Next Article in Journal
Combining Balancing Dataset and SentenceTransformers to Improve Short Answer Grading Performance
Previous Article in Journal
Impact of Fat Content and Lactose Presence on Refractive Index in Different Types of Cow Milk
 
 
Font Type:
Arial Georgia Verdana
Font Size:
Aa Aa Aa
Line Spacing:
Column Width:
Background:
Article

Prediction of Percentage of Completed Repetitions to Failure Using Velocity Loss: Does the Relationship Remain Stable throughout a Training Session?

by
Alejandro Pérez-Castilla
1,
Deniz Şentürk
2,
Zeki Akyildiz
3,
Ivan Jukic
4,5 and
Amador García-Ramos
6,7,*
1
Department of Education, Faculty of Education Sciences, University of Almería, 04120 Almería, Spain
2
School of Physical Education of Sports Department, Physical Education and Sports, Istanbul Gelişim University, Istanbul 34000, Turkey
3
Department of Coaching Education, Sports Science Faculty, Afyon Kocatepe University, Afyonkarahisar 03204, Turkey
4
Division of Sport and Exercise Sciences, School of Applied Sciences, Abertay University, Dundee DD1 1HG, UK
5
Sport Performance Research Institute New Zealand (SPRINZ), Auckland University of Technology, Auckland 1010, New Zealand
6
Department of Physical Education and Sport, Faculty of Sport Sciences, University of Granada, 18012 Granada, Spain
7
Department of Sports Sciences and Physical Conditioning, Faculty of Education, Universidad Católica de la Santísima Concepción, Concepción 4070129, Chile
*
Author to whom correspondence should be addressed.
Appl. Sci. 2024, 14(11), 4531; https://doi.org/10.3390/app14114531
Submission received: 23 April 2024 / Revised: 20 May 2024 / Accepted: 23 May 2024 / Published: 25 May 2024
(This article belongs to the Section Applied Biosciences and Bioengineering)

Abstract

Featured Application

The fastest velocity specific to each set should be recommended to obtain a more accurate estimation of the actual percentage of completed repetitions (%Rep) because the use of the fastest velocity of the first set could overestimate the %Rep when the successive sets are initiated in a fatigued condition.

Abstract

This study explored the goodness-of-fit and the effect of fatigue on the precision of both generalized and individualized relationships between the velocity loss (%VL) magnitude and the percentage of completed repetitions with respect to the maximal that can be performed to failure (%Rep) in the Smith machine parallel back-squat exercise. Twenty-nine resistance-trained males completed four sets to failure, with a rest period of 2 min, against 75% of the one-repetition maximum. Generalized and individualized %Rep-%VL equations determined in the first set were used to estimate %Rep when a 20%VL was achieved during the three successive sets. Individualized %Rep-%VL relationships (R2 = 0.84–0.99) showed a greater goodness-of-fit than the generalized %Rep-%VL relationship (R2 = 0.82). However, the accuracy in the %Rep estimation was always low (absolute errors > 10%) and comparable for both regression models (p = 0.795). %Rep was progressively overestimated when increasing the number of sets using the MVfastest of the first set (from 15% to 45%), but no meaningful overestimations were observed using the MVfastest of each set (~2%). In conclusion, neither the generalized nor the individual %Rep-%VL equations provide accurate estimations of %Rep during the parallel back-squat exercise executed under fatigue.

1. Introduction

Numerous studies have established a significant and negative correlation between the amount of weight lifted (often measured relative to the one-repetition maximum [%1RM]) and the maximum repetitions achievable to failure across various resistance training (RT) exercises [1,2,3]. Traditionally, the repetition volume in RT has been determined by guiding each individual to execute a predetermined number of repetitions per exercise set [4]. Yet, extensive research has shown that this method is flawed due to significant differences among individuals in the maximum repetitions they can perform to failure at a specific relative load [5,6]. This suggests that when individuals lift the same relative load completing the same number of repetitions, their exertion levels may vary (i.e., the number of repetitions they could still perform may differ). Given that the neural and morphological changes resulting from RT are greatly influenced by the volume of training [7,8], it is crucial to explore more precise ways of prescribing repetition volume during RT.
Currently, strength and conditioning experts can instantly receive feedback on the velocity of each repetition during RT [9,10]. It is widely recognized that, when repetitions are carried out with maximum concentric effort, there is a gradual reduction in barbell velocity as fatigue sets in [11,12]. Earlier research has shown that (i) the reduction in velocity during RT (i.e., the percentage of velocity decline between the fastest and last repetition of the set; %VL) correlates strongly with both mechanical (e.g., decrease in jump height) and metabolic (e.g., increase in blood lactate levels) indicators of fatigue [13,14]; and (ii) there is a robust association between %VL and the percentage of performed repetitions relative to the maximum number that can be achieved until failure (%Rep) across different loads [5,6]. Drawing on this evidence, numerous researchers have suggested that %VL could provide a more objective measure of exertion in a set compared to traditional methods of RT prescription [5,13]. In particular, employing %VL might promote a more uniform exertion level among individuals due to the minimal variability in %Rep at different levels of %VL [5,6]. Nonetheless, it remains unclear whether to use generalized or individualized %Rep-%VL correlations for more precise repetition prescriptions. In this context, a superior accuracy has been observed using individualized %Rep-%VL relationships over generalized ones in the bench press performed in a Smith machine [15]. However, considering the dependency of %Rep-%VL relationships on the specific exercise [6], further investigation is necessary to determine if individualized %Rep-%VL relationships could also enhance accuracy in other RT exercises.
Prior research has indicated that the %Rep derived from individualized %Rep-%VL equations exhibits high consistency in the short term (6–7 days) in the Smith machine bench press at a 60%1RM load [5], and over a longer period (12 weeks) in the pull-up exercise using body mass [16]. Additionally, it has been found that the %Rep linked with varying %VL (from 15% to 75%) remained consistent (mean difference <3%) following a RT program of 12 weeks, even though participants significantly increased their maximum repetitions to failure (pre-test: 15.1 ± 4.2 repetitions; post-test: 17.0 ± 4.1 repetitions) [16]. Despite these positive results, no research has yet assessed the precision of generalized and individualized %Rep-%VL relationships in predicting %Rep during a typical training session that includes multiple sets. It is likely that the fatigue from performing multiple sets has different impacts on the pattern of repetition velocity loss and the maximum repetitions achieved to failure [17]. Fatigue may also be reflected in a reduced mean velocity of the fastest repetition in a set (MVfastest) [17,18]. Moreover, %VL can be calculated using either a fixed (MVfastest of the first set) or a flexible (MVfastest specific to each set) reference repetition velocity. Yet, there is little information regarding whether the choice of reference velocity for calculating %VL influences the accuracy of %Rep estimates at different %VL levels.
To address some gaps related to the use of %VL to quantify proximity to failure, the current study aimed to (i) compare the goodness-of-fit between the individualized and generalized %Rep-%VL relationships obtained during a single set of repetitions to failure in the Smith machine parallel back-squat exercise against the 75%1RM load, (ii) elucidate whether the generalized and individualized %Rep-%VL equations modeled from the data collected in the first set can provide accurate estimations of the %Rep when a moderate %VL is achieved during the successive sets (second, third, and fourth sets) of the training session, and (iii) determine whether the reference repetition (MVfastest specific to each set vs. MVfastest of the first set) used for computing the %VL affects the magnitude of the errors when estimating %Rep. It was hypothesized that there would be a greater goodness-of-fit (higher coefficient of determination [R2] and lower standard error of the estimate [SEE]) for individualized compared to generalized %Rep-%VL relationships [15]. However, since no study has previously examined the effect of fatigue on the precision of the %Rep-%VL equations, no specific hypotheses were formulated regarding our second and third aims.

2. Materials and Methods

2.1. Participants

Twenty-nine resistance-trained men (mean ± [standard deviation; SD]; age = 22.6 [2.2] years; body mass = 79.9 [8.0] kg; height = 1.79 [0.05] m; parallel back-squat 1RM relative to body weight = 2.1 [0.3]) agreed to take part in this research. Participants had an average of 2.8 ± 1.6 years of experience in RT and were proficient in the parallel back-squat exercise. They reported no physical conditions or musculoskeletal injuries that could influence their performance in the tests. All participants were briefed on the study methods and provided written informed consent before the start of the study. The research design complied with the Declaration of Helsinki principles and was approved by the Ethics Committee of University of Granada (protocol code: 3666/CEIH/2023; date of approval: 20 October 2023).

2.2. Study Design

Participants came to the laboratory on four occasions, spaced 48–72 h apart. The initial visit involved measuring anthropometrics and establishing the one-repetition maximum (1RM) for the parallel back-squat on a Smith machine, which was the exercise used in all following sessions. During the second and third sessions, for familiarization, participants performed a set of repetitions to failure at the maximum intended velocity with three different loads (70%1RM, 80%1RM, and 90%1RM). The fourth visit was the main experimental session, consisting of four sets of repetitions to failure at the 75%1RM load, with each set followed by a 2 min rest period. The 75%1RM was selected because it is a relative load commonly used in RT programs and it has been previously considered in studies that have explored the properties of %Rep-%VL relationships [5,6,19]. In this session, both the generalized and individualized %Rep-%VL equations derived from the data of the first set were employed to predict %Rep at a 20%VL during the remaining sets. The %VL was calculated using two different reference velocities: the fastest mean velocity (MVfastest) specific to each set and the MVfastest from the first set. The 20%VL was chosen because it has been found to effectively enhance strength adaptations from a back-squat training regimen while reducing the fatigue associated with higher %VL [20]. Data from all participants were aggregated to establish the generalized %Rep-%VL relationship, whereas individualized %Rep-%VL relationships were calculated for each participant separately.

2.3. Procedures

2.3.1. RM Evaluation and Familiarization (Sessions 1–3)

At the outset of the first session, participants’ body height and body mass were evaluated using a Seca model 654 scale (Seca®, Hamburg, Germany). The warm-up before the 1RM test included jogging, exercises for mobilizing the lower-body joints, five back-squat repetitions with 20 kg (the weight of the Smith machine barbell when unloaded), three squats at 50% of the perceived 1RM, and two squats at 80% of the perceived 1RM. These warm-up activities preceded 2–5 single attempts to establish the 1RM, with load increments agreed upon by the participant and an experienced researcher. Participants had a five-minute rest between each 1RM attempt.
For the following two sessions aimed at familiarizing them with the repetitions to failure test, participants returned to the laboratory. These sessions started with a consistent warm-up routine similar to the first, followed by sets of 10, 3, and 1 repetitions of the back-squat at 30%1RM, 70%1RM, and 90%1RM loads, respectively. The core part of these sessions involved single sets of repetitions to failure at 70%1RM, 80%1RM, and 90%1RM, with each set separated by a ten-minute rest. Immediate verbal feedback on barbell velocity after each repetition encouraged participants to maintain maximal intended velocity [21].
The parallel back-squat was consistently executed on a Smith machine (Technogym, Gambettola, Italy). Starting from a standing position with feet shoulder-width apart and the barbell positioned high on the back near the acromion, participants would squat until their thighs were parallel to the ground and then ascend as quickly as possible [22]. Constant downward pressure was maintained on the barbell throughout the movement, and jumping was prohibited. Emphasis was placed on lifting the barbell quickly from the first to the last repetition across all sets. The mean velocity (MV) of each repetition was tracked using a GymAware PowerTool linear position transducer (Kinetic Performance Technologies, Canberra, Australia) [23,24].

2.3.2. Repetitions-to-Failure Testing (Session 4)

The warm-up for the main experimental session mirrored that of sessions 2 and 3. After a three-minute rest post-warm-up, participants performed four sets of repetitions to failure at the 75%1RM load, resting two minutes between sets. The performance variables recorded included the MV of each repetition, the fastest MV of each set (MVfastest), the MV recorded in the last repetition (MVlast), and the %VL of each set (%VL = [(MVlast − MVfastest)/MVfastest] × 100) [5,6,15].

2.4. Statistical Analyses

Descriptive statistics are provided as mean, SD, and range. Data normality was verified using the Shapiro–Wilk test (p > 0.05). To evaluate differences in the maximal number of repetitions, MVfastest, MVlast, and %VL across the four sets, we conducted a one-factor repeated-measures ANOVA. When sphericity assumptions were not met, as indicated by Mauchly’s test, corrections were made using the Greenhouse–Geisser adjustment. Pairwise differences were elucidated with Bonferroni post hoc analyses. A second-order polynomial regression model was utilized to establish both generalized and individualized %Rep-%VL relationships based on data from the first set conducted in session 4. The goodness-of-fit of these %Rep-%VL relationships was assessed using R2 and standard error of estimate (SEE).
The differences between the actual %Rep achieved in the 2nd, 3rd, and 4th sets when a 20%VL was reached, and the %Rep predicted by the generalized and individualized %Rep-%VL equations from the first set, were measured as raw and absolute errors. These errors were analyzed using a three-way repeated-measures ANOVA (regression model [individualized vs. generalized %Rep-%VL equation] × reference repetition [MVfastest specific to each set vs. MVfastest of the 1st set] × set number [2nd vs. 3rd vs. 4th]). Significant interactions and main effects prompted pairwise comparisons, which were performed using paired t-tests with Bonferroni adjustments.
The precision of the individualized and generalized %Rep-%VL relationships was classified as high (absolute error < 5%), moderate (absolute error between 5% and 10%), or low (absolute error > 10%). Statistical tests were conducted using SPSS software (Version 22.0; IBM Corp., Armonk, NY, USA). The significance threshold was set at p ≤ 0.05.

3. Results

The ANOVAs revealed significant differences between the sets for the number of repetitions completed to failure, MVfastest, MVlast, and %VL (F ≥ 9.3; p < 0.001). The number of repetitions completed to failure and MVfastest were progressively reduced when increasing the number of sets (all p < 0.001). Set 1 revealed the greatest MVlast (p ≤ 0.011), while the greatest %VL was observed for set 4 (p ≤ 0.043) (Table 1).
The generalized %Rep-%VL relationship revealed an acceptable goodness-of-fit (R2 = 0.82) and high errors (SEE = 12.4%Rep) (Figure 1). Individualized %Rep-%VL equations were generally stronger (R2 = 0.92 ± 0.04 [0.84–0.99]) and presented lower errors (SEE = 8.8 ± 2.4%Rep [3.7–13.0%Rep]) compared to the generalized %Rep-%VL equation.
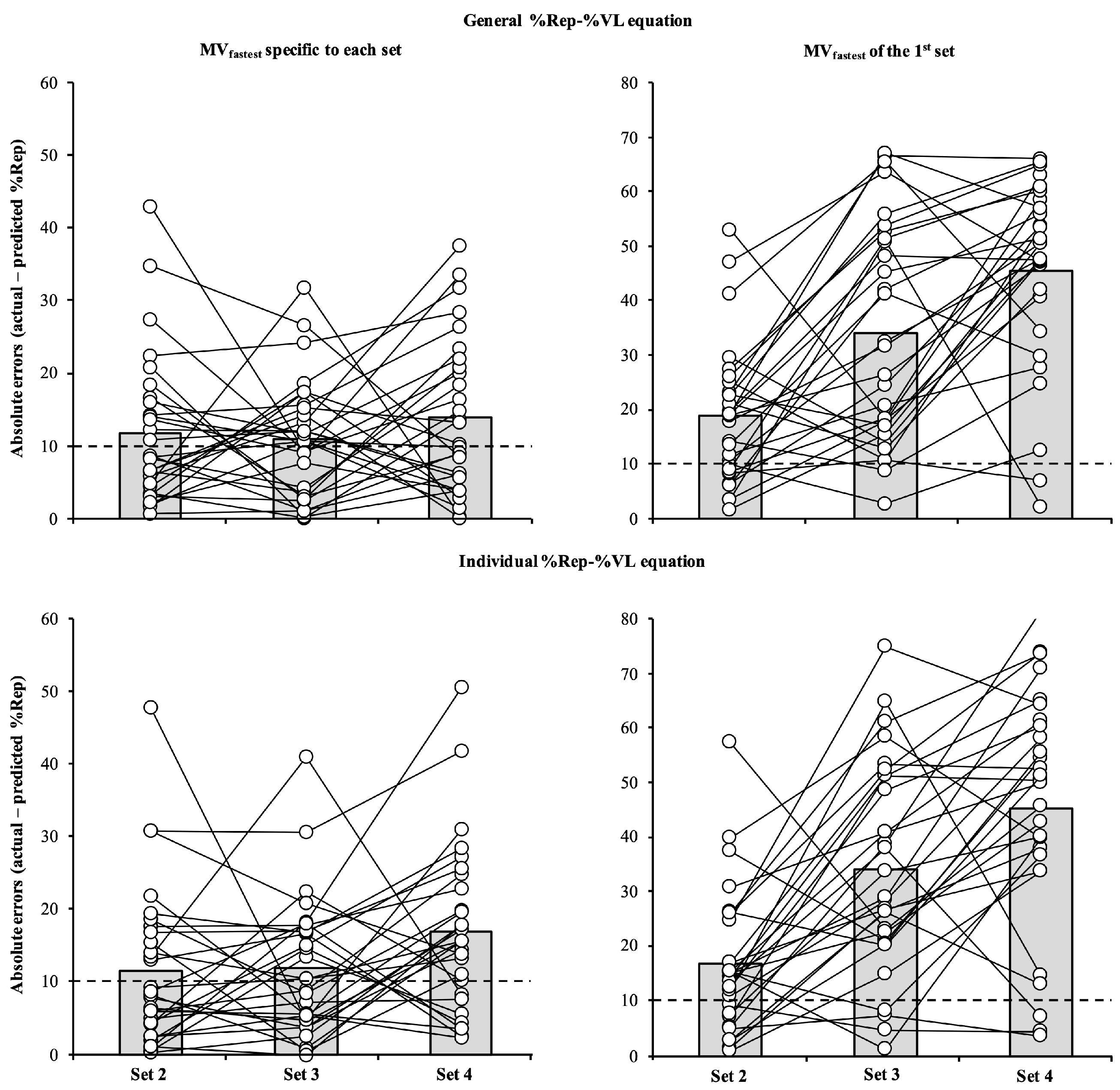
The ANOVA conducted on the absolute errors revealed a significant reference repetition × number of sets interaction (F = 18.86; p < 0.001) as the effect of the increase in the number of sets on the magnitude of the absolute errors was more accentuated using the MVfastest of the first set compared to using the MVfastest specific to each set. The remaining interactions did not reach statistical significance (F ≤ 1.24; p ≥ 0.298), and the magnitude of the absolute errors was always low (>10%). In addition, a significant main effect of the reference repetition (F = 93.5, p < 0.001; higher errors using the MVfastest of the 1st set compared to using the MVfastest specific to each set) and number of sets was also observed (F = 22.9, p < 0.001; higher errors with increasing number of sets), but not for the regression model (F = 0.07, p = 0.795) (Figure 2).
The ANOVA conducted on the raw errors revealed the reference repetition × number of sets interaction was also significant (F = 47.52 p < 0.001) as the overestimation of the predicted %Rep with the increase in the number of sets was only observed using the MVfastest of the first set. The remaining interactions failed to reach statistical significance (F ≤ 1.87; p ≥ 0.180). In addition, a significant main effect of the reference repetition (F = 125.8, p < 0.001; the predicted %Rep was overestimated using the MVfastest of the first set, but no meaningful overestimations were observed using the MVfastest specific to each set) and the number of sets was also observed (F = 4.03, p = 0.023; the overestimation of the predicted %Rep was greater as the number of sets increased), but not of the regression model (F = 0.02; p = 0.893) (Figure 3).

4. Discussion

This study was designed to compare the goodness-of-fit between the individualized and generalized %Rep-%VL relationships as well as to explore the effect of fatigue on the accuracy of these relationships to estimate the %Rep when a moderate 20%VL is achieved during the Smith machine parallel back-squat. The main findings of the present study revealed (i) a high R2 for generalized and individualized %Rep-%VL relationships, but the SEE was generally high, (ii) a lower goodness-of-fit for the generalized compared to the individualized %Rep-%VL relationships, (iii) a low (absolute errors > 10%) and comparable accuracy in the %Rep estimation for both %Rep-%VL relationships, and (iv) the overestimation of %Rep was progressively higher as the number of sets increased when using the MVfastest of the first set but not the MVfastest specific to each set. These results suggest that neither the generalized nor individualized %Rep-%VL equations are able to provide accurate estimations of %Rep during a parallel back-squat training session consisting of multiple sets to fatigue.
The strength of the generalized %Rep-%VL relationship observed in our study for the parallel back-squat exercise (R2 = 0.82; SEE = 12.4%Rep) was weaker compared to that previously reported for other RT exercises performed against similar relative loads such as the full back squat at 70–80%1RM (R2 = 0.93; SEE = 7.1 to 7.2%Rep) [6], bench press at 75%1RM (R2 = 0.97; SEE = 5.2%Rep) [5], prone bench pull at 75%1RM (R2 ≥ 0.99; SEE not reported) [19], and shoulder press at 75%1RM (R2 ≥ 0.99; SEE not reported) [19]. Furthermore, supporting our hypothesis, the individualized %Rep-%VL relationships (R2 = 0.84–0.99) provided greater goodness-of-fit than the generalized %Rep-%VL relationship. Our findings support the results from Sánchez-Moreno et al. [15], who revealed that the goodness-of-fit was superior for individualized %Rep-%VL relationships (R2 = 0.97–0.99) compared to generalized %Rep-%VL relationships (R2 = 0.80–0.94) in the bench press also performed in a Smith machine. Therefore, although the goodness-of-fit of the %Rep-%VL relationships obtained in the present study was somewhat lower than those reported in previous studies [5,6,15,16,19], our findings provide additional evidence confirming the better goodness-of-fit for individualized %Rep-%VL relationships.
The present study is the first to examine the accuracy of %Rep-%VL equations for predicting %Rep during a RT session consisting of multiple sets of the same exercise. For this purpose, we determined the raw and absolute differences between the actual %Rep completed during the second, third, and fourth set of back-squats after reaching a 20%VL and the %Rep predicted using %Rep-%VL relationships obtained with the data collected in the first set. Our findings suggest that, independently of the regression model considered, the accuracy in the prediction of the %Rep was always low (absolute errors > 10%). These results are in disagreement with previous studies reporting an acceptable consistency (coefficient of variation < 7%) and high stability (mean difference < 2.4%) of the %Rep estimated using individualized %Rep-%VL equations obtained during the bench press exercise at 60%1RM [5] and the pull-up performed without external loads [16]. The lower accuracy of the %Rep-%VL equations observed in our study could be attributed to the fact that the pattern of repetition velocity loss is not always linear due to improper technique, lack of concentration, or other sources of biological variability [25,26]. Furthermore, as observed in the present study, this problem could be magnified by the fatigue induced when performing multiple RT sets [17]. Considering all the above, the findings of the current study suggest that, independently of whether individualized or generalized Rep-%VL relationships are applied, the %Rep cannot be estimated with a high precision using %VL during a parallel back-squat training session consisting of multiple sets.
In line with previous studies, the fatigue induced by executing multiple sets was manifested not only by a decrease in the number of repetitions completed to failure, but also by a decrease in the MVfastest of the set [17,18]. Consequently, another objective in the present study was to elucidate whether the reference repetition (i.e., using MVfastest specific to each set vs. MVfastest of the first set) used for computing the %VL may affect the magnitude of the errors when estimating %Rep. Our findings suggest that, regardless of whether the individualized or generalized %Rep-%VL equations are considered, the %Rep estimated when reaching a 20%VL was generally overestimated when using the MVfastest of the first set but not MVfastest specific to each set. Therefore, it seems that fatigue induced by performing multiple RT sets compromises the utility of the %Rep-%VL relationship when using the MVfastest of the first set. However, it should still be noted that individuals might stop the sets closer to failure (i.e., leaving a lower number of repetitions in reserve) if sets are initiated in a fatigue condition when a fixed %VL is prescribed using the MVfastest specific to each set, because the final absolute velocities of RT sets are expected to be lower.
While our study has revealed valuable and novel insights regarding the effect of fatigue on the precision of %Rep-%VL equations for predicting %Rep during a standard training session consisting of multiple sets of the parallel back-squat exercise, we should note a number of limitations and potential areas for future research. Similar to the majority of studies that have examined the %Rep-%VL relationships [5,6,15,16,19,25,27], our sample size consisted exclusively of resistance-training males and, therefore, the present findings might not transfer to female individuals or untrained individuals. Therefore, future studies should investigate the goodness-of-fit and precision of %Rep-%VL equations in female individuals. Second, we have explored the effect of fatigue on the accuracy of %Rep-%VL equations obtained during the parallel back-squat exercise against the 75%1RM load. Since the %Rep-%VL relationship is exercise- and load-dependent [6], more studies are needed to elucidate whether the present findings can be extrapolated to other loads and RT exercises. Finally, similar to previous studies [5,6,15,19], the use of a Smith machine could compromise the ecological validity of our findings. Although the accuracy of the %Rep-%VL equations is unlikely to improve when using free-weights, it is important that future studies compare the behavior of %VL and %Rep between the same exercises performed with free-weights and in a Smith machine.

5. Conclusions

Individualized %Rep-%VL relationships provided a better goodness-of-fit than the generalized %Rep-%VL relationship during the parallel back-squat exercise performed in a Smith machine against the 75%1RM load. However, independently of whether the individualized or generalized %Rep-%VL relationships are used, the monitoring of %VL cannot be used as an accurate predictor of %Rep during a RT session consisting of multiple sets. The MVfastest specific to each set is recommended to obtain greater precision regarding the actual %Rep because the use of the MVfastest of the first set could overestimate the %Rep when the successive sets are initiated in a fatigued condition. However, it is also important to note that using the MVfastest specific to each set when the sets are initiated in a fatigued condition inevitably leads to individuals stopping the sets closer to failure when a fixed %VL is prescribed. These results do not support the use of %VL to accurately quantify proximity to failure during the Smith machine parallel back-squat exercise.

Author Contributions

Conceptualization, A.G.-R.; methodology, A.G.-R., D.Ş. and Z.A.; formal analysis, A.P.-C.; investigation, D.Ş. and Z.A.; resources, D.Ş. and Z.A.; data curation, A.P.-C.; writing—original draft preparation, A.P.-C.; writing—review and editing, all authors; visualization, all authors; supervision, A.G.-R. All authors have read and agreed to the published version of the manuscript.

Funding

This research received no external funding.

Institutional Review Board Statement

The study was conducted in accordance with the Declaration of Helsinki, and approved by the Ethics Committee of University of Granada (protocol code: 3666/CEIH/2023; date of approval: 20 October 2023).

Informed Consent Statement

Informed consent was obtained from all subjects involved in the study.

Data Availability Statement

The raw data supporting the conclusions of this article will be made available by the authors on request.

Acknowledgments

The authors thank all the athletes who selflessly gave their maximal effort to participate in this study.

Conflicts of Interest

The authors declare no conflicts of interest.

References

  1. Wood, T.M.; Maddalozzo, G.F.; Harter, R.A. Accuracy of Seven Equations for Predicting 1-RM Performance of Apparently Healthy, Sedentary Older Adults. Meas. Phys. Educ. Exerc. Sci. 2002, 6, 67–94. [Google Scholar] [CrossRef]
  2. LeSuer, D.A.; McCormick, J.H.; Mayhew, J.L.; Wasserstein, R.L.; Arnold, M.D. The Accuracy of Prediction Equations for Estimating 1-RM Performance in the Bench Press, Squat, and Deadlift. J. Strength Cond. Res. 1997, 11, 211–213. [Google Scholar] [CrossRef]
  3. Sakamoto, A.; Sinclair, P.J. Effect of Movement Velocity on the Relationship between Training Load and the Number of Repetitions of Bench Press. J. Strength Cond. Res. 2006, 20, 523–527. [Google Scholar] [CrossRef] [PubMed]
  4. Bird, S.P.; Tarpenning, K.M.; Marino, F.E. Designing Resistance Training Programmes to Enhance Muscular Fitness: A Review of the Acute Programme Variables. Sports Med. 2005, 35, 841–851. [Google Scholar] [CrossRef] [PubMed]
  5. González-Badillo, J.; Yañez-García, J.; Mora-Custodio, R.; Rodríguez-Rosell, D. Velocity Loss as a Variable for Monitoring Resistance Exercise. Int. J. Sports Med. 2017, 38, 217–225. [Google Scholar] [CrossRef]
  6. Rodríguez-Rosell, D.; Yáñez-García, J.M.; Sánchez-Medina, L.; Mora-Custodio, R.; González-Badillo, J.J. Relationship between Velocity Loss and Repetitions in Reserve in the Bench Press and Back Squat Exercises. J. Strength Cond. Res. 2020, 34, 2537–2547. [Google Scholar] [CrossRef]
  7. Schoenfeld, B.; Ogborn, D.; Krieger, J. Dose-Response Relationship between Weekly Resistance Training Volume and Increases in Muscle Mass: A Systematic Review and Meta-Analysis. J. Sports Sci. 2017, 35, 1073–1082. [Google Scholar] [CrossRef]
  8. Grgic, J.; Schoenfeld, B.J.; Davies, T.B.; Lazinica, B.; Krieger, J.W.; Pedisic, Z. Effect of Resistance Training Frequency on Gains in Muscular Strength: A Systematic Review and Meta-Analysis. Sports Med. 2018, 48, 1207–1220. [Google Scholar] [CrossRef]
  9. Perez-Castilla, A.; Piepoli, A.; Delgado-García, G.; Garrido-Blanca, G.; Garcia-Ramos, A. Reliability and Concurrent Validity of Seven Commercially Available Devices for the Assessment of Movement Velocity at Different Intensities during the Bench Press. J. Strength Cond. Res. 2020, 33, 1258–1265. [Google Scholar] [CrossRef]
  10. Weakley, J.; Morrison, M.; García-Ramos, A.; Johnston, R.; James, L.; Cole, M.H. The Validity and Reliability of Commercially Available Resistance Training Monitoring Devices: A Systematic Review. Sports Med. 2021, 51, 443–502. [Google Scholar] [CrossRef]
  11. Izquierdo, M.; González-Badillo, J.J.; Häkkinen, K.; Ibáñez, J.; Kraemer, W.J.; Altadill, A.; Eslava, J.; Gorostiaga, E.M. Effect of Loading on Unintentional Lifting Velocity Declines during Single Sets of Repetitions to Failure during Upper and Lower Extremity Muscle Actions. Int. J. Sports Med. 2006, 27, 718–724. [Google Scholar] [CrossRef] [PubMed]
  12. García-Ramos, A.; González-Hernández, J.M.M.; Baños-Pelegrín, E.; Castaño-Zambudio, A.; Capelo-Ramírez, F.; Boullosa, D.; Haff, G.G.G.; Jiménez-Reyes, P. Mechanical and Metabolic Responses to Traditional and Cluster Set Configurations in the Bench Press Exercise. J. Strength Cond. Res. 2020, 34, 663–670. [Google Scholar] [CrossRef] [PubMed]
  13. Sánchez-Medina, L.; González-Badillo, J.J. Velocity Loss as an Indicator of Neuromuscular Fatigue during Resistance Training. Med. Sci. Sports Exerc. 2011, 43, 1725–1734. [Google Scholar] [CrossRef] [PubMed]
  14. Weakley, J.; McLaren, S.; Ramirez-Lopez, C.; García-Ramos, A.; Dalton-Barron, N.; Banyard, H.; Mann, B.; Weaving, D.; Jones, B. Application of Velocity Loss Thresholds during Free-Weight Resistance Training: Responses and Reproducibility of Perceptual, Metabolic, and Neuromuscular Outcomes. J. Sports Sci. 2020, 38, 477–485. [Google Scholar] [CrossRef] [PubMed]
  15. Sánchez-Moreno, M.; Rendeiro-Pinho, G.; Mil-Homens, P.V.; Pareja-Blanco, F. Monitoring Training Volume through Maximal Number of Repetitions or Velocity-Based Approach. Int. J. Sports Physiol. Perform. 2021, 16, 527–534. [Google Scholar] [CrossRef] [PubMed]
  16. Sánchez-Moreno, M.; Rodríguez-Rosell, D.; Pareja-Blanco, F.; Mora-Custodio, R.; González-Badillo, J.J. Movement Velocity as Indicator of Relative Intensity and Level of Effort Attained during the Set in Pull-up Exercise. Int. J. Sports Physiol. Perform. 2017, 12, 1378–1384. [Google Scholar] [CrossRef] [PubMed]
  17. Hackett, D.A. Influence of Movement Velocity on Accuracy of Estimated Repetitions to Failure in Resistance-Trained Men. J. Strength Cond. Res. 2022, 36, 2701–2708. [Google Scholar] [CrossRef] [PubMed]
  18. González-Hernández, J.M.; Jimenez-Reyes, P.; Janicijevic, D.; Tufano, J.J.; Marquez, G.; Garcia-Ramos, A. Effect of Different Interset Rest Intervals on Mean Velocity during the Squat and Bench Press Exercises. Sports Biomech. 2023, 22, 834–847. [Google Scholar] [CrossRef] [PubMed]
  19. Hernández-Belmonte, A.; Courel-Ibáñez, J.; Conesa-Ros, E.; Martínez-Cava, A.; Pallarés, J.G. Level of Effort: A Reliable and Practical Alternative to the Velocity-Based Approach for Monitoring Resistance Training. J. Strength Cond. Res. 2022, 36, 2992–2999. [Google Scholar] [CrossRef]
  20. Pareja-Blanco, F.; Alcazar, J.; Sánchez-Valdepeñas, J.; Cornejo-Daza, P.J.; Piqueras-Sanchiz, F.; Mora-Vela, R.; Sánchez-Moreno, M.; Bachero-Mena, B.; Ortega-Becerra, M.; Alegre, L.M. Velocity Loss as a Critical Variable Determining the Adaptations to Strength Training. Med. Sci. Sports Exerc. 2020, 52, 1752–1762. [Google Scholar] [CrossRef]
  21. Jimenez-Alonso, A.; Garcıa-Ramos, A.; Cepero, M.; Miras-Moreno, S.; Rojas, F.J.; Perez-Castilla, A. Velocity Performance Feedback during the Free-Weight Bench Press Testing Procedure: An Effective Strategy to Increase the Reliability and One Repetition Maximum Accuracy Prediction. J. Strength Cond. Res. 2022, 36, 1077–1083. [Google Scholar] [CrossRef] [PubMed]
  22. Pérez-Castilla, A.; Janicijevic, D.; Akyildiz, Z.; Senturk, D.; García-Ramos, A. Assessment of Back-Squat Performance at Submaximal Loads: Is the Reliability Affected by the Variable, Exercise Technique, or Repetition Criterion? Int. J. Environ. Res. Public Health 2021, 18, 4626. [Google Scholar] [CrossRef] [PubMed]
  23. Janicijevic, D.; García-Ramos, A.; Lamas-Cepero, J.L.; García-Pinillos, F.; Marcos-Blanco, A.; Rojas, F.J.; Weakley, J.; Pérez-Castilla, A. Comparison of the Two Most Commonly Used Gold-Standard Velocity Monitoring Devices (GymAware and T-Force) to Assess Lifting Velocity during the Free-Weight Barbell Back Squat Exercise. Proc. Inst. Mech. Eng. Part P J. Sports Eng. Technol. 2021, 237, 205–212. [Google Scholar] [CrossRef]
  24. Dorrell, H.F.; Moore, J.M.; Smith, M.F.; Gee, T.I. Validity and Reliability of a Linear Positional Transducer across Commonly Practised Resistance Training Exercises. J. Sports Sci. 2019, 37, 67–73. [Google Scholar] [CrossRef] [PubMed]
  25. García-Ramos, A.; Weakley, J.; Janicijevic, D.; Jukic, I. Number of Repetitions Performed before and after Reaching Velocity Loss Thresholds: First Repetition versus Fastest Repetition-Mean Velocity versus Peak Velocity. Int. J. Sports Physiol. Perform. 2021, 16, 950–957. [Google Scholar] [CrossRef] [PubMed]
  26. Jukic, I.; Tufano, J. Rest Redistribution Functions as a Free and Ad-Hoc Equivalent to Commonly Used Velocity-Based Training Thresholds during Clean Pulls at Different Loads. J. Hum. Kinet. 2019, 68, 5–16. [Google Scholar] [CrossRef]
  27. Pérez-Castilla, A.; Jukic, I.; Gregory Haff, G.; García-Ramos, A. The Bench Press Grip Width Does Not Affect the Number of Repetitions Performed at Different Velocity Loss Thresholds. Int. J. Environ. Res. Public Health 2021, 18, 1057. [Google Scholar] [CrossRef]
Figure 1. Generalized relationship between the magnitude of velocity loss (%VL) and percentage of performed repetitions with respect to the maximum number of repetitions performed to failure (%Rep) during the first set of the parallel back-squat exercise. R2, coefficient of determination; SEE, standard error of the estimate; N, number of sets.
Figure 1. Generalized relationship between the magnitude of velocity loss (%VL) and percentage of performed repetitions with respect to the maximum number of repetitions performed to failure (%Rep) during the first set of the parallel back-squat exercise. R2, coefficient of determination; SEE, standard error of the estimate; N, number of sets.
Applsci 14 04531 g001
Figure 2. Absolute errors between the actual percentage of performed repetitions in relation to the maximum number of repetitions performed until failure (%Rep) and the predicted %Rep from the generalized (upper panels) and individualized (lower panels) %Rep-%VL equations determined in set 1 when a velocity loss magnitude (%VL) of 20% is reached. The %VL was computed considering both the mean velocity of the fastest repetition specific to each set (MVfastest; left panels) and the MVfastest of the first set (right panels). The dashed line represents the threshold for high accuracy (10%).
Figure 2. Absolute errors between the actual percentage of performed repetitions in relation to the maximum number of repetitions performed until failure (%Rep) and the predicted %Rep from the generalized (upper panels) and individualized (lower panels) %Rep-%VL equations determined in set 1 when a velocity loss magnitude (%VL) of 20% is reached. The %VL was computed considering both the mean velocity of the fastest repetition specific to each set (MVfastest; left panels) and the MVfastest of the first set (right panels). The dashed line represents the threshold for high accuracy (10%).
Applsci 14 04531 g002
Figure 3. Raw errors between the actual percentage of performed repetitions in relation to the maximum number of repetitions performed to failure (%Rep) and the predicted %Rep from the generalized (upper panels) and individualized (lower panels) %Rep-%VL equations determined in set 1 when a velocity loss magnitude (%VL) of 20% is reached. The %VL was computed considering both the fastest repetition mean velocity specific to each set (MVfastest; left panels) and the MVfastest of the first set (right panels).
Figure 3. Raw errors between the actual percentage of performed repetitions in relation to the maximum number of repetitions performed to failure (%Rep) and the predicted %Rep from the generalized (upper panels) and individualized (lower panels) %Rep-%VL equations determined in set 1 when a velocity loss magnitude (%VL) of 20% is reached. The %VL was computed considering both the fastest repetition mean velocity specific to each set (MVfastest; left panels) and the MVfastest of the first set (right panels).
Applsci 14 04531 g003
Table 1. Comparison between the four parallel back-squat sets of the maximal number of repetitions performed to failure (MNR), the fastest mean velocity (MVfastest), the mean velocity of the last repetition (MVlast), and the magnitude of velocity loss from the fastest to the last repetition (%VL).
Table 1. Comparison between the four parallel back-squat sets of the maximal number of repetitions performed to failure (MNR), the fastest mean velocity (MVfastest), the mean velocity of the last repetition (MVlast), and the magnitude of velocity loss from the fastest to the last repetition (%VL).
VariableANOVASet 1Set 2Set 3Set 4
MNRF3,84 = 232.6
p < 0.001
13 ± 1
(10–16)
10 ± 1
(7–13) a
7 ± 1
(5–9) a,b
6 ± 1
(2–8) a,b,c
MVfastest
(m·s−1)
F3,84 = 114.1
p < 0.001
0.55 ± 0.02
(0.50–0.58)
0.51 ± 0.03
(0.45–0.58) a
0.47 ± 0.05
(0.34–0.53) a,b
0.42 ± 0.04
(0.34–0.51) a,b,c
MVlast(m·s−1)F3,84 = 9.6
p < 0.001
0.30 ± 0.05
(0.18–0.43)
0.26 ± 0.04
(0.16–0.36) a
0.25 ± 0.05
(0.17–0.34) a
0.26 ± 0.05
(0.15–0.34) a
%VL
(%)
F3,84 = 9.3
p < 0.001
46 ± 9
(26–67)
49 ± 8
(35–66)
46 ± 9
(29–59)
39 ± 11
(21–65) a,b,c
Data are presented as mean ± standard deviation [range]. ANOVA, analysis of variance; F, Snedecor’s F; p, p-value. a, significantly different from set 1; b, significantly different from set 2; c, significantly different from set 3 (p < 0.05).
Disclaimer/Publisher’s Note: The statements, opinions and data contained in all publications are solely those of the individual author(s) and contributor(s) and not of MDPI and/or the editor(s). MDPI and/or the editor(s) disclaim responsibility for any injury to people or property resulting from any ideas, methods, instructions or products referred to in the content.

Share and Cite

MDPI and ACS Style

Pérez-Castilla, A.; Şentürk, D.; Akyildiz, Z.; Jukic, I.; García-Ramos, A. Prediction of Percentage of Completed Repetitions to Failure Using Velocity Loss: Does the Relationship Remain Stable throughout a Training Session? Appl. Sci. 2024, 14, 4531. https://doi.org/10.3390/app14114531

AMA Style

Pérez-Castilla A, Şentürk D, Akyildiz Z, Jukic I, García-Ramos A. Prediction of Percentage of Completed Repetitions to Failure Using Velocity Loss: Does the Relationship Remain Stable throughout a Training Session? Applied Sciences. 2024; 14(11):4531. https://doi.org/10.3390/app14114531

Chicago/Turabian Style

Pérez-Castilla, Alejandro, Deniz Şentürk, Zeki Akyildiz, Ivan Jukic, and Amador García-Ramos. 2024. "Prediction of Percentage of Completed Repetitions to Failure Using Velocity Loss: Does the Relationship Remain Stable throughout a Training Session?" Applied Sciences 14, no. 11: 4531. https://doi.org/10.3390/app14114531

APA Style

Pérez-Castilla, A., Şentürk, D., Akyildiz, Z., Jukic, I., & García-Ramos, A. (2024). Prediction of Percentage of Completed Repetitions to Failure Using Velocity Loss: Does the Relationship Remain Stable throughout a Training Session? Applied Sciences, 14(11), 4531. https://doi.org/10.3390/app14114531

Note that from the first issue of 2016, this journal uses article numbers instead of page numbers. See further details here.

Article Metrics

Back to TopTop