A Two-Port Dual-Band Dual-Circularly-Polarized Dielectric Resonator Antenna
Abstract
1. Introduction
2. Antenna Design and Analysis
2.1. Antenna Configuration
2.2. Working Mechanism
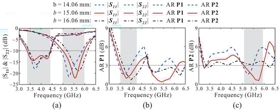
2.3. Parametric Study
3. Experimental Results and Discussion
4. Conclusions
Author Contributions
Funding
Institutional Review Board Statement
Informed Consent Statement
Data Availability Statement
Conflicts of Interest
References
- Choi, D.-S.; Choi, Y.-S.; Lee, H.-J.; Lee, S.-I.; Woo, J.-M. Design of a dual-mode waveguide CP antenna with a symmetric beamwidth using short stub for low-orbit satellite TC&R. J. Electromagn. Eng. Sci. 2023, 23, 398–404. [Google Scholar]
- Sung, Y. A dual orthogonal fed monopole antenna for circular polarization diversity. J. Electromagn. Eng. Sci. 2022, 22, 283–290. [Google Scholar] [CrossRef]
- Mekki, K.; Necibi, O.; Lakhdhar, S.; Gharsallah, A. A UHF/UWB monopole antenna design process integrated in an RFID reader board. J. Electromagn. Eng. Sci. 2022, 22, 479–487. [Google Scholar] [CrossRef]
- Gao, S.; Zhu, F. Circularly Polarized Antennas; Wiley: West Sussex, UK, 2014. [Google Scholar]
- Nguyen, T.D.; Choi, J.H.; Jung, C.W. Optically transparent patch antennas using saltwater for WLAN applications. J. Electromagn. Eng. Sci. 2022, 22, 609–615. [Google Scholar] [CrossRef]
- Long, S.; McAllister, M.; Shen, L. The resonant cylindrical dielectric cavity antenna. IEEE Trans. Antennas Propag. 1983, 3, 406–412. [Google Scholar] [CrossRef]
- Luk, K.M.; Leung, K.W. Dielectric Resonator Antennas; Research Studies Press: Baldock, UK, 2003. [Google Scholar]
- Park, S.-J.; Park, J.-H.; Lee, M.-Q. Millimeter-Wave monopulse filtenna array with directive dielectric resonators. J. Electromagn. Eng. Sci. 2023, 23, 81–89. [Google Scholar] [CrossRef]
- Iqbal, J.; Illahi, U.; Sulaiman, M.I.; Alam, M.M.; Su’ud, M.M.; Yasin, M.N.M.; Jamaluddin, M.H. Bandwidth enhancement and generation of CP by using parasitic patch on rectangular DRA for wireless applications. IEEE Access 2019, 7, 94365–94372. [Google Scholar] [CrossRef]
- Trinh-Van, S.; Yang, Y.; Lee, K.-Y.; Hwang, K.C. Single-fed circularly polarized dielectric resonator antenna with an enhanced axial ratio bandwidth and enhanced gain. IEEE Access 2020, 8, 41045–41052. [Google Scholar] [CrossRef]
- Xia, Z.-X.; Leung, K.W. 3-D-printed wideband circularly polarized dielectric resonator antenna with two printing materials. IEEE Trans. Antennas Propag. 2022, 70, 5971–5976. [Google Scholar] [CrossRef]
- Illahi, U.; Iqbal, J.; Sulaiman, M.I.; Alam, M.M.; Su’ud, M.M.; Jamaluddin, M.H. Singly-fed rectangular dielectric resonator antenna with a wide circular polarization bandwidth and beamwidth for WiMAX/Satellite applications. IEEE Access 2019, 7, 66206–66214. [Google Scholar] [CrossRef]
- Zhong, Z.; Zhang, X.; Liang, J.J.; Han, C.Z.; Fan, M.L.; Huang, G.L.; Xu, W.; Yuan, T. A compact dual-band circularly polarized antenna with wide axial-ratio beamwidth for vehicle GPS satellite navigation application. IEEE Trans. Veh. Technol. 2019, 68, 8683–8692. [Google Scholar] [CrossRef]
- Altaf, A.; Seo, M. Triple-band dual-sense circularly polarized hybrid dielectric resonator antenna. Sensors 2018, 18, 3899. [Google Scholar] [CrossRef] [PubMed]
- Wang, X.-C.; Sun, L.; Lu, X.-L.; Liang, S.; Lu, W.-Z. Single-feed dual-band circularly polarized dielectric resonator antenna for CNSS applications. IEEE Antennas Wireless Propag. Lett. 2017, 65, 4283–4287. [Google Scholar] [CrossRef]
- Zhou, Y.-D.; Jiao, Y.-C.; Weng, Z.-B.; Ni, T. A novel single-fed wide dual-band circularly polarized dielectric resonator antenna. IEEE Antennas Wirel. Propag. Lett. 2016, 15, 930–933. [Google Scholar] [CrossRef]
- Sharma, A.; Tripathi, D.K.; Das, G.; Gangwar, R.K. 3-D printed dual-band, dual-sense circularly polarized dielectric resonator antenna with a bandstop filtering response using planar via-free D-CRLH feeding network. AEU Int. J. Electron. Commun. 2023, 169, 154760. [Google Scholar]
- Xu, H.; Chen, Z.; Liu, H.; Chang, L.; Huang, T.; Ye, S.; Zhang, L.; Du, C. Single-fed dual-circularly polarized stacked dielectric resonator antenna for K/Ka-band UAV satellite communications. IEEE Trans. Veh. Technol. 2022, 71, 4449–4453. [Google Scholar] [CrossRef]
- Sharma, A.; Tripathi, D.K.; Das, G.; Gangwar, R.K. Novel asymmetrical swastik-shaped aperture coupled cylindrical dielectric resonator antenna with dual-band and dual-sense circular polarization characteristics. Microw. Opt. Technol. Lett. 2019, 61, 405–411. [Google Scholar] [CrossRef]
- Zhang, M.; Li, B.; Lv, X. Cross-slot-coupled wide dual-band circularly polarized rectangular dielectric resonator antenna. IEEE Antennas Wirel. Propag. Lett. 2014, 13, 532–535. [Google Scholar] [CrossRef]
- Zhao, Z.; Ren, J.; Liu, Z.; Yin, Y. Wideband dual-feed, dual-sense circularly polarized dielectric resonantor antenna. IEEE Trans. Antennas Propag. 2020, 68, 7785–7793. [Google Scholar] [CrossRef]
- Kumar Mongia, R.; Ittipiboon, A. Theoretical and experimental investigations on rectangular dielectric resonator antennas. IEEE Trans. Antennas Propag. 1997, 45, 1348–1356. [Google Scholar] [CrossRef]
- Pan, H.; Li, Y.-P.; Zhang, H.-F. Design and optimization of circularly polarized dielectric resonator antenna array based on Al2O3 ceramic. Alex. Eng. J. 2023, 12, 154–166. [Google Scholar] [CrossRef]
- Besisa, N.H.; Besisa, D.H.; Ewais, E.M. Processing of high temperature alumina/aluminum titanate ceramic composites from clean sources. Sci. Rep. 2022, 12, 5957. [Google Scholar] [CrossRef] [PubMed]














| Parameter | Value | Parameter | Value | Parameter | Value |
|---|---|---|---|---|---|
| 22.71 | 7.07 | 4.7 | |||
| 26.46 | 6 | 12.4 | |||
| 32.11 | 8.9 | 22.3 | |||
| b | 15.06 | 3.41 | 3.2 | ||
| 2.26 | 12.49 | 1.3 | |||
| 2.25 | 8.45 | 2.3 | |||
| 19.49 | 10.86 | 0.65 | |||
| 4.41 | 7.31 | 0.73 | |||
| 14 | 10.28 | 0.762 | |||
| 4.24 | 7.33 | 41 | |||
| 2.83 | 2.75 |
| Ref. | IBW | ARBW | Polarization | Peak Gain | Frequency Ratio |
|---|---|---|---|---|---|
| [%] | [%] | [dBic] | |||
| [12] | 23.6 | 9.3 | LHCP | 5.9 | 1.53 |
| 5.3 | 3.6 | RHCP | 4.7 | ||
| [13] | 6.4 | 5.2 | RHCP | 6.6 | 1.36 |
| 12.8 | 4.1 | LHCP | 8.2 | ||
| [14] | 10.75 | 5.5 | LHCP | 3.4 | 1.32 |
| 16.79 | 8.8 | RHCP | 5.8 | ||
| [15] | 27.7 | 15.7 | LHCP | 2.3 | 1.25 |
| 8.5 | 6.0 | RHCP | 4.3 | ||
| [16] | 30.3 | 12.6 | LHCP | 5.0 | 1.38 |
| 4.4 | 11.9 | RHCP | 2.4 | ||
| Proposed | 24.4 | 21.2 | RHCP | 5.64 | 1.51 |
| 17.4 | 16.3 | LHCP | 8.13 |
Disclaimer/Publisher’s Note: The statements, opinions and data contained in all publications are solely those of the individual author(s) and contributor(s) and not of MDPI and/or the editor(s). MDPI and/or the editor(s) disclaim responsibility for any injury to people or property resulting from any ideas, methods, instructions or products referred to in the content. |
© 2024 by the authors. Licensee MDPI, Basel, Switzerland. This article is an open access article distributed under the terms and conditions of the Creative Commons Attribution (CC BY) license (https://creativecommons.org/licenses/by/4.0/).
Share and Cite
Van Trinh, T.; Trinh-Van, S.; Lee, K.-Y.; Yang, Y.; Hwang, K.C. A Two-Port Dual-Band Dual-Circularly-Polarized Dielectric Resonator Antenna. Appl. Sci. 2024, 14, 4062. https://doi.org/10.3390/app14104062
Van Trinh T, Trinh-Van S, Lee K-Y, Yang Y, Hwang KC. A Two-Port Dual-Band Dual-Circularly-Polarized Dielectric Resonator Antenna. Applied Sciences. 2024; 14(10):4062. https://doi.org/10.3390/app14104062
Chicago/Turabian StyleVan Trinh, Thai, Son Trinh-Van, Kang-Yoon Lee, Younggoo Yang, and Keum Cheol Hwang. 2024. "A Two-Port Dual-Band Dual-Circularly-Polarized Dielectric Resonator Antenna" Applied Sciences 14, no. 10: 4062. https://doi.org/10.3390/app14104062
APA StyleVan Trinh, T., Trinh-Van, S., Lee, K.-Y., Yang, Y., & Hwang, K. C. (2024). A Two-Port Dual-Band Dual-Circularly-Polarized Dielectric Resonator Antenna. Applied Sciences, 14(10), 4062. https://doi.org/10.3390/app14104062

