Optical Power Limiter for Charged-Coupled Devices Protection Based on Dye-Doped Nematic Liquid Crystals
Abstract
Featured Application
Abstract
1. Introduction
2. Materials and Methods
3. Results
3.1. The Liquid Crystal Cells with Integrated Thin-Film Polarizers
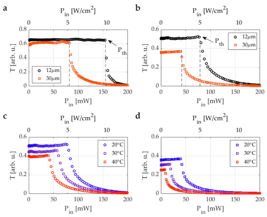
3.2. The Performance of Liquid Crystal Optical Power Limiter with Integrated Thin-Film Polarizers
3.3. Turn-On Time and Response Time
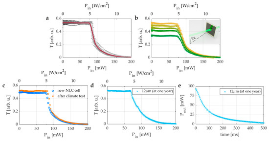
3.4. Repeatability, Field of View, and Climate Tests
4. Conclusions
Author Contributions
Funding
Institutional Review Board Statement
Informed Consent Statement
Data Availability Statement
Conflicts of Interest
References
- Svensson, S.; Björkert, S.; Kariis, H.; Lopes, C. Countering Laser Pointer Threats to Road Safety. In Optics and Photonics for Counterterrorism and Crime Fighting II; Lewis, C., Owen, G.P., Eds.; SPIE: Stockholm, Sweden, 2006; p. 640207. [Google Scholar]
- Webb, C.; Jones, J.D.C. (Eds.) Handbook of Laser Technology and Applications; CRC Press: Boca Raton, FL, USA, 2020; ISBN 978-1-4822-4077-1. [Google Scholar]
- Peng, F.; Lee, Y.-H.; Luo, Z.; Wu, S.-T. Low Voltage Blue Phase Liquid Crystal for Spatial Light Modulators. Opt. Lett. 2015, 40, 5097. [Google Scholar] [CrossRef] [PubMed]
- Ritt, G.; Eberle, B. Sensor Protection against Laser Dazzling; Huckridge, D.A., Ebert, R.R., Eds.; SPIE: Toulouse, France, 2010; p. 783404. [Google Scholar]
- Savage, N. Digital Spatial Light Modulators. Nat. Photon. 2009, 3, 170–172. [Google Scholar] [CrossRef]
- Xie, H.; Wang, L.; Wang, H.; Zou, C.; Wang, M.; Wang, B.; Chen, Z.; Zhang, L.; Zhang, X.; Yang, Z.; et al. Electrically Tunable Properties of Wideband-Absorptive and Reflection-Selective Films Based on Multi-Dichroic Dye-Doped Cholesteric Liquid Crystals. Liq. Cryst. 2015, 42, 1698–1705. [Google Scholar] [CrossRef]
- Yang, D.-K.; Wu, S.-T. Fundamentals of Liquid Crystal Devices; Wiley SID Series in Display Technology; John Wiley: Chichester, UK; Hoboken, NJ, USA, 2006; ISBN 978-0-470-01542-1. [Google Scholar]
- Dini, D.; Calvete, M.J.F.; Hanack, M. Nonlinear Optical Materials for the Smart Filtering of Optical Radiation. Chem. Rev. 2016, 116, 13043–13233. [Google Scholar] [CrossRef]
- Tutt, L.W.; Boggess, T.F. A Review of Optical Limiting Mechanisms and Devices Using Organics, Fullerenes, Semiconductors and Other Materials. Prog. Quantum Electron. 1993, 17, 299–338. [Google Scholar] [CrossRef]
- He, G.S.; Lin, T.-C.; Prasad, P.N.; Cho, C.-C.; Yu, L.-J. Optical Power Limiting and Stabilization Using a Two-Photon Absorbing Neat Liquid Crystal in Isotropic Phase. Appl. Phys. Lett. 2003, 82, 4717–4719. [Google Scholar] [CrossRef]
- Wang, J.; Blau, W.J. Inorganic and Hybrid Nanostructures for Optical Limiting. J. Opt. A Pure Appl. Opt. 2009, 11, 024001. [Google Scholar] [CrossRef]
- Khoo, I.C.; Wood, M.; Shih, M.Y.; Chen, P. Extremely Nonlinear Photosensitive Liquid Crystals for Image Sensing and Sensor Protection. Opt. Express 1999, 4, 432–442. [Google Scholar] [CrossRef]
- Morel, Y.; Irimia, A.; Najechalski, P.; Kervella, Y.; Stephan, O.; Baldeck, P.L.; Andraud, C. Two-Photon Absorption and Optical Power Limiting of Bifluorene Molecule. J. Chem. Phys. 2001, 114, 5391–5396. [Google Scholar] [CrossRef]
- Li, C.; Yang, K.; Feng, Y.; Su, X.; Yang, J.; Jin, X.; Shui, M.; Wang, Y.; Zhang, X.; Song, Y.; et al. Investigation of Two-Photon Absorption Induced Excited State Absorption in a Fluorenyl-Based Chromophore. J. Phys. Chem. B 2009, 113, 15730–15733. [Google Scholar] [CrossRef] [PubMed]
- Sun, Y.-P.; Riggs, J.E.; Henbest, K.B.; Martin, R.B. Nanomaterials as Optical Limiters. J. Nonlinear Optic. Phys. Mat. 2000, 9, 481–503. [Google Scholar] [CrossRef]
- Zhou, G.; Wong, W.; Lin, Z.; Ye, C. White Metallopolyynes for Optical Limiting/Transparency Trade-off Optimization. Angew. Chem. Int. Ed. 2006, 45, 6189–6193. [Google Scholar] [CrossRef] [PubMed]
- Zhou, G.-J.; Wong, W.-Y. Organometallic Acetylides of PtII, AuI and HgII as New Generation Optical Power Limiting Materials. Chem. Soc. Rev. 2011, 40, 2541–2566. [Google Scholar] [CrossRef] [PubMed]
- O’Flaherty, S.M.; Hold, S.V.; Cook, M.J.; Torres, T.; Chen, Y.; Hanack, M.; Blau, W.J. Molecular Engineering of Peripherally And Axially Modified Phthalocyanines for Optical Limiting and Nonlinear Optics. Adv. Mater. 2003, 15, 19–32. [Google Scholar] [CrossRef]
- Senge, M.O.; Fazekas, M.; Notaras, E.G.A.; Blau, W.J.; Zawadzka, M.; Locos, O.B.; Ni Mhuircheartaigh, E.M. Nonlinear Optical Properties of Porphyrins. Adv. Mater. 2007, 19, 2737–2774. [Google Scholar] [CrossRef]
- Bao, Q.; Zhang, H.; Wang, Y.; Ni, Z.; Yan, Y.; Shen, Z.X.; Loh, K.P.; Tang, D.Y. Atomic-Layer Graphene as a Saturable Absorber for Ultrafast Pulsed Lasers. Adv. Funct. Mater. 2009, 19, 3077–3083. [Google Scholar] [CrossRef]
- Chen, Y.; Lin, Y.; Liu, Y.; Doyle, J.; He, N.; Zhuang, X.; Bai, J.; Blau, W.J. Carbon Nanotube-Based Functional Materials for Optical Limiting. J. Nanosci. Nanotechnol. 2007, 7, 1268–1283. [Google Scholar] [CrossRef] [PubMed]
- Qian, H.; Li, S.; Li, Y.; Chen, C.-F.; Chen, W.; Bopp, S.E.; Lee, Y.U.; Xiong, W.; Liu, Z. Nanoscale Optical Pulse Limiter Enabled by Refractory Metallic Quantum Wells. Sci. Adv. 2020, 6, eaay3456. [Google Scholar] [CrossRef]
- Li, C.; Peng, X.; Liu, M.; Song, M.; Li, D. Optical Limiting Property of Gold Nanorods/Silicone Hybrid Materials to Tunable Laser. J. Lumin. 2016, 177, 88–92. [Google Scholar] [CrossRef]
- Li, C.; Liu, M.; Yan, L.; Liu, N.; Li, D.; Liu, J.; Wang, X. Silver Nanoparticles/Polydimethylsiloxane Hybrid Materials and Their Optical Limiting Property. J. Lumin. 2017, 190, 1–5. [Google Scholar] [CrossRef]
- Varma, S.J.; Kumar, J.; Liu, Y.; Layne, K.; Wu, J.; Liang, C.; Nakanishi, Y.; Aliyan, A.; Yang, W.; Ajayan, P.M.; et al. 2D TiS2 Layers: A Superior Nonlinear Optical Limiting Material. Adv. Opt. Mater. 2017, 5, 1700713. [Google Scholar] [CrossRef]
- Guo, Z.; Du, F.; Ren, D.; Chen, Y.; Zheng, J.; Liu, Z.; Tian, J. Covalently Porphyrin-Functionalized Single-Walled Carbon Nanotubes: A Novel Photoactive and Optical Limiting Donor–Acceptor Nanohybrid. J. Mater. Chem. 2006, 16, 3021–3030. [Google Scholar] [CrossRef]
- Vivas, M.G.; De Boni, L.; Cooper, T.M.; Mendonca, C.R. Interpreting Strong Two-Photon Absorption of PE3 Platinum Acetylide Complex: Double Resonance and Excited State Absorption. ACS Photonics 2014, 1, 106–113. [Google Scholar] [CrossRef]
- Vivas, M.G.; De Boni, L.; Cooper, T.M.; Mendonca, C.R. Understanding the Two-Photon Absorption Spectrum of PE2 Platinum Acetylide Complex. J. Phys. Chem. A 2014, 118, 5608–5613. [Google Scholar] [CrossRef] [PubMed]
- De La Torre, G.; Vázquez, P.; Agulló-López, F.; Torres, T. Role of Structural Factors in the Nonlinear Optical Properties of Phthalocyanines and Related Compounds. Chem. Rev. 2004, 104, 3723–3750. [Google Scholar] [CrossRef] [PubMed]
- Limosani, F.; Tessore, F.; Di Carlo, G.; Forni, A.; Tagliatesta, P. Nonlinear Optical Properties of Porphyrin, Fullerene and Ferrocene Hybrid Materials. Materials 2021, 14, 4404. [Google Scholar] [CrossRef]
- Blau, W.J.; Byrne, H.J.; Cardin, D.J.; Dennis, T.J.; Hare, J.P.; Kroto, H.W.; Taylor, R.; Walton, D.R.M. Large Infrared Nonlinear Optical Response of C 60. Phys. Rev. Lett. 1991, 67, 1423–1425. [Google Scholar] [CrossRef]
- Wang, L.; Li, Q. Stimuli-Directing Self-Organized 3D Liquid-Crystalline Nanostructures: From Materials Design to Photonic Applications. Adv. Funct. Mater. 2016, 26, 10–28. [Google Scholar] [CrossRef]
- Muševič, I. Integrated and Topological Liquid Crystal Photonics. Liq. Cryst. 2014, 41, 418–429. [Google Scholar] [CrossRef]
- Johnson, R.V.; Tanguay, A.R. Optical Beam Propagation in Anisotropic Media. In Proceedings of the Annual Meeting Optical Society of America; Optica Publishing Group, Washington, DC, USA, 14–18 October 1985; Optica Publishing Group: Washington, DC, USA, 1985. paper FS1. [Google Scholar]
- Li, Q. (Ed.) Liquid Crystals Beyond Displays: Chemistry, Physics, and Applications, 1st ed.; Wiley: Hoboken, NJ, USA, 2012; ISBN 978-1-118-07861-7. [Google Scholar]
- Schadt, M. Nematic Liquid Crystals and Twisted-Nematic LCDs. Liq. Cryst. 2015, 42, 646–652. [Google Scholar] [CrossRef]
- Khoo, I.C. Nonlinear Optics of Liquid Crystalline Materials. Phys. Rep. 2009, 471, 221–267. [Google Scholar] [CrossRef]
- Khoo, I.-C.; Wu, S.-T. Optics and Nonlinear Optics of Liquid Crystals; Series in Nonlinear Optics; World Scientific: Singapore, 1993; ISBN 978-981-02-0935-3. [Google Scholar]
- Khoo, I.C. Nonlinear Optics, Active Plasmonics and Metamaterials with Liquid Crystals. Prog. Quantum Electron. 2014, 38, 77–117. [Google Scholar] [CrossRef]
- Wang, L. Self-Activating Liquid Crystal Devices for Smart Laser Protection. Liq. Cryst. 2016, 43, 2062–2078. [Google Scholar] [CrossRef]
- Usui, K.; Matsumoto, K.; Katayama, E.; Akamatsu, N.; Shishido, A. A Deformable Low-Threshold Optical Limiter with Oligothiophene-Doped Liquid Crystals. ACS Appl. Mater. Interfaces 2021, 13, 23049–23056. [Google Scholar] [CrossRef]
- Zhang, R.; Zhang, Z.; Han, J.; Yang, L.; Li, J.; Song, Z.; Wang, T.; Zhu, J. Advanced Liquid Crystal-Based Switchable Optical Devices for Light Protection Applications: Principles and Strategies. Light Sci. Appl. 2023, 12, 11. [Google Scholar] [CrossRef] [PubMed]
- Khoo, I.C.; Park, J.-H.; Liou, J. All-Optical Switching of Continuous Wave, Microsecond Lasers with a Dye-Doped Nematic Liquid Crystal. Appl. Phys. Lett. 2007, 90, 151107. [Google Scholar] [CrossRef]
- Sheng, C.; Norwood, R.A.; Wang, J.; Thomas, J.; Steeves, D.; Kimball, B.; Peyghambarian, N. Nonlinear Optical Transmission of Lead Phthalocyanine-Doped Nematic Liquid Crystal Composites for Multiscale Nonlinear Switching from Nanosecond to Continuous Wave. Appl. Opt. 2009, 48, 2731–2734. [Google Scholar] [CrossRef]
- Khoo, I.-C.; Park, J.-H.; Liou, J.D. Theory and Experimental Studies of All-Optical Transmission Switching in a Twist-Alignment Dye-Doped Nematic Liquid Crystal. J. Opt. Soc. Am. B 2008, 25, 1931–1937. [Google Scholar] [CrossRef]
- Thomas, R.J.; Rockwell, B.A.; Marshall, W.J.; Aldrich, R.C.; Zimmerman, S.A.; Rockwell, R.J. A Procedure for Laser Hazard Classification under the Z136.1-2000 American National Standard for Safe Use of Lasers. J. Laser Appl. 2002, 14, 57–66. [Google Scholar] [CrossRef]
- Thomas, R.J.; Rockwell, B.A.; Marshall, W.J.; Aldrich, R.C.; Zimmerman, S.A.; Rockwell, R.J. A Procedure for Multiple-Pulse Maximum Permissible Exposure Determination under the Z136.1-2000 American National Standard for Safe Use of Lasers. J. Laser Appl. 2001, 13, 134–140. [Google Scholar] [CrossRef]
- Dabrowski, R.; Dziaduszek, J.; Szczuciński, T. Mesomorphic Characteristics of Some New Homologous Series with the Isothiocyanato Terminal Group. Mol. Cryst. Liq. Cryst. 1985, 124, 241–257. [Google Scholar] [CrossRef]
- Dabrowski, R.; Dziaduszek, J.; Szczucinskl, T. 4-/Trans-4′-n-Alkylcyclohezxyl/Isothiocyanatobenzenes a New Class of Low-Melting Stable Nematics. Mol. Cryst. Liq. Cryst. 1984, 102, 155–160. [Google Scholar] [CrossRef]
- Self, R.H.; Please, C.P.; Sluckin, T.J. Deformation of Nematic Liquid Crystals in an Electric Field. Eur. J. Appl. Math. 2002, 13, 1–23. [Google Scholar] [CrossRef]
- Durbin, S.D.; Arakelian, S.M.; Shen, Y.R. Optical-Field-Induced Birefringence and Freedericksz Transition in a Nematic Liquid Crystal. Phys. Rev. Lett. 1981, 47, 1411–1414. [Google Scholar] [CrossRef]
- Alberucci, A.; Laudyn, U.A.; Piccardi, A.; Kwasny, M.; Klus, B.; Karpierz, M.A.; Assanto, G. Nonlinear Continuous-Wave Optical Propagation in Nematic Liquid Crystals: Interplay between Reorientational and Thermal Effects. Phys. Rev. E 2017, 96, 012703. [Google Scholar] [CrossRef] [PubMed]
- Unsal, Y.E.; Tuzen, M.; Soylak, M. Spectrophotometric Determination of Sudan Blue II in Environmental Samples after Dispersive Liquid-Liquid Microextraction. Quím. Nova 2014, 37, 1128–1131. [Google Scholar] [CrossRef]
- Kwaśny, M.; Klus, B.W.; Laudyn, U.A. Dual Role of Beam Polarization and Power in Nematic Liquid Crystals: A Comprehensive Study of TE- and TM-Beam Interactions. Materials 2024, 17, 999. [Google Scholar] [CrossRef]
- Kwaśny, M.; Ostromęcka, I.; Klus, B.W.; Laudyn, U.A. Interplay of Reorientational and Thermal Solitons: Unveiling the Dynamic Coexistence and Enhanced Nonlinear Response in Nematic Liquid Crystals. Opt. Mater. Express 2023, 13, 2071–2082. [Google Scholar] [CrossRef]
- Chen, J.; Cranton, W.; Fihn, M. (Eds.) Handbook of Visual Display Technology; Springer Reference; Springer: Berlin, Germany, 2012; ISBN 978-3-540-79566-7. [Google Scholar]
- Martin, R.; Simon-Hettich, B.; Becker, W. New EU Legislation (WEEE) Compliant Recovery Processes for LCDs. IDW 04 Proc of the 11th IDW: 583-586. Available online: http://www.lcdtvassociation.org/images/Proceeding_New_EU_Legislation_WEEE_Compliant_Recovery_Processes_for_LCDs-Merck_September_2008n.pdf (accessed on 22 May 2024).






| Cell Thickness | Pin = 100 mW | Pin = 200 mW |
|---|---|---|
| 12 μm | T1 = 18 ms; T2 = 410 ms | T1 = 12 ms; T2 = 300 ms |
| 30 μm | T1 = 19 ms; T2 = 335 ms | T1 = 15 ms; T2 = 320 ms |
Disclaimer/Publisher’s Note: The statements, opinions and data contained in all publications are solely those of the individual author(s) and contributor(s) and not of MDPI and/or the editor(s). MDPI and/or the editor(s) disclaim responsibility for any injury to people or property resulting from any ideas, methods, instructions or products referred to in the content. |
© 2024 by the authors. Licensee MDPI, Basel, Switzerland. This article is an open access article distributed under the terms and conditions of the Creative Commons Attribution (CC BY) license (https://creativecommons.org/licenses/by/4.0/).
Share and Cite
Klus, B.W.; Kwaśny, M.; Karpierz, M.A.; Laudyn, U.A. Optical Power Limiter for Charged-Coupled Devices Protection Based on Dye-Doped Nematic Liquid Crystals. Appl. Sci. 2024, 14, 4682. https://doi.org/10.3390/app14114682
Klus BW, Kwaśny M, Karpierz MA, Laudyn UA. Optical Power Limiter for Charged-Coupled Devices Protection Based on Dye-Doped Nematic Liquid Crystals. Applied Sciences. 2024; 14(11):4682. https://doi.org/10.3390/app14114682
Chicago/Turabian StyleKlus, Bartłomiej Wojciech, Michał Kwaśny, Mirosław Andrzej Karpierz, and Urszula Anna Laudyn. 2024. "Optical Power Limiter for Charged-Coupled Devices Protection Based on Dye-Doped Nematic Liquid Crystals" Applied Sciences 14, no. 11: 4682. https://doi.org/10.3390/app14114682
APA StyleKlus, B. W., Kwaśny, M., Karpierz, M. A., & Laudyn, U. A. (2024). Optical Power Limiter for Charged-Coupled Devices Protection Based on Dye-Doped Nematic Liquid Crystals. Applied Sciences, 14(11), 4682. https://doi.org/10.3390/app14114682

