Investigation into the Time-Dependent Characteristics of Stress and Deformation of Weak Surrounding Rock and Lining Structure in Operational Tunnels: Model Test
Abstract
1. Introduction
2. Experimental Outline
2.1. Model Test Similarity Criteria and Material Preparation
2.2. Model Test Device
2.3. Experimental Scheme
3. Time-Dependent Evolutionary Patterns of Stress and Deformation in Surrounding Rock and Lining Structure
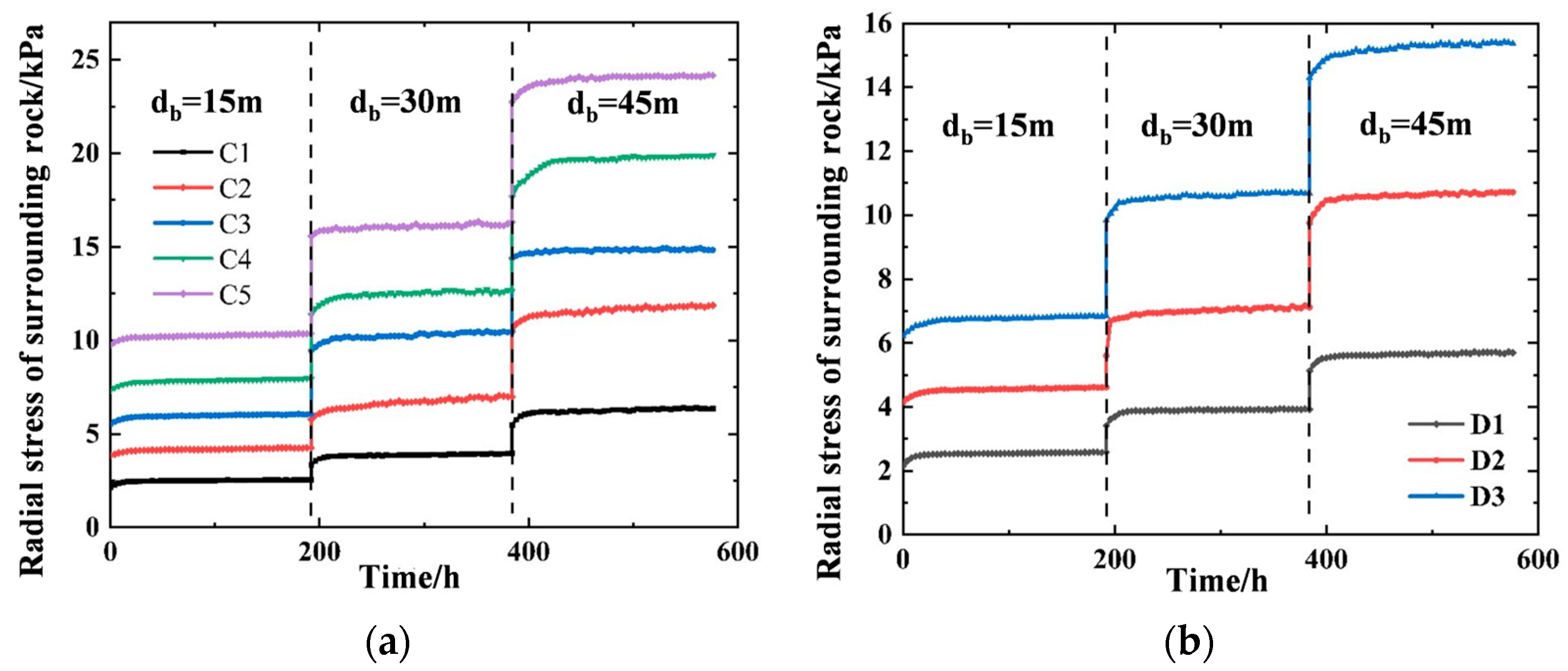
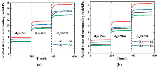
3.1. Analysis of Surrounding Rock Stress
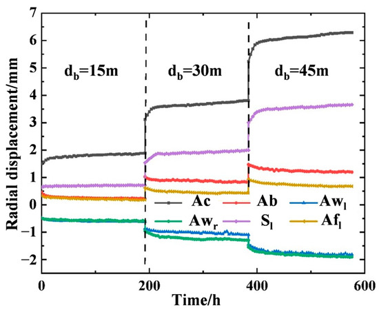
3.2. Analysis of Internal Force and Displacement of Lining Structure
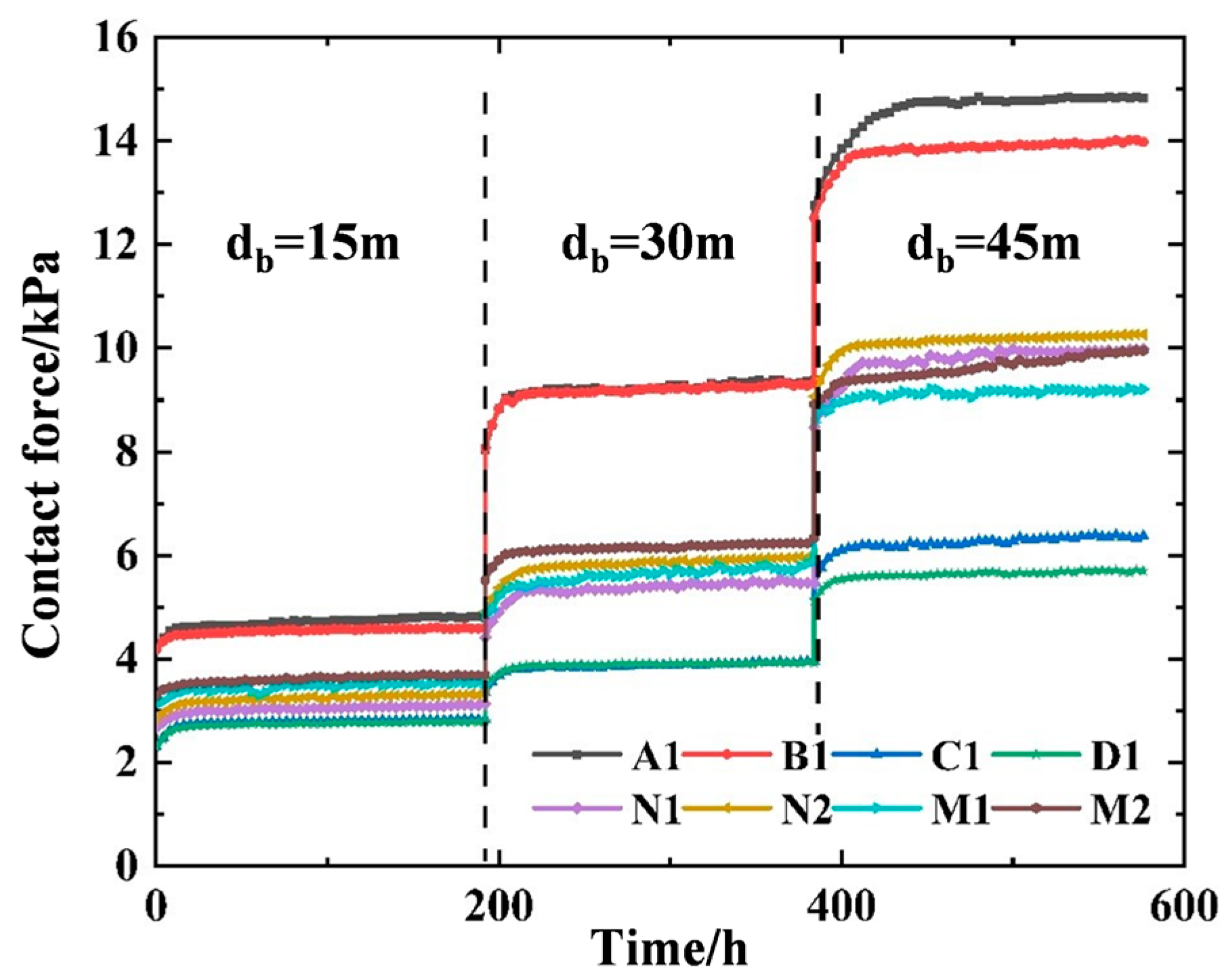
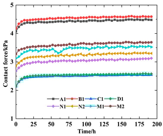
3.3. Analysis of Contact Force between Surrounding Rock and Lining Structure
4. Analysis of Factors Influencing the Time-Dependent Characteristics of Stress and Deformation in Surrounding Rock and Lining Structure
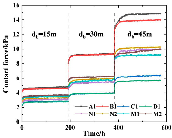
4.1. Influence of Burial Depth on Time-Dependent Characteristics of Stress and Deformation in Surrounding Rock and Lining Structure
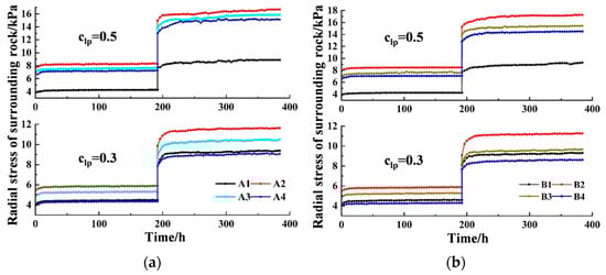
4.2. Influence of Lateral Pressure Coefficient on Time-Dependent Characteristics of Stress and Deformation in Surrounding Rock and Lining Structure
5. Conclusions and Discussion
- By examining the stress and deformation of the surrounding rock and lining structure over time, one can observe that, as long as the load remains constant, the surrounding rock’s stress, the lining structure’s internal force and displacement, and the contact force between the lining and surrounding rock all increase over time and eventually tend to stabilize. It suggests that the surrounding rock and lining structure’s stress and deformation have an evolutionary characteristic that changes with time;
- When the radial distance increases in a vertical direction, the surrounding rock stress reduces, whereas, in a horizontal direction, the surrounding rock stress increases and then declines. The stress size and pattern of change on both sides of the tunnel are nearly the same, regardless of whether the orientation of the forces is vertical or horizontal. With the exception of the left and right arch waists, where the deformation protrudes outward, the lining structure deforms quickly under pressure. All other positions experience internal distortion, with the arch top experiencing the greatest amount of deformation. In accordance with the lining structure’s surrounding rock pressure, which goes from large to small order: Left and right arch waist > left and right spandrel > left and right arch foot > arch top > arch bottom;
- The surrounding rock stress, lining structure internal force, and surrounding rock and lining structure contact force all increase as tunnel burial depth increases, making the time-dependent characteristics of the change more evident. Burial depth also has a significant impact on the lining deformation of the time-dependent changes, with the arch top consistently experiencing the greatest deformation;
- Increases in the lateral pressure coefficient have a significant effect on the surrounding rock stress in the horizontal direction while having little effect on the vertical direction. Additionally, the lateral pressure coefficient has a significant influence on the axial force of the lining structure, the bending moment and displacement of the lining, and the contact force between the surrounding rock and the lining, all of which experience varying degrees of reduction. These findings suggest that the lateral pressure coefficient plays a critical role in the long-term safety of the tunnel structure and that an increase in the lateral pressure coefficient is beneficial to the control of the stress and deformation of the tunnel lining structure;
- The stress and deformation evolution of the surrounding rock and lining during long-term tunnel operation and maintenance has been obtained in this study, which can offer theoretical references for the identification of the operational tunnels’ service state as well as for the prediction, prevention and control of diseases. However, the monitoring period of the model tests should be extended in subsequent studies in order to obtain more comprehensive experimental data on the long-term behavior of the surrounding rock and lining structure. This will allow for the detection of trends and evolutionary patterns that may be missed in shorter monitoring periods, which could serve as a foundation for a more robust and reliable tunnel design approach.
Author Contributions
Funding
Institutional Review Board Statement
Informed Consent Statement
Data Availability Statement
Acknowledgments
Conflicts of Interest
References
- Editorial Department of China Journal of Highway and Transport. Review on China’s traffic tunnel engineering research: 2022. China J. Highw. Transp. 2022, 35, 1–40. [Google Scholar]
- Han, B.; Xi, Z.; Sun, Y.; Lu, F.; Niu, C.; Wang, C.; Xu, K.; Yao, Y. Statistical analysis of urban rail transit operation in the world in 2022: A review. Urban Rapid Rail Transit 2023, 36, 1–8. [Google Scholar]
- Liu, C.; Zhang, D.; Zhang, S.; Sun, Z. Interaction analysis between composite supports and rheological rock considering progressive hardening characteristic of shotcrete. Constr. Build. Mater. 2023, 374, 130876. [Google Scholar] [CrossRef]
- Einstein, H.H.; Schwartz, C.W. Simplified analysis for tunnel supports. J. Geotech. Eng. Div. 1979, 105, 499–518. [Google Scholar] [CrossRef]
- Yu, X.; Zheng, Y.; Liu, H. Stability Analysis of Underground Engineering Surrounding Rock, 1st ed.; Coal Industry Press: Beijing, China, 1983; pp. 11–20. [Google Scholar]
- Li, S.; Wang, M. Elastic analysis of stress–displacement field for a lined circular tunnel at great depth due to ground loads and internal pressure. Tunn. Undergr. Space Technol. 2008, 23, 609–617. [Google Scholar] [CrossRef]
- Lu, A.; Zhang, L.; Zhang, N. Analytic stress solutions for a circular pressure tunnel at pressure and great depth including support delay. Int. J. Rock Mech. Min. 2011, 48, 514–519. [Google Scholar] [CrossRef]
- Carranza-Torres, C.; Rysdahl, B.; Kasim, M. On the elastic analysis of a circular lined tunnel considering the delayed installation of the support. Int. J. Rock Mech. Min. 2013, 61, 57–85. [Google Scholar] [CrossRef]
- Fang, H.; Zhang, D.; Fang, Q.; Wen, M. A generalized complex variable method for multiple tunnels at great depth considering the interaction between linings and surrounding rock. Comput. Geotech. 2021, 129, 103891. [Google Scholar] [CrossRef]
- Zhou, Z.; He, C.; Chen, Z.; Wang, B.; Li, T.; Jiang, C. Analysis of interaction mechanism between surrounding rock and supporting structures for soft-rock tunnels under high geo-stress. Acta Geotech. 2023, 18, 4871–4897. [Google Scholar] [CrossRef]
- Lu, Q.; Xiao, Z.; Ji, J.; Zheng, J.; Shang, Y. Moving least squares method for reliability assessment of rock tunnel excavation considering ground-support interaction. Comput. Geotech. 2017, 84, 88–100. [Google Scholar] [CrossRef]
- Zhao, N.; Shao, Z.; Chen, X.; Yuan, B.; Wu, K. Prediction of mechanical response of "a flexible support system" supported tunnel in viscoelastic geomaterials. Arch. Civ. Mech. Eng. 2022, 22, 160. [Google Scholar] [CrossRef]
- Du, C.; Zhou, C.; Jiang, N.; Huang, Y. Structural stability monitoring of model test on highway tunnel with lining backside voids using dynamic and static strain testing sensors. Sensors 2023, 23, 1403. [Google Scholar] [CrossRef] [PubMed]
- Xu, Z.; Luo, Y.; Chen, J.; Su, Z.; Zhu, T.; Yuan, J. Mechanical properties and reasonable proportioning of similar materials in physical model test of tunnel lining cracking. Constr. Build. Mater. 2021, 300, 123960. [Google Scholar] [CrossRef]
- Wu, H.; Fan, F.; Yang, X.; Wang, Z.; Lai, J.; Xie, Y. Large deformation characteristics and treatment effect for deep bias tunnel in broken phyllite: A case study. Eng. Fail. Anal. 2022, 135, 106045. [Google Scholar] [CrossRef]
- Hu, Z.; Shen, J.; Wang, Y.; Guo, T.; Liu, Z.; Gao, X. Cracking characteristics and mechanism of entrance section in asymmetrically-load tunnel with bedded rock mass: A case study of a highway tunnel in southwest China. Eng. Fail. Anal. 2021, 122, 105221. [Google Scholar] [CrossRef]
- Yang, L.; Sheng, X.; Zhang, B.; Yu, H.; Wang, X.; Wang, P.; Mei, J. Propagation behavior of hydraulic fractures in shale under triaxial compression considering the influence of sandstone layers. Gas Sci. Eng. 2023, 110, 204895. [Google Scholar] [CrossRef]
- Sheng, X.; Yang, L.; Wang, T.; Zhou, X.; Yu, H.; Zhang, Y.; Fu, X.; Mei, J.; Pei, Y. Hydraulic fracturing behavior of shale-sandstone interbedded structure under true triaxial stress conditions: A comprehensive experimental analysis. Fatigue Fract. Eng. Mater. Struct. 2024, 47, 1246–1261. [Google Scholar] [CrossRef]
- Cui, G.; Wang, X.; Wang, D. Study on the model test of the antibreaking effect of fiber reinforced concrete lining in tunnel. Shock Vib. 2020, 2020, 5419650. [Google Scholar] [CrossRef]
- Wang, D.; Qi, J.; Cui, G.; Yang, Y.; Chang, J. Model test on bearing characteristics of basalt fiber-reinforced concrete lining. Adv. Mater. Sci. Eng. 2020, 2020, 3891343. [Google Scholar] [CrossRef]
- Qiu, J.; Zhou, X.; Shen, Y.; Zhang, X.; Yu, B.; Luo, Y. Failure mechanism of the deep-buried metro tunnel in mixed strata: Physical model test and numerical investigation. Tunn. Undergr. Space Technol. 2023, 139, 105224. [Google Scholar] [CrossRef]
- Li, P.; Xie, S.; Yang, X.; Wang, Z.; Wang, S. Investigation into the construction response of tunnels through fault: Model test. Appl. Sci. 2023, 13, 4460. [Google Scholar] [CrossRef]
- Zhou, J.; Yang, X.; Chu, Z. Load laws of composite lining in mountain tunnel model tests and numerical simulation validation. J. Mt. Sci. 2023, 20, 2041–2057. [Google Scholar] [CrossRef]
- Ma, Y.; Wang, Z.; Wang, D. The safe load-bearing capacity of railway tunnel linings under high-pressure and water-rich conditions. Buildings 2023, 13, 2154. [Google Scholar] [CrossRef]
- Liu, C.; Zhang, D.; Zhang, S. Characteristics and treatment measures of lining damage: A case study on a mountain tunnel. Eng. Fail. Anal. 2021, 128, 105595. [Google Scholar] [CrossRef]
- Lu, P.; Qiao, D.; Wu, C.; Wang, S.; He, X.; Zhang, W.; Zhou, H. Effect of defects and remediation measures on the internal forces caused by a local thickness reduction in the tunnel lining. Undergr. Space 2022, 7, 94–105. [Google Scholar] [CrossRef]
- Jia, S.; Wen, C.; Wu, B. A nonlinear elasto-viscoplastic model for clayed rock and its application to stability analysis of nuclear waste repository. Energy Sci. Eng. 2020, 8, 150–165. [Google Scholar] [CrossRef]
- Ren, L.; Wei, Z.; Liang, N.; Liu, X.; Deng, Z. Mechanical behavior of multi-scale fiber-reinforced concrete for secondary tunnel lining: Field test and numerical simulation. Case Stud. Constr. Mat. 2022, 17, e01669. [Google Scholar] [CrossRef]
- Ren, M.; Wu, X.; Pan, J.; Liu, H.; Li, N. Theoretical and numerical studies of rock-support interaction by considering imperfect rock-lining interface. Geotech. Geol. Eng. 2023, 41, 1741–1762. [Google Scholar] [CrossRef]
- Fan, X.; Yang, Z.; Li, K. Effects of the lining structure on mechanical and fracturing behaviors of four-arc shaped tunnels in a jointed rock mass under uniaxial compression. Theor. Appl. Fract. Mech. 2021, 112, 102887. [Google Scholar] [CrossRef]
- Wang, H.; Li, S.; Zhang, Q.; Li, Y.; Guo, X. Development of a new geomechanical similar material. Chin. J. Rock Mech. Eng. 2006, 25, 1842–1847. [Google Scholar]
- Li, S.; Zhou, Y.; Li, L.; Zhang, Q.; Song, S.; Li, J.; Wang, K.; Wang, Q. Development and application of a new similar material for underground engineering fluid-solid coupling model test. Chin. J. Rock Mech. Eng. 2012, 31, 1128–1137. [Google Scholar]
- Ma, X. Study on Long-Term Interaction Law Between Surrounding Rock and Segment Structure of Shield Tunnel Considering Creep Effect of Rock Mass. Master’s Thesis, Shandong University, Jinan, China, 2023. [Google Scholar]
- Wang, S.; Shen, X.; He, X.; Yao, J. A model test for the mechanical property and failure mode of lining segments with different assembly types of shield tunnel. Chin. Civ. Eng. J. 2017, 50, 114–124. [Google Scholar]
- Tian, C. Study on Load Distribution Law of Shield Tunnel in Foshan Soft Clay Layer. Master’s Thesis, Chang’an University, Xi’an, China, 2020. [Google Scholar]



















| Iron Powder | Quartz Sand | Barite Powder | Water | Cement |
|---|---|---|---|---|
| 0.204 | 0.305 | 0.254 | 0.136 | 0.101 |
| Index | Prototype Rock | Target Parameter | Measured Parameter |
|---|---|---|---|
| Unit weight /(KN·m−3) | 24.5 | 24.5 | 24.5 |
| Strength /MPa | 16.80 | 0.56 | 0.55 |
| Elastic modulus E/MPa | 4500 | 150 | 142 |
| Poisson’s ratio | 0.22 | 0.22 | 0.23 |
| Cohesion c/kPa | 700–1500 | 23–50 | 36 |
| Angle of internal friction /(°) | 50.0 | 50.0 | 41.3 |
| Index | Prototype Material | Target Parameter | Measured Parameter |
|---|---|---|---|
| Strength /MPa | 32.5 | 1.08 | 1.10 |
| Elastic modulus E/MPa | 34.5 | 1.15 | 1.22 |
| Condition Number | Simulated Burial Depth/m | Vertical Load/kPa | Lateral Pressure Coefficient | Lateral Load/kPa |
|---|---|---|---|---|
| 1 | 15 | 17 | 0.3 | 5.1 |
| 2 | 30 | 31 | 0.3 | 9.3 |
| 3 | 45 | 45 | 0.3 | 13.5 |
| 4 | 15 | 17 | 0.5 | 8.5 |
| 5 | 30 | 31 | 0.5 | 15.5 |
Disclaimer/Publisher’s Note: The statements, opinions and data contained in all publications are solely those of the individual author(s) and contributor(s) and not of MDPI and/or the editor(s). MDPI and/or the editor(s) disclaim responsibility for any injury to people or property resulting from any ideas, methods, instructions or products referred to in the content. |
© 2024 by the authors. Licensee MDPI, Basel, Switzerland. This article is an open access article distributed under the terms and conditions of the Creative Commons Attribution (CC BY) license (https://creativecommons.org/licenses/by/4.0/).
Share and Cite
Wang, P.; Ma, X.; Yang, L.; Sheng, X.; Wang, X.; Lin, C. Investigation into the Time-Dependent Characteristics of Stress and Deformation of Weak Surrounding Rock and Lining Structure in Operational Tunnels: Model Test. Appl. Sci. 2024, 14, 5447. https://doi.org/10.3390/app14135447
Wang P, Ma X, Yang L, Sheng X, Wang X, Lin C. Investigation into the Time-Dependent Characteristics of Stress and Deformation of Weak Surrounding Rock and Lining Structure in Operational Tunnels: Model Test. Applied Sciences. 2024; 14(13):5447. https://doi.org/10.3390/app14135447
Chicago/Turabian StyleWang, Pai, Xujin Ma, Lei Yang, Xiangchao Sheng, Xiaolong Wang, and Chunjin Lin. 2024. "Investigation into the Time-Dependent Characteristics of Stress and Deformation of Weak Surrounding Rock and Lining Structure in Operational Tunnels: Model Test" Applied Sciences 14, no. 13: 5447. https://doi.org/10.3390/app14135447
APA StyleWang, P., Ma, X., Yang, L., Sheng, X., Wang, X., & Lin, C. (2024). Investigation into the Time-Dependent Characteristics of Stress and Deformation of Weak Surrounding Rock and Lining Structure in Operational Tunnels: Model Test. Applied Sciences, 14(13), 5447. https://doi.org/10.3390/app14135447

