Research Frontiers in the Field of Agricultural Resources and the Environment
Abstract
1. Introduction
1.1. Recognition Method Based on Experts’ Subjective Judgment
1.2. Recognition Method Based on Objective Data Analysis
1.3. Recognition Method Based on Content Mining
1.4. Problems
1.5. Research Objectives
2. Materials and Methods
2.1. Research Ideas
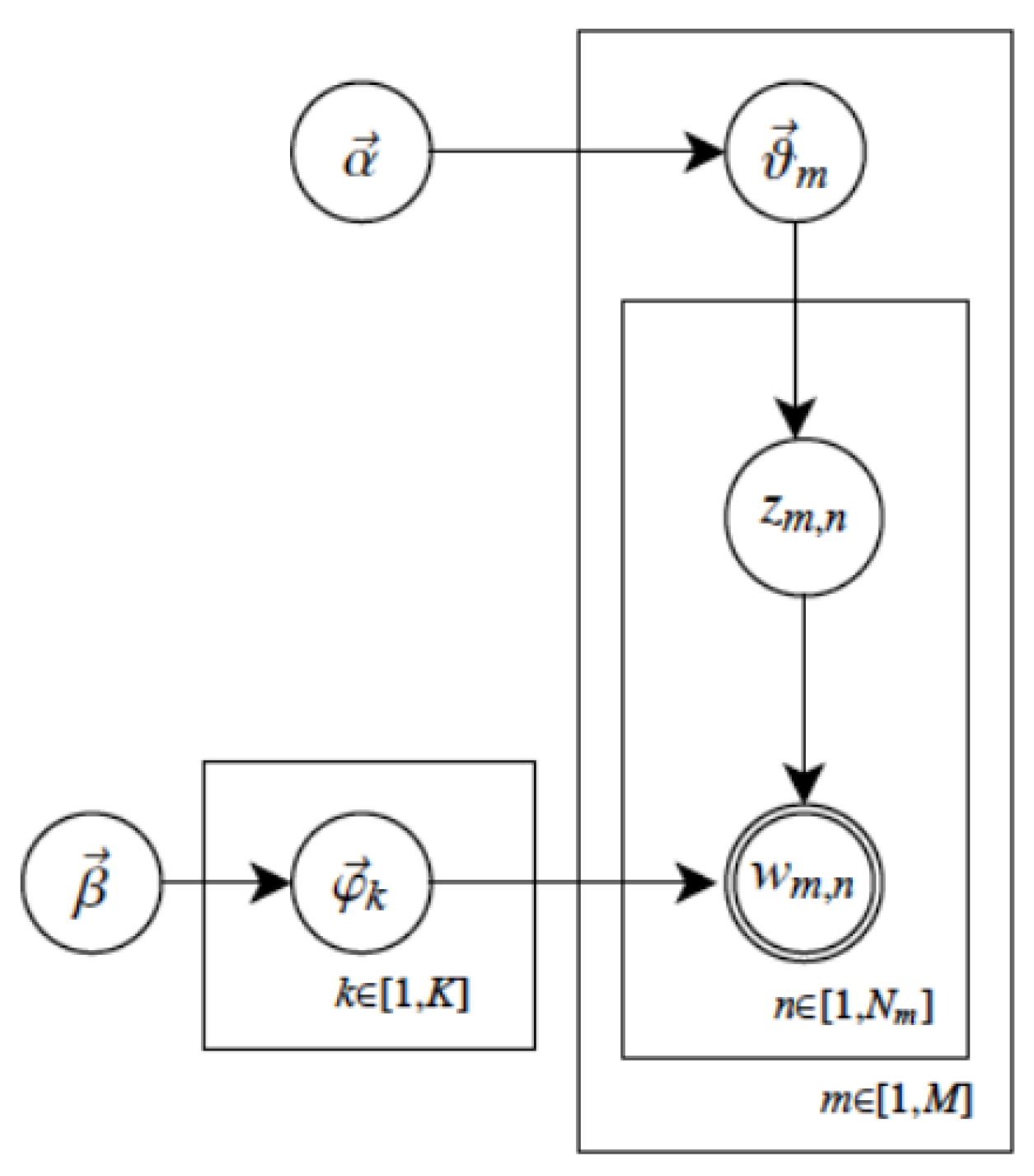
2.2. Topic Extraction Method
2.3. Method for Frontier Categories Judgment
3. Results
3.1. Frontier Extraction Results from a Single Data Source
3.2. Research and Judgment on Different Frontier Types
3.3. Verification of Frontier Identification Method
4. Discussion
4.1. About the Theoretical Implications
4.2. About the Practical Implications
4.3. About the Limitations and Difficulties
5. Conclusions
Author Contributions
Funding
Institutional Review Board Statement
Informed Consent Statement
Data Availability Statement
Acknowledgments
Conflicts of Interest
References
- Li, X.; Ma, X.D.; Feng, Y. Early identification of breakthrough research from sleeping beauties using machine learning. J. Informetr. 2024, 18, 101517. [Google Scholar] [CrossRef]
- Savic, L.C.; Smith, A.F. How to conduct a Delphi consensus process. Anaesthesia 2023, 78, 247–250. [Google Scholar] [CrossRef]
- Zeng, W.; Yan, T.T.; Liu, X.L. A detection method for science and technology frontiers based knowledge tree. Inf. Stud. Theory Appl. 2024, 47, 158–162. [Google Scholar]
- Khodyakov, D.; Grant, S.; Kroger, J.; Gadwah-Meaden, C.; Motala, A.; Larkin, J. Disciplinary trends in the use of the Delphi method: A bibliometric analysis. PLoS ONE 2023, 18, 0289009. [Google Scholar] [CrossRef]
- Liu, X.W.; Wang, X.Z.; Lyu, L.C.; Wang, Y.P. Identifying disruptive technologies by integrating multi-source data. Scientometrics 2022, 127, 5325–5351. [Google Scholar] [CrossRef]
- Castanha, R.G.; Grácio, M.C.C.; Perianes-Rodríguez, A. Co-citation analysis between coupler authors of a scientific domain’s citation identity: A case study in scientometrics. Scientometrics 2024, 129, 1545–1566. [Google Scholar] [CrossRef]
- Wen, C.; Liu, W.; He, Z.H.; Liu, C.Y. Research on emergency management of global public health emergencies driven by digital technology: A bibliometric analysis. Front. Public Health 2023, 10, 1100401. [Google Scholar] [CrossRef]
- Zhang, T.; Chen, J.; Lu, Y.; Yang, X.Y.; Ouyang, Z.L. Identification of technology frontiers of artificial intelligence-assisted pathology based on patent citation network. PLoS ONE 2022, 17, 0273355. [Google Scholar] [CrossRef]
- Xu, S.S.; Liu, J.B.; Li, S.N.; Yang, S.; Li, F.N. Exploring and visualizing research progress and emerging trends of event prediction: A survey. Appl. Sci. 2023, 13, 13346. [Google Scholar] [CrossRef]
- Xu, S.S.; Liu, S.R.; Jing, C.F.; Li, S.N. Event knowledge graph: A review based on scientometric analysis. Appl. Sci. 2023, 13, 12338. [Google Scholar] [CrossRef]
- da Silva, P.B.V.; Brenelli, L.B.; Mariutti, L.R.B. Waste and by-products as sources of lycopene, phytoene, and phytofluene-Integrative review with bibliometric analysis. Food Res. Int. 2023, 169, 112838. [Google Scholar] [CrossRef]
- Gao, N.; Zhou, Q.S. Research fronts identification and evolution trend analysis of information science based on co-citation method. J. Mod. Inf. 2024, 44, 3–19. [Google Scholar]
- Xie, X.F.; Wang, Q.; Chen, T.; Huang, F. Study on frontier development trends in Neuroscience: An analysis based on deep mining of ESI research fronts. World Sci.-Technol. Res. Dev. 2023, 45, 63–76. [Google Scholar]
- Institutes of Science and Development; National Science Library; Chinese Academy of Sciences; Clarivate Analytics. Research Fronts 2022; Clarivate Analytics: Beijing, China, 2022. [Google Scholar]
- Institutes of Science and Development; National Science Library; Chinese Academy of Sciences; Clarivate Analytics. Research Fronts 2023; Clarivate Analytics: Beijing, China, 2023. [Google Scholar]
- Ma, R.; Kim, Y.J. Tracing the evolution of green logistics: A latent dirichlet allocation based topic modeling technology and roadmapping. PLoS ONE 2023, 18, 0290074. [Google Scholar] [CrossRef]
- Deng, Q.P.; Ke, J.X. Identifying emerging interdisciplinary topics based on the fund project data: A case study of quantum technology. Libr. Inf. Serv. 2023, 67, 130–141. [Google Scholar]
- Huang, L.C.; Hou, Z.M.; Fang, Y.L.; Liu, J.H.; Shi, T.L. Evolution of CCUS Technologies Using LDA Topic Model and Derwent Patent Data. Energies 2023, 16, 2556. [Google Scholar] [CrossRef]
- Ye, G.H.; Wang, C.C.; Wu, C.; Peng, Z.; Wei, J.Y.; Song, X.Y.; Tan, Q.T.; Wu, L.Q. Research frontier detection and analysis based on research grants information: A case study on health informatics in the US. J. Informetr. 2023, 17, 101421. [Google Scholar] [CrossRef]
- Zhang, Z.Q.; Sun, W. Interdisciplinary subject recognition based on feature measurement and PhraseLDA model—Case study of nanotechnology in agricultural environment. Data Anal. Knowl. Discov. 2023, 7, 32–45. [Google Scholar]
- Neuyen, T.; Do, P. Citation LDA plus plus: An extension of LDA for discovering topics in document network. In Proceedings of the 9th International Symposium on Information and Communication Technology (SoICT), Da Nang, Vietnam, 6–7 December 2018; pp. 31–37. [Google Scholar]
- Liu, J.X.; Zhang, Z.Y.; Wang, F. FW-LDA combination improvement for patent topics words and keywords evolution analysis. J. Intell. 2022, 41, 57–64. [Google Scholar]
- Liang, S.; Liu, X.P. Research progress on topic evolution of scientific and technical literatures based on text mining. Libr. Inf. Serv. 2022, 66, 138–149. [Google Scholar]
- Blei, D.M.; Ng, A.Y.; Jordan, M.I. Latent Dirichlet allocation. J. Mach. Learn. Res. 2003, 3, 993–1022. [Google Scholar]
- Chuang, J.; Manning, C.D.; Heer, J. Termite: Visualization techniques for assessing textual topic models. In Proceedings of the International Working Conference on Advanced Visual Interfaces (AVI ’12). Association for Computing Machinery, Capri Island, Italy, 21–25 May 2012; pp. 74–77. [Google Scholar]
- Sievert, C.; Shirley, K.E. LDAvis: A method for visualizing and interpreting topics. In Proceedings of the Workshop on Inter-active Language Learning, Visualization, and Interfaces, Baltimore, MD, USA, 27 June 2014; pp. 63–70. [Google Scholar]
- Liu, B.W.; Bai, R.J.; Zhou, Y.T.; Wang, X.Y. Identifying frontier topics from funding and paper—Case study of carbon nanotube. Data Anal. Knowl. Disc. 2019, 3, 114–122. [Google Scholar]
- Bai, R.J.; Liu, B.W.; Leng, F.H. Frontier identification of emerging scientific research based on multi-indicators. J. China Soc. Sci. Tech. Inf. 2020, 39, 747–760. [Google Scholar]
- Niu, X.R. Research on Identification of Research Fronts Based on Policy Texts and Funded Projects; The University of the Chinese Academy of Sciences (Nature Science Library): Beijing, China, 2022. [Google Scholar]






| Method Classification | Methodology Used | References |
|---|---|---|
| Based on experts’ subjective judgment | Delphi; expert knowledge and experience | [1,2,3,4,5] |
| Based on objective data analysis | Citation analysis, co-citation analysis, coupling analysis; word frequency statistics and co-word analysis; co-authorship network analysis and co-citation of authors; knowledge graphs; combining multiple methods | [6,7,8,9,10,11,12,13,14,15] |
| Based on content mining | Latent Dirichlet Allocation; PhraseLDA, CitationLDA, FW-LDA; LDA++ | [16,17,18,19,20,21,22] |
| K | Passes | Perplexity | K | Passes | Perplexity |
|---|---|---|---|---|---|
| 3 | 50 | −6.734 | 3 | 150 | −6.720 |
| 4 | 50 | −6.756 | 4 | 150 | −6.736 |
| 5 | 50 | −6.780 | 5 | 150 | −6.764 |
| 6 | 50 | −6.795 | 6 | 150 | −6.763 |
| 7 | 50 | −6.813 | 7 | 150 | −6.776 |
| 8 | 50 | −6.839 | 8 | 150 | −6.796 |
| 3 | 100 | −6.722 | 3 | 200 | −6.720 |
| 4 | 100 | −6.740 | 4 | 200 | −6.735 |
| 5 | 100 | −6.760 | 5 | 200 | −6.752 |
| 6 | 100 | −6.770 | 6 | 200 | −6.760 |
| 7 | 100 | −6.784 | 7 | 200 | −6.774 |
| 8 | 100 | −6.805 | 8 | 200 | −6.792 |
| Research Frontiers | Subject Words |
|---|---|
| Theme 1 Wastewater treatment technology and the efficient utilization of water resources | treatment; surface; interaction; nitrate; urban; grower; assess; experiment; network; alfalfa; mechanism; divergence; greenhouse; American; developed; reuse; component; river; collaboration; livestock |
| Theme 2 Value-added utilization of agricultural waste and the sustainable development of agriculture | grain; biomass; sensor; groundwater; plastic; regional; resilience; emission; adaptation; wheat; business; policy; resistance; network; fiber; scholar; urban; developed; renewable; variety |
| Theme 3 Plant–rhizosphere–microorganism interaction and diversified farmland management | vegetable; plain; efficiency; soybean; business; cotton; bioenergy; grower; measurement; canola; marketing; stress; quantify; transfer; ecologic; microbiome; Navajo; southern; assess |
| Theme 4 Ecosystems management and pollution control related to agricultural and animal husbandry | livestock; watershed; antibiotic; biochar; temperature; microbiome; efficiency; biomass; conservation; stress; microbe; sense; divergence; dairy; forage; weather; building; policy; habitat; developed |
| Research Frontiers | Subject Words |
|---|---|
| Theme 1 Soil ecological response mechanism under agronomic management measures | manure, diversity, straw, residue, fertilization, stock, phosphorus, enzyme, respiration, amendment, grassland, rotation, sequestration, compost, mineralization, stability, mulch, fertility, availability, labile |
| Theme 2 Interaction mechanism of plant–rhizosphere–microbial diversity | rhizosphere, decomposition, bacteria, fungi, diversity, fungal, grazing, mycorrhizal, nitrification, grassland, interaction, nematode, inoculation, trait, denitrification, micro-organization, functional, availability, strain, arbuscular |
| Theme 3 Mechanism of soil landslide, erosion, degradation, and prediction evaluation | slope, estimate, rainfall, runoff, prediction, river, parameter, index, prediction, density, movement, character, variation, profile, physical, variability, measurement, variable, environmental, landscape |
| Category | Research Frontiers | Emerging | Innovation | Attention | Cross | Comprehensive Score | Frontier Type |
|---|---|---|---|---|---|---|---|
| 1 a | Interaction mechanism of plant–rhizosphere–microbial diversity | 2018.64 | 0.287 | 11.098 | 6.518 | 0.971 | Hot frontier |
| 2 b | Wastewater treatment technology and the efficient utilization of water resources, NIFA project | 2018.68 | 0.311 | 0.95 | 6.389 | 0.863 | Potential frontier |
| Value-added utilization and sustainable development of agricultural waste, NIFA Project | 2018.74 | 0.251 | 0.95 | 7.090 | 0.930 | Potential frontier | |
| Ecosystems management and pollution control related to agricultural and animal husbandry, NIFA project | 2018.74 | 0.189 | 0.94 | 6.401 | 0.672 | Emerging frontier | |
| Soil ecological response mechanism under agronomic management measures, SCI paper | 2018.73 | 0.196 | 12.362 | 1.65 | 0.980 | Potential frontier | |
| Mechanism of soil landslide, erosion, degradation, and prediction evaluation, SCI Paper | 2018.67 | 0.254 | 10.423 | 1.92 | 0.855 | Potential frontier |
| Number | Category | Research Hot Spot or Frontier |
|---|---|---|
| 1 | Hot spot | Influence of soil-crop management on greenhouse gas emissions and its regulation |
| 2 | Hot spot | Response and mechanism of soil and rhizosphere microorganisms compared to land use patterns |
| 3 | Hot spot | Research and efficient utilization of new fertilizers |
| 4 | Hot spot | Mechanism and regulation of nitrogen fixation in plants |
| 5 | Hot spot | Effect and mechanism of growth-promoting and stress-resistant plant beneficial bacteria |
| 6 | Hot spot | Assembly patterns and control mechanism of the root microbiome |
| 7 | Key hot spot | Soil carbon sequestration potential and its regulation mechanism |
| 8 | Frontier | Microbial mechanism of soil nitrogen transformation and its agronomic environmental effects |
Disclaimer/Publisher’s Note: The statements, opinions and data contained in all publications are solely those of the individual author(s) and contributor(s) and not of MDPI and/or the editor(s). MDPI and/or the editor(s) disclaim responsibility for any injury to people or property resulting from any ideas, methods, instructions or products referred to in the content. |
© 2024 by the authors. Licensee MDPI, Basel, Switzerland. This article is an open access article distributed under the terms and conditions of the Creative Commons Attribution (CC BY) license (https://creativecommons.org/licenses/by/4.0/).
Share and Cite
Chuan, L.; Zhao, J.; Qi, S.; Jia, Q.; Zhang, H.; Ye, S. Research Frontiers in the Field of Agricultural Resources and the Environment. Appl. Sci. 2024, 14, 4996. https://doi.org/10.3390/app14124996
Chuan L, Zhao J, Qi S, Jia Q, Zhang H, Ye S. Research Frontiers in the Field of Agricultural Resources and the Environment. Applied Sciences. 2024; 14(12):4996. https://doi.org/10.3390/app14124996
Chicago/Turabian StyleChuan, Limin, Jingjuan Zhao, Shijie Qi, Qian Jia, Hui Zhang, and Sa Ye. 2024. "Research Frontiers in the Field of Agricultural Resources and the Environment" Applied Sciences 14, no. 12: 4996. https://doi.org/10.3390/app14124996
APA StyleChuan, L., Zhao, J., Qi, S., Jia, Q., Zhang, H., & Ye, S. (2024). Research Frontiers in the Field of Agricultural Resources and the Environment. Applied Sciences, 14(12), 4996. https://doi.org/10.3390/app14124996

