platform Based on PHM. In Proceedings of the 2nd International Seminar on Artificial Intelligence, Networking and Information Technology (AINIT), Shanghai, China, 15–17 October 2021; Volume 2021, pp. 695–698. [Google Scholar]
- Imato, S.; Baba, Y.; Nagaoka, N.; Itamoto, N. FDTD Analysis of the Electric Field of a Substation Arrester Under a Lightning Overvoltage. IEEE Trans. Electromagn. Compat. 2016, 58, 615–618. [Google Scholar] [CrossRef]
- Spaeck-Leigsnering, Y.; Ruppert, M.G.; Gjonaj, E.; De Gersem, H.; Hinrichsen, V. Simulation Analysis of Critical Parameters for Thermal Stability of Surge Arresters. IEEE Trans. Power Deliv. 2022, 37, 871–879. [Google Scholar] [CrossRef]
- Spaeck-Leigsnering, Y.; Gjonaj, E.; De Gersem, H.; Weiland, T.; Giessel, M.; Hinrichsen, V. Electroquasistatic-Thermal Modeling and Simulation of Station Class Surge Arresters. IEEE Trans. Magn. 2016, 52, 2319–2325. [Google Scholar] [CrossRef]
- Liu, S.; Popov, M.; Belda, N.A.; Smeets, R.P.P.; Liu, Z. Thermal FEM Analysis of Surge Arresters During HVdc Current Interruption Validated by Experiments. IEEE Trans. Power Deliv. 2022, 37, 1412–1422. [Google Scholar] [CrossRef]
- He, J.L.; Zeng, R.; Chen, S.M.; Tu, Y.P. Thermal characteristics of high voltage whole-solid-insulated polymeric ZnO surge arrester. IEEE Trans. Power Deliv. 2003, 18, 1221–1227. [Google Scholar] [CrossRef]
- Cheng, J.; Jiang, Z.; Zou, H.; Deng, G. Research and Test of 10 kV ZnO Thermal Stability Based on Finite Element Analysis. In Proceedings of the China International Conference on Electricity Distribution (CICED), Shanghai, China, 7–9 April 2021; Volume 2021, pp. 662–667. [Google Scholar]
- IEC 60099-4; Surge Arresters—Part 4: Metal-Oxide Surge Arresters Without Gaps for a.c. Systems. International Electrotechnical Commission: Geneva, Switzerland, 2014.
- Illias, H.A.; Abd Halim, S.; Abu Bakar, A.H.; Mokhlis, H. Determination of surge arrester discharge energy using finite element analysis method. IET Sci. Meas. Technol. 2015, 9, 693–701. [Google Scholar] [CrossRef]
- Denz, F.; Gjonaj, E.; Weiland, T.; Tuczek, M.; Hinrichsen, V. Electric and thermal reaction of zinc oxide to current impulses. In Proceedings of the 2010 30th International Conference on Lightning Protection (ICLP) 2010, Cagliari, Italy, 13–17 September 2010; 5p. [Google Scholar]
- Xie, P.; Jiang, Z.; Huang, K.; Hu, J. Experimental Study on Current Distribution Characteristics of Multi-column Parallel Zinc Oxide Resistors. In Proceedings of the China International Conference on Electricity Distribution (CICED), Changsha, China, 7–8 September 2022; Volume 2022, pp. 160–163. [Google Scholar]

















| Parameters | Unit | Value | |
|---|---|---|---|
| Surge arrester | DC reference voltage | kV | 640 |
| Continuous operation voltage | kV | 541 | |
| Rated absorbed energy | MJ | 1 | |
| ZnO varistor | DC reference voltage | kV | 5 |
| Continuous operation voltage | kV | 4 | |
| Rated absorbed energy | kJ | 38 | |
| Diameter | mm | 100 | |
| Thickness | mm | 22 | |
| Position | Material |
|---|---|
| ZnO varistor | ZnO |
| Conductor rod | Aluminum |
| Spacer | Aluminum |
| Tank | Aluminum |
| Insulating Board | Epoxy Resin |
| Insulating Rod | Epoxy Resin |
| Mass density ρ (kg/m3) | |
| Zinc oxide | 5672.5 − 1.4 × 10−3T − 1.4 × 10−4T2 − 7.6 × 10−8T3 |
| Aluminum | 2736.9 − 2.8 × 10−2T − 1.0 × 10−3T 2 − 71.7 × 10−5T3 |
| Epoxy Resin | 1673.0 |
| Heat capacity Cp (J/(kg·K)) | |
| Zinc oxide | 41.6 + 3T − 6.8 × 10−3T2 + 7.3 × 10−6T3 |
| Aluminum | 596.7 + 1.5T − 2.1 × 10−3T2 + 1.3 × 10−6T3 |
| Epoxy Resin | 550.0 |
| Thermal conductivity k (W/(m·K)) | |
| Zinc oxide | 255.5 − 1.7T + 6.5 × 10−3 T2 − 1.4 × 10−5T3 |
| Aluminum | 39.6 + 1.7T − 5.4 × 10−3T2 + 8.4 × 10−6T3 |
| Epoxy Resin | −0.03 + 0.002 × T |
| Capacitor Charging Voltage/kV | Voltage Amplitude of the Surge Arrester/kV | Current Amplitude/A | The Coefficient of the Current Distribution β | ||
|---|---|---|---|---|---|
| 1 | 2 | 3 | |||
| 90 | 82 | 154 | 162 | 168 | 1.041 |
| 120 | 87 | 314 | 320 | 334 | 1.035 |
| 135 | 91 | 488 | 500 | 516 | 1.029 |
| 150 | 95 | 680 | 698 | 718 | 1.028 |
| 165 | 98 | 868 | 872 | 904 | 1.026 |
| 180 | 102 | 1040 | 1060 | 1090 | 1.025 |
| 195 | 105 | 1220 | 1240 | 1270 | 1.021 |
| 210 | 110 | 1420 | 1440 | 1480 | 1.023 |
| 225 | 112 | 1610 | 1660 | 1690 | 1.022 |
| 255 | 119 | 1980 | 2040 | 2080 | 1.023 |
| 285 | 125 | 2360 | 2440 | 2480 | 1.022 |
| 315 | 128 | 2540 | 2560 | 2620 | 1.018 |
| 360 | 130 | 2900 | 2920 | 3000 | 1.020 |
| 375 | 131 | 3040 | 3100 | 3140 | 1.015 |
Disclaimer/Publisher’s Note: The statements, opinions and data contained in all publications are solely those of the individual author(s) and contributor(s) and not of MDPI and/or the editor(s). MDPI and/or the editor(s) disclaim responsibility for any injury to people or property resulting from any ideas, methods, instructions or products referred to in the content. |
© 2024 by the authors. Licensee MDPI, Basel, Switzerland. This article is an open access article distributed under the terms and conditions of the Creative Commons Attribution (CC BY) license (https://creativecommons.org/licenses/by/4.0/).
Share and Cite
Liu, S.; Wang, L.; Liu, S.; Liu, Z.; Geng, Y. Modeling and Experimental Validation on Current Uniformity Characteristics of Parallel Spiral Structure Surge Arrester in ±550 kV DC GIS. Appl. Sci. 2024, 14, 5744. https://doi.org/10.3390/app14135744
Liu S, Wang L, Liu S, Liu Z, Geng Y. Modeling and Experimental Validation on Current Uniformity Characteristics of Parallel Spiral Structure Surge Arrester in ±550 kV DC GIS. Applied Sciences. 2024; 14(13):5744. https://doi.org/10.3390/app14135744
Chicago/Turabian StyleLiu, Siyuan, Liudan Wang, Shiyu Liu, Zhiyuan Liu, and Yingsan Geng. 2024. "Modeling and Experimental Validation on Current Uniformity Characteristics of Parallel Spiral Structure Surge Arrester in ±550 kV DC GIS" Applied Sciences 14, no. 13: 5744. https://doi.org/10.3390/app14135744
APA StyleLiu, S., Wang, L., Liu, S., Liu, Z., & Geng, Y. (2024). Modeling and Experimental Validation on Current Uniformity Characteristics of Parallel Spiral Structure Surge Arrester in ±550 kV DC GIS. Applied Sciences, 14(13), 5744. https://doi.org/10.3390/app14135744

