Realistic Texture Mapping of 3D Medical Models Using RGBD Camera for Mixed Reality Applications
Abstract
1. Introduction
2. Materials and Methods
2.1. CT Images Processing
2.1.1. Segmentation Phase
2.1.2. Creation of a 3D Pointcloud
2.2. Pointclouds Acquisition with RGBD Camera
2.2.1. Registration Algorithm
2.2.2. Segmentation Algorithm
2.2.3. Pointcloud Simplification
2.3. Registration of DICOM-Based and RGBD Pointclouds
2.3.1. Preliminary Bounding-Box Based Registration Algorithm
2.3.2. Minimizing Distance between Contours
- (1)
- Projection on a rotated plane: the reference system was rotated according to the random rotation vector defining the reference system . In detail: defines a rotation on the plane, defines a rotation on the plane, and defines a rotation on the plane. Then, RGBD and DICOM-based pointclouds were projected onto the plane of the reference system, defining two 2D images. Lastly, the objects’ contours were identified by evaluating the concave hull of the images, defining the 2D points vectors and . vector random values were chosen in the range radians (i.e., °).
- (2)
- Application of the distance transform filter: applying the distance transform filter to the contour , the distance matrix was created. A distance transform filter is a mathematical operation that evaluates the distance of each pixel in an image to the nearest boundary or feature in the image. The result is a new image called the distance map or distance transform map, where each pixel value represents the distance between that pixel and the nearest object boundary. Specifically, the distance transform filter implemented in the OpenCV library was used and an example of its application on a contour is shown in Figure 9c
- (3)
- Evaluation of optimized rotation vector : the distance between contours and was minimized based on the distance matrix image. Specifically, the Nelder-Mead method [46] minimization algorithm, implemented in the OpenCV library, was used. The parameters used for the minimization are: (rotation on the plane), (translation along the x axis), and (translation along the y axis). At the end of the minimization process, the optimized parameters vector was defined: . Lastly, optimal translations (, ) were converted from volume-based translations to millimeter-based translations using the slice thickness parameter (Equation (1)).
- (4)
- Application of vector: the RGBD pointcloud was then permanently rotated and translated using values evaluated at point (3).
- (5)
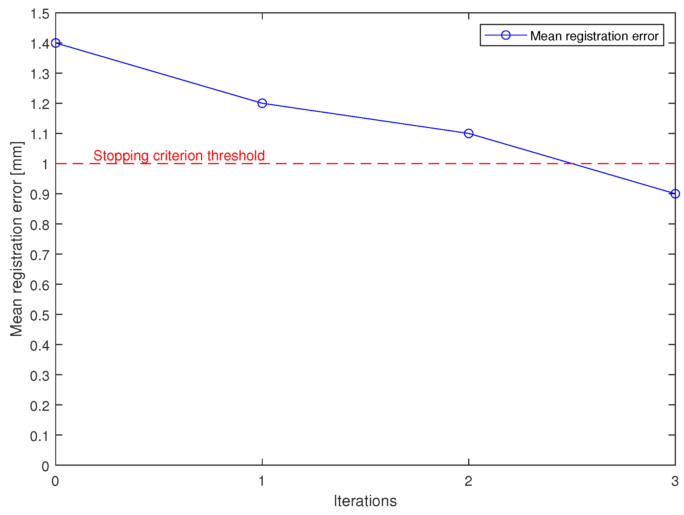
- Stopping criterion: a total of one thousand random points are identified on the RGBD pointcloud and the average euclidean distance was calculated with respect to the DICOM-based pointcloud. At the end of this procedure, if the mean registration error E was greater than a threshold value , the entire registration process was repeated by defining a new random rotation vector ; otherwise, the registration process was terminated. In particular, a threshold value = 1 mm was used.

2.3.3. Evaluation of Registration Error
2.3.4. Texture Mapping
2.4. Visualization on HoloLens 2
3. Results
4. Discussions
5. Conclusions
- This study successfully achieves its objective of enhancing a 3D model reconstructed from DICOM images with real external texture using an RGBD camera.
- The proposed method demonstrates reliable pointclouds registration, accurately aligning internal tissues related pointcloud and external textures with a mean registration error < 1 mm.
- The stable registration error across different sets of randomly chosen points reflects the method’s robustness, reaching an average error of 1.1 ± 1.3 mm for the x-axis, 0.7 ± 0.8 mm for the y-axis, and 0.9 ± 1.2 mm for the z-axis.
- The presented mixed reality visualization using the Microsoft HoloLens 2 device allows users to explore and manipulate the colourized 3D model with intuitive gestures and voice commands, showcasing the potential for practical applications such as surgical planning and medical imaging visualization.
- Since the pointcloud processing and registration method described does not rely on particular tools and predetermined RGBD camera setups or positions, it has the potential to be reproduced across other medical imaging modalities, including MRI or traditional CT scans, as well as different external texture capture techniques like photogrammetry or structured light cameras.
Author Contributions
Funding
Institutional Review Board Statement
Informed Consent Statement
Data Availability Statement
Conflicts of Interest
References
- Jud, L.; Fotouhi, J.; Andronic, O.; Aichmair, A.; Osgood, G.; Navab, N.; Farshad, M. Applicability of augmented reality in orthopedic surgery—A systematic review. BMC Musculoskelet. Disord. 2020, 21, 103. [Google Scholar] [CrossRef] [PubMed]
- Lu, L.; Wang, H.; Liu, P.; Liu, R.; Zhang, J.; Xie, Y.; Liu, S.; Huo, T.; Xie, M.; Wu, X.; et al. Applications of mixed reality technology in orthopedics surgery: A pilot study. Front. Bioeng. Biotechnol. 2022, 10, 740507. [Google Scholar] [CrossRef] [PubMed]
- Verhey, J.T.; Haglin, J.M.; Verhey, E.M.; Hartigan, D.E. Virtual, augmented, and mixed reality applications in orthopedic surgery. Int. J. Med. Robot. Comput. Assist. Surg. 2020, 16, e2067. [Google Scholar] [CrossRef]
- Chytas, D.; Nikolaou, V.S. Mixed reality for visualization of orthopedic surgical anatomy. World J. Orthop. 2021, 12, 727. [Google Scholar] [CrossRef]
- Yang, J.; Zhang, J.; Zeng, C.; Fang, Y.; Xue, M.; Wang, H.; Zhou, H.; Xie, Y.; Liu, P.; Ye, Z. Application and prospect of mixed reality technology in orthopedics. Digit. Med. 2023, 9, e00010. [Google Scholar] [CrossRef]
- Bian, D.; Lin, Z.; Lu, H.; Zhong, Q.; Wang, K.; Tang, X.; Zang, J. The Application of Extended Reality Technology-Assisted Intraoperative Navigation in Orthopedic Surgery. Front. Surg. 2024, 11, 1336703. [Google Scholar] [CrossRef] [PubMed]
- Li, W.; Liu, Y.; Wang, Y.; Zhang, X.; Liu, K.; Jiao, Y.; Zhang, X.; Chen, J.; Zhang, T. Educational value of mixed reality combined with a three-dimensional printed model of aortic disease for vascular surgery in the standardized residency training of surgical residents in China: A case control study. BMC Med. Educ. 2023, 23, 812. [Google Scholar] [CrossRef] [PubMed]
- Eves, J.; Sudarsanam, A.; Shalhoub, J.; Amiras, D. Augmented reality in vascular and endovascular surgery: Scoping review. JMIR Serious Games 2022, 10, e34501. [Google Scholar] [CrossRef] [PubMed]
- Lareyre, F.; Chaudhuri, A.; Adam, C.; Carrier, M.; Mialhe, C.; Raffort, J. Applications of head-mounted displays and smart glasses in vascular surgery. Ann. Vasc. Surg. 2021, 75, 497–512. [Google Scholar] [CrossRef]
- Nicolau, S.; Soler, L.; Mutter, D.; Marescaux, J. Augmented reality in laparoscopic surgical oncology. Surg. Oncol. 2011, 20, 189–201. [Google Scholar] [CrossRef]
- Wong, K.C.; Sun, Y.E.; Kumta, S.M. Review and future/potential application of mixed reality technology in orthopaedic oncology. Orthop. Res. Rev. 2022, 14, 169–186. [Google Scholar] [CrossRef] [PubMed]
- Wong, K.C.; Sun, E.Y.; Wong, I.O.L.; Kumta, S.M. Mixed reality improves 3D visualization and spatial awareness of bone tumors for surgical planning in orthopaedic oncology: A proof of concept study. Orthop. Res. Rev. 2023, 15, 139–149. [Google Scholar] [CrossRef] [PubMed]
- Jain, S.; Gao, Y.; Yeo, T.T.; Ngiam, K.Y. Use of Mixed Reality in Neuro-Oncology: A Single Centre Experience. Life 2023, 13, 398. [Google Scholar] [CrossRef] [PubMed]
- Tang, Z.N.; Hu, L.H.; Soh, H.Y.; Yu, Y.; Zhang, W.B.; Peng, X. Accuracy of mixed reality combined with surgical navigation assisted oral and maxillofacial tumor resection. Front. Oncol. 2022, 11, 715484. [Google Scholar] [CrossRef] [PubMed]
- Campisi, B.M.; Costanzo, R.; Gulino, V.; Avallone, C.; Noto, M.; Bonosi, L.; Brunasso, L.; Scalia, G.; Iacopino, D.G.; Maugeri, R. The Role of Augmented Reality Neuronavigation in Transsphenoidal Surgery: A Systematic Review. Brain Sci. 2023, 13, 1695. [Google Scholar] [CrossRef] [PubMed]
- Koike, T.; Kin, T.; Tanaka, S.; Takeda, Y.; Uchikawa, H.; Shiode, T.; Saito, T.; Takami, H.; Takayanagi, S.; Mukasa, A.; et al. Development of innovative neurosurgical operation support method using mixed-reality computer graphics. World Neurosurg. X 2021, 11, 100102. [Google Scholar] [CrossRef] [PubMed]
- Zhang, C.; Gao, H.; Liu, Z.; Huang, H. The potential value of mixed reality in neurosurgery. J. Craniofacial Surg. 2021, 32, 940–943. [Google Scholar] [CrossRef] [PubMed]
- Drouin, S.; Kersten-Oertel, M.; Chen, S.J.S.; Collins, D.L. A realistic test and development environment for mixed reality in neurosurgery. In Augmented Environments for Computer-Assisted Interventions: Proceedings of the 6th International Workshop, AE-CAI 2011, Held in Conjunction with MICCAI 2011, Toronto, ON, Canada, 22 September 2011; Revised Selected Papers 6; Springer: Berlin/Heidelberg, Germany, 2012; pp. 13–23. [Google Scholar]
- Pepe, A.; Trotta, G.F.; Mohr-Ziak, P.; Gsaxner, C.; Wallner, J.; Bevilacqua, V.; Egger, J. A marker-less registration approach for mixed reality–aided maxillofacial surgery: A pilot evaluation. J. Digit. Imaging 2019, 32, 1008–1018. [Google Scholar] [CrossRef]
- Kim, Y.C.; Park, C.U.; Lee, S.J.; Jeong, W.S.; Na, S.W.; Choi, J.W. Application of augmented reality using automatic markerless registration for facial plastic and reconstructive surgery. J. Cranio-Maxillofac. Surg. 2024, 52, 246–251. [Google Scholar] [CrossRef]
- Yang, R.; Li, C.; Tu, P.; Ahmed, A.; Ji, T.; Chen, X. Development and application of digital maxillofacial surgery system based on mixed reality technology. Front. Surg. 2022, 8, 719985. [Google Scholar] [CrossRef]
- Brunzini, A.; Mazzoli, A.; Pagnoni, M.; Mandolini, M. An innovative mixed reality approach for maxillofacial osteotomies and repositioning. Virtual Real. 2023, 27, 3221–3237. [Google Scholar] [CrossRef]
- Moro, C.; Phelps, C.; Redmond, P.; Stromberga, Z. HoloLens and mobile augmented reality in medical and health science education: A randomised controlled trial. Br. J. Educ. Technol. 2021, 52, 680–694. [Google Scholar] [CrossRef]
- Dhar, P.; Rocks, T.; Samarasinghe, R.M.; Stephenson, G.; Smith, C. Augmented reality in medical education: Students’ experiences and learning outcomes. Med. Educ. Online 2021, 26, 1953953. [Google Scholar] [CrossRef] [PubMed]
- Gerup, J.; Soerensen, C.B.; Dieckmann, P. Augmented reality and mixed reality for healthcare education beyond surgery: An integrative review. Int. J. Med. Educ. 2020, 11, 1. [Google Scholar] [CrossRef]
- Lungu, A.J.; Swinkels, W.; Claesen, L.; Tu, P.; Egger, J.; Chen, X. A review on the applications of virtual reality, augmented reality and mixed reality in surgical simulation: An extension to different kinds of surgery. Expert Rev. Med. Devices 2021, 18, 47–62. [Google Scholar] [CrossRef] [PubMed]
- Goh, G.S.; Lohre, R.; Parvizi, J.; Goel, D.P. Virtual and augmented reality for surgical training and simulation in knee arthroplasty. Arch. Orthop. Trauma Surg. 2021, 141, 2303–2312. [Google Scholar] [CrossRef]
- Lee, G.K.; Moshrefi, S.; Fuertes, V.; Veeravagu, L.; Nazerali, R.; Lin, S.J. What is your reality? Virtual, augmented, and mixed reality in plastic surgery training, education, and practice. Plast. Reconstr. Surg. 2021, 147, 505–511. [Google Scholar] [CrossRef] [PubMed]
- Sánchez-Margallo, J.A.; Plaza de Miguel, C.; Fernández Anzules, R.A.; Sánchez-Margallo, F.M. Application of mixed reality in medical training and surgical planning focused on minimally invasive surgery. Front. Virtual Real. 2021, 2, 144. [Google Scholar] [CrossRef]
- Casas-Yrurzum, S.; Gimeno, J.; Casanova-Salas, P.; García-Pereira, I.; García del Olmo, E.; Salvador, A.; Guijarro, R.; Zaragoza, C.; Fernández, M. A new mixed reality tool for training in minimally invasive robotic-assisted surgery. Health Inf. Sci. Syst. 2023, 11, 34. [Google Scholar] [CrossRef]
- Xiao, D.; Lian, C.; Deng, H.; Kuang, T.; Liu, Q.; Ma, L.; Kim, D.; Lang, Y.; Chen, X.; Gateno, J.; et al. Estimating reference bony shape models for orthognathic surgical planning using 3D point-cloud deep learning. IEEE J. Biomed. Health Inform. 2021, 25, 2958–2966. [Google Scholar] [CrossRef]
- Lin, Q.; Xiongbo, G.; Zhang, W.; Cai, L.; Yang, R.; Chen, H.; Cai, K. A novel approach of surface texture mapping for cone-beam computed tomography in image-guided surgical navigation. IEEE J. Biomed. Health Inform. 2023. [Google Scholar] [CrossRef] [PubMed]
- Singh, P.; Bornstein, M.M.; Hsung, R.T.C.; Ajmera, D.H.; Leung, Y.Y.; Gu, M. Frontiers in Three-Dimensional Surface Imaging Systems for 3D Face Acquisition in Craniofacial Research and Practice: An Updated Literature Review. Diagnostics 2024, 14, 423. [Google Scholar] [CrossRef] [PubMed]
- Kurillo, G.; Hemingway, E.; Cheng, M.L.; Cheng, L. Evaluating the accuracy of the azure kinect and kinect v2. Sensors 2022, 22, 2469. [Google Scholar] [CrossRef] [PubMed]
- Yoshimoto, K.; Shinya, M. Use of the Azure Kinect to measure foot clearance during obstacle crossing: A validation study. PLoS ONE 2022, 17, e0265215. [Google Scholar] [CrossRef] [PubMed]
- Cho, R.Y.; Byun, S.H.; Yi, S.M.; Ahn, H.J.; Nam, Y.S.; Park, I.Y.; On, S.W.; Kim, J.C.; Yang, B.E. Comparative Analysis of Three Facial Scanners for Creating Digital Twins by Focusing on the Difference in Scanning Method. Bioengineering 2023, 10, 545. [Google Scholar] [CrossRef]
- QtProject. QtCreator Version: 5.12.6. 2019. Available online: https://www.qt.io/product/development-tools (accessed on 20 February 2024).
- Intel; Santa Clara, California, USA. 2018. Available online: https://www.intelrealsense.com/depth-camera-d435/ (accessed on 20 February 2024).
- Unity Technologies; San Francisco, California, USA. 2005. Available online: https://unity.com/ (accessed on 22 February 2024).
- Microsoft; Redmond, Washington, USA. 2019. Available online: https://www.microsoft.com/en-us/hololens/ (accessed on 20 February 2024).
- Itseez. Open Source Computer Vision Library. 2015. Available online: https://github.com/itseez/opencv (accessed on 20 February 2024).
- Otsu, N. A threshold selection method from gray-level histograms. IEEE Trans. Syst. Man Cybern. 1979, 9, 62–66. [Google Scholar] [CrossRef]
- Romero-Ramirez, F.J.; Muñoz-Salinas, R.; Medina-Carnicer, R. Speeded up detection of squared fiducial markers. Image Vis. Comput. 2018, 76, 38–47. [Google Scholar] [CrossRef]
- Garrido-Jurado, S.; Munoz-Salinas, R.; Madrid-Cuevas, F.J.; Medina-Carnicer, R. Generation of fiducial marker dictionaries using mixed integer linear programming. Pattern Recognit. 2016, 51, 481–491. [Google Scholar] [CrossRef]
- Cignoni, P.; Callieri, M.; Corsini, M.; Dellepiane, M.; Ganovelli, F.; Ranzuglia, G. MeshLab: An Open-Source Mesh Processing Tool. In Proceedings of the Eurographics Italian Chapter Conference; Scarano, V., Chiara, R.D., Erra, U., Eds.; The Eurographics Association: Eindhoven, The Netherlands, 2008. [Google Scholar] [CrossRef]
- Nelder, J.A.; Mead, R. A simplex method for function minimization. Comput. J. 1965, 7, 308–313. [Google Scholar] [CrossRef]
- Microsoft. Mixed Reality Toolkit. 2016. Available online: https://github.com/MixedRealityToolkit/ (accessed on 28 February 2024).
- Kilgus, T.; Heim, E.; Haase, S.; Prüfer, S.; Müller, M.; Seitel, A.; Fangerau, M.; Wiebe, T.; Iszatt, J.; Schlemmer, H.P.; et al. Mobile markerless augmented reality and its application in forensic medicine. Int. J. Comput. Assist. Radiol. Surg. 2015, 10, 573–586. [Google Scholar] [CrossRef]
- Lee, S.C.; Fuerst, B.; Fotouhi, J.; Fischer, M.; Osgood, G.; Navab, N. Calibration of RGBD camera and cone-beam CT for 3D intra-operative mixed reality visualization. Int. J. Comput. Assist. Radiol. Surg. 2016, 11, 967–975. [Google Scholar] [CrossRef] [PubMed]















| [mm] | [mm] | [mm] | |
|---|---|---|---|
| 1.1 ± 1.3 | 0.5 ± 0.6 | 0.8 ± 1 | |
| 1.1 ± 1.2 | 0.6 ± 0.8 | 0.9 ± 1.2 | |
| 1.1 ± 1.3 | 0.7 ± 0.8 | 0.9 ± 1.2 | |
| 1.1 ± 1.3 | 0.7 ± 0.8 | 0.9 ± 1.2 | |
| 1.1 ± 1.3 | 0.7 ± 0.8 | 0.9 ± 1.2 |
Disclaimer/Publisher’s Note: The statements, opinions and data contained in all publications are solely those of the individual author(s) and contributor(s) and not of MDPI and/or the editor(s). MDPI and/or the editor(s) disclaim responsibility for any injury to people or property resulting from any ideas, methods, instructions or products referred to in the content. |
© 2024 by the authors. Licensee MDPI, Basel, Switzerland. This article is an open access article distributed under the terms and conditions of the Creative Commons Attribution (CC BY) license (https://creativecommons.org/licenses/by/4.0/).
Share and Cite
Aliani, C.; Morelli, A.; Rossi, E.; Lombardi, S.; Civale, V.Y.; Sardini, V.; Verdino, F.; Bocchi, L. Realistic Texture Mapping of 3D Medical Models Using RGBD Camera for Mixed Reality Applications. Appl. Sci. 2024, 14, 4133. https://doi.org/10.3390/app14104133
Aliani C, Morelli A, Rossi E, Lombardi S, Civale VY, Sardini V, Verdino F, Bocchi L. Realistic Texture Mapping of 3D Medical Models Using RGBD Camera for Mixed Reality Applications. Applied Sciences. 2024; 14(10):4133. https://doi.org/10.3390/app14104133
Chicago/Turabian StyleAliani, Cosimo, Alberto Morelli, Eva Rossi, Sara Lombardi, Vincenzo Yuto Civale, Vittoria Sardini, Flavio Verdino, and Leonardo Bocchi. 2024. "Realistic Texture Mapping of 3D Medical Models Using RGBD Camera for Mixed Reality Applications" Applied Sciences 14, no. 10: 4133. https://doi.org/10.3390/app14104133
APA StyleAliani, C., Morelli, A., Rossi, E., Lombardi, S., Civale, V. Y., Sardini, V., Verdino, F., & Bocchi, L. (2024). Realistic Texture Mapping of 3D Medical Models Using RGBD Camera for Mixed Reality Applications. Applied Sciences, 14(10), 4133. https://doi.org/10.3390/app14104133

