Study on Water Entry of a 3D Torpedo Based on the Improved Smoothed Particle Hydrodynamics Method
Abstract
1. Introduction
2. Numerical Method and Model Development
2.1. Mathematical Model Based on the SPH Method
2.2. Six-Degree-of-Freedom (6DOF) Motion Algorithm
2.3. Spatial Discretization and Adaptive Algorithm
2.3.1. Spatial Discretization
2.3.2. SPH Adaptive Algorithm
- Dynamic refinement and coarsening algorithm
- Adaptive particle refinement (APR) technology
3. Results and Discussion
3.1. Numerical Model Validation
3.2. Water Entry of 3D Torpedo
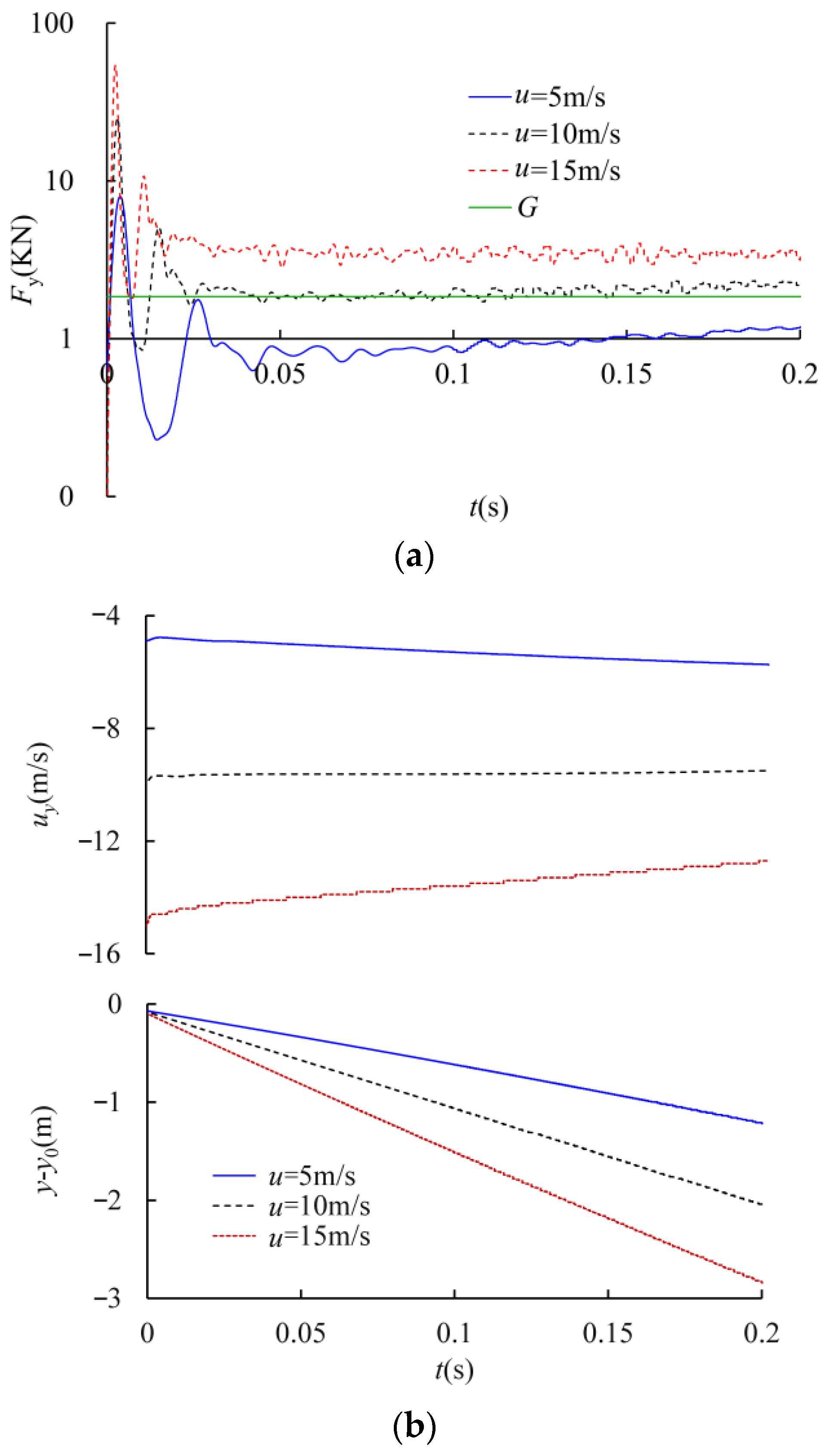
3.2.1. Effect of Entry Velocity
3.2.2. Effect of Entry Angle
4. Conclusions
Author Contributions
Funding
Institutional Review Board Statement
Informed Consent Statement
Data Availability Statement
Acknowledgments
Conflicts of Interest
References
- Zhao, G.; Chen, T.; Guo, Z.; Zhang, W. Experimental study on ballistic stability of truncated cone projectile in high-speed oblique water entry. Ocean. Eng. 2023, 283, 115078. [Google Scholar] [CrossRef]
- Tassin, A.; Piro, D.J.; Korobkin, A.A.; Maki, K.J.; Cooker, M.J. Two-dimensional water entry and exit of a body whose shape varies in time. J. Fluids Struct. 2013, 40, 317–336. [Google Scholar] [CrossRef]
- Wu, Q.; Wang, K.; Kong, D.; Zhang, J.; Liu, T. Numerical simulation of subsonic and transonic water entry with compressibility effect considered. Ocean. Eng. 2023, 281, 114984. [Google Scholar] [CrossRef]
- Iranmanesh, A.; Passandideh, F.M. A three-dimensional numerical approach on water entry of a horizontal circular cylinder using the volume of fluid technique. Ocean. Eng. 2017, 130, 557–566. [Google Scholar] [CrossRef]
- Nguyen, V.T.; Park, W.G. Enhancement of Navier–Stokes solver based on an improved volume-of-fluid method for complex interfacial-flow simulations. Appl. Ocean. Res. 2018, 72, 92–109. [Google Scholar] [CrossRef]
- Wen, X.L.; Ong, M.C.; Yin, G. On the three-dimensional effects of the water entry of wedges. Appl. Ocean. Res. 2023, 138, 103649. [Google Scholar] [CrossRef]
- Dong, L.; Ding, W.; Wei, Z.; Liu, P.; Yao, B.; Lian, L. Numerical study on the water entry of two-dimensional airfoils by BEM. Eng. Anal. Bound. Elem. 2023, 151, 83–100. [Google Scholar] [CrossRef]
- Zheng, K.Y.; Zhao, X.Z.; Yan, D.M. Numerical simulation of water entry of two-dimensional structures with complex geometry using a CIP-based model. Appl. Ocean. Res. 2021, 106, 102379. [Google Scholar] [CrossRef]
- Zhang, G.; Liang, G.; Yang, X.; Zhang, Z. Numerical investigations on water entry and/or exit problems using a multi-resolution Delta-plus-SPH model with TIC. Ocean. Eng. 2024, 292, 116560. [Google Scholar] [CrossRef]
- Wang, Z.B.; Chen, R.; Wang, H.; Liao, Q.; Zhu, X.; Li, S.Z. An overview of smoothed particle hydrodynamics for simulating multiphase flow. Appl. Math. Model. 2016, 40, 9625–9655. [Google Scholar] [CrossRef]
- Chen, F.G.; Ge, W. A review of smoothed particle hydrodynamics family methods for multiphase flow. Chin. J. Theor. Appl. Mech. 2021, 53, 2357–2373. [Google Scholar]
- Oger, G.; Doring, M.; Alessandrini, B.; Ferrant, P. Two-dimensional SPH simulations of wedge water entries. J. Comput. Phys. 2006, 213, 803–822. [Google Scholar] [CrossRef]
- Gong, K.; Liu, H.; Wang, B. Water entry of a wedge based on SPH model with an improved boundary treatment. J. Hydrodyn. 2009, 21, 750–757. [Google Scholar] [CrossRef]
- Shao, S. Incompressible SPH simulation of water entry of a free-falling object. Int. J. Numer. Methods Fluids 2009, 59, 91–115. [Google Scholar] [CrossRef]
- Yang, X.F.; Peng, S.L.; Liu, M.B. Simulation of water entry with smoothed particle hydrodynamics method. Chin. J. Comput. Phys. 2011, 28, 523–528. [Google Scholar]
- Panciroli, R.; Abrate, S.; Minak, G.; Zucchelli, A. Hydroelasticity in water-entry problems: Comparison between experimental and SPH results. Compos. Struct. 2012, 94, 532–539. [Google Scholar] [CrossRef]
- Koukouvinis, P.K.; Anagnostopoulos, J.S.; Papantonis, D.E. Simulation of 2D wedge impacts on water using the SPH–ALE method. Acta Mech. 2013, 224, 2559–2575. [Google Scholar] [CrossRef]
- Farsi, M.; Ghadimi, P. Simulation of 2D symmetry and asymmetry wedge water entry by smoothed particle hydrodynamics method. J. Braz. Soc. Mech. Sci. Eng. 2015, 37, 821–835. [Google Scholar] [CrossRef]
- Yan, R. Research on Some Problems in Structure Impact with Water Using SPH Method. Ph.D. Thesis, Northwestern Polytechnical University, Xi’an, China, 2016. [Google Scholar]
- Zhou, J.; Xu, S.L. SPH simulation on the behaviors of projectile water entry. Explos. Shock Waves 2016, 36, 326–332. [Google Scholar]
- Nair, P.; Tomar, G.A. study of energy transfer during water entry of solids using incompressible SPH simulations. Sādhanā 2017, 42, 517–531. [Google Scholar] [CrossRef]
- Sun, P.; Zhang, A.M.; Marrone, S.; Ming, F. An accurate and efficient SPH modeling of the water entry of circular cylinders. Appl. Ocean. Res. 2018, 72, 60–75. [Google Scholar] [CrossRef]
- Shao, J.R.; Yang, Y.; Gong, H.F.; Liu, M.B. Numerical simulation of water entry with improved SPH method. Int. J. Comput. Methods 2019, 16, 1846004. [Google Scholar] [CrossRef]
- Pei, Z.B.; Yang, X.F.; Wang, X.L. SPH simulation of water entry of a slender body. Unmanned Syst. Technol. 2022, 5, 40–49. [Google Scholar]
- Wu, Y.F. Study on Water Entry Process of Slender Body in Wave Environment. Master’s Thesis, Nanjing University of Aeronautics and Astronautics, Nanjing, China, 2022. [Google Scholar]
- Goyal, V.K.; Huertas, C.A.; Vasko, T.J. Smooth Particle Hydrodynamics for Bird-Strike Analysis Using LS-DYNA. Am. Trans. Eng. Appl. Sci. 2013, 2, 83–107. [Google Scholar]
- Chiron, L.; Oger, G.; De Leffe, M.; Le Touzé, D. Analysis and improvements of Adaptive Particle Refinement (APR) through CPU time, accuracy and robustness considerations. J. Comput. Phys. 2018, 354, 552–575. [Google Scholar] [CrossRef]
- Li, D.M.; Xu, Y.N.; Li, L.L.; Lu, H.J.; Ling, B.A.I. Tracking methods for free surface and simulation of a liquid droplet impacting on a solid surface based on SPH. J. Hydrodyn. 2011, 23, 447–456. [Google Scholar] [CrossRef]
- Peng, Y.X.; Zhang, A.M.; Ming, F.R. On the comparison of particle regeneration technique and volume adaptive scheme in the compressible flow based on smoothed particle hydrodynamics. J. Hydrodyn. 2021, 376, 113653. [Google Scholar]
- Wendland, H. Piecewise polynomial, positive definite and compactly supported radial functions of minimal degree. Adv. Comput. Math. 1995, 4, 389–396. [Google Scholar] [CrossRef]
- Liu, X.; Lee, C.K.; Fan, S.C. On using enriched cover function in the Partition-of-unity method for singular boundary-value problems. Comput. Mech. 2002, 29, 212–225. [Google Scholar] [CrossRef]
- Ni, X.Y.; Feng, W.B.; Huang, S.C.; Hu, Z.J.; Liu, Y. An SPH Wave-Current Flume using Open Boundary Conditions. J. Hydrodyn. 2020, 32, 12. [Google Scholar] [CrossRef]
- He, M.; Gao, X.F.; Xu, W.H. Numerical simulation of wave-current interaction using the SPH method. J. Hydrodyn. 2018, 30, 535–538. [Google Scholar] [CrossRef]
- Zhao, Z.X.; Hong, Y.; Gong, Z.X.; Liu, H. Numerical analysis of cavity deformation of oblique water entry using a multi-resolution two-phase SPH method. Ocean. Eng. 2023, 269, 113456. [Google Scholar] [CrossRef]
- Rosić, N.M.; Kolarević, M.B.; Savić, L.M.; Đorđević, D.M.; Kapor, R.S. Numerical modelling of supercritical flow in circular conduit bends using SPH method. J. Hydrodyn. 2017, 29, 9. [Google Scholar] [CrossRef]
- Monaghan, J.J.; Pongracic, H. Artificial viscosity for particle methods. Appl. Numer. Math. 1985, 1, 187–194. [Google Scholar] [CrossRef]
- Colagrossi, A.; Antuono, M.; Le Touzé, D. Theoretical considerations on the free-surface role in the smoothed-particle-hydrodynamics model. Phys. Rev. E 2009, 79, 056701. [Google Scholar] [CrossRef] [PubMed]
- Monaghan, J.J.; Kos, A.; Issa, N. Fluid motion generated by impact. J. Waterw. Port Coast. Ocean. Eng. 2003, 129, 250–259. [Google Scholar] [CrossRef]
- Hormann, K.; Agathos, A. The point in polygon problem for arbitrary polygons. Comput. Geom. 2001, 20, 131–144. [Google Scholar] [CrossRef]
- Pan, W.; Wu, H.; Li, T.R.; Gao, B.Q. Grid generation on free-form surface based on surface flattening. J. Zhejiang Univ. (Eng. Sci.) 2016, 50, 1973–1979. [Google Scholar]
- Wu, W. Research on Meshless Point Generation and Algorithm Based on SPH. Master Thesis, Nanjing University of Aeronautics and Astronautics, Nanjing, China, 2023. [Google Scholar]
- Feldman, J.; Bonet, J. Dynamic refinement and boundary contact forces in SPH with applications in fluid flow problems. Int. J. Numer. Methods Eng. 2007, 72, 295–324. [Google Scholar] [CrossRef]
- Yaidel, R.L.; Dirk, R. Dynamic refinement for fluid flow simulations with SPH. In Proceedings of the International Conference on Particle-Based Methods (PARTICLES)—II International Conference on Particle-Based Methods: Fundamentals and applications (PARTICLES 2011), Barcelona, Spain, 26–28 October 2011. [Google Scholar]
- Wei, Z.; Hu, C. An experimental study on water entry of horizontal cylinders. J. Mar. Sci. Technol. 2014, 19, 338–350. [Google Scholar] [CrossRef]
- Sun, P.N. Study on SPH Method for the Simulation of Object-Free Surface Interactions. Ph.D. Thesis, Harbin Engineering University, Harbin, China, 2018. [Google Scholar]
- Enriquez, O.R.; Peters, I.R.; Gekle, S.; Schmidt, L.E.; Versluis, M.; van der Meer, D.; Lohse, D. Collapse of nonaxisymmetric cavities. Phys. Fluids 2010, 22, 091104. [Google Scholar] [CrossRef]















Disclaimer/Publisher’s Note: The statements, opinions and data contained in all publications are solely those of the individual author(s) and contributor(s) and not of MDPI and/or the editor(s). MDPI and/or the editor(s) disclaim responsibility for any injury to people or property resulting from any ideas, methods, instructions or products referred to in the content. |
© 2024 by the authors. Licensee MDPI, Basel, Switzerland. This article is an open access article distributed under the terms and conditions of the Creative Commons Attribution (CC BY) license (https://creativecommons.org/licenses/by/4.0/).
Share and Cite
Cai, X.; Wu, W.; Han, W.; Li, W.; Zhang, J.; Jiao, Y. Study on Water Entry of a 3D Torpedo Based on the Improved Smoothed Particle Hydrodynamics Method. Appl. Sci. 2024, 14, 4441. https://doi.org/10.3390/app14114441
Cai X, Wu W, Han W, Li W, Zhang J, Jiao Y. Study on Water Entry of a 3D Torpedo Based on the Improved Smoothed Particle Hydrodynamics Method. Applied Sciences. 2024; 14(11):4441. https://doi.org/10.3390/app14114441
Chicago/Turabian StyleCai, Xiaowei, Wei Wu, Wenji Han, Wenjie Li, Jun Zhang, and Yanmei Jiao. 2024. "Study on Water Entry of a 3D Torpedo Based on the Improved Smoothed Particle Hydrodynamics Method" Applied Sciences 14, no. 11: 4441. https://doi.org/10.3390/app14114441
APA StyleCai, X., Wu, W., Han, W., Li, W., Zhang, J., & Jiao, Y. (2024). Study on Water Entry of a 3D Torpedo Based on the Improved Smoothed Particle Hydrodynamics Method. Applied Sciences, 14(11), 4441. https://doi.org/10.3390/app14114441

