Theoretical Study of the Multiferroic Properties of Ion-Doped CaBaCo4O7
Abstract
1. Introduction
2. The Model
3. Theoretical Method
4. Numerical Results and Discussion
4.1. Temperature Dependence of the Magnetization of CBCO
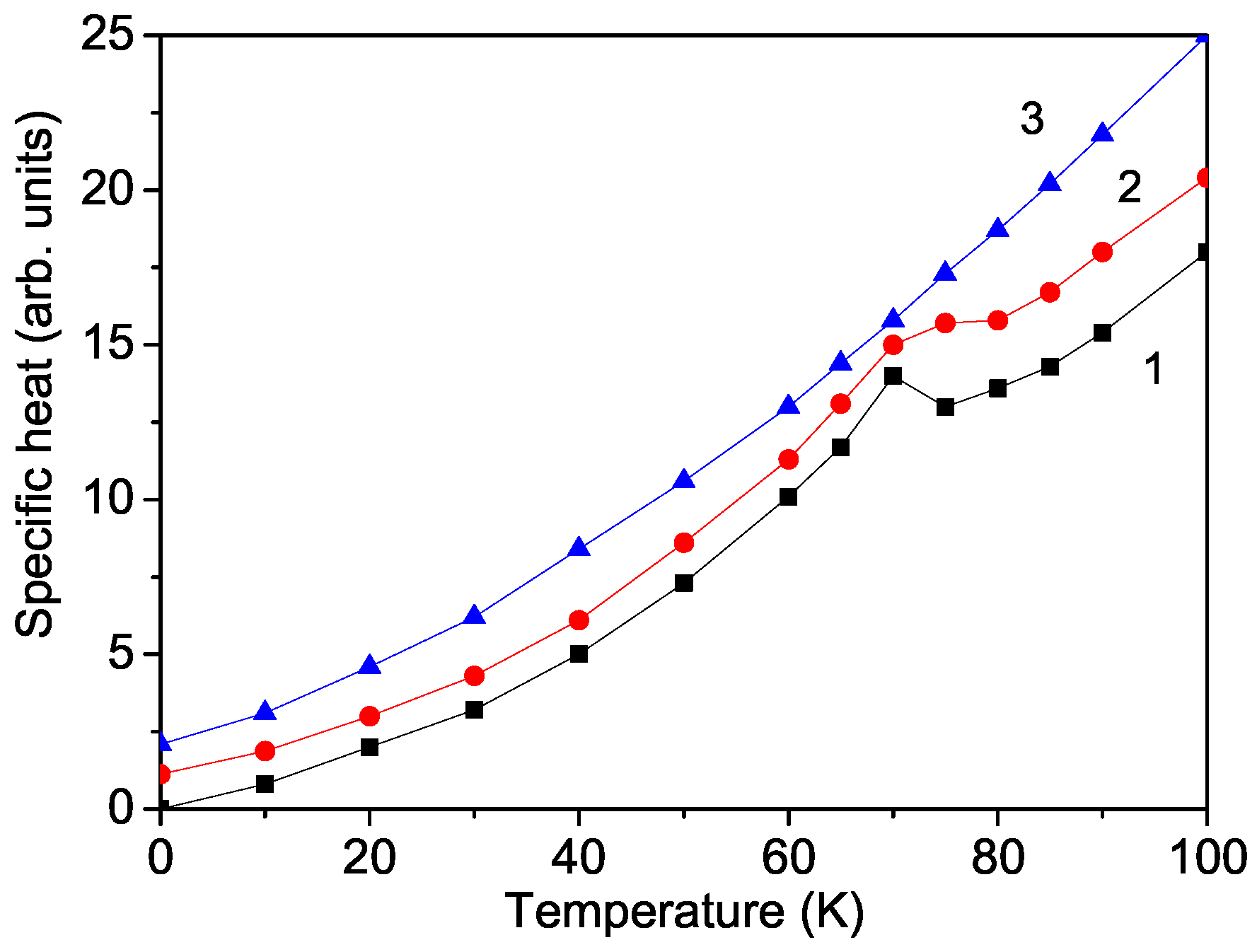
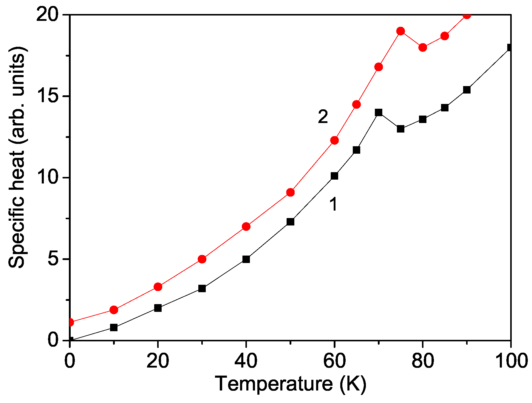
4.2. Temperature and Magnetic Field Dependence of the Specific Heat in CBCO
4.3. Temperature and Magnetic Field Dependence of the Polarization in CBCO
4.4. Dependence of the Magnetization in CBCO on the Dopant Concentration at the Co Site
4.5. Dependence of the Magnetization in CBCO on the Dopant Concentration at the Ca Site
4.6. Dependence of the Polarization in CBCO on the Dopant Concentration at the Co Site
5. Conclusions
Author Contributions
Funding
Institutional Review Board Statement
Informed Consent Statement
Data Availability Statement
Conflicts of Interest
References
- Kida, T. The giant anomalous Hall effect in the ferromagnet Fe3Sn2—A frustrated kagome metal. J. Phys. Condens. Matter. 2011, 23, 112205. [Google Scholar] [CrossRef]
- Caignaert, V.; Pralong, V.; Maignan, A.; Raveau, B. Orthorhombic kagome cobaltite CaBaCo4O7 (CBCO): A new ferrimagnet with a TC of 70 K. Solid State Commun. 2009, 149, 453–455. [Google Scholar] [CrossRef]
- Caignaert, V.; Pralong, V.; Hardy, V.; Ritter, C.; Raveau, B. Magnetic structure of CaBaCo4O7: Lifting of geometrical frustration towards ferrimagnetism. Phys. Rev. B 2010, 81, 094417. [Google Scholar] [CrossRef]
- Raoufi, T.; He, J.; Wang, B.; Liu, E.; Sun, Y. Magnetocaloric properties and Griffiths phase of ferrimagnetic cobaltite CaBaCo4O7. Chin. Phys. B 2023, 32, 017504. [Google Scholar] [CrossRef]
- Qu, Z.; Ling, L.; Zhang, L.; Pi, L.; Zhan, Y. Magnetic properties of the ferrimagnetic cobaltite CaBaCo4O7. Solid State Commun. 2011, 151, 917–919. [Google Scholar] [CrossRef][Green Version]
- Iwamoto, H.; Ehara, M.; Akaki, M.; Kuwahara, H. Magnetoelectric property in 3d transition metal oxide with tetrahedral structure. J. Phys. Conf. Ser. 2012, 400, 032031. [Google Scholar] [CrossRef]
- Caignaert, V.; Maignan, A.; Singh, K.; Simon, C.; Pralong, V.; Raveau, B.; Mitchell, J.F.; Zheng, H.; Huq, A.; Chapon, L.C. Gigantic magnetic-field-induced polarization and magnetoelectric coupling in a ferrimagnetic oxide CaBaCo4O7. Phys. Rev. B 2013, 88, 174403. [Google Scholar] [CrossRef]
- Singh, K.; Caignaert, V.; Chapon, L.C.; Pralong, V.; Raveau, B.; Maignan, A. Spin-assisted ferroelectricity in ferrimagnetic CaBaCo4O7. Phys. Rev. B 2012, 86, 024410. [Google Scholar] [CrossRef]
- Johnson, R.D.; Cao, K.; Giustino, F.; Radaelli, P.G. CaBaCo4O7: A ferrimagnetic pyroelectric. Phys. Rev. B 2014, 90, 045129. [Google Scholar] [CrossRef]
- Omi, T.; Watanabe, Y.; Abe, N.; Sagayama, H.; Nakao, A.; Munakata, K.; Tokunaga, Y.; Arima, T. Antiferromagnetic-to-ferrimagnetic phase transition with large electric-polarization change in a frustrated polar magnet CaBaCo4O7. Phys. Rev. B 2021, 103, 18441. [Google Scholar] [CrossRef]
- Seikh, M.M.; Kundu, A.K.; Caignaert, V.; Raveau, B. Gigantic effect of iron doping upon magnetism in the 114 magnetoelectric CaBaCo4O7. J. Alloys Compd. 2016, 656, 166–171. [Google Scholar] [CrossRef]
- Fishman, R.S.; Bordács, S.; Kocsis, V.; Kézsmárki, I.; Viirok, J.; Nagel, U.; Rõõm, T.; Puri, A.; Zeitler, U.; Tokunaga, Y.; et al. Competing exchange interactions in multiferroic and ferrimagnetic CaBaCo4O7. Phys. Rev. B 2017, 95, 024423. [Google Scholar] [CrossRef]
- Fiebig, M.; Lottermoser, T.; Meier, D.; Trassin, M. The evolution of multiferroics. Nat. Rev. Mater. 2016, 1, 16046. [Google Scholar] [CrossRef]
- Sekhar, C.D.; Das, A.K.; Das, A.; Venimadhav, A. Ferroelectricity in CaBaCo4O7 by light non magnetic Zn doping. J. Phys. Condens. Matter 2020, 32, 385802. [Google Scholar] [CrossRef]
- Kazei, Z.A.; Snegirev, V.V.; Vorobev, G.P.; Popov, Y.F.; Vyalykh, D.K.; Kozeeva, L.P.; Kameneva, M.Y. Elastic, magnetic, and magnetoelectric properties of the CaBaCo4O7 multiferroic. J. Exp. Theor. Phys. 2016, 123, 1025–1034. [Google Scholar] [CrossRef]
- Gen, M.; Miyake, A.; Yagiuchi, H.; Watanabe, Y.; Ikeda, A.; Matsuda, Y.H.; Tokunaga, M.; Arima, T.; Tokunaga, Y. Enhancement of giant magnetoelectric effect in Ni-doped CaBaCo4O7. Phys. Rev. B 2022, 105, 214412. [Google Scholar] [CrossRef]
- Sarkar, T.; Seikh, M.M.; Pralong, V.; Caignaerta, V.; Raveau, B. Magnetism of the 114 orthorhombic charge ordered CaBaCo4O7 doped with Zn or Ga: A spectacular valency effect. J. Mater. Chem. 2012, 22, 18043–18050. [Google Scholar] [CrossRef]
- Oda, R.; Kajihara, R.; Nishina, K.; Akaki, M.; Kuroe, H.; Kuwahara, H. Impurity Substitution Effect on Magnetoelectric Properties of CaBaCo4O7 Crystals. Phys. Proc. 2015, 75, 303–308. [Google Scholar] [CrossRef]
- Seikh, M.M.; Caignaert, V.; Suard, E.; Meher, P.; Maignan, A.; Raveau, B. Closely related magnetic and dielectric transitions in the 114 magnetoelectric Zn-doped CaBaCo4O7. J. Appl. Phys. 2014, 116, 244106. [Google Scholar] [CrossRef]
- Hollmann, N.; Valldor, M.; Wu, H.; Hu, Z.; Qureshi, N.; Willers, T.; Chin, Y.-Y.; Cezar, J.C.; Tanaka, A.; Brookes, N.B.; et al. Orbital occupation and magnetism of tetrahedrally coordinated iron in CaBaFe4O7. Phys. Rev. B 2011, 83, 180405. [Google Scholar] [CrossRef]
- Zou, Y.; Qu, Z.; Zhang, L.; Ning, W.; Ling, L.; Pi, L.; Zhang, Y. The effect of Al doping on the structure and magnetism in cobaltite CaBaCo4O7. J. Alloys Compd. 2013, 576, 1–4. [Google Scholar] [CrossRef][Green Version]
- Bhattacharya, S.; Das, R.; Kundu, A.K.; Seikh, M.M. High sensitivity of nickel doping upon magnetism in the 114 magnetoelectric CaBaCo4O7. J. Magn. Magn. Mater. 2022, 557, 169466. [Google Scholar] [CrossRef]
- Ruan, C.L.; Yun, Z.Q.; Hu, J.Y.; Zhang, X.; Wang, S.G.; Dai, Z.X.; Zheng, G.H.; Ma, Y.Q. Magnetic entropy change CaBaCo4O7 compound by Al and Ni substitution. J. Mater. Sci. Mater. Electr. 2022, 33, 26881. [Google Scholar] [CrossRef]
- Zhou, J.; Wang, Y.Q.; Gong, G.; Duan, Y.; Zuo, Y.; Su, Y. The structure, magnetic and dielectric properties of the CaBaCo4−xNixO7 (0 < x < 0.1) compounds. Ceram. Int. 2023, 49, 8576–8582. [Google Scholar] [CrossRef]
- Raveau, B.; Caignaert, V.; Pralong, V.; Pelloquin, D.; Maignan, A. A Series of Novel Mixed Valent Ferrimagnetic Oxides with a TC up to 270 K: Ca1−xYxBaFe4O7. Chem. Mater. 2008, 20, 6295–6297. [Google Scholar] [CrossRef]
- Seikh, M.M.; Pralong, V.; Caignaert, V.; Raveau, B. Local Melting of Charge Ordering in CaBaCo4O7 by Sr-Doping. ZAAC 2014, 640, 1141–1146. [Google Scholar] [CrossRef]
- Katsura, H.; Nagaosa, N.; Balatsky, D.V. Spin Current and Magnetoelectric Effect in Noncollinear Magnets. Phys. Rev. Lett. 2005, 95, 057205. [Google Scholar] [CrossRef] [PubMed]
- Yamasaki, Y.; Miyasaka, S.; Kaneko, Y.; He, J.-P.; Arima, T.; Tokura, Y. Magnetic Reversal of the Ferroelectric Polarization in a Multiferroic Spinel Oxide. Phys. Rev. Lett. 2006, 96, 207204. [Google Scholar] [CrossRef] [PubMed]
- Tserkovnikov, Y.A. Decoupling of chains of equations for two-time Green’s functions. Teor. Mat. Fiz. 1971, 7, 511. [Google Scholar] [CrossRef]
- Cuartero, V.; Blasco, J.; Subias, G.; Garcia, J.; Rodriguez-Velamazan, J.A.; Ritter, C. CaBaCo4−xMxO7 (M = Fe, Zn). Inorg. Chem. 2018, 57, 3360–3370. [Google Scholar] [CrossRef]
- Wang, M.; Wang, Y.; Gong, G.; Li, Z.; Duan, Y.; Zuo, Y.; Wei, M.; Su, Y. Influence of Mn and Ni ions doping on the magnetization and dielectric properties of the CaBaCo4O7 compound. J. Magn. Magn. Mater. 2024, 597, 171991. [Google Scholar] [CrossRef]
- Sekhar, C.D.; Das, A.K.; Singh, R.; Das, A.; Giovannetti, G.; Khomskii, D.; Venimadhav, A. Switching from pyroelectric to ferroelectric order in Ni doped CaBaCo4O7. Phys. Rev. B 2017, 96, 134413. [Google Scholar] [CrossRef]








Disclaimer/Publisher’s Note: The statements, opinions and data contained in all publications are solely those of the individual author(s) and contributor(s) and not of MDPI and/or the editor(s). MDPI and/or the editor(s) disclaim responsibility for any injury to people or property resulting from any ideas, methods, instructions or products referred to in the content. |
© 2024 by the authors. Licensee MDPI, Basel, Switzerland. This article is an open access article distributed under the terms and conditions of the Creative Commons Attribution (CC BY) license (https://creativecommons.org/licenses/by/4.0/).
Share and Cite
Apostolova, I.N.; Apostolov, A.T.; Wesselinowa, J.M. Theoretical Study of the Multiferroic Properties of Ion-Doped CaBaCo4O7. Appl. Sci. 2024, 14, 4859. https://doi.org/10.3390/app14114859
Apostolova IN, Apostolov AT, Wesselinowa JM. Theoretical Study of the Multiferroic Properties of Ion-Doped CaBaCo4O7. Applied Sciences. 2024; 14(11):4859. https://doi.org/10.3390/app14114859
Chicago/Turabian StyleApostolova, Iliana N., Angel T. Apostolov, and Julia M. Wesselinowa. 2024. "Theoretical Study of the Multiferroic Properties of Ion-Doped CaBaCo4O7" Applied Sciences 14, no. 11: 4859. https://doi.org/10.3390/app14114859
APA StyleApostolova, I. N., Apostolov, A. T., & Wesselinowa, J. M. (2024). Theoretical Study of the Multiferroic Properties of Ion-Doped CaBaCo4O7. Applied Sciences, 14(11), 4859. https://doi.org/10.3390/app14114859

