Next Article in Journal
Synergistic Impact of ARSB, TP53, and Maspin Gene Expressions on Survival Outcomes in Colorectal Cancer: A Comprehensive Clinicopathological Analysis
Previous Article in Journal
Deep Learning in Rockburst Intensity Level Prediction: Performance Evaluation and Comparison of the NGO-CNN-BiGRU-Attention Model
 
 
Due to scheduled maintenance work on our servers, there may be short service disruptions on this website between 11:00 and 12:00 CEST on March 28th.
Font Type:
Arial Georgia Verdana
Font Size:
Aa Aa Aa
Line Spacing:
Column Width:
Background:
Article

Analysis of the Impact of Forces in Hanger Rods on Power Boiler Operation

Institute of Thermal and Process Engineering, Cracow University of Technology, Al. Jana Pawła II 37, 31-864 Krakow, Poland
*
Author to whom correspondence should be addressed.
Appl. Sci. 2024, 14(13), 5720; https://doi.org/10.3390/app14135720
Submission received: 20 May 2024 / Revised: 26 June 2024 / Accepted: 27 June 2024 / Published: 30 June 2024

Abstract

Hanger rods intended for boiler suspensions on a metal structure require a special design approach that considers the total weight of the boiler structure that is to be carried. Unfortunately, a large reserve in the rods’ carrying capacity does not always guarantee the failure-free operation of a boiler. For this reason, it is very important to monitor the forces acting in the rods. Any negligence in this matter might cause a local excess of stresses in the boiler pressure part and result in periodic shutdowns of the boiler. Therefore, in order not to let this happen, adequate computational methods have to be developed. To date, the methods described in the literature and in design requirements have concentrated, first of all, on analyses of the boiler individual subassemblies or on small boiler units supported from the bottom at just a few points. The aim of this paper was to conduct a numerical analysis for a real high-capacity power boiler. The computations were performed based on experimentally measured forces in the hanger rods, and the results were verified by comparing the areas of stress concentration against the area where the boiler structure was regularly damaged.

1. Introduction

Devices operating at high temperatures and pressures are designed according to specific standards, and they do not include all the cases of loads to which they are exposed [1]. Boiler pressure parts such as membrane walls [2], collectors, chambers, and pipelines, as well as non-pressure components like suspension brackets and hanger rods, are subject to periodic damage. These components are subject to restrictive regulations, which are implemented as regulations or directives [3]. A boiler, the structure of which is very complex, is often designed using simplified boundary conditions, and the focus is thus only on selected elements [1,4].
The boiler pressure parts were mainly subjected to strength calculations, which resulted from the action of high pressure and temperature. Unfortunately, it was forgotten that the real stresses in such elements are an effect of the action of all loads, such as the tensile forces from the boiler weight or the bending moments that result from the eccentricity of the boiler mounting, etc. [5,6].
For a suspended boiler, the loads resulting from its weight are carried by hanger rods. Hanger rods are used to suspend the furnace chamber, circulating fluidized-bed separators and the boiler’s other components. Failure to carry the boiler weight in a uniform manner can result in unwanted stresses in the boiler pressure parts, overloads, and changes in geometry due to uncontrolled thermal displacements of the boiler elements, which may finally lead to damage to the boiler pressure part or to the rods [7]. Therefore, such that the loads should be carried uniformly, it is necessary to monitor the force in the rods at the assembly stage and regulate the forces acting in hanger rods systematically, along with a control of the boiler geometry at selected points. The problem of monitoring the forces in the rods and the correct method and approach to numerical analysis is particularly noticeable in systems where there are no compensators for the non-uniform tension of forces in the rods. Such compensators can be disc springs mounted under nuts or spring suspensions. Of course, these compensating elements also are damaged in cases of a non-uniform load, which consequently leads to the failure of hanger rods and the boiler pressure parts, as well as of the compensating elements themselves.
In the age of an extremely high demand for energy, the most important thing is not only the failure-free operation of conventional boilers in terms of their suspension, but also fast diagnostics of the damage and the ability to carry out a lasting and effective repair. In order to perform such diagnostics, appropriate tools, as well as computational methods, are necessary. The current methods described in the literature [8,9,10] and in the design requirements [1,3,4] focus mainly on the analysis of individual boiler subassemblies, such as superheater banks [11] or small boiler units that are supported from the bottom with a small number of support points [5,6,12]; however, the aim of this paper is to analyse large boiler units with a hanging structure that have many suspension points in a steel structure. The described case of boiler damage concerns a global analysis of the entire boiler, which is achieved by taking into account the complex geometry in contrast to individual subassemblies [11], i.e., where the modelling of boundary conditions and geometry does not result in many problems. The example of the boiler analysis conducted using the presented methods was also aimed at presenting the tools, as well as the simplifications that make it possible to assess the impact of a non-uniform distribution of forces in the rods on the boiler global structure. The approach presented in this paper seems to be the most appropriate when considering the available technology for measuring and regulating forces in rods, which is often burdened with measurement inaccuracies of up to 6% [13]. This is the result of performing measurements, dictated by the costs of shutting down boilers which do not produce energy at the time, under very challenging conditions within a limited timeframe. The implementation of the presented method increases the safety and durability of power units by providing better access to information about actual force values in the rods supporting the unit structure. In this way, such analysis enables the diagnostics of the causes of damage in the boiler and creates an opportunity to prevent future failures related to a non-uniform distribution of forces in the rods.

2. Materials and Methods

The numerical analysis of a unit as large as a power boiler requires the model to include all the elements that interact with each other. This approach is mainly imposed by the fact that the boiler elements, such as the furnace chamber or separators, are connected to each other by shrouds that stiffen the membrane walls to protect them from the effect of pressure from combustion gases. Membrane walls, being orthotropic elements, are characterized by good stiffness and tensile strength, but they demonstrate much worse bending strength, especially when the pressure of combustion gases acts on them in a direction perpendicular to the wall. The boiler assemblies, such as the furnace chamber and the separators, work together, and this co-operation also affects the tension of the forces in the hanger rods.
Building detailed numerical models for boilers is not economical, and it takes a great deal of time and processor power. Therefore, it is justified to build models that replace the real models of membrane walls using equivalent elements with a less complex structure, such as a flat plate, but with the same stiffness (Figure 1). The figure below shows the studied boiler’s typical repetitive fragment, which is where high stresses can occur. For such a solution, the model constructed from tubes and fins (Item 1 and 2 in the figure—made of 3D elements such as SOLID 186) can be replaced with a flat plate model (3), which considers the equivalent stiffness of a model made of 3D elements. A model with equivalent stiffness (3) can be made of 2D elements like SHELL 181. Figure 1 shows a fragment of the boiler wall with 13 tubes only, which resulted in 196,325 nodes, while the wall made as a flat plate contained only 27,749 nodes. Considering that boilers are constructed using thousands of such tubes and fins, one can see the time and computer memory savings that can be achieved with the presented model. For the presented simplified model, the computation time is more than five times shorter.
Such a model is referred to as an equivalent orthotropic model, and it has so far been used in smaller units with support from the bottom [5,6], i.e., at different boundary conditions compared to boilers suspended by means of hanger rods.
In cases of bending the membrane walls in a direction perpendicular to the y-axis (as in Figure 2), the infinite stiffness of the tubes is often assumed [8,9]. In most cases, this approach is correct. However, bearing in mind that the diameter of the tubes and their pitch may vary depending on the boiler size, it seems justified to take account the stiffness of the entire system in the equations of the equivalent orthotropic plate (tubes and fins), which was taken into consideration in the boiler numerical model under analysis.
The use of an equivalent orthotropic plate in the MES analyses was possible thanks to the use of SHELL elements. For this purpose, the ANSYS Workbench R2, 2023 commercial package [14] was used. The element that met the conditions of the thin-walled orthotropic plate was SHELL181. It is an element with four nodes and six degrees of freedom in each node. SHELL181 takes into account the linear cross-shear effect. The transverse stiffness matrix for the equivalent orthotropic plate can be presented as follows [14]:
[ E ] = [ E 11 0 0 E 22 ] .
For an isotropic material it can be written that E11 = k∙G∙h is expressed in [N/mm], where k is the correction factor, G is the shear modulus [MPa], and h is the thickness of the analysed coating [mm]. Considering the orthotropic nature of the plate, a modification was introduced (using the basic laws of homogenization) to determine the matrix components (1). In order to homogenize component E11 (for two phases: the tubes and the fins), the classic law of averaging—the Voigt rule—was applied, where the correction factor is replaced by the volumetric content of the phases without taking into account the impact of their arrangement [15]:
E 11 _ r = A r · G · e ,
E 11 _ t = A t · G · t ,
E 11 = E 11 _ r + E 11 _ t A r + A t ,
where E11_r is the matrix component for the tube [N·m2/mm], E11_t is the matrix component for the fin [N·m2/mm], Ar is the tube cross-section area [m2], At is the fin cross-section area [m2], t is the fin thickness [mm], and e is the tube thickness [mm].
In the case of E22 [N/mm], fin stiffness was adopted because the fin is an element that is more vulnerable than the tube:
E 22 = G · t .

3. Boundary Conditions for the Boiler Model under Analysis

The model of the analysed boiler is shown in Figure 3. It is a biomass-fired 447 MWth CFB (circulating fluidized bed) boiler operating in a Polish power plant.
The proposed boiler is made of a furnace chamber (1), which is permanently connected to a return leg (3). The separator (2) is separated from the furnace chamber by bellow expansion joints (4). The cross-over duct (5) is connected to the separator by welding. All these elements are suspended on hanger rods (6). A diagram of the arrangement of the rods and their numbering is presented in Figure 4. The rod numbering was adopted according to the design documentation.
Although operating independently in the horizontal direction, the separators and the furnace chamber interact with each other when carrying vertical loads because they are connected by means of horizontal reinforcements, such as buckstays. The boiler walls were modelled using an equivalent orthotropic model. The shrouds were modelled as simplified elements using the remote point function with the selection of the degrees of freedom as displacements in horizontal directions. The hanger rods were modelled as 1D elements. The other elements were modelled according to the real model. A model built in this way provides good grounds for presenting boiler behaviour that assumes that the forces measured in the hanger rods are on site, which is called global analysis. The rods are made of 13CrMo4-5 steel. Their material properties [16] are listed in Table 1.
The weight of the boiler was measured by a system of pumps and actuators during the boiler downtime. A schematic diagram of the applied measurement system is shown in Figure 5. The system makes it possible to lift the rod (1) using hydraulic cylinders (6) through the flange system (4) and a special nut (5). Lifting the rod (1) in Step 1 makes it possible to loosen the rod nut (3), thereby enabling it to be tightened or loosened to achieve the required tension in the rod (in Step 2). The force measurement itself is conducted by lifting the rod until the operator detects the moment the nut (3) loosens, at which point the pressure on the pump is read, thus enabling the recording of the force that balances the force in the rod. The precision of such measurements is debatable and depends on the operator’s disposition and the conditions on the boiler. Sometimes, the measurements are performed using strain gauges, which is also very labour-intensive and time-consuming, as well as inaccurate due to the conditions during the measurements. The conditions on the boiler are characterized by high dust levels and high temperatures (also caused by the operation of neighbouring units). The time for the measurement and appropriate adjustments is short due to the need to distribute energy to the central grid as soon as possible, which is required because each day of delay in the supply of energy involves penalties.
The measurement system presented in Figure 5 was calibrated on the purpose-built stand that is shown in Figure 6.
The measurements on the calibration stand were performed in the same way as on the real boiler facility, except that the additional mass (6) and the rod (5) were weighed in advance using a precision balance. The actuators, the manometric devices, and the pump were additionally calibrated directly by their manufacturers.
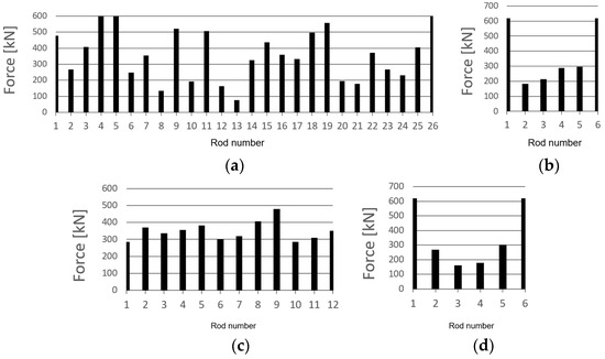
The accuracy of the presented measurement method can be as high as 6% [13], thus making it crucial to thoroughly verify the results and compare them with the numerical model on a global scale. An error of this size means as much as 109 [t] for the furnace chamber alone. Assuming that such a mass additionally increases the boiler load often leads to the yield point being exceeded in the pressure part of the boiler. Such a plastic condition for the boiler complex structure requires numerical calculations to check whether the allowable plastic strain values will not be exceeded. Therefore, the conducted numerical analyses take into account the error resulting from the applied measurement method by increasing the load within the analysed parts. In order to eliminate the error, an effort has to be made to use increasingly accurate measurement methods to determine the forces in the rods [13]. It should also be noted that adjusting the forces acting in the rods based on the uniform distribution of these forces among individual rods is also incorrect. Numerical models show that the force distribution in the boiler is extremely non-uniform. It depends strongly on the location of the centres of gravity within the boiler, the thermal displacements, and the interaction between the boiler components. Therefore, the use of numerical models with equivalent stiffness is justified as this method enables an accurate estimation of the values needed for the adjustments. For the presented example, the measurement consisted in measuring the forces in the rods. The forces were then applied to individual rods in the numerical model using the displacement function. This way of imposing the boundary conditions on the rods enabled their elongation through appropriate tension and reaction forces. The measured weight was assumed on the boiler individual walls using the distributed mass function. The values of the forces measured in the rods are shown in Figure 7, Figure 8, Figure 9 and Figure 10. Example values of the forces and the mean absolute error (MAE) obtained for the measurements performed for Rod 1 are presented in Table 2.
The total weight of the furnace chamber was 1,818 tons, the separators were 763 tons, and the cross-over ducts were 328 tons. Based on the forces measured in the rods, an analysis was conducted to check the areas affected by the highest stresses in the boiler. As indicated by the presented results, a non-uniform distribution of reaction in the hanger rods could be observed, resulting in a variable stress field in individual parts of the boiler.

4. Results of the Numerical Analysis Taking into Account the Forces Measured in the Rods

The results of the numerical analysis are presented in Figure 11. The presented model was built using elements with equivalent stiffness. The analysis time for such calculations is approximately 5 min. When analysing the time required for the calculations for the models presented in Figure 1, it can be inferred that, for the model shown in Figure 11 (which is made of 3D elements), the calculations will take several hours (assuming that the analysis time increases exponentially with the number of finite elements). Figure 11 shows the results for the global model, and it is an illustration of the boiler stress-state indicator σind, which is used to determine critical areas. In order to establish the indicator, analyses were carried out first to obtain stress results for the entire model of the boiler (Figure 11a). Next, the area with the highest concentration of stresses was selected, and the calculations were repeated for this part (Figure 11b). The structure under analysis was the upper part of the furnace and the separators. The stress-state indicator (σind) was found as σind = σactualmax, where the value of equivalent stress σmax [MPa] was adopted as the mean value of stress in the analysed area. Equivalent stress σactual [MPa] is the stress value at a given point of the boiler; thus, σind will take values higher or lower than 1. The aim of the analysis was to check the impact of the non-uniform tension of the hanger rods on the distribution of stresses in the pressure and non-pressure parts of the boiler.
The results in the form of the boiler stress state present the effect of a non-uniform tension of the hanger rods on the concentration of stresses in the corners of the furnace chamber. The effect of the non-uniform tension of the rods can also be noticed on the furnace chamber walls in the form of variable stresses along the chamber width. For the tested boiler, stresses were also checked in the corner of the flange connection connecting the cross-over duct to the separators. The results of the stress state are presented in Figure 12 and Figure 13. The greatest stress was measured in the corner of the flange that connects the cross-over Duct 2 to Separator 2 (the markings are according to Figure 4). The equivalent (von Mises) stress measured at this point exceeded the yield point of 133 MPa for a flange made of P235GH material at an operating temperature of 400 °C [17]. The material properties of steel P235GH are presented in Table 3.
The stress state presented in Figure 13b reflects the real problem in the boiler (as shown in Figure 13c): it is cyclically damaged at this place.

5. Conclusions

This paper presents an analysis of the effect of the non-uniform tension of hanger rods on the stability and strength of power boiler pressure elements. The analyses highlighted the critical importance of loads being carried evenly by the rods to avoid excessive stresses that might lead to failure and cause boiler downtime. To date, monitoring methods have focused exclusively on periodic checks of the forces acting in the rods according to the method described herein. Attention has been drawn to the need to monitor and regulate the forces acting on hanger rods both during assembly and scheduled operating inspections. The value of advanced numerical modelling techniques, such as the finite element method (FEM), was also highlighted as they enable a more accurate prediction and understanding of the impact of non-uniform loads on a boiler structure. However, the applied method of analysis using equivalent stiffness requires many simplifications, including the omission of structural details in the model. As a result of this, for example, stresses were not obtained in the tubes or fins of the tight walls. The stresses in these elements can be calculated using the sub-modelling method [18,19]. At such detailed analyses, the global model using an equivalent stiffness that provides the basis for the boundary conditions of the sub-model. For this reason, the meshed model must be verified by checking the mesh using available tools, e.g., the mesh quality, the Jacobian ratio [20,21], etc., which are included in the Ansys Workbench 2023, R2 software [14]. The effect of the mesh quality on the error in the stress results obtained in detail components can be checked using the Percentage Error in Energy Norm (SEPC) method [22]. The final computations were performed only after the numerical model had been checked in this way. The described method was verified using equivalent stiffness on a real instance of damage to an element of a suspended boiler, which distinguished it from cases when methods describe structures that are supported from the bottom [5,6,9,10,12,23]. The results of the analysis are presented for the global boiler structure, and these are not only for individual subassemblies [11], thus offering a broader perspective on the possibilities of analysing the operation of all boiler components that interact with each other. It has been shown that basic calculations in this respect are not sufficient; in addition, without appropriate computational methods, it is impossible to verify the cause of damage to the elements of suspended boilers. The methods presented in the paper are well in line with the scope of service works and emergency repairs during operation, where time possibilities are strongly limited due to the need to restore the boiler unit operation as quickly as possible. The results of the analyses of the described methods may have significant implications for the design, assembly and operation of boilers, thus suggesting that more accurate monitoring and appropriate design strategies can significantly improve the safety and operating efficiency of power boilers.
Current and future works will focus on improving the accuracy of the forces in the rods and on the possibility of a continuous monitoring of these forces during operation. The presented method of numerical analysis will enable further studies on optimizing the forces acting in the rods such that the stresses in the boiler pressure part are minimized. Such a model is the first step to develop fast optimization methods, the aim of which is to select the forces in the rods to keep the stresses in the structure as low as possible. By shortening the time needed for the computations, more time can be spent on analysing the results, thus refining the forces in the rods and investigating the causes of the boiler malfunctions. This, in turn, will significantly improve the safety of power units and extend their failure-free operation time.

Author Contributions

Methodology, P.D.; Validation, P.D. and Ł.F.; Formal analysis, P.D.; Investigation, P.D., Ł.F. and A.D.; Data curation, A.D.; Writing—original draft, P.D. and Ł.F.; Visualization, Ł.F.; Supervision, P.D. All authors have read and agreed to the published version of the manuscript.

Funding

This research received no external funding.

Institutional Review Board Statement

Not applicable.

Informed Consent Statement

Not applicable.

Data Availability Statement

The original contributions presented in the study are included in the article, further inquiries can be directed to the corresponding author.

Conflicts of Interest

The authors declare no conflict of interest.

References

  1. EN 12952-3:2022; Water-Tube Boilers and Auxiliary Installations. Design and Calculation for Pressure Parts of the Boiler. British Standards Institution: London, UK, 2022. Available online: https://knowledge.bsigroup.com/products/water-tube-boilers-and-auxiliary-installations-design-and-calculation-for-pressure-parts-of-the-boiler-1?version=standard&tab=preview (accessed on 6 May 2024).
  2. Duda, P.; Felkowski, Ł. Negative Impact of Thermal Loads on Pressure and Non-Pressure Boiler Parts. Energies 2023, 16, 5768. [Google Scholar] [CrossRef]
  3. The European Pressure Equipment Directive (PED) 2014/68/EU. Available online: https://single-market-economy.ec.europa.eu/sectors/pressure-equipment-and-gas-appliances/pressure-equipment-sector/pressure-equipment-directive_en#:~:text=The%20Pressure%20Equipment%20Directive%20(PED,force%20on%2020%20July%202016 (accessed on 6 May 2024).
  4. BPVC Section I-Rules for Construction of Power Boilers. BPVC.I. 2023. Available online: https://www.asme.org/codes-standards/find-codes-standards/bpvc-i-bpvc-section-i-rules-construction-power-boilers/2023/print-book (accessed on 26 June 2024).
  5. Sertić, J.; Kozak, D.; Samardžić, I. Calculation of reaction forces in boiler supports using the method of equivalent stiffness of membrane wall. Sci. World J. 2014, 2014, 392048. [Google Scholar] [CrossRef] [PubMed]
  6. Konjatic, P.; Dautovic, S.; Ostojic, Z.; Sertic, J. Seismic action influence on the pressure parts of the watertube steam boiler construction. Int. Sci. J. Mach. Technol. Mater. 2019, 13, 210–213. Available online: https://stumejournals.com/journals/mtm/2019/5/210 (accessed on 26 June 2024).
  7. Duda, P.; Felkowski, Ł.; Dobrzański, J. An analysis of an incident during the renovation work of a power boiler superheater. Eng. Fail. Anal. 2015, 57, 248–253. Available online: https://www.sciencedirect.com/science/article/abs/pii/S1350630715300108?via%3Dihub (accessed on 26 June 2024). [CrossRef]
  8. Sertić, J.; Kozak, D.; Damjanović, D.; Konjatić, P. Homogenization of Steam Boiler Membrane Wall. In Mechanical Engineering Faculty in Slavonski Brod; Josip Juraj Strossmayer University of Osijek: Slavonski Brod, Croatia, 2012; Available online: https://scholar.google.hr/citations?view_op=view_citation&hl=en&user=jL9Nf5YAAAAJ&citation_for_view=jL9Nf5YAAAAJ:WF5omc3nYNoC (accessed on 26 June 2024).
  9. Sertić, J.; Gelo, I.; Kozak, D.; Damjanović, D.; Konjatić, P. Theoretical Determination of Elasticity Constants for Steam Boiler Membrane Wall as The Structurally Orthotropic Plate. Tech. Gaz. 2013, 20, 697–703. Available online: https://hrcak.srce.hr/106703 (accessed on 26 June 2024).
  10. Kurepin, P.M.; Serbinovskiy, M.Y. Simulation and optimization of water-wall tube panels design for power boilers. MATEC Web Conf. 2019, 298, 00112. [Google Scholar] [CrossRef]
  11. Duda, P.; Felkowski, Ł. An analysis of the steam superheater coil operation depending on different methods of coil support. Tech. Trans. 2017, 8, 187–192. [Google Scholar] [CrossRef]
  12. Milošević-Mitić, V.; Gaćeša, B.; Anđelić, N.; Maneski, T. Numerical Calculation of the Water-Tube Boiler Using Finite Element of the Orthotropic Plate. Struct. Integr. Life 2012, 12, 185–190. Available online: http://divk.inovacionicentar.rs/ivk/ivk12/185-190-IVK3-2012-VMM-BG-NA-TM.pdf (accessed on 26 June 2024).
  13. Palacz, M.; Bąk, B.; Felkowski, Ł.; Duda, P.; Iliev, I. The Proper Use of Fibre-Optic Sensors to Monitor the Condition of the Steam Boiler Hanger Rods. Sensors 2023, 23, 7522. [Google Scholar] [CrossRef] [PubMed]
  14. ANSYS User’s Manual, Revision 2023, R2, Canonsburg, PA, USA, 2022. Available online: https://forum.ansys.com/forums/topic/download-pdf-help-ansys-2023-r2/ (accessed on 26 June 2024).
  15. Ganczarski, A.; Skrzypek, J. Mechanics of Modern Materials; Cracow University of Technology: Kraków, Poland, 2013; pp. 90–92, 147–153. [Google Scholar]
  16. EN 10273:2007; Hot Rolled Weldable Steel Bars for Pressure Purposes with Specified Elevated Temperature Properties. British Standards Institution: London, UK, 2007. Available online: https://knowledge.bsigroup.com/products/hot-rolled-weldable-steel-bars-for-pressure-purposes-with-specified-elevated-temperature-properties?version=standard (accessed on 6 May 2024).
  17. EN 10028-2:2017; Flat Products Made of Steels for Pressure Purposes—Non-Alloy and Alloy Steels with Specified Elevated Temperature Properties. British Standards Institution: London, UK, 2017. Available online: https://knowledge.bsigroup.com/products/flat-products-made-of-steels-for-pressure-purposes-non-alloy-and-alloy-steels-with-specified-elevated-temperature-properties-1?version=tracked (accessed on 6 May 2024).
  18. Narvydas, E.; Puodziuniene, N. Applications of Sub-modeling in Structural Mechanics. Proceedings of 19th International Conference, Kaunas, Litvanya, 8–9 May 2014. [Google Scholar]
  19. Curreli, C.; Di Puccio, F.; Mattei, L. Application of the Finite Element sub-modeling technique in a single point contact and wear problem. Int. J. Numer. Methods Eng. 2018, 116, 708–722. [Google Scholar] [CrossRef]
  20. Nemade, A.; Shikalgar, A. The Mesh Quality significance in Finite Element Analysis. IOSR J. Mech. Civ. Eng. IOSR-JMCE 2020, 17, 44–48. Available online: https://www.iosrjournals.org/iosr-jmce/papers/vol17-issue2/Series-5/F1702054448.pdf (accessed on 6 May 2024).
  21. Knupp, M.P. Achieving finite element mesh quality via optimization of the Jacobian matrix norm and associated quantities. Part I—A framework for surface mesh optimization. Int. J. Numer. Methods Eng. 2000, 48, 401–420. [Google Scholar] [CrossRef]
  22. Jalammanavar, K.; Pujar, N.; Raj, R.V. Finite Element Study on Mesh Discretization Error Estimation for Ansys Workbench. In Proceedings of the 2018 International Conference on Computational Techniques, Electronics and Mechanical Systems (CTEMS), Belgaum, India, 21–22 December 2018. [Google Scholar] [CrossRef]
  23. Pejo, K.; Dorian, T.; Sara, R.; Ivan, M. Analysis of downcomers influence on suspension structure of steam boiler. Mach. Technol. Mater. 2021, 15, 149–152. [Google Scholar]
Figure 1. Fragment of the boiler wall modelled using 3D elements (1—ϕ63.5 × 6.3 mm tube and 2—fins t = 6 mm); a flat plate (3)—equivalent stiffness was adopted.
Figure 1. Fragment of the boiler wall modelled using 3D elements (1—ϕ63.5 × 6.3 mm tube and 2—fins t = 6 mm); a flat plate (3)—equivalent stiffness was adopted.
Applsci 14 05720 g001
Figure 2. (a) The internal forces and stiffness of the membrane wall Am and the equivalent orthotropic plate Ap for the membrane state, and (b) the internal moments and stiffness of the membrane wall Dm and equivalent orthotropic plate Dp for the flexible state.
Figure 2. (a) The internal forces and stiffness of the membrane wall Am and the equivalent orthotropic plate Ap for the membrane state, and (b) the internal moments and stiffness of the membrane wall Dm and equivalent orthotropic plate Dp for the flexible state.
Applsci 14 05720 g002
Figure 3. A model of the analysed boiler: view of the furnace chamber rear (left) and front wall (right). 1—furnace chamber, 2—separators, 3—return legs, 4—expansion joints, 5—cross-over ducts, 6—hanger rods.
Figure 3. A model of the analysed boiler: view of the furnace chamber rear (left) and front wall (right). 1—furnace chamber, 2—separators, 3—return legs, 4—expansion joints, 5—cross-over ducts, 6—hanger rods.
Applsci 14 05720 g003
Figure 4. A diagram and numbering of the rods.
Figure 4. A diagram and numbering of the rods.
Applsci 14 05720 g004
Figure 5. Diagram of the measurement and regulation system for the forces in hanger rods: 1—hanger rod, 2—support beam, 3—nut, 4—flange, 5—special nut, and 6—hydraulic cylinders.
Figure 5. Diagram of the measurement and regulation system for the forces in hanger rods: 1—hanger rod, 2—support beam, 3—nut, 4—flange, 5—special nut, and 6—hydraulic cylinders.
Applsci 14 05720 g005
Figure 6. Stand for the calibration of the equipment measuring the hanger rods: 1—special nut, 2—flange, 3—nut, 4—support frame, 5—rod, 6—additional mass, and 7—hydraulic cylinder.
Figure 6. Stand for the calibration of the equipment measuring the hanger rods: 1—special nut, 2—flange, 3—nut, 4—support frame, 5—rod, 6—additional mass, and 7—hydraulic cylinder.
Applsci 14 05720 g006
Figure 7. Measured forces in the rods for the furnace chamber: (a) rear wall; (b) right wall; (c) front wall; and (d) left wall.
Figure 7. Measured forces in the rods for the furnace chamber: (a) rear wall; (b) right wall; (c) front wall; and (d) left wall.
Applsci 14 05720 g007
Figure 8. Measured forces in the rods for the side walls of the separators: (a) Separator 1; (b) Separator 2; and (c) Separator 3.
Figure 8. Measured forces in the rods for the side walls of the separators: (a) Separator 1; (b) Separator 2; and (c) Separator 3.
Applsci 14 05720 g008
Figure 9. Measured forces in the rods for front walls of the separators: (a) Separator 1; (b) Separator 2; and (c) Separator 3.
Figure 9. Measured forces in the rods for front walls of the separators: (a) Separator 1; (b) Separator 2; and (c) Separator 3.
Applsci 14 05720 g009
Figure 10. Measured forces in the rods for the cross-over ducts (COD): (a) COD1; (b) COD2; (c) and COD3.
Figure 10. Measured forces in the rods for the cross-over ducts (COD): (a) COD1; (b) COD2; (c) and COD3.
Applsci 14 05720 g010
Figure 11. FEM analysis results: (a) equivalent stress for two selected general projections and (b) a stress-state indicator, with an isolated view of the furnace chamber and separators.
Figure 11. FEM analysis results: (a) equivalent stress for two selected general projections and (b) a stress-state indicator, with an isolated view of the furnace chamber and separators.
Applsci 14 05720 g011
Figure 12. Results of the numerical analysis for the upper part of the boiler: (a) equivalent stress for selected elements of the boiler upper part and (b) the equivalent stress-selected parts of Separator 2 and 3.
Figure 12. Results of the numerical analysis for the upper part of the boiler: (a) equivalent stress for selected elements of the boiler upper part and (b) the equivalent stress-selected parts of Separator 2 and 3.
Applsci 14 05720 g012
Figure 13. Analysis results for the flange connecting the cross-over duct with the separator: (a) stress state; (b) equivalent stress; and (c) Detail A—flange cracking area.
Figure 13. Analysis results for the flange connecting the cross-over duct with the separator: (a) stress state; (b) equivalent stress; and (c) Detail A—flange cracking area.
Applsci 14 05720 g013
Table 1. Steel 13CrMo4-5 material properties.
Table 1. Steel 13CrMo4-5 material properties.
TemperatureYield Point Rp0,2 [MPa]Tensile Strength Rm [MPa]Young’s Modulus [GPa]
20 °C275400211.8
100 °C256No data206.1
400 °C168No data182.6
Table 2. Measured force values in Rod 1 for the rear wall.
Table 2. Measured force values in Rod 1 for the rear wall.
Rod NumberMeasurement Number [kN]Mean Value [kN]MAE
12345678910
1492472498515506409514455461450477.25.83%
Table 3. Material properties of P235GH steel.
Table 3. Material properties of P235GH steel.
TemperatureYield Point Rp0,2 [MPa]Tensile Strength Rm [MPa]Young’s Modulus [GPa]
20 °C235360211.8
100 °C214No data206.1
400 °C133No data182.6
Disclaimer/Publisher’s Note: The statements, opinions and data contained in all publications are solely those of the individual author(s) and contributor(s) and not of MDPI and/or the editor(s). MDPI and/or the editor(s) disclaim responsibility for any injury to people or property resulting from any ideas, methods, instructions or products referred to in the content.

Share and Cite

MDPI and ACS Style

Duda, P.; Felkowski, Ł.; Duda, A. Analysis of the Impact of Forces in Hanger Rods on Power Boiler Operation. Appl. Sci. 2024, 14, 5720. https://doi.org/10.3390/app14135720

AMA Style

Duda P, Felkowski Ł, Duda A. Analysis of the Impact of Forces in Hanger Rods on Power Boiler Operation. Applied Sciences. 2024; 14(13):5720. https://doi.org/10.3390/app14135720

Chicago/Turabian Style

Duda, Piotr, Łukasz Felkowski, and Andrzej Duda. 2024. "Analysis of the Impact of Forces in Hanger Rods on Power Boiler Operation" Applied Sciences 14, no. 13: 5720. https://doi.org/10.3390/app14135720

APA Style

Duda, P., Felkowski, Ł., & Duda, A. (2024). Analysis of the Impact of Forces in Hanger Rods on Power Boiler Operation. Applied Sciences, 14(13), 5720. https://doi.org/10.3390/app14135720

Note that from the first issue of 2016, this journal uses article numbers instead of page numbers. See further details here.

Article Metrics

Back to TopTop