You are currently viewing a new version of our website. To view the old version click .
Applied Sciences
  • Article
  • Open Access

25 June 2024

A Wear Debris Signal Processing Method Based on Inductive Monitoring for Aero-Engine

,
,
and
1
College of Civil Aviation, Nanjing University of Aeronautics and Astronautics, Nanjing 211106, China
2
School of Future Technology, Xi’an Jiaotong University, Xi’an 710049, China
3
Airworthiness Certification Center, Civil Aviation Administration of China, Beijing 100102, China
*
Author to whom correspondence should be addressed.
This article belongs to the Topic Applications of Non-destructive Testing Technologies in Materials or Engineering

Abstract

In view of the high false alarm rate in the oil debris monitoring results of the triple-coil inductive sensor in the transmission lubrication system of the aero-engine, a new debris signal processing method based on inductive monitoring is proposed. A time domain analysis is carried out first, and the signal energy is the most effective index to distinguish the debris signature from the noise signature. On this basis, signal energy values within a fixed-length sliding window is processed through the histogram. Finally, a threshold is set for the detection of the debris signature, which is based on the distribution of data within the histogram. This method is applied to the experimental data from a test run of an aero-engine, and the results show that all the debris is detected even if part of it appears during a change in the working condition of the aero-engine. Therefore, this method shows satisfactory results in debris detection accuracy and especially the inhibition of false alarms. It is also applicable for real-time monitoring due to the similarity between the movement of the sliding window and real-time data acquisition. In addition, it is applicable for various sensing principles, including but not limited to the inductive sensor signal, since the detection performance is only related to the signal itself.

1. Introduction

Rotating machinery has become essential in the modern industry, and its health is a constant desire, which is of significance in improving mechanical system reliability, along with avoiding costly maintenance and unnecessary shutdown. Therefore, the implementation of condition monitoring has become vitally important [1,2,3]. Condition monitoring technologies utilized in rotating machinery have so far mainly included vibration monitoring, thermography, and oil analysis [4,5,6,7]. Vibration monitoring can listen for the “noises” caused by the fault in the mechanical structure consisting of the rolling surface. However, the vibration sensors are usually mounted far away from the fault source, and the fault signal propagation process is easily affected. Therefore, the vibration signal is usually weak and difficult to identify. Thermography can monitor the health status by the system temperature, but due to the hysteresis and attenuation of temperature changes, thermography is often insensitive. Therefore, both vibration monitoring and thermography are insensitive to the abnormal changes at the early stage of failure. Most rotating machinery has a lubrication system for mitigating friction and wear on contacting surfaces. The debris carried by the lubricating oil is the direct product of the wear on contacting surfaces, which directly reports the wear condition of oil-wetted components [8]. Due to the sensitivity to the abnormal changes at the early stage of failure, wear debris analysis is fast becoming the most powerful oil analysis strategy for assessing a machine’s condition [9,10]. Moreover, due to the flow of lubricating oil throughout the system, lubricant condition monitoring enables monitoring of all oil-wetted elements at one certain location, which is an advantage not available in other technologies. Therefore, online oil debris monitoring for rotating machinery has always been a focus of research [8].
In-line/On-line oil debris sensors, which monitor in the main loop and bypass, respectively, acquire signals related to the health of rotating machinery in real-time and are continuously being extensively sought [11]. Among them, the in-line full-flow inductive wear debris sensor is a development for the condition monitoring of oil-wetted machinery [12]. Inductive sensors detect wear debris through the disruption to the magnetic field caused by the passage of the wear debris, and its signal processing has always been one of the important research directions [12]. Envelope-demodulation and phase-sensitive detection are two basic methods for inductive monitoring of a signal. In addition, M Liang et al. proposed several signal processing methods based on integral enhanced empirical mode decomposition and correlated reconstruction, adaptive subband filtering, wavelet analysis, verified by the simulated and experimental signal [13,14,15]. However, the signal processing method in engineering applications for identifying the debris signatures is still threshold-based, whose false alarm is the major problem. Therefore, a signal processing method that can reduce the false alarm rate and is applicable for real-time monitoring is being extensively sought. Inductive sensors have already been widely applied to the oil debris monitoring in an aero-engine, wind turbine, etc. In recent years, the electromagnetic induction imaging of metallic objects based on the inductive sensors are well developed, mainly applied in industrial high conductive flow imaging, which is a major trend of the development of inductive sensors [16,17,18].

2. Inductive Wear Debris Sensor

The most representative inductive sensor is MetalSCAN from Gastops Ltd., which is applied to the aero-engine and wind turbine successfully, whose schematic diagram is illustrated as Figure 1 [19,20]. Due to the structural characteristics, this type of sensor is named as the inverse dual-excitation three-coil differential inductance sensor [6,21]. It consists of two field coils and a central sensing coil. The two field coils are supplied with a high frequency AC voltage and induce the opposite magnetic fields, which are balanced at the sensing coil. If a ferromagnetic (non-ferromagnetic) debris passes through the sensor, the magnetic field on its side will be stronger (weaker) than that of the other side, the reverse magnetic fields will not be balanced, and as a result, a characteristic signature will be output. The amplitude and phase reflect the debris size and ferromagnetic properties, respectively.
Figure 1. Schematic diagram of the triple-coils inductive sensor.
As Figure 1 shows, two field coils form part of resonant circuit and are supplied with a high frequency AC voltage that induces the opposite magnetic fields, which are balanced at the midpoint between the coils, that is, the sensing coil. The resonant circuit enables significantly greater sensitivity to a passing metallic particle. The passage of the metallic particle causes a characteristic signature, whose amplitude and phase are utilized to obtain the information of the passed particle [8,12].
In this paper, a domestic triple-coils inductive sensor is utilized, as illustrated in Figure 2. The raw monitoring signal is acquired by the domestic inductive monitoring system in the test runs of an aero-engine of a certain type. However, the amount of debris detected by the sensor is more than the actual amount of debris, which means a false alarm. Therefore, a new signal processing method is proposed to reduce the false alarm rate. The raw monitoring signal in a test is illustrated in Figure 3, of which the sample rate is 24.5 kHz.
Figure 2. (a) Triple-coil inductive sensor and (b) its signal-conditioning box.
Figure 3. The demodulated signal in a test.

3. Time Domain Analysis

The overall process of this method is illustrated in Figure 4, including time domain analysis, histogram in the sliding window, and debris information storage.
Figure 4. The overall process of debris signature detection method.
In order to enhance the difference between debris signature and noise signature, time domain analysis is carried out firstly. A time interval is set firstly to separate the raw monitoring signal into a number of bins, then an index can be calculated by the data in each bin, so that the raw monitoring signal is converted to the index value signal, in which the difference between debris signature and noise signature has been enhanced. The time interval is equal to the time span of the debris characteristic signature, which is related to the axial length of the sensitive space of the inductive sensor and the velocity of the oil flow and can be expressed as Equation (1).
t c = L s v
where t c denotes the time span of characteristic signature, L s denotes the axial length of the sensitive space of the inductive sensor, and v denotes the velocity of the oil flow. For the signal illustrated in Figure 3, the time interval is solved to 0.004 s.
In order to compare the enhancement capability of the difference between the debris signature and noise signature, five typical time domain indices are selected: (i) energy; (ii) root mean square (RMS); (iii) standard deviation; (iv) kurtosis; and (v) peak value. The indices mentioned above describe different signal properties from different aspects, whose definition are given below. Where x i represents the discrete signal, n is the total data number of the discrete signal, I 1 to I 5 denote the time domain indices (i) to (v), correspondingly.
I 1 = i = 1 n x i 2
I 2 = 1 n i = 1 n x i 2
I 3 = 1 n 1 i = 1 n x i x ¯ 2
I 4 = 1 n i = 1 n x i x ¯ 4 1 n i = 1 n x i x ¯ 2 2
I 5 = max ( x i )
The results of the five indices are illustrated in Figure 5. Conclusions can be drawn from the comparison of each subplot in Figure 5 with Figure 3: (i) kurtosis cannot enhance the difference, even debris signatures are lost in the background; (ii) energy is the most effective index among these indices, the debris signature is more outstanding from the background, and the background level is low and stable, not affected by aero-engine’s working conditions.
Figure 5. Results of different time domain indices: (a) energy, (b) RMS, (c) standard deviation, (d) kurtosis, and (e) peak value.
To verify the impact of the time interval on time domain analysis, set t 1 = 10 · t c = 0.04 s and t 2 = 0.1 · t c = 0.0004 s , the time domain index still has energy. The comparison is illustrated in Figure 6 and Figure 7. Conclusions can be drawn that there are disadvantages when the time interval is too large or too small. If the time interval is excessively large, the difference between debris signature and noise signature will be reduced, and the background can be affected by the working conditions. If the time interval is excessively small, a complete debris signature may be split into several parts, which introduces unnecessary troubles in debris signature detection. Therefore, it is reasonable to set the time interval as the time span of the debris characteristic signature.
Figure 6. Results of excessively large time interval: (a) T = 0.04 s and (b) T = 0.004 s.
Figure 7. Results of excessively small time interval: (a) T = 0.0004 s and (b) T = 0.004 s.

4. Debris Detection Based on Histogram in the Sliding Window

The main reason for a false alarm is that the amplitude of the noise signature exceeds the threshold. Thus, the noise signature is mistaken for the debris signature. Here, there exists an important issue, that is, the determination of the threshold. Take the signal illustrated in Figure 3 as an example, there occurs a change in working conditions, which is a challenge to the algorithm for debris detection in real-time monitoring. The signal amplitude may increase due to the changes in working condition even if there is no debris passed through the inductive sensor. For monitoring algorithms based on absolute thresholds, it is likely to be mistaken for debris, which results in a high false alarm rate. In addition, the sensor system can only acquire the data up to the current time during real-time monitoring. In other words, the complete data can not be available until the test is over, which is another problem for monitoring algorithms based on absolute thresholds.
Regarding the issues above, a new monitoring method for debris detection is proposed. Based on the results in the time domain analysis, a sliding window is added to the energy value signal, and the debris signature detection is executed by the data distribution in the histogram.
The movement of sliding window is illustrated in Figure 8. The fixed-length window iterates forward by one energy value in each round, until the entire energy value signal is traversed. For the data falling into the sliding window, a histogram with a fixed number of bins is performed, whose upper and lower boundary are the maximum and minimum value of the data in this sliding window.
Figure 8. Schematic diagram of the movement of sliding window.
The main parameters of this section are the width of sliding window and the number of bins of histogram. Width of sliding window is equal to the number of energy values in the window. Due to the histogram and statistical requirements, the width of sliding window cannot be small. However, it cannot be too large, since this method detects debris signature by iterative local identification. The number of bins is related to the capability of debris detection. After verification, the width of the sliding window is set to 80 and the number of bins is set to 4, which are suitable for general application.
The data distribution of the typical debris signature and noise signature are illustrated in Figure 9. For the debris signature, the histogram shows an unusual distribution, only a few data fall into the highest bin, while most of the data are concentrated into the lowest bin, and there are several blank bins in the middle. In sharp contrast to the debris signature, the histogram of the noise signature is more even. The reason is that the energy value is extremely high when the debris signature falls into the sliding window, and the upper boundary is the maximum value of the data in this sliding window. Therefore, the upper boundary can be extremely high when the debris signature is included in the sliding window, which results in the concentration of the data being in the lowest bin and the blank in the middle bins.
Figure 9. Typical histograms of debris signature and noise signature: (a) signal energy values of debris signature, (b) histogram of debris signature, (c) signal energy values of noise signature, and (d) histogram of noise signature.
In order to evaluate the concentration of the data quantitatively, the threshold is set as the percentage of data falling into the lowest bin. Specifically, the threshold is set to 95%. The detection results of this method and the actual results provided by the suppliers are illustrated in Table 1 and Figure 10. The error between the detection time and the actual time has disclosed the effectiveness of this method.
Table 1. Debris detection results and errors.
Figure 10. The actual appearance times of debris: (a) actual times of each debris and (b) marks in the signal energy.
For the inductive sensors, the type of background noise is mainly the white noise, which cannot affect the detection. Moreover, for the detection results of the aero-engine test, it should be noted that the last debris is also detected even if it appears during the change in the working condition of the aero-engine, which shows its capability in interference resistance.

5. Comparative Analysis

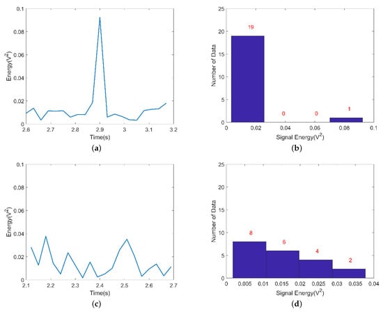
In order to further verify the debris signature detection capability of this method, the oil debris simulation experiment in the laboratory is also carried out. The raw monitoring signal is illustrated as Figure 11a, the energy value signal is obtained through the time domain analysis, illustrated as Figure 11b. As illustrated in Figure 12, the data distribution of the debris signature and noise signature differs a lot. Furthermore, finally, the debris signature is identified as illustrated in Figure 13.
Figure 11. Raw signal and its energy value signal: (a) raw signal and (b) energy value signal.
Figure 12. Typical histograms of debris signature and noise signature: (a) signal energy values of debris signature, (b) histogram of debris signature, (c) signal energy values of noise signature, and (d) histogram of noise signature.
Figure 13. Detection results.
To some extent, the debris detection is similar to the outlier detection, in which the energy value of the debris signature is the “outlier” should be detected. For comparison, a common outlier detection method, 3 σ , is also applied on the same energy value signal, and the detection results are illustrated in Figure 14, in which a large amount of the noise signature is mistaken for the debris signatures. Frankly, the amplitude of noise is indeed high, which has broken the threshold of 3 σ after all. However, it is still not as high as the amplitude of debris, which shows a sharp contrast in Figure 14a. This shows the advantages of the debris detection method proposed in this paper. The key to this method is the combination of the histogram characteristic with the conversion to a relative threshold from the absolute threshold, and therefore, it has a satisfactory performance in the inhibition of false alarms. Additionally, the detection performance is only related to the signal itself, and therefore, it is applicable for various sensing principles, including but not limited to the inductive sensor signal.
Figure 14. Detection results of 3 σ method: (a) detection results of 3 σ method and (b) detail enlargement on the detection results.

6. Conclusions

In view of the high false alarm rate in the oil debris monitoring results of the triple-coil inductive sensor in the transmission lubrication system of the aero-engine, a new debris signal processing method based on inductive monitoring is proposed. A time domain analysis is carried out first, and the signal energy is the most effective index to distinguish the debris signature from the noise signature. On this basis, signal energy values within a fixed-length sliding window are processed through the histogram. Finally, a threshold is set for the detection of the debris signature, which is based on the distribution of data within the histogram. This method is applied to the experimental data from a test run of an aero-engine, and the results show that all of the debris is detected even if some of it appears during the change in the working condition of the aero-engine. Detailed conclusions are given below.
1.
The signal energy is the most effective index to distinguish the debris signature from the noise signature in the step of time domain analysis.
2.
The determination of time interval in the step of time domain analysis is significant. It is set as the ratio of the axial length of the sensitive space of the inductive sensor to the velocity of the oil flow. An excessively large time interval will reduce the difference between the debris signature and noise signature, while an excessively small time interval may split a complete characteristic signature into several parts.
3.
The data distributions within the histogram of the debris signature and the noise signature differ significantly. For the debris signature, only a few data fall into the highest bin, while most of the data are concentrated into the lowest bin, and therefore, there are several blank bins in the middle. In sharp contrast, for the noise signature, the data distribution is more even.
In summary, the proposed method shows satisfactory results in debris detection accuracy and especially the inhibition of false alarms. It is also applicable for real-time monitoring due to the similarity between the movement of the sliding window and real-time data acquisition. Moreover, it is applicable for various sensing principles, including but not limited to the inductive sensor signal, since the detection performance is only related to the signal itself.

Author Contributions

Conceptualization, H.J. and H.Z.; methodology, H.J. and H.Z.; software, Z.Z. and J.G.; validation, H.J., H.Z., Z.Z. and J.G.; formal analysis, H.J. and H.Z.; investigation, H.J. and H.Z.; resources, H.Z.; data curation, H.J., Z.Z. and J.G.; writing—original draft preparation, H.J. and Z.Z.; writing—review and editing, H.Z. and J.G.; visualization, H.J.; supervision, H.Z.; project administration, H.Z.; funding acquisition, H.Z. All authors have read and agreed to the published version of the manuscript.

Funding

This work was supported by National Natural Science Foundation of China (No. U1933202).

Institutional Review Board Statement

Not applicable.

Data Availability Statement

The data presented in this study are available on request from the corresponding author. The data are not publicly available due to privacy.

Conflicts of Interest

The authors declare no conflicts of interest.

References

  1. Liang, X.; Zuo, M.J.; Feng, Z. Dynamic modeling of gearbox faults: A review. Mech. Syst. Signal Process. 2018, 98, 852–876. [Google Scholar] [CrossRef]
  2. Perez, I.; DiUlio, M.; Maley, S.; Phan, N. Structural health management in the NAVY. Struct. Health Monit. 2010, 9, 199–207. [Google Scholar] [CrossRef]
  3. Wakiru, J.M.; Pintelon, L.; Muchiri, P.N.; Chemweno, P.K. A review on lubricant condition monitoring information analysis for maintenance decision support. Mech. Syst. Signal Process. 2019, 118, 108–132. [Google Scholar] [CrossRef]
  4. Márquez, F.P.G.; Tobias, A.M.; Pérez, J.M.P.; Papaelias, M. Condition monitoring of wind turbines: Techniques and methods. Renew. Energy 2012, 46, 169–178. [Google Scholar] [CrossRef]
  5. Hameed, Z.; Hong, Y.; Cho, Y.; Ahn, S.; Song, C. Condition monitoring and fault detection of wind turbines and related algorithms: A review. Renew. Sustain. Energy Rev. 2009, 13, 1–39. [Google Scholar] [CrossRef]
  6. Loutas, T.; Roulias, D.; Pauly, E.; Kostopoulos, V. The combined use of vibration, acoustic emission and oil debris on-line monitoring towards a more effective condition monitoring of rotating machinery. Mech. Syst. Signal Process. 2011, 25, 1339–1352. [Google Scholar] [CrossRef]
  7. Vamsi, I.; Sabareesh, G.; Penumakala, P. Comparison of condition monitoring techniques in assessing fault severity for a wind turbine gearbox under non-stationary loading. Mech. Syst. Signal Process. 2019, 124, 1–20. [Google Scholar] [CrossRef]
  8. Sun, J.; Wang, L.; Li, J.; Li, F.; Li, J.; Lu, H. Online oil debris monitoring of rotating machinery: A detailed review of more than three decades. Mech. Syst. Signal Process. 2021, 149, 107341. [Google Scholar] [CrossRef]
  9. Kumar, M.; Shankar Mukherjee, P.; Mohan Misra, N. Advancement and current status of wear debris analysis for machine condition monitoring: A review. Ind. Lubr. Tribol. 2013, 65, 3–11. [Google Scholar] [CrossRef]
  10. Zeng, L.; Zhang, H.; Wang, Q.; Zhang, X. Monitoring of non-ferrous wear debris in hydraulic oil by detecting the equivalent resistance of inductive sensors. Micromachines 2018, 9, 117. [Google Scholar] [CrossRef] [PubMed]
  11. Sheng, S. Monitoring of wind turbine gearbox condition through oil and wear debris analysis: A full-scale testing perspective. Tribol. Trans. 2016, 59, 149–162. [Google Scholar] [CrossRef]
  12. Becker, A.; Abanteriba, S.; Forrester, D. Determining inductive sensor wear debris limits for rolling contact fatigue of bearings. Proc. Inst. Mech. Eng. Part J J. Eng. Tribol. 2015, 229, 698–711. [Google Scholar] [CrossRef]
  13. Li, C.; Liang, M. Extraction of oil debris signature using integral enhanced empirical mode decomposition and correlated reconstruction. Meas. Sci. Technol. 2011, 22, 085701. [Google Scholar] [CrossRef]
  14. Hong, H.; Liang, M. A fractional calculus technique for on-line detection of oil debris. Meas. Sci. Technol. 2008, 19, 055703. [Google Scholar] [CrossRef]
  15. Bozchalooi, I.S.; Liang, M. In-line identification of oil debris signals: An adaptive subband filtering approach. Meas. Sci. Technol. 2009, 21, 015104. [Google Scholar] [CrossRef]
  16. Wei, H.Y.; Soleimani, M. A magnetic induction tomography system for prospective industrial processing applications. Chin. J. Chem. Eng. 2012, 20, 406–410. [Google Scholar] [CrossRef]
  17. Ganesh, M.; Ravan, M.; Amineh, R.K. Electromagnetic induction imaging at multiple depths with a single coil. IEEE Trans. Instrum. Meas. 2021, 70, 1–9. [Google Scholar] [CrossRef]
  18. Ravan, M.; Amineh, R.K.; Hussein, A.; Simanov, O.; Agarwal, A. Electromagnetic induction imaging of metallic objects at multiple depths. IEEE Magn. Lett. 2020, 11, 1–5. [Google Scholar] [CrossRef]
  19. Muir, D.; Howe, B. In-Line Oil Debris Monitor (ODM) for the Advanced Tactical Fighter Engine; Technical Report; SAE Technical Paper; SAE: Warrendale, PA, USA, 1996. [Google Scholar]
  20. Howe, B.; Muir, D. In-line oil debris monitor (ODM) for helicopter gearbox condition assessment. In Proceedings of the 1998 Technology Showcase JOAP International Condition Monitoring Conference, Mobile, AL, USA, 19–24 April 1998; Volume 503. [Google Scholar]
  21. Miller, J.L.; Kitaljevich, D. In-line oil debris monitor for aircraft engine condition assessment. In Proceedings of the 2000 IEEE Aerospace Conference, Proceedings (Cat. No. 00TH8484), Big Sky, MT, USA, 25 March 2000; Volume 6, pp. 49–56. [Google Scholar]
Disclaimer/Publisher’s Note: The statements, opinions and data contained in all publications are solely those of the individual author(s) and contributor(s) and not of MDPI and/or the editor(s). MDPI and/or the editor(s) disclaim responsibility for any injury to people or property resulting from any ideas, methods, instructions or products referred to in the content.

Article Metrics

Citations

Article Access Statistics

Multiple requests from the same IP address are counted as one view.