Impact of Multiple Faults on the Maximum Credible Ground-Motion Parameters of Large Earthquakes at a Near-Field Site
Abstract
1. Introduction
2. Tectonic Setting
2.1. Study Area
2.2. Rupture Length and Width
2.2.1. Empirical Relationship
2.2.2. Seismic Data
2.3. Slip Model
2.4. Fault Characterization
2.4.1. Daju–Lijiang Fault
2.4.2. Xiaozhongdian–Daju Fault
2.4.3. Longpan–Qiaohou Fault
3. Physics-Based Stochastic Finite-Fault Simulation
3.1. Stochastic Finite-Fault Method
3.2. Ground-Motion Modeling Parameters
4. Multiple Schemes
4.1. Daju–Lijiang Fault
4.2. Xiaozhongdian–Daju Fault
4.3. Longpan–Qiaohou Fault
4.4. Multi-Scheme Simulations
5. Results and Discussion
5.1. Ground-Motion Parameters Results
5.2. Maximum Credible Ground-Motion Parameters
5.3. Uncertainty Analysis
6. Conclusions
- (1)
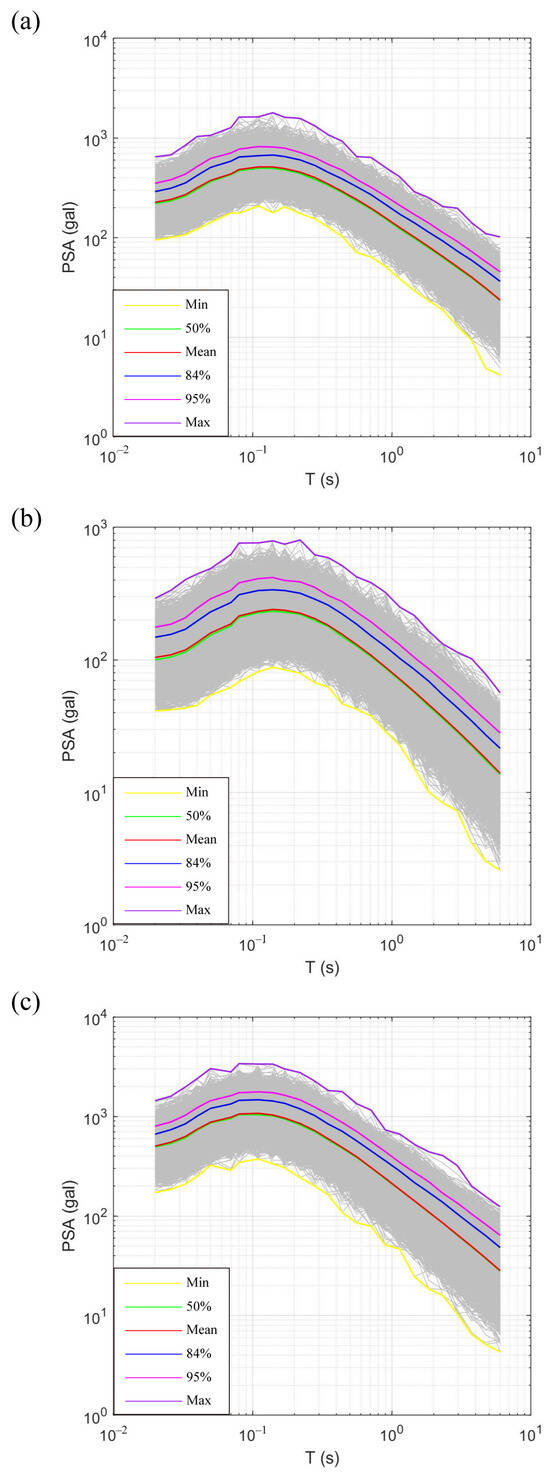
- The minimum; mean; maximum; and 50th-, 84th-, and 95th-percentile peak ground acceleration (PGA) values were obtained from multi-SFFSM. For the Longpan site, the result indicated that the 84th-percentile PGA values of the Daju–Lijiang, Xiaozhongdian–Daju, and Longpan–Qiaohou faults were 301.4, 159.5, and 724.8 gal, respectively. The largest PGA value generated by the earthquake scenarios of the Longpan–Qiaohou fault is attributed to the closest fault distance.
- (2)
- The pseudo-spectral acceleration response spectra (PSA) of the Longpan–Qiaohou fault were larger than those of the other two faults at 0.1-50 Hz. This result was supported by the statistical analysis of twelve thousand simulations of the three faults. Therefore, the 84th-percentile PSA of the Longpan–Qiaohou fault can reasonably represent the maximum credible ground-motion parameters for the earthquake safety design of the Longpan dam.
- (3)
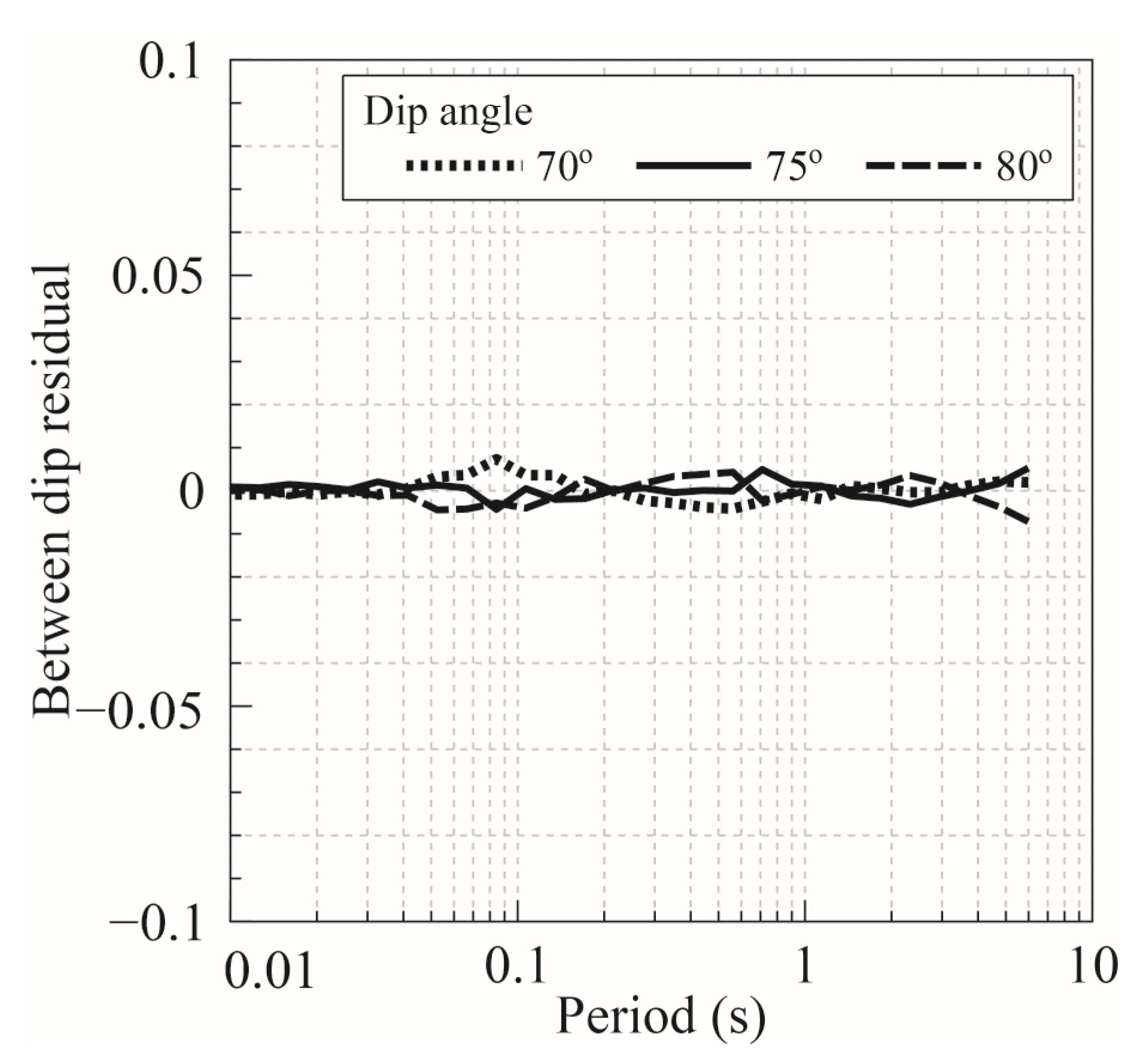
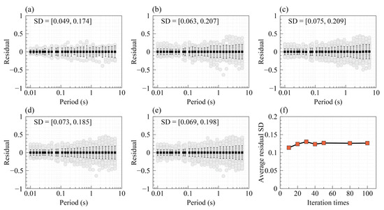
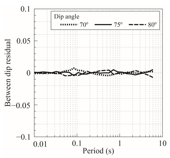
- The uncertainties induced by the simulation method, dip angle, rupture starting point, stress drop, and high-frequency attenuation parameters were analyzed. The results indicate that the aleatory uncertainties induced by iteration times became stable when performing at least 40 simulations, the influence of a dip angle variation of 10 degrees is ignorable, and the residual distribution of different rupture starting points captured the rupture directivity effects. Moreover, the epistemic uncertainty of stress drops and high-frequency attenuation parameters are embedded in the data distribution and the assigned weight, which may provide more statistically convincible results.
- (4)
- To perform multi-SFFSM for the seismic hazard assessment of a specific engineering site, knowledge of fault parameters and regional ground-motion modeling parameters are needed. Such information can be obtained from a geological survey and limited ground-motion data of small-to-moderate earthquakes. Fault activity, lithological characteristics, geomorphic images, stress fields, and geophysical data were used to identify asperities on rupture planes. Although the method for identifying asperity is not yet mature and still faces many difficulties, it provides an opportunity to identify the influence of various slip distributions on earthquake scenarios. Consequently, the reasonability of multi-SFFSM can be assured and applied to engineering practice.
Author Contributions
Funding
Data Availability Statement
Acknowledgments
Conflicts of Interest
References
- Wang, X.; Wang, J.; Zhang, C. Deterministic full-scenario analysis for maximum credible earthquake hazards. Nat. Commun. 2023, 14, 6600. [Google Scholar] [CrossRef] [PubMed]
- Wang, F.; Zhang, Y.; Lin, X.; Ba, Z. City-scale buildings damage estimation based on broadband physics-based ground motion simulation of 2021 MS 6.4 Yangbi, China, earthquake. Earthq. Spectra 2024, 40, 446–468. [Google Scholar] [CrossRef]
- D’Amico, M.; Tiberti, M.M.; Russo, E.; Pacor, F.; Basili, R. Ground-motion variability for single site and single source through deterministic stochastic method simulations: Implications for PSHA. Bull. Seismol. Soc. Am. 2017, 107, 966–983. [Google Scholar] [CrossRef]
- Lehmann, L.; Ohrnberger, M.; Metz, M.; Heimann, S. Accelerating low-frequency ground motion simulation for finite fault sources using neural networks. Geophys. J. Int. 2023, 234, 2329–2343. [Google Scholar] [CrossRef]
- Viens, L.; Miyake, H.; Koketsu, K. Simulations of long-period ground motions from a large earthquake using finite rupture modeling and the ambient seismic field. J. Geophys. Res. Solid Earth 2016, 121, 8774–8791. [Google Scholar] [CrossRef]
- Bai, Y.Z. Comparison of strong ground motion recordings of the Lushan, China, earthquake of 20 April 2013 with the Next Generation Attenuation (NGA)-West2 ground-motion models. Bull. Seismol. Soc. Am. 2017, 107, 1724–1736. [Google Scholar] [CrossRef]
- Abrahamson, N.A.; Silva, W.J.; Kamai, R. Summary of the ASK14 ground motion relation for active crustal regions. Earthq. Spectra 2014, 30, 1025–1055. [Google Scholar] [CrossRef]
- Boore, D.M.; Stewart, J.P.; Seyhan, E.; Atkinson, G.M. NGA-West2 equations for predicting PGA, PGV, and 5% damped PSA for shallow crustal earthquake. Earthq. Spectra 2014, 30, 1057–1085. [Google Scholar] [CrossRef]
- Campbell, K.W.; Bozorgnia, Y. Average horizontal components of PGA, PGV, and 5% damped linear acceleration response spectra. Earthq. Spectra 2014, 30, 1087–1115. [Google Scholar] [CrossRef]
- Chiou, B.S.J.; Youngs, R.R. Update of the Chiou and Youngs NGA model for the average horizontal component of peak ground motion and response spectra. Earthq. Spectra 2014, 30, 1117–1153. [Google Scholar] [CrossRef]
- Idriss, I.M. An NGA-West2 empirical model for estimating the horizontal spectral values generated by shallow crustal earthquakes. Earthq. Spectra 2014, 30, 1155–1177. [Google Scholar] [CrossRef]
- Yu, Y.X.; Li, S.Y.; Xiao, L. Development of ground motion attenuation relations for the new seismic hazard map of China. Technol. Earthq. Disast. Prev. 2013, 8, 24–33. [Google Scholar]
- Atkinson, G.M.; Goda, K.; Assatourians, K. Comparison of nonlinear structural responses for accelerograms simulated from the stochastic finite-fault approach versus the hybrid broadband approach. Bull. Seismol. Soc. Am. 2011, 101, 2967–2980. [Google Scholar] [CrossRef]
- Beresnev, I.A.; Atkinson, G.M. FINSIM-A FORTRAN program for simulating stochastic acceleration time histories from finite faults. Seismol. Res. Lett. 1998, 69, 27–32. [Google Scholar] [CrossRef]
- Boore, D.M. Stochastic simulation of high-frequency ground motions based on seismological models of the radiated spectra. Bull. Seismol. Soc. Am. 1983, 73, 1865–1894. [Google Scholar]
- Fu, L.; Li, X.J. The kappa (ĸ0) model of the Longmenshan region and its application to simulation of strong ground-motion by the Wenchuan MS 8.0 earthquake. Chin. J. Geophys. 2017, 60, 2935–2947. [Google Scholar] [CrossRef]
- Hartzell, S.H. Earthquake aftershock as Green’s functions. Geophys. Res. Lett. 1978, 5, 1–4. [Google Scholar] [CrossRef]
- Irikura, K. Semi-empirical estimation of strong ground motions during large earthquake. Bull. Disaster Prev. Res. Inst. 1983, 33, 63–104. [Google Scholar]
- Motazedian, D.; Atkinson, G.M. Stochastic finite-fault modeling based on a dynamic corner frequency. Bull. Seismol. Soc. Am. 2005, 95, 995–1010. [Google Scholar] [CrossRef]
- Sun, J.Z.; Yu, Y.X.; Li, Y.Q. Stochastic finite-fault simulation of the 2017 Jiuzhaigou earthquake in China. Earth Planets Space 2018, 70, 128. [Google Scholar] [CrossRef]
- Wang, H.Y. Prediction of acceleration field of the 14 April 2010 Yushu earthquake. Chin. J. Geophys. 2010, 53, 2345–2354. [Google Scholar] [CrossRef]
- Zhang, C.R.; Chen, H.Q.; Li, M. Generation of the maximum credible earthquake by using the stochastic finite fault method. J. Hydraul. Eng. 2011, 42, 721–728. [Google Scholar]
- Zhou, H.; Chang, Y. Stochastic finite-fault method controlled by the fault rupture process and its application to the MS 7.0 Lushan earthquake. Soil Dyn. Earthq. Eng. 2019, 126, 105782. [Google Scholar] [CrossRef]
- Yu, R.F.; Shi, H.T.; Sun, J.Z.; Zhang, D.F.; Yu, Y.X. Comprehensive evaluation of ground motion parameters for dam site based on stochastic finite fault method. China Civ. Eng. J. 2020, 53, 314–328. [Google Scholar]
- Zhang, D.F.; Fu, C.H.; Lv, H.S.; Yu, R.F. Stochastic finite fault method and its engineering applications. Technol. Earthq. Disast. Prev. 2018, 13, 784–800. [Google Scholar]
- Li, J.Y.; Zhou, B.G.; He, Z.T.; Ji, H.M.; Wang, L.; Bao, G.D. Accessing near-field strong ground motion using a multi-scheme method in the Kalawenguquan fault, Xinjiang, China. Appl. Sci. 2024, 14, 1451. [Google Scholar] [CrossRef]
- Hainzl, S.; Zöller, G.; Wang, R. Impact of the receiver fault distribution on aftershock activity. J. Geophys. Res. 2010, 115, B05315. [Google Scholar] [CrossRef]
- Yu, R.F.; Zhang, C.R.; Zhang, D.F.; Sun, J.Z.; Yu, Y.X. Study on design parameters for dam site based on maximum credible earthquake of near-field seismogenic structure. China Civ. Eng. J. 2022, 55, 117–128. [Google Scholar]
- Li, J.Y.; Zhou, B.G.; Wei, W.; Xie, C. Source, attenuation, and site response of the Namche Barwa area, southeastern Tibetan Plateau, SW China, derived from seismic data of the 2017 Mainling MS 6.9 earthquake sequence. J. Asian Earth Sci. 2023, 257, 105854. [Google Scholar] [CrossRef]
- He, J.; Zhang, L.; Xiao, T.; Chen, C. Emergency risk management for landslide dam breaks in 2018 on the Yangtze River, China. Resilient Cities Struct. 2022, 1, 1–11. [Google Scholar] [CrossRef]
- NB35407-2015; Code for Seismic Design of Hydraulic Structure of Hydropower Project. China Electric Power Press: Beijing, China, 2015.
- Li, J.Y.; Jin, L.G.; Zhu, X.X.; Tang, J. The Maximum Credible Ground Motion of the Longpan Hydropower Site in Jinsha River; Institute of Geology, China Earthquake Administration: Beijing, China, 2023.
- Wells, D.L.; Coppersmith, K.J. New empirical relationships among magnitude, rupture length, rupture width, rupture area, and surface displacement. Bull. Seismol. Soc. Am. 1994, 84, 974–1002. [Google Scholar] [CrossRef]
- Jiang, C.S.; Fang, L.H.; Han, L.B.; Wang, W.L.; Li, Y.E.; Wang, C.Z. Study on seismological methods to identify active-fault segments with mid- and long-term risk of major earthquakes. In A Final Technique Report of the Project No.03 of National Key Technology Research and Development Program No.2012BAK19B01; China Earthquake Administration: Beijing, China, 2014. [Google Scholar]
- Long, F.; Wen, X.Z.; Ruan, X.; Zhao, M.; Yi, G.X. A more accurate relocation of the 2013 MS 7.0 Lushan, Sichuan, China, earthquake sequence, and the seismogenic structure analysis. J. Seismol. 2015, 19, 653–665. [Google Scholar] [CrossRef]
- Somerville, P.; Irikura, K.; Graves, R.; Sawada, S.; Wald, D.; Abrahamson, N.; Iwasaki, Y.; Smith, N.; Kowada, A. Characterizing crustal earthquake slip models for the prediction of strong ground motion. Seismol. Res. Lett. 1999, 70, 59–80. [Google Scholar] [CrossRef]
- Stein, R.S. Earthquake Rate Model 2 of the 2007 Working Group for California Earthquake Probabilities, Appendix D: Magnitude-Area Relationships. In U.S. Geological Survey Open-File Report 2007–1162; USGS: Reston, VA, USA, 2007. Available online: http://pubs.usgs.gov/of/2007/1162/ (accessed on 1 June 2024).
- Hanks, T.C.; Kanamori, H. A moment magnitude scale. J. Geophys. Res. 1979, 84, 2348–2350. [Google Scholar] [CrossRef]
- Wang, H.Y. Finite Fault Source Model for Predicting Near-Field Strong Ground Motion. Ph.D. Thesis, Institute of Engineering Mechanics, China Earthquake Administration, Harbin, China, 2004. [Google Scholar]
- Cheng, L.; Wei, C.Y.; Su, G.; Yin, G.M.; Li, G.T. New discovery of ground fissures in 1996 Lijiang M7.0 earthquake. Technol. Earthq. Disast. Prev. 2021, 16, 637–640. [Google Scholar]
- Han, Z.J.; Guo, S.M.; Xiang, H.F.; Zhang, J.S.; Ran, Y.K. Seismotectonic environment of occurring the February 3, 1996 Lijiang M = 7.0 earthquake, Yunnan Province. Acta Seismol. Sin. 2004, 26, 410–418. [Google Scholar] [CrossRef]
- Li, J.Y.; Zhou, B.G.; Li, T.M.; Yang, Y.L.; Li, Z.F. Locking depth, slip rate, and seismicity distribution along the Daofu–Kangding segment of the Xianshuihe fault system, eastern Tibetan Plateau. J. Asian Earth Sci. 2020, 193, 104328. [Google Scholar] [CrossRef]
- Zhang, J.G.; Zhou, R.Q.; Wu, B.Q.; Zhou, G.Q. The characteristics of surface rupture and deformation for the M7.0 Lijiang earthquake. J. Seismol. Res. 1997, 20, 58–65. [Google Scholar]
- Wu, Z.H.; Zhang, Y.S.; Hu, D.G.; Zhao, X.T.; Ye, P.S. Quaternary normal faulting and its dynamics mechanism of the Haba-Yulong Mountain eastern fault in northeast Yunnan. Sci. China Ser. D-Earth Sci. 2008, 38, 1361–1375. [Google Scholar]
- Li, G.T.; Su, G.; Cheng, L.; Li, F.; Wu, H. Late quaternary activity of the southeastern section of Zhongdian-Daju fault. Seismol. Geol. 2019, 41, 545–560. [Google Scholar]
- Chang, Z.F.; Zhang, Y.F.; Li, J.L.; Zang, Y. The geological and geomorphic characteristic of Late Quaternary activity of the Deqin-Zhongdian-Daju fault. Seismol. Geol. 2014, 37, 46–52. [Google Scholar]
- Hu, C.Z.; Tian, Q.J.; Yang, P.X.; Hao, P.; Wang, L.; Tang, Y.; Xiong, R.W.; Yu, J.Q.; Liang, P.; Su, P. Analysis of Longpan-Qiaohou fault geometric structure by using 3-D visualization of satellite remote sensing image. Technol. Earthq. Disast. Prev. 2015, 10, 819–830. [Google Scholar]
- Tang, Y. A Study on the Slip Rates of Longpan-Qiaohou Fault Zone in Late Quaternary; Institute of Earthquake Science, China Earthquake Administration: Beijing, China, 2014.
- China Earthquake Administration Institute of Geology; Yunnan Earthquake Agency. Active Faults in the Northwest Yunnan Area; Seismological Press: Beijing, China, 1990.
- Brune, J.N. Tectonic strain and the spectra of seismic shear waves from earthquakes. J. Geophys. Res. 1970, 75, 4997–5009. [Google Scholar] [CrossRef]
- Brune, J.N. Correction. J. Geophys. Res. 1971, 76, 5002. [Google Scholar] [CrossRef]
- Boore, D.M. Simulation of ground motion using the stochastic method. Pure Appl. Geophys. 2003, 160, 635–676. [Google Scholar] [CrossRef]
- Boore, D.M.; Joyner, W.B. Site amplifications for generic rock sites. Bull. Seismol. Soc. Am. 1997, 87, 327–341. [Google Scholar] [CrossRef]
- Anderson, J.G.; Hough, S.E. A model for the shape of the Fourier amplitude spectrum of acceleration at high frequency. Bull. Seismol. Soc. Am. 1984, 74, 1969–1993. [Google Scholar]
- Fu, L.; Chen, S.; Li, J.Y.; Zhang, L.B.; Li, X.J. Regional spectral characteristics derived using the generalized inversion technique and applications to stochastic simulation of the 2021 Mw6.1 Yangbi earthquake. Bull. Seismol. Soc. Am. 2023, 113, 378–400. [Google Scholar] [CrossRef]
- Liu, Y.; Yao, H.; Zhang, H.; Fang, H. The community velocity model V.1.0 of southwest China, constructed from joint body- and surface-wave travel-time tomography. Seismol. Res. Lett. 2021, 92, 2972–2987. [Google Scholar] [CrossRef]
- Chiou, B.; Youngs, R.R. An NGA model for the average horizontal component of peak ground motion and response spectra. Earthq. Spectra 2008, 24, 173–215. [Google Scholar] [CrossRef]
- Zandieh, A.; Pezeshk, S. A study of horizontal-to-vertical component spectral ratio in the New Madrid Seismic Zone. Bull. Seismol. Soc. Am. 2011, 101, 287–296. [Google Scholar] [CrossRef][Green Version]
- Hussain, N.; Alam, S.; Mwafy, A. Developments in quantifying the response factors required for linear analytical and seismic design procedures. Buildings 2024, 14, 247. [Google Scholar] [CrossRef]
- Seismological Society of China. Maximum Credible Ground Motion Evaluation of Project Site—Stochastic Finite Fault Method T/SSC 1-2022; Seismological Society of China: Beijing, China, 2022. [Google Scholar]
- Fu, L.; Xie, J.J.; Chen, S.; Zhang, B.; Zhang, X.; Li, X.J. Analysis of site amplification coefficient characteristics of Sichuan and its application in strong ground-motion simulation: A case study of 2022 Lushan MS6.1 earthquake. Chin. J. Geophys. 2023, 66, 2933–2950. [Google Scholar]
- Hu, J.J.; Xie, L.L. Directivity in the basic parameters of the near-fault acceleration ground motions during the Wenchuan earthquake. Chin. J. Geophys. 2011, 54, 2581–2589. [Google Scholar]
- Wessel, P.; Smith, W.H.F. Free software helps map and display data. Eos Trans. Am. Geophys. Union 1991, 72, 441–448. [Google Scholar] [CrossRef]















| Parameter | Value | Parameter | Value |
|---|---|---|---|
| Fault strike | N5°E | Slip of asperity (m) | 3.34 |
| Inclination | East | Slip of background (m) | 1.17 |
| Fault dip angle (°) | 70, 75, 80 | Depth from upper fault boundary (km) | 0 |
| Fault rupture length (km) | 50 | S-wave velocity (km/s) | 3.5 |
| Fault rupture width (km) | 20 | Average crustal density (g/cm3) | 2.8 |
| Fault rupture area (km2) | 1000 | Rupture velocity (km/s) | 80% of S-wave velocity |
| Moment magnitude (MW) | 7.1 | Stress drop (bar) | 22.7, 35.4, 48.1 |
| Seismic moment (N·m) | 5.01 × 1019 | Geometrical spreading | 1/R |
| dl (km) | 2 | Quality factor | Q(f) = 115.1f0.616 |
| dw (km) | 2 | κ0 (s) | 0.0219, 0.0288, 0.0357 |
| Maximum asperity area (km2) | 216 | Pulse percentage | 50% |
| Average slip of rupture area (m) | 1.67 |
| Parameter | Value | Parameter | Value |
|---|---|---|---|
| Fault strike | N60°W | Slip of asperity (m) | 3.79 |
| Inclination | Northeast | Slip of background (m) | 1.326 |
| Fault dip angle (°) | 70, 75, 80 | Depth from upper fault boundary (km) | 0 |
| Fault rupture length (km) | 80 | S-wave velocity (km/s) | 3.5 |
| Fault rupture width (km) | 22 | Average crustal density (g/cm3) | 2.8 |
| Fault rupture area (km2) | 1760 | Rupture velocity (km/s) | 80% of S-wave velocity |
| Moment magnitude (MW) | 7.3 | Stress drop (bar) | 22.7, 35.4, 48.1 |
| Seismic moment (N·m) | 1.0 1020 | Geometrical spreading | 1/R |
| dl (km) | 2 | Quality factor | Q |
| dw (km) | 2 | κ0 (s) | 0.0219, 0.0288, 0.0357 |
| Maximum asperity area (km2) | 384 | Pulse percentage | 50% |
| Average slip of rupture area (m) | 1.89 |
| Parameter | Value | Parameter | Value |
|---|---|---|---|
| Fault strike | N15°E | Average slip of rupture area (m) | 1.85 |
| Inclination | Northwest | Slip of asperity (m) | 3.70 |
| Fault dip angle (°) | 70, 75, 80 | Slip of background (m) | 1.30 |
| Fault rupture length (km) | 82 | Depth from upper fault boundary (km) | 0 |
| Fault rupture width (km) | 22 | S-wave velocity (km/s) | 3.5 |
| Fault rupture area (km2) | 1804 | Average crustal density (g/cm3) | 2.8 |
| Moment magnitude (MW) | 7.3 | Rupture velocity (km/s) | 80% of S-wave velocity |
| Seismic moment (N·m) | 1.0 1020 | Stress drop (bar) | 22.7, 35.4, 48.1 |
| dl (km) | 2 | Geometrical spreading | 1/R |
| dw (km) | 2 | Quality factor | Q |
| Maximum asperity area (km2) | 288 | κ0 (s) | 0.0219, 0.0288, 0.0357 |
| Smaller asperity area (km2) | 112 | Pulse percentage | 50% |
| Fault Name | PGA (gal) | |||||
|---|---|---|---|---|---|---|
| Min | 50th-Percentile | Mean | 84th-Percentile | 95th-Percentile | Max | |
| Daju–Lijiang | 94.2 | 218.9 | 225.4 | 288.4 | 349.2 | 654.2 |
| Xiaozhongdian–Daju | 41.0 | 100.0 | 104.1 | 147.6 | 176.5 | 287.1 |
| Longpan–Qiaohou | 165.7 | 491.2 | 500.5 | 657.6 | 792.5 | 1451.0 |
Disclaimer/Publisher’s Note: The statements, opinions and data contained in all publications are solely those of the individual author(s) and contributor(s) and not of MDPI and/or the editor(s). MDPI and/or the editor(s) disclaim responsibility for any injury to people or property resulting from any ideas, methods, instructions or products referred to in the content. |
© 2024 by the authors. Licensee MDPI, Basel, Switzerland. This article is an open access article distributed under the terms and conditions of the Creative Commons Attribution (CC BY) license (https://creativecommons.org/licenses/by/4.0/).
Share and Cite
Li, J.; Li, Z.; Zhou, B. Impact of Multiple Faults on the Maximum Credible Ground-Motion Parameters of Large Earthquakes at a Near-Field Site. Appl. Sci. 2024, 14, 5628. https://doi.org/10.3390/app14135628
Li J, Li Z, Zhou B. Impact of Multiple Faults on the Maximum Credible Ground-Motion Parameters of Large Earthquakes at a Near-Field Site. Applied Sciences. 2024; 14(13):5628. https://doi.org/10.3390/app14135628
Chicago/Turabian StyleLi, Jiangyi, Zhengfang Li, and Bengang Zhou. 2024. "Impact of Multiple Faults on the Maximum Credible Ground-Motion Parameters of Large Earthquakes at a Near-Field Site" Applied Sciences 14, no. 13: 5628. https://doi.org/10.3390/app14135628
APA StyleLi, J., Li, Z., & Zhou, B. (2024). Impact of Multiple Faults on the Maximum Credible Ground-Motion Parameters of Large Earthquakes at a Near-Field Site. Applied Sciences, 14(13), 5628. https://doi.org/10.3390/app14135628
