Next Article in Journal
Recent Innovations Brought about by Weight-Bearing CT Imaging in the Foot and Ankle: A Systematic Review of the Literature
Next Article in Special Issue
A Novel and Stable Benchmark for Breast Measurement
Previous Article in Journal
Optical Characterization of a Rotationally Asymmetric Refractive Multifocal Intraocular Lens Compared to a Standard Monofocal One
Previous Article in Special Issue
Analysis of Stakeholder Requirements for the Development of Swallowing Health Management Services
 
 
Font Type:
Arial Georgia Verdana
Font Size:
Aa Aa Aa
Line Spacing:
Column Width:
Background:
Article

Investigating Spatiotemporal Effects of Back-Support Exoskeletons Using Unloaded Cyclic Trunk Flexion–Extension Task Paradigm

by
Pranav Madhav Kuber
* and
Ehsan Rashedi
*
Industrial and Systems Engineering Department, Rochester Institute of Technology, Rochester, NY 14623, USA
*
Authors to whom correspondence should be addressed.
Appl. Sci. 2024, 14(13), 5564; https://doi.org/10.3390/app14135564
Submission received: 7 June 2024 / Revised: 20 June 2024 / Accepted: 24 June 2024 / Published: 26 June 2024
(This article belongs to the Special Issue Novel Approaches and Applications in Ergonomic Design III)

Abstract

Back-Support Industrial Exoskeletons (BSIEs) are designed to reduce muscle effort during repetitive tasks that involve trunk bending. We recruited twelve participants to perform 30 cycles of 45° trunk bending with/without the assistance of BSIEs and with/without postural asymmetry, first without any back fatigue, and then at the medium–high level of perceived back fatigue. To study the benefits of BSIEs, the effects of being in a fatigued state were assessed by comparing the muscle demands, kinematics, and stability measures during bending, retraction, and their transition portions per cycle across the study conditions. Overall, the BSIEs caused a minimal decrease in the lower-back activity (0–1.8%), caused by the increased demands during the retraction portion. A substantial decrease in leg activity was observed (10–18%). Asymmetry increased the right-lower-back and leg demands. Medium–high fatigue caused an increase in the lower-back activity (8–12%) during bending and retraction. The BSIEs caused slower movements and improved the stability by lowering the maximum distance of the Center of Pressure (COP) during the transition portion, as well as by lowering the mean velocity of the COP during the bending/retraction portions. This controlled study demonstrated the use of a cyclic trunk flexion–extension paradigm to study the effects of BSIEs, and the outcomes can help with understanding the temporal effects of using BSIEs on physiological measures, ultimately benefiting their proper implementation.

1. Introduction

Repetitive manual tasks, when performed for prolonged periods, can overload the human musculoskeletal system, leading to strain, ache, and injury. In recent years, there has been a high number of such injuries from overexertion and bodily reactions, which accounted for ~1 million cases in the year 2021–2022 in the U.S. alone [1]. Even with traditional ergonomic controls, like workforce training, and safety controls, workers are exposed to greater demands due to ever-increasing consumer needs [2]. Meanwhile, traditional ergonomic controls are often expensive to implement industry-wide and offer less flexibility with variations across industrial tasks. Wearable assistive devices, such as exoskeletons (EXOs), provide a mobile and affordable solution to reduce the risk of injury by augmenting human capabilities.
Among the body regions, the lumbar region of the lower-back is the most susceptible to the risk of injury, with the highest (~17%) injury rate [3]. Back-Support Industrial Exoskeletons (BSIEs) support their wearers’ torsos while they perform tasks that require trunk flexion, relieving the lower-back muscle effort, potentially reducing the risk of injury in the back region [4,5,6]. BSIEs have shown significant reductions in the lower-back muscle activity during the performance of static-posture maintenance tasks with trunk bending [5,7,8] and dynamic lifting tasks [9,10,11,12,13,14]. However, when evaluated in field environments, their effects on the human body are found to be mixed, as reviewed in our prior work [15]. Conducting in-depth evaluations can provide key insights, which may be beneficial to improving their design. Furthermore, the outcomes from evaluations can be beneficial to developing guidelines for their proper use and implementation in the real world.
Temporal considerations during biomechanical evaluations are valuable for determining the realistic effects of an intervention. For instance, fatigue is often the result of the repetitive activation of the same muscle group, as observed commonly during tasks involving the picking up/placing of objects at the lower-body levels. Besides suffering from muscle strain/sprain, when fatigued, a worker may be more vulnerable to injury due to the affected neuromusculoskeletal systems. High demands on the body compared to the body’s capacity to generate vital forces can lead to failure, poor work quality, and performance errors, and they can cause injury [16]. Therefore, estimating the impacts of fatigue on the human body during the performance of tasks can be beneficial.
Global fatigue has been traditionally measured using subjective scales by recording the ratings of perceived exertion (RPEs) on the Borg scale [17], while the impacts of fatigue on specific body regions have been measured by recording changes in the muscle force generation capacity. Impacts of fatigue are also commonly observed in measures of muscle activity, body movement, and whole-body stability. Muscle fatigue has been defined in the literature as “the inability of muscles to sustain force generation over time” [18]. Moreover, performing activities in a fatigued state may also cause detrimental effects, such as a lack of balance and proper control over body movement, increasing the risk of falls [19,20]. While BSIEs may provide benefits in reducing the rate of muscle fatigue, they may expose users to a higher fall risk [21], especially with additional weight (2.2–4.5 kg), and assistive torque could affect the wearer’s stability [19]. Conditions may worsen during the performance of dynamic tasks with increased inertial forces, as well as during awkward/asymmetric postures [14,22,23,24]. Considering these aspects in task simulation can provide valuable insights into improving BSIE designs.
The novelty of this study lies in our experimental design, where cyclic trunk flexion–extension tasks were utilized to compare the physiological effects of being in a fatigued state with vs. without a BSIE. In addition, the study participants were fatigued using intermittent bending tasks, like realistic industrial tasks, as opposed to earlier work in which changes in the duration till the fatigued state when maintaining a flexed trunk posture were utilized to assess the temporal effects of BSIEs [4]. In addition, we also considered the effects of postural asymmetry, and our in-depth analysis included the study of specific portions of the cyclic trunk flexion–extension of the bending, transition, and retraction motions. Impacts on the measures of the muscular demands in both the lower-back and legs, as well as on the whole-body stability, were evaluated. We hypothesized that using a BSIE can provide overall benefits over time to both the back and leg regions, and that wearing the device can detrimentally affect the natural body movement and whole-body stability. The outcomes presented in this article can be beneficial to developing guidelines for effectively implementing these wearable assistive devices in workplaces.

2. Materials and Methods

2.1. Participant Pool

We recruited twelve young male adults from a college population. Inclusion criteria requirements were an exercise frequency of at least two times each week and a lack of incidents of back/lower-body musculoskeletal disorder in the last 6 months from the first day of the experiment. The participant pool in this study was the same as that in our prior analysis, and further details on the anthropometric measurements can be found in our recent publication [25]. Written informed consent was obtained, as approved by the university review board with the approval code HSRO#01113021. The protocols agreed with the tenets of the Declaration of Helsinki.

2.2. Experimental and Task Design

This study focused on evaluating the effects of using a BSIE in realistic conditions, specifically the presence of fatigue and awkward postures, while performing repetitive trunk flexion tasks. Thus, a 2 × 2 × 2 design was selected with the independent factors as assistance (without exoskeleton (N)/with exoskeleton (E)), posture (symmetry (S)/asymmetry (AS)), and time (beginning (B)/end (ED)). To assess the effects of assistance with a BSIE, we selected a passively actuated BSIE, named BackX Model AC (SuitX, Emeryville, CA, USA), set at medium support (~25 lbs. of support).
The experimental setup included a portable adjustable stand in front of the participant such that the subject could bend at a ~45° sagittal flexion angle. For simulating awkward postures, ~45° asymmetry in the transverse plane towards the left was chosen, as per similar recent studies [26]. Lastly, to investigate the effects of fatigue, we incorporated a back-fatiguing task that involved sustaining trunk flexion for short durations that was performed intermittently. Cyclic flexion–extension was performed at the start and end of each session to assess the effects of fatigue. Three sessions were scheduled on separate days (with a gap of 48 h) per participant to avoid a potential carry-over effect between the levels of the assistance (E/N) factor, as shown in Figure 1. Among the three sessions, the first session included training, while the other two consisted of performing tasks.

2.3. Data Collection Equipment and Tools

Both the lower-back and leg regions were selected as the locations of interest, and the participants in our pilot study reported the prominent presence of fatigue in the legs. Thus, the muscle groups to be studied included the left/right erector spinae longissimus (LES, RES) and the bicep femoris muscles (LBF, RBF). Both these muscle groups are known to contract the most during trunk flexion, as they are responsible for pulling the weight of the upper torso and torso to ensure a stable posture. Four Trigno Wireless sensors (Delsys, Natick, MA, USA, 1200 Hz) for measuring muscle activity using surface Electromyography (EMG) were placed on the four muscles. We followed the protocols provided by SENIAM [27] for placing the sensors on the respective muscle groups using double-sided tapes. To segment the data into different portions, as well as to detect trunk movement, an optoelectronic motion capture system (VICON, Hauppauge, NY, USA, 100 Hz) was used. This included 20 reflective markers placed on the upper body (3 on the upper-back, 2 on the middle back, and 3 on the hip) and lower body (3 on each leg and 3 on each foot) of each participant. Marker placement locations were determined based on guidelines provided by VICON [28]. For understanding the impacts on balance, participants stood upon two floor-embedded force plates (AMTI OR6-6 platform, Watertown, MA, USA, 1000 Hz) with each foot on one force plate. All three systems were time-synced using NEXUS v1.7.1 software (VICON, Hauppauge, NY, USA). Lastly, the perceived fatigue levels in the back and legs were obtained using ratings of exertion (RPEs) on the Borg RPE CR-10 scale [29,30].

2.4. Procedure

The experimental procedure used to collect data was the same as that in our recently published study [31]. A wall-sit task was performed at the start of each session for the self-calibration of the Borg RPE CR-10 scale. This was followed by the attachment of electrodes and sensors and the measuring of the MVCs from all four muscles (Figure 1). The first session concluded with participants performing two repetitions of each experimental task with/without assistance and in symmetric/asymmetric postures and then familiarizing themselves with the BSIE. Participants were asked to perform trunk flexion tasks during the first session, and those able to perform too few (<4) or too many (>30) trials without assistance were excluded from the remaining sessions and the final pool, as these would be outliers in our dataset.
Each of the two subsequent experimental sessions included performing trunk-bending tasks in asymmetric and symmetric postures, with/without the BSIE. The protocol for the experimental tasks in each condition consisted of performing 30 cycles of repetitive trunk flexion–extension at the start (RPE in the back: 0 (no exertion)) and at the end (RPE in the back: 7 (medium–high exertion)). Task cycles with 30 s sustained bending, and two 15 s standing-still activities were performed with 15 s intermittent breaks until participants reached a medium–high fatigue level (Figure 2). After performing 30 repetitive-bending cycles at the end, the experimental condition was concluded. Participants were recalled for performing the third session after a minimum period of 48 h to allow complete muscle recovery.

2.5. Data Analysis and Responses

NEXUS v1.7.1 software (VICON, Hauppauge, NY, USA) was used to export data from each sensor/marker of the EMG, force plates, and motion capture systems in a single (.csv) file that represented 30 cycles of repetitive bending. We developed a custom MATLAB code to import data from the Excel file. Data obtained from the force plate and motion capture system were filtered using a 2nd-order, lowpass, digital Butterworth filter with a normalized cutoff frequency of 10 Hz. Meanwhile, the EMG was filtered using a Butterworth filter in the band [4,32]. To evaluate variations across the bending/retraction cycles, we segmented the cycles using the position in the z direction of the upper-back reflective marker by detecting the bending start/end and retraction start/end portions. To ensure consistency, the middle 40% of the range of movement, scaled from 0 to 1, was selected, as shown in Figure 3. Each repetitive-bending task was divided into 30 distinct bending (BD), retraction (RT), and transition (TS) portions. The TS portion was defined as the spatial movement from the detected end of bending to the detected start of retraction, which represents the portion during which participants switched from bending to retraction.
After segmenting the cycles into distinct portions based on the spatial location of the trunk, we calculated the responses from the EMG, force plates, and motion data. As the raw EMG data could not be directly used for processing, correlation, or comparison, we calculated the Root Mean Square (RMS) of the signal. Using the RMS, we determined the peak amplitude for each portion (bending/transition/retraction). Peak values were reported as the average of 50 datapoints before and after the detected peak. Similarly, we determined the peak values of the norm of the velocity of the upper-back, lower-back, and hip markers for each portion of cycles. Regarding the stability analysis, the maximum distance of the COP (Center-of-Pressure) location from the neutral position for each portion was determined using the combined COP co-ordinates of both force plates with the distance formula. We also calculated the mean velocity of the COP.
For statistical analysis, we used standard least squares with an emphasis on effect leveraging using JMP Pro® v16.1.0 software (SAS Institute, Cary, NC, USA), with the statistical significance level at a p-value < 0.05. Significant results were then followed by post-hoc paired comparisons using Tukey’s Honest Significant Difference (HSD) test where relevant. All the parametric model assumptions were validated before providing the mean (SD) for the levels of statistically significant effects.

3. Results

The statistical comparisons across the levels of the main and interaction effects of assistance (E/N), posture (AS/S), and time (B/ED) are listed in the Appendix A Section in Table A1, Table A2 and Table A3. The outcomes were categorized according to the measure type, specifically the muscle demands (back/legs), trunk movement (upper-back/lower-back/hip), and whole-body stability, described in detail in the following sections.

3.1. Muscular Demands

Overall, the muscle demands in both the back and leg muscles were the lowest during the bending portion, while both the retraction and transitioning from bending to retraction imposed higher demands. Specifically, the demands were ~28%, 10%, ~93%, and 62% higher in the LES, RES, LBF, and RBF muscles (p < 0.01) during the transition vs. bending portion, respectively (Table 1). Over time, an increase in activity was seen in the LES, RES, and RBF muscles for all three portions, and in the LBF during the transition portion (Table 2). Across the postures, the RES activity during retraction was the highest (0.68 (0.3)) during the asymmetric postures and was greater than the symmetric postures by ~19% (Table 3).
Considering all three task portions, the benefits of the BSIE for back muscles were minimal (0–1.8%), with no effects on the RES, while the benefits were more prominent in the leg muscles (10–18%), specifically the LBF and RBF (Table 4). Specifically, the muscle demands were greater when the BSIE was worn during the retraction portion. The RES and LES activities were ~4.8% and 3.6% higher, respectively, with the BSIE during the retraction portion (Figure 4). Meanwhile, most benefits were observed in the LBF and RBF muscles, with ~23% and ~17% lower activity during retraction with the BSIE. Variations in the muscle demands across the assistance, time, and posture factors are depicted in Figure 4, Figure 5 and Figure 6 and are described separately in the following sections across the three task portions.

3.1.1. Effect of Assistance during Bending Portion

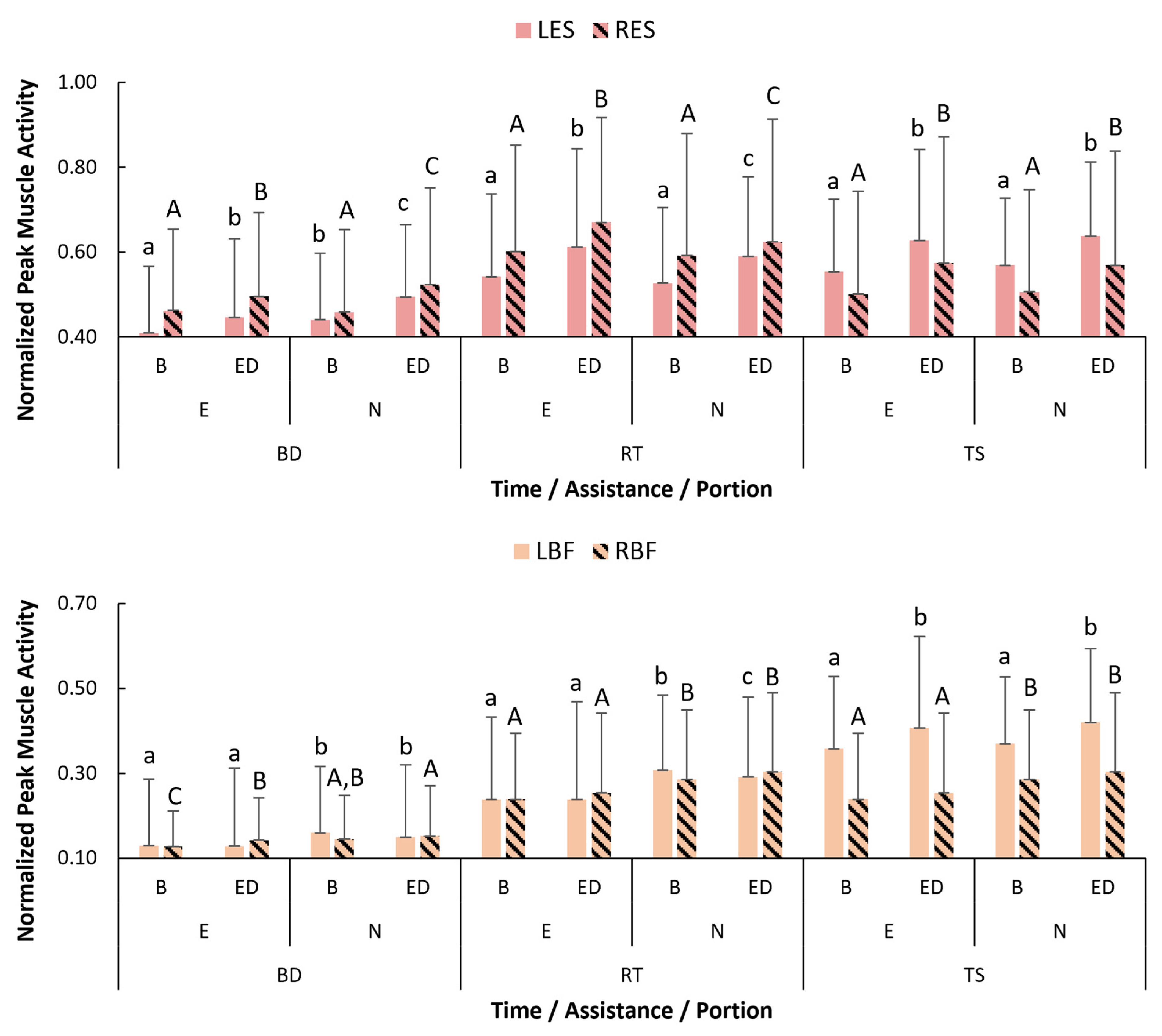
Wearing a BSIE led to 9%, 4%, 22%, and 9% benefits in the LES, RES, LBF, and RBF, respectively, during the bending portion. The BSIE led to 18% lower activity in the asymmetric postures, and the highest activity of 0.53 (0.17) in the LES was seen during the symmetric postures without any assistance. As shown in Figure 5, the RES activity ranged from 0.45 to 0.5 in both postures with/without a BSIE, with minimal differences. When using the BSIE, ~10% (p < 0.01) higher activity was seen in the asymmetric vs. symmetric postures in the RES muscle. Higher LBF (~30%) and RBF (~18–28%) activities were seen during bending in the asymmetric vs. symmetric postures and were higher (5–18%) without assistance. Meanwhile, 8–12% (p < 0.01) higher activity was seen in the LES and RES when repetitive bending was performed at the end vs. beginning, and most benefits of ~7–8% were seen in the LES muscle (Figure 6). Similar activity was seen in the leg muscles across time.

3.1.2. Effect of Assistance during Retraction Portion

Over the retraction task portion, slight benefits were seen in the LES, LBF, and RBF muscles but not in the RES muscle, where the BSIE led to ~5% increased demands (p < 0.01) with a normalized amplitude of 0.64. However, benefits in the leg muscles of ~22% (p < 0.01) were seen in both leg muscles with the BSIE. Looking at the postures, asymmetry decreased the demands in the LES by 20–25% but increased the demands by about the same amount in the RES under both the with-assistance/without-assistance conditions. The highest activity of 0.71 (SD: 0.26) occurred in the RES with the BSIE during the asymmetric postures. During retraction, the activity in the LBF was higher in the asymmetric vs. symmetric posture under the with (8% difference)- and without (13% difference)-assistance conditions (Figure 5). Considering the temporal differences (Figure 6), the use of the BSIE led to 12% and 11% increases in the LES and RES with time, while the increases were ~10% and 5% without the BSIE, respectively (p < 0.01).

3.1.3. Effect of Assistance during Transition Portion

During the transition portion, the benefits of the BSIE were seen only in the RBF, where the activity was ~15% lower (p < 0.01) (Figure 4). Minor benefits of ~5% were seen only during the symmetric postures (p < 0.05) in the LES, LBF, and RBF muscles. For the RES, a ~5% (p < 0.05) increase in demands was seen during the transition in the asymmetric postures. Considering the temporal aspects, an ~11% increase in the LES activity was seen over time without the BSIE and ~15% with the BSIE with a normalized value of ~0.64 (SD: 0.17) when performing the tasks at the end (Figure 5). A similar increase of ~12–13% occurred in the RES and LBF activities, but no effect with time was seen in the RBF activity under both the with-assistance and without-assistance BSIE conditions (Figure 6).

3.2. Trunk Kinematics

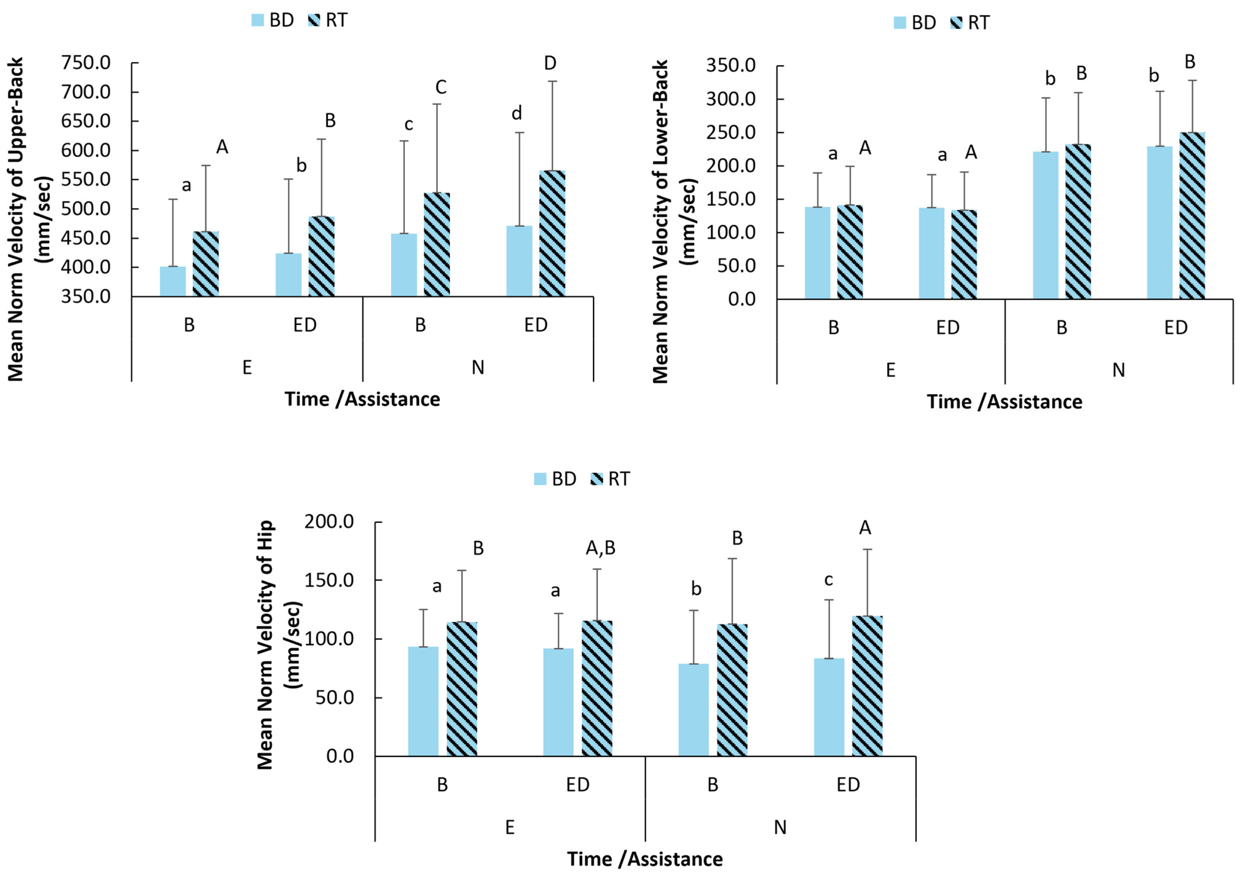
Performing repetitive bending while wearing the BSIE led to reduced upper-back and lower-back mean norm velocities by ~10–15% and ~50–60% during both the bending and retraction portions, respectively (Figure 7). However, the hip velocity was ~13% higher during bending with assistance, and no difference was seen during retraction. Between the postures, asymmetry led to a higher mean norm velocity of the upper-back, lower-back, and hip by ~5–15% (Table 5). With time, the mean velocity of the upper-back showed clear increases of up to ~7% during the bending and retraction, both with and without the use of the BSIE. The highest velocity of 565 mm/s was seen without the BSIE at the end during retraction, while the lowest velocity of 401 mm/s occurred at the beginning of the trials during bending with assistance. While the upper-back speed varied, no difference was seen in the lower-back over time, and the velocities for the hip were almost similar (Figure 8).

3.3. Whole-Body Stability

When wearing a BSIE, the maximum distance during the transition portion was 91.5 (37.6) mm, while the same without a BSIE was 102.7 (39.5), with the BSIE leading to a 12% decrease in the COP distance from the initial position when standing. This distance was higher with the asymmetric postures both with and without BSIE support (Table 6). Both with and without the BSIE, the asymmetric postures increased the maximum COP distance by ~50%.
Meanwhile, the mean COP velocity was ~40% (p < 0.01) lower with assistance vs. without in all three portions of the repetitive bending. The highest mean COP velocity of 1318 mm/s (911) occurred without assistance during the retraction portion, while the lowest value occurred during the transition portion when the BSIE was worn (Figure 9). When the BSIE was worn, no difference was seen in the COP velocity based on the postures, but when the BSIE was not worn, the mean COP velocities in all three task portions were ~15–17% (p < 0.01) higher during the asymmetric vs. symmetric postures. When comparing the differences over time, ~10% (p < 0.01) higher values were seen when tasks were performed at the end vs. at the beginning, and this rate of increase was almost the same with vs. without the BSIE.

4. Discussion

This study considered an in-depth evaluation to assess the efficacy of BSIEs in intermittent trunk flexion tasks involving sustained bending portions by evaluating the changes in the physiological measures during specific portions of the repetitive trunk flexion–extension tasks. Specifically, we segmented each trunk flexion–extension cycle (30 cycles per condition) into three separate portions based on the trunk movement as bending, retraction, and transitioning from bending to retraction. The measures assessed included the muscle demands in the lower-back and legs, the trunk movement, and the whole-body stability during each bending/retraction movement. The novelty of our study lies in the level of depth of our assessment. In our experimental design, we used intermittent trunk flexion–extension tasks with sustained bending and short-duration relaxation breaks (15 s intervals) to fatigue the study participants, as would be the case in industrial task cycles. Prior studies on BSIEs have mostly simulated static-posture maintenance [4,7] and repetitive-lifting tasks [33,34], but the effects during repetitive unloaded trunk flexion–extension tasks have not been thoroughly explored in such depth. While our overall findings indicated that BSIEs may offer minimal (0–1.8%) benefits in the back but greater benefits in the leg region (10–18%) during repetitive bending, our study was able to determine variations across the different spatial portions of the task, as well as over time. The outcomes, as discussed below, may be beneficial to understanding the impacts of assistive devices in real-world scenarios.
The distribution of the muscle demands was assessed based on the dynamic spatial movement during each cycle of bending, transitioning, and retraction. Across these portions, most benefits of the BSIE in the back region (LES: 4%; RES: 9%) occurred during the bending portion, while the device increased the demands during retraction (~5% increased demands (p < 0.01)) in the RES. No effects on the back activity were seen during the transition portions. Although the assistance provided by the device was beneficial during the bending movement, and possibly for stopping the trunk movement at a 45° angle, the added weight of the device may have increased the total weight on the torso and the demands on the back muscles while pulling back the torso to a neutral stance. As opposed to the back, the benefits with the BSIE were seen across all three portions of the task: (a) bending (~9–22%), (b) retraction (~22%), and (c) transition (~2.8–15%). Such benefits may have originated from the design of the evaluated BSIE, for which the structural mechanisms transfer loads from the chest to the front of the thigh region, bypassing the demands in the bicep femoris muscles [8]. In contrast, when not using the BSIE, the bicep femoris muscles are required to hold the weight of the entire upper body. Even though the BSIE was designed primarily for sustained bending tasks, real-world applications of such bending tasks may require the wearers to perform repetitive trunk flexion–extension [15]. In such cases, BSIEs may provide greater benefits in reducing the demands on the legs rather than on the back region.
We considered 45° asymmetric bending towards the left to simulate awkward postures, which are known to increase the physical demands and risk of injury [35]. Asymmetry caused 18% lower activation in the LES but increased activity in the RES (by ~10%), LBF (~30%), and RBF (~18–28%) vs. the symmetric-posture muscles. This was expected, as asymmetry caused higher stretching and contraction in the right back region, increasing the workload on the right musculature. Using the BSIE was slightly beneficial for the LES and led to greater benefits (5–18%) in the leg region. Meanwhile, during transition, no effects were seen in the LES, LBF, or RBF muscles, and the demands ~5% (p < 0.05) increased in the RES in the asymmetric vs. symmetric postures. During retraction, the BSIE caused the highest activity of 0.71 (SD: 0.26) in the RES during asymmetric retraction (21% more than symmetric bending) and increased the activity in the LBF (~8%). The increased activity in the LBF during retraction occurred possibly due to the application of higher forces at the left foot for maintaining balance. Both the switching between bending and retraction, as well as retraction itself, were thus more demanding in the presence of awkward postures.
The effects of muscle fatigue were assessed by comparing the effect of time, as the beginning and end portions were performed at the no-fatigue and medium–high-fatigue levels on the Borg CR-10 RPE scale. The presence of muscle fatigue is known to increase the peak amplitude of the EMG signal, and BSIEs have been known to delay muscle fatigue [36,37]. Increased back muscle activity occurred across all three task portions but increases in all the muscles occurred mostly during the transition portion of the task. This portion involved switching from an ongoing dynamic motion of bending forward to an opposite retraction movement, requiring additional demands to counteract and exceed the inertial forces. The effects of fatigue on the muscular demands were clearly observed from the increased back activity (8–12% (p < 0.01)) between the beginning and end trials during bending, with most of the benefits (~7–8%) seen in the LES muscle originating from the reduced demands on the left back musculature during the asymmetric postures. During retraction, higher fatigue effects occurred with the BSIE (LES: 12% increase with time; RES: 11%) vs. without the BSIE (LES: ~10%; RES: 5%) (p < 0.01). Similar increased demands over time were also seen during the transition portions in the LES, RES, and LBF activities (up to 15%), but no effect with time was seen in the RBF activity under either the with- or without-BSIE conditions. This may be because of the asymmetry conditions, as well as the possibility that the study subjects shifted their weight more on the left side when performing the tasks in both the symmetric and asymmetric postures.
The use of the BSIE led to consistent reductions across the bending and retraction portions in the movement velocities of the markers located on the upper-back, lower-back, and hip regions. Retraction was performed faster than bending, possibly because the bending movement required more effort to control the fall of the torso, while retraction required pulling the entire torso towards a neutral posture, requiring acceleration phases. Reductions in trunk angular velocities have been reported when performing repetitive-lifting tasks after wearing a BSIE [13]. The upper-back velocities were the highest, as this was the region with the most displacement, followed by the lower-back and hip regions, which were the most stable. Interestingly, most reductions (of ~up to 60%) after using assistance occurred in the lower-back region during both the bending and retraction portions. This may have been caused by the structural support provided by the BSIE. On the contrary, the BSIE increased the hip velocity by ~13% during bending with assistance, and no difference was seen during retraction. This may have been the result of the BSIE keeping the trunk and legs straight throughout the bending/retraction cycle, leading to more hip movement. When the subjects were fatigued, they performed faster bending/retraction movements. This was seen from the increase of ~7% in the mean velocity of the upper-back. This movement was the fastest when the BSIE was not worn, while the participants performed the tasks the slowest when using the BSIE and when they were not fatigued. Muscle fatigue in the back and leg regions may have impacted the ability to sustain stable muscle force generation, possibly leading to higher force generation and faster movement.
Similar to previous studies [19,38], we assessed the COP distances and velocities to study the effects on the balance. The findings showed that the BSIE led to a lower mean (~40% (p < 0.01)) COP velocity during all three task portions. The trunk movement was also reflected in the whole-body stability measures, with a higher mean COP velocity occurring during retraction vs. bending. A 12% decrease in the maximum COP distance from the initial position during the transition portion was seen when the tasks were performed with the BSIE. Interestingly, the BSIE did not affect the mean COP during the performance of the asymmetric vs. symmetric postures. However, when the BSIE was not worn, the mean COP velocities in all three task portions were ~15–17% (p < 0.01) higher during the asymmetric vs. symmetric postures. Fatigue is known to impact stability measures [39]. The presence of fatigue equally affected the mean COP velocity when the tasks were performed with and without the BSIE, with a similar rate of increase between the beginning and end conditions. However, the values without the BSIE at the end were almost twice those of when the tasks were performed with BSIE assistance. Thus, contrary to our hypothesis, using the BSIE led to more stable postures during the bending tasks, especially in the presence of asymmetric and fatiguing conditions.
This study utilized a controlled experiment in which the study participants performed repeated cycles of trunk flexion. In addition, fatigued states were attained for all the participants through intermittent trunk flexion tasks involving static standing, bending/retraction, and sustained trunk flexion in symmetric and asymmetric postures. This was performed to understand the effects of using a BSIE on the muscle demands, kinematics, and stability. While we simulated realistic scenarios in a controlled fashion with standard body movements, real-world tasks may include much more variability in body movement. In such cases, we recommend that practitioners thoroughly evaluate the types of body movements, as well as the proportion (considering duration and frequency) of body postures, where a BSIE is designed to be beneficial (sustaining a posture with trunk flexion) across activities within tasks.
While our study has shed light on diverse aspects of the physical demands concerning the spatial and temporal dimensions, it is essential to acknowledge certain limitations inherent in our research. Firstly, our participant group primarily consisted of young adults, and extending the investigation to encompass gender and anthropometric variations would enhance the study’s applicability to a broader demographic. Another critical component is the variability introduced by different exoskeleton designs, ranging from soft to rigid and encompassing passive, active, and hybrid systems [40]. These structural and actuation differences among exoskeletons can significantly impact the observed variations in the physical-demand measures. As the BSIEs were helpful for reducing the leg demands during the repetitive trunk flexion–extension tasks, our future steps may compare the efficacies of BSIEs and their lower-limb counterparts that enable sitting/leaning postures to negate the need for trunk flexion–extension tasks [41]. Future work could delve into field evaluations, focusing on the muscle demands in the trunk musculature, such as the trapezius and oblique muscles, which are especially relevant for tasks involving asymmetric postures. Additionally, lower-body kinematics, stability measures based on the foot contact area derived from marker positions, and a comparative analysis between the demands imposed on wearers of BSIEs across newer and different types of these wearable assistive devices could be explored.

5. Conclusions

This study conducted an in-depth assessment of BSIEs to assess the variations in the measures of the muscle demands in the erector spinae (LES/RES) and bicep femoris (LBF/RBF), the trunk movement, and the stability across the bending, retraction, and transition phases within each cycle of 30 repetitive trunk flexion–extension cycles. In addition, our study emulated realistic conditions by considering intermittent task cycles to fatigue the study participants, as well as asymmetric postures. The overall findings indicated minor benefits in the back region (0–1.8%) but rather substantial advantages in the leg region (10–18%) during repetitive bending. The distribution of the muscle demands across the dynamic spatial movement revealed that although most benefits of the BSIE in the back region occurred during the bending phase, the demands were much higher during the retraction portions. The asymmetric postures led to decreased activation in the LES but increased activity in the RES, LBF, and RBF, aligning with our expectations. After examining the fatigue effects, we found increased back activity (8–12%) during bending and retraction. The BSIE particularly reduced the movement velocities, especially in the lower-back region (~up to 60%). A consistent reduction in the COP velocity (mean ~40%) with the BSIE was also seen across all the task portions, as well as with asymmetry and over time, highlighting the positive impact of using BSIEs on the whole-body stability. Future research could explore the differences across exoskeleton designs and examine effects across diverse genders and demographics, providing a more generalizable understanding of the wearable assistive devices’ implications during repetitive trunk flexion–extension activities.

Author Contributions

Conceptualization, P.M.K. and E.R.; methodology, P.M.K. and E.R.; software, P.M.K.; validation, P.M.K.; formal analysis, P.M.K.; investigation, P.M.K.; resources, E.R.; data curation, P.M.K.; writing—original draft preparation, P.M.K.; writing—review and editing, P.M.K.; visualization, P.M.K.; supervision, E.R.; project administration, P.M.K. All authors have read and agreed to the published version of the manuscript.

Funding

This study did not receive any external funding.

Institutional Review Board Statement

This study was conducted in accordance with the Declaration of Helsinki and was approved by the Institutional Review Board of Rochester Institute of Technology (HSRO #01113021, approved on 1 April 2022).

Informed Consent Statement

Informed consent was obtained from all subjects involved in this study.

Data Availability Statement

The raw data supporting the conclusions of this article will be made available by the corresponding author upon reasonable request.

Conflicts of Interest

The authors have no conflicts of interests to declare.

Appendix A

Table A1. Summary statistics showing p-values for measures of muscle activity, trunk movement, and whole-body stability for main effects of assistance (A), posture (P), and time (T) and their two factor interaction effects of A*P, A*T, and P*T during the task portions of bending (BD). (Note: bold numbers denote statistical significance).
Table A1. Summary statistics showing p-values for measures of muscle activity, trunk movement, and whole-body stability for main effects of assistance (A), posture (P), and time (T) and their two factor interaction effects of A*P, A*T, and P*T during the task portions of bending (BD). (Note: bold numbers denote statistical significance).
MeasureEffectp-ValueMeasureEffectp-Value
Muscle Activity
nPeak_LESA0.000nPeak_RESA0.020
A*P0.000A*P0.000
A*T0.036A*T0.002
P0.000P0.008
P*T0.000P*T0.008
T0.000T0.000
nPeak_LBFA0.000nPeak_RBFA0.000
A*P0.000A*P0.004
A*T0.043A*T0.139
P0.000P0.000
P*T0.000P*T0.000
T0.009T0.000
Trunk MovementWhole-Body Stability
Mean_normVelHIP1A0.000MeanCOPvelA0.000
A*P0.000A*P0.000
A*T0.006A*T0.641
P0.000P0.001
P*T0.084P*T0.753
T0.180T0.000
Mean_normVelLB1A0.000Peak_COPvelA0.000
A*P0.045A*P0.000
A*T0.007A*T0.888
P0.000P0.002
P*T0.618P*T0.161
T0.035T0.000
Mean_normVelUB1A0.000Max_COPDistA0.000
A*P0.465A*P0.000
A*T0.106A*T0.000
P0.000P0.000
P*T0.000P*T0.003
T0.000T0.148
Table A2. Summary statistics showing p-values for measures of muscle activity, trunk movement, and whole-body stability for main effects of assistance (A), posture (P), and time (T) and their two factor interaction effects of A*P, A*T, and P*T during the task portions of transition (TS) between bending and retraction. (Note: bold numbers denote statistical significance).
Table A2. Summary statistics showing p-values for measures of muscle activity, trunk movement, and whole-body stability for main effects of assistance (A), posture (P), and time (T) and their two factor interaction effects of A*P, A*T, and P*T during the task portions of transition (TS) between bending and retraction. (Note: bold numbers denote statistical significance).
MeasureEffectp-ValueMeasureEffectp-Value
Muscle Activity
nPeak_LESA0.005nPeak_RESA0.939
A*P0.000A*P0.000
A*T0.630A*T0.263
P0.000P0.000
P*T0.000P*T0.000
T0.000T0.000
nPeak_LBFA0.000nPeak_RBFA0.000
A*P0.001A*P0.000
A*T0.851A*T0.419
P0.000P0.000
P*T0.000P*T0.000
T0.000T0.000
Trunk MovementWhole-Body Stability
Mean_normVelHIP1A0.000Peak_COPvelA0.000
A*P0.000A*P0.000
A*T0.990A*T0.622
P0.000P0.000
P*T0.001P*T0.487
T0.000T0.000
Mean_normVelLB1A0.000MeanCOPvelA0.000
A*P0.002A*P0.000
A*T0.001A*T0.646
P0.000P0.002
P*T0.000P*T0.742
T0.000T0.000
Mean_normVelUB1A0.061Max_COPDistA0.000
A*P0.000A*P0.000
A*T0.116A*T0.000
P0.001P0.000
P*T0.000P*T0.077
T0.000T0.000
Table A3. Summary statistics showing p-values for measures of muscle activity, trunk movement, and whole-body stability for the main effects of assistance (A), posture (P), and time (T) and their two factor interaction effects of A*P, A*T, and P*T during the task portions of the retraction (RT) task portion. (Note: bold numbers denote statistical significance).
Table A3. Summary statistics showing p-values for measures of muscle activity, trunk movement, and whole-body stability for the main effects of assistance (A), posture (P), and time (T) and their two factor interaction effects of A*P, A*T, and P*T during the task portions of the retraction (RT) task portion. (Note: bold numbers denote statistical significance).
MeasureEffectp-ValueMeasureEffectp-Value
Muscle Activity
nPeak_LESA0.000nPeak_RESA0.000
A*P0.000A*P0.000
A*T0.398A*T0.003
P0.000P0.000
P*T0.021P*T0.074
T0.000T0.000
nPeak_LBFA0.000nPeak_RBFA0.000
A*P0.060A*P0.000
A*T0.037A*T0.419
P0.000P0.000
P*T0.025P*T0.000
T0.033T0.000
Trunk MovementWhole-Body Stability
Mean_normVelHIP1A0.403Peak_COPvelA0.000
A*P0.000A*P0.000
A*T0.038A*T0.898
P0.000P0.008
P*T0.302P*T0.532
T0.003T0.001
Mean_normVelLB1A0.000MeanCOPvelA0.000
A*P0.000A*P0.000
A*T0.000A*T0.608
P0.000P0.003
P*T0.026P*T0.686
T0.002T0.000
Mean_normVelUB1A0.000Max_COPDistA0.000
A*P0.164A*P0.002
A*T0.046A*T0.000
P0.001P0.000
P*T0.039P*T0.000
T0.000T0.858

References

  1. Bureau of Labor Statistics. Employer Reported Workplace Injuries and Illnesses; Bureau of Labor Statistics: Washington, DC, USA, 2023. [Google Scholar]
  2. Bureau of Labor Statistics. Projections Overview and Highlights, 2020–2030; Bureau of Labor Statistics: Washington, DC, USA, 2021. [Google Scholar]
  3. Bureau of Labor Statistics. 2016 Survey of Occupational Injuries & Illnesses. Available online: https://www.bls.gov/iif/nonfatal-injuries-and-illnesses-tables/soii-summary-historical/soii-charts-2016.pdf (accessed on 26 January 2024).
  4. Bosch, T.; van Eck, J.; Knitel, K.; de Looze, M. The Effects of a Passive Exoskeleton on Muscle Activity, Discomfort and Endurance Time in Forward Bending Work. Appl. Ergon. 2016, 54, 212–217. [Google Scholar] [CrossRef]
  5. Graham, R.B.; Agnew, M.J.; Stevenson, J.M. Effectiveness of an On-Body Lifting Aid at Reducing Low Back Physical Demands during an Automotive Assembly Task: Assessment of EMG Response and User Acceptability. Appl. Ergon. 2009, 40, 936–942. [Google Scholar] [CrossRef]
  6. Yap, H.K.; Ng, H.Y.; Yeow, C.-H. High-Force Soft Printable Pneumatics for Soft Robotic Applications. Soft Robot. 2016, 3, 144–158. [Google Scholar] [CrossRef]
  7. Kang, S.H.; Mirka, G.A. Effect of Trunk Flexion Angle and Time on Lumbar and Abdominal Muscle Activity While Wearing a Passive Back-Support Exosuit Device during Simple Posture-Maintenance Tasks. Ergonomics 2023, 66, 2182–2192. [Google Scholar] [CrossRef]
  8. Kazerooni, H.; Tung, W.; Pillai, M. Evaluation of Trunk-Supporting Exoskeleton. Proc. Hum. Factors Ergon. Soc. Annu. Meet. 2019, 63, 1080–1083. [Google Scholar] [CrossRef]
  9. Kermavnar, T.; de Vries, A.W.; de Looze, M.P.; O’Sullivan, L.W. Effects of Industrial Back-Support Exoskeletons on Body Loading and User Experience: An Updated Systematic Review. Ergonomics 2021, 64, 685–711. [Google Scholar] [CrossRef]
  10. Poliero, T.; Sposito, M.; Toxiri, S.; Di Natali, C.; Iurato, M.; Sanguineti, V.; Caldwell, D.G.; Ortiz, J. Versatile and Non-Versatile Occupational Back-Support Exoskeletons: A Comparison in Laboratory and Field Studies. Wearable Technol. 2021, 2, e12. [Google Scholar] [CrossRef]
  11. Baltrusch, S.J.; van Dieën, J.H.; Bruijn, S.M.; Koopman, A.S.; van Bennekom, C.A.M.; Houdijk, H. The Effect of a Passive Trunk Exoskeleton on Metabolic Costs during Lifting and Walking. Ergonomics 2019, 62, 903–916. [Google Scholar] [CrossRef] [PubMed]
  12. Schmalz, T.; Colienne, A.; Bywater, E.; Fritzsche, L.; Gärtner, C.; Bellmann, M.; Reimer, S.; Ernst, M. A Passive Back-Support Exoskeleton for Manual Materials Handling: Reduction of Low Back Loading and Metabolic Effort during Repetitive Lifting. IISE Trans. Occup. Ergon. Hum. Factors 2022, 10, 7–20. [Google Scholar] [CrossRef]
  13. Koopman, A.S.; Toxiri, S.; Power, V.; Kingma, I.; van Dieën, J.H.; Ortiz, J.; de Looze, M.P. The Effect of Control Strategies for an Active Back-Support Exoskeleton on Spine Loading and Kinematics during Lifting. J. Biomech. 2019, 91, 14–22. [Google Scholar] [CrossRef]
  14. Abdoli-E, M.; Stevenson, J.M. The Effect of On-Body Lift Assistive Device on the Lumbar 3D Dynamic Moments and EMG during Asymmetric Freestyle Lifting. Clin. Biomech. 2008, 23, 372–380. [Google Scholar] [CrossRef] [PubMed]
  15. Kuber, P.M.; Abdollahi, M.; Alemi, M.M.; Rashedi, E. A Systematic Review on Evaluation Strategies for Field Assessment of Upper-Body Industrial Exoskeletons: Current Practices and Future Trends. Ann. Biomed. Eng. 2022, 50, 1203–1231. [Google Scholar] [CrossRef]
  16. Butkeviçiüte, E.; Erinš, M.; Bikulçiene, L. An Adaptable Human Fatigue Evaluation System. Procedia Comput. Sci. 2021, 192, 1274–1284. [Google Scholar] [CrossRef]
  17. Williams, N. The Borg Rating of Perceived Exertion (RPE) Scale. Occup. Med. 2017, 67, 404–405. [Google Scholar] [CrossRef]
  18. Stastny, P.; Gołaś, A.; Blazek, D.; Maszczyk, A.; Wilk, M.; Pietraszewski, P.; Petr, M.; Uhlir, P.; Zajac, A. A Systematic Review of Surface Electromyography Analyses of the Bench Press Movement Task. PLoS ONE 2017, 12, e0171632. [Google Scholar] [CrossRef] [PubMed]
  19. Park, J.H.; Kim, S.; Nussbaum, M.A.; Srinivasan, D. Effects of Two Passive Back-Support Exoskeletons on Postural Balance during Quiet Stance and Functional Limits of Stability. J. Electromyogr. Kinesiol. 2021, 57, 102516. [Google Scholar] [CrossRef] [PubMed]
  20. Dolan, P.; Adams, M.A. Repetitive Lifting Tasks Fatigue the Back Muscles and Increase the Bending Moment Acting on the Lumbar Spine. J. Biomech. 1998, 31, 713–721. [Google Scholar] [CrossRef] [PubMed]
  21. Jeon, S.; Lee, S.-M.; Kim, J. Therapeutic Effects of Reaching with Forward Bending of Trunk on Postural Stability, Dynamic Balance, and Gait in Individuals with Chronic Hemiparetic Stroke. J. Phys. Ther. Sci. 2015, 27, 2447–2451. [Google Scholar] [CrossRef] [PubMed]
  22. Picchiotti, M.T.; Weston, E.B.; Knapik, G.G.; Dufour, J.S.; Marras, W.S. Impact of Two Postural Assist Exoskeletons on Biomechanical Loading of the Lumbar Spine. Appl. Ergon. 2019, 75, 1–7. [Google Scholar] [CrossRef]
  23. Madinei, S.; Alemi, M.M.; Kim, S.; Srinivasan, D.; Nussbaum, M.A. Biomechanical Evaluation of Passive Back-Support Exoskeletons in a Precision Manual Assembly Task: “Expected” Effects on Trunk Muscle Activity, Perceived Exertion, and Task Performance. Hum. Factors 2020, 62, 441–457. [Google Scholar] [CrossRef]
  24. Kuber, P.M.; Rashedi, E. Product Ergonomics in Industrial Exoskeletons: Potential Enhancements for Workforce Safety and Efficiency. Theor. Issues Ergon. Sci. 2020, 22, 729–752. [Google Scholar] [CrossRef]
  25. Kuber, P.M.; Kulkarni, A.R.; Rashedi, E. Machine Learning-Based Fatigue Level Prediction for Exoskeleton-Assisted Trunk Flexion Tasks Using Wearable Sensors. Appl. Sci. 2024, 14, 4563. [Google Scholar] [CrossRef]
  26. Kang, S.H.; Mirka, G.A. Effects of a Passive Back-Support Exosuit on Erector Spinae and Abdominal Muscle Activity During Short-Duration, Asymmetric Trunk Posture Maintenance Tasks. Hum. Factors J. Hum. Factors Ergon. Soc. 2024, 66, 1830. [Google Scholar] [CrossRef] [PubMed]
  27. SENIAM Project (Surface ElectroMyoGraphy for the Non-Invasive Assessment of Muscles). Available online: http://www.seniam.org/ (accessed on 3 October 2023).
  28. VICON Nexus Documentation. Available online: https://docs.vicon.com/display/Nexus212/Nexus+Documentation (accessed on 3 October 2023).
  29. Rashedi, E.; Kim, S.; Nussbaum, M.A.; Agnew, M.J. Ergonomic Evaluation of a Wearable Assistive Device for Overhead Work. Ergonomics 2014, 57, 1864–1874. [Google Scholar] [CrossRef] [PubMed]
  30. Hefferle, M.; Snell, M.; Kluth, K. Influence of Two Industrial Overhead Exoskeletons on Perceived Strain—A Field Study in the Automotive Industry; Springer International Publishing: Berlin/Heidelberg, Germany, 2021; Volume 1210 AISC, ISBN 9783030517571. [Google Scholar]
  31. Kuber, P.M.; Godbole, H.; Rashedi, E. Detecting Fatigue during Exoskeleton-Assisted Trunk Flexion Tasks: A Machine Learning Approach. Appl. Sci. 2024, 14, 3563. [Google Scholar] [CrossRef]
  32. Chowdhury, R.H.; Reaz, M.B.I.; Bin Mohd Ali, M.A.; Bakar, A.A.A.; Chellappan, K.; Chang, T.G. Surface Electromyography Signal Processing and Classification Techniques. Sensors 2013, 13, 12431–12466. [Google Scholar] [CrossRef]
  33. Luger, T.; Bär, M.; Seibt, R.; Rimmele, P.; Rieger, M.A.; Steinhilber, B. A Passive Back Exoskeleton Supporting Symmetric and Asymmetric Lifting in Stoop and Squat Posture Reduces Trunk and Hip Extensor Muscle Activity and Adjusts Body Posture—A Laboratory Study. Appl. Ergon. 2021, 97, 103530. [Google Scholar] [CrossRef]
  34. Baltrusch, S.J.; Koopman, J.H.V.D.A.S.; Rodriguez, M.B.N.C.; Babič, G.J. SPEXOR Passive Spinal Exoskeleton Decreases Metabolic Cost during Symmetric Repetitive Lifting. Eur. J. Appl. Physiol. 2020, 120, 401–402. [Google Scholar] [CrossRef] [PubMed]
  35. Goršič, M.; Song, Y.; Dai, B.; Novak, D. Evaluation of the HeroWear Apex Back-Assist Exosuit during Multiple Brief Tasks. J. Biomech. 2021, 126, 110620. [Google Scholar] [CrossRef]
  36. De Bock, S.; Ampe, T.; Rossini, M.; Tassignon, B.; Lefeber, D.; Rodriguez-Guerrero, C.; Roelands, B.; Geeroms, J.; Meeusen, R.; De Pauw, K. Passive Shoulder Exoskeleton Support Partially Mitigates Fatigue-Induced Effects in Overhead Work. Appl. Ergon. 2023, 106, 103903. [Google Scholar] [CrossRef]
  37. Poon, N.; van Engelhoven, L.; Kazerooni, H.; Harris, C. Evaluation of a Trunk Supporting Exoskeleton for Reducing Muscle Fatigue. Proc. Hum. Factors Ergon. Soc. Annu. Meet. 2019, 63, 980–983. [Google Scholar] [CrossRef]
  38. Luger, T.; Seibt, R.; Cobb, T.J.; Rieger, M.A.; Steinhilber, B. Influence of a Passive Lower-Limb Exoskeleton during Simulated Industrial Work Tasks on Physical Load, Upper Body Posture, Postural Control and Discomfort. Appl. Ergon. 2019, 80, 152–160. [Google Scholar] [CrossRef]
  39. Garcia, M.G.; Läubli, T.; Martin, B.J. Long-Term Muscle Fatigue after Standing Work. Hum. Factors 2015, 57, 1162–1173. [Google Scholar] [CrossRef]
  40. De Bock, S.; Ghillebert, J.; Govaerts, R.; Tassignon, B.; Rodriguez-Guerrero, C.; Crea, S.; Veneman, J.; Geeroms, J.; Meeusen, R.; De Pauw, K. Benchmarking Occupational Exoskeletons: An Evidence Mapping Systematic Review. Appl. Ergon. 2022, 98, 103582. [Google Scholar] [CrossRef]
  41. Kuber, P.M.; Alemi, M.M.; Rashedi, E. A Systematic Review on Lower—Limb Industrial Exoskeletons: Evaluation Methods, Evidence, and Future Directions. Ann. Biomed. Eng. 2023, 51, 1665–1682. [Google Scholar] [CrossRef]
Figure 1. A schematic showing the overall study sessions and their respective durations.
Figure 1. A schematic showing the overall study sessions and their respective durations.
Applsci 14 05564 g001
Figure 2. Schematic depicting (top) the experimental protocol with tasks and sub-tasks arranged in modules, and (bottom) experimental setup for performing trunk flexion tasks.
Figure 2. Schematic depicting (top) the experimental protocol with tasks and sub-tasks arranged in modules, and (bottom) experimental setup for performing trunk flexion tasks.
Applsci 14 05564 g002
Figure 3. Schematic showing segmentation of each bending and retraction cycle from the upper-back marker during 30 cycles of a repetitive trunk flexion–extension task based on type of spatial activity categorized as bending, retraction, or transition movement (Adapted from [31]).
Figure 3. Schematic showing segmentation of each bending and retraction cycle from the upper-back marker during 30 cycles of a repetitive trunk flexion–extension task based on type of spatial activity categorized as bending, retraction, or transition movement (Adapted from [31]).
Applsci 14 05564 g003
Figure 4. Graph showing muscle demands in left/right erector spinae (LES/RES) and left/right bicep femoris muscles compared between without assistance (N) and with assistance (E) and categorized according to task portion as bending (BD), retraction (RT), and transition (TS) (Note: lack of statistical significance between E and N conditions is shown by “NS”).
Figure 4. Graph showing muscle demands in left/right erector spinae (LES/RES) and left/right bicep femoris muscles compared between without assistance (N) and with assistance (E) and categorized according to task portion as bending (BD), retraction (RT), and transition (TS) (Note: lack of statistical significance between E and N conditions is shown by “NS”).
Applsci 14 05564 g004
Figure 5. Muscle demands in left/right erector spinae (LES/RES) and left/right bicep femoris muscles compared between without assistance (N) and with assistance (E) across asymmetric (AS) and symmetric (S) postures and categorized according to task portion as bending (BD), retraction (RT), and transition (TS) (Note: dissimilar letters/symbols within the same task portion denote statistical significance).
Figure 5. Muscle demands in left/right erector spinae (LES/RES) and left/right bicep femoris muscles compared between without assistance (N) and with assistance (E) across asymmetric (AS) and symmetric (S) postures and categorized according to task portion as bending (BD), retraction (RT), and transition (TS) (Note: dissimilar letters/symbols within the same task portion denote statistical significance).
Applsci 14 05564 g005
Figure 6. Muscle demands in left/right erector spinae (LES/RES) and left/right bicep femoris muscles compared between without assistance (N) and with assistance (E) across time of experiment as beginning (B) and end (ED) and categorized according to task portion as bending (BD), retraction (RT), and transition (TS) (Note: dissimilar letters/symbols within the same task portion denote statistical significance).
Figure 6. Muscle demands in left/right erector spinae (LES/RES) and left/right bicep femoris muscles compared between without assistance (N) and with assistance (E) across time of experiment as beginning (B) and end (ED) and categorized according to task portion as bending (BD), retraction (RT), and transition (TS) (Note: dissimilar letters/symbols within the same task portion denote statistical significance).
Applsci 14 05564 g006
Figure 7. Comparison of movement of upper-back, lower-back, and hip regions between without assistance (N) and with assistance (E), categorized according to task portion as bending (BD), retraction (RT), and transition (TS) (Note: dissimilar letters/symbols within the same task portion denote statistical significance).
Figure 7. Comparison of movement of upper-back, lower-back, and hip regions between without assistance (N) and with assistance (E), categorized according to task portion as bending (BD), retraction (RT), and transition (TS) (Note: dissimilar letters/symbols within the same task portion denote statistical significance).
Applsci 14 05564 g007
Figure 8. Comparison of movement of upper-back, lower-back, and hip regions between without assistance (N) and with assistance (E) across time as beginning (B) and end (ED) and categorized according to task portion as bending (BD), retraction (RT), and transition (TS) (Note: dissimilar letters/symbols within the same task portion denote statistical significance).
Figure 8. Comparison of movement of upper-back, lower-back, and hip regions between without assistance (N) and with assistance (E) across time as beginning (B) and end (ED) and categorized according to task portion as bending (BD), retraction (RT), and transition (TS) (Note: dissimilar letters/symbols within the same task portion denote statistical significance).
Applsci 14 05564 g008
Figure 9. Variations in mean velocity of Center of Pressure (COP) between without assistance (N) and with assistance (E) across time as beginning (B) and end (ED) and asymmetric (AS) and symmetric (S) postures, categorized according to the task portion as bending (BD), retraction (RT), and transition (TS) (Note: dissimilar letters/symbols within the same task portion denote statistical significance).
Figure 9. Variations in mean velocity of Center of Pressure (COP) between without assistance (N) and with assistance (E) across time as beginning (B) and end (ED) and asymmetric (AS) and symmetric (S) postures, categorized according to the task portion as bending (BD), retraction (RT), and transition (TS) (Note: dissimilar letters/symbols within the same task portion denote statistical significance).
Applsci 14 05564 g009
Table 1. Overall variations in muscle demands across the bending (BD), retraction (RT), and transition (TS) portions of the repetitive-bending task.
Table 1. Overall variations in muscle demands across the bending (BD), retraction (RT), and transition (TS) portions of the repetitive-bending task.
LESRESLBFRBF
PortionMeanSDMeanSDMeanSDMeanSD
BD0.450.170.480.210.140.110.140.10
RT0.570.200.620.270.270.180.270.18
TS0.600.180.540.270.390.180.270.18
Table 2. Overall variations in muscle demands across the bending (BD), retraction (RT), and transition (TS) portions across time as the beginning (B) and end (ED) of the repetitive-bending task.
Table 2. Overall variations in muscle demands across the bending (BD), retraction (RT), and transition (TS) portions across time as the beginning (B) and end (ED) of the repetitive-bending task.
LESRESLBFRBF
PortionTimeMeanSDMeanSDMeanSDMeanSD
BDB0.420.160.460.190.140.120.140.09
ED0.470.180.510.210.140.110.150.11
RTB0.530.190.600.270.270.190.260.16
ED0.600.210.650.270.270.180.280.19
TSB0.560.160.500.240.360.160.260.16
ED0.630.200.570.280.410.190.280.19
Table 3. Overall variations in muscle demands across the bending (BD), retraction (RT), and transition (TS) portions across asymmetric (AS) and symmetric (S) postures of the repetitive-bending task.
Table 3. Overall variations in muscle demands across the bending (BD), retraction (RT), and transition (TS) portions across asymmetric (AS) and symmetric (S) postures of the repetitive-bending task.
LESRESLBFRBF
PortionPostureMeanSDMeanSDMeanSDMeanSD
BDAS0.400.170.490.210.160.130.160.12
S0.500.160.480.200.120.090.130.08
RTAS0.490.180.680.300.280.200.260.18
S0.650.190.560.230.250.170.280.17
TSAS0.520.160.470.240.350.170.260.18
S0.670.170.600.270.430.180.280.17
Table 4. Muscle demands with (E)/without (N) assistance from BSIE, averaged over bending, retraction, and transition portions.
Table 4. Muscle demands with (E)/without (N) assistance from BSIE, averaged over bending, retraction, and transition portions.
LESRESLBFRBF
MeanSDMeanSDMeanSDMeanSD
E0.530.210.550.250.250.180.210.16
N0.540.180.550.260.280.200.250.17
Table 5. Mean norm of velocity in the upper-back, lower-back, and hip regions with (E)/without (N) assistance across postures with asymmetry (AS) and symmetry (S) during the transition (TS) portion of the repetitive-bending task.
Table 5. Mean norm of velocity in the upper-back, lower-back, and hip regions with (E)/without (N) assistance across postures with asymmetry (AS) and symmetry (S) during the transition (TS) portion of the repetitive-bending task.
UBLBHip
PortionAssistancePostureMeanSDMeanSDMeanSD
BDEAS421.2119.8147.551.799.431.0
S404.1123.4127.646.485.329.5
NAS470.8155.7238.378.381.343.1
S457.9163.5211.883.380.952.2
RTEAS476.8114.5136.257.7129.547.9
S471.4132.8138.557.8100.334.6
NAS553.4152.1254.574.5121.057.8
S539.8155.3227.379.7110.955.1
TSEAS78.518.437.410.528.28.1
S78.623.635.09.822.56.8
NAS79.517.547.911.123.17.5
S75.216.243.210.320.15.9
Table 6. Maximum distance with (E)/without (N) assistance across asymmetric (AS) and symmetric (S) postures from BSIE during the transition (TS) portion of the repetitive-bending task.
Table 6. Maximum distance with (E)/without (N) assistance across asymmetric (AS) and symmetric (S) postures from BSIE during the transition (TS) portion of the repetitive-bending task.
AssistancePostureMeanSD
EAS114.630.1
S68.229.1
NAS129.832.8
S75.624.1
Disclaimer/Publisher’s Note: The statements, opinions and data contained in all publications are solely those of the individual author(s) and contributor(s) and not of MDPI and/or the editor(s). MDPI and/or the editor(s) disclaim responsibility for any injury to people or property resulting from any ideas, methods, instructions or products referred to in the content.

Share and Cite

MDPI and ACS Style

Kuber, P.M.; Rashedi, E. Investigating Spatiotemporal Effects of Back-Support Exoskeletons Using Unloaded Cyclic Trunk Flexion–Extension Task Paradigm. Appl. Sci. 2024, 14, 5564. https://doi.org/10.3390/app14135564

AMA Style

Kuber PM, Rashedi E. Investigating Spatiotemporal Effects of Back-Support Exoskeletons Using Unloaded Cyclic Trunk Flexion–Extension Task Paradigm. Applied Sciences. 2024; 14(13):5564. https://doi.org/10.3390/app14135564

Chicago/Turabian Style

Kuber, Pranav Madhav, and Ehsan Rashedi. 2024. "Investigating Spatiotemporal Effects of Back-Support Exoskeletons Using Unloaded Cyclic Trunk Flexion–Extension Task Paradigm" Applied Sciences 14, no. 13: 5564. https://doi.org/10.3390/app14135564

APA Style

Kuber, P. M., & Rashedi, E. (2024). Investigating Spatiotemporal Effects of Back-Support Exoskeletons Using Unloaded Cyclic Trunk Flexion–Extension Task Paradigm. Applied Sciences, 14(13), 5564. https://doi.org/10.3390/app14135564

Note that from the first issue of 2016, this journal uses article numbers instead of page numbers. See further details here.

Article Metrics

Back to TopTop