Design and Implementation of a Model Predictive Formation Tracking Control System for Underwater Multiple Small Spherical Robots
Abstract
:1. Introduction
- The multiple small spherical robot formation problem is split into trajectory tracking problems. The virtual structure is designed for obtaining the reference trajectory of each the robots in a formation. A model predictive-based formation tracking controller is proposed, and the ESO is designed to deal with the inaccurate dynamic model and other disturbances.
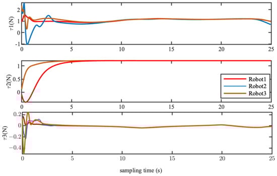
- To achieve the inner collision avoidance, a collision cost term is designed. The control input for each small spherical robot is determined by solving the local linear MPC optimization problem based on the state information of itself and the neighbors.
- A multi-small spherical robot formation simulation system is built based on a gazebo, and it is used for physical simulation to verify the effectiveness of the proposed algorithm.
2. Small Spherical Robot Set up and Modeling
2.1. The Mechanism of a Small Spherical Robot
2.2. Modeling of The Small Spherical Robot
3. Control Approach
3.1. Formation Problem Formulation
- The tracking problem: .
- The formation problem: .
- The collision avoidance problem: .
3.2. A Method for Generating the Reference Trajectory Based on Cubic Spline and Virtual Structure
3.2.1. Calculating the Formation Reference Information Based on Cubic Splines
- In the section between every two adjacent points , is a cubic equation.
- Satisfy the interpolation condition that is .
- The curve is smooth, which means that is continuous.
3.2.2. Modeling of the Virtual Structure in Three Dimensions
3.3. Formation Tracking Controller Based on ESO-MPC
3.3.1. Linear Predictive Model of the Small Spherical Robot
3.3.2. Design of the ESO Based on the State Space
3.3.3. Cost Function Design of the MPC
- Robots with urgent tasks such as target hunting.
- Robots that have minor tracking errors.
- Robots that could obtain the information of the other robots.
3.3.4. Design of the Optimization Problem Based on ESO-MPC
4. Simulation Results
4.1. Numerical Simulation Results
4.1.1. Simulation Setup
4.1.2. Formation Tracking without Disturbance
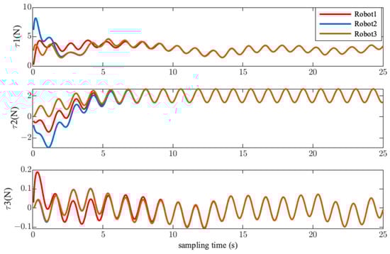
4.1.3. Formation Tracking with Disturbance
4.2. Physical Simulation Results
4.2.1. Self-Building Multi-Small Spherical Robot Formation Simulation Platform
4.2.2. The Gazebo-Based Simulation Setup
4.2.3. Triangle Formation in a Single Water Scene
4.2.4. Line Formation in a Complex Water Scene
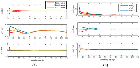
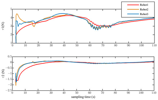
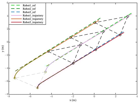
5. Experimental Results
5.1. Experimental Setup
5.2. Formation Tracking Experiment Results
6. Discussion
7. Conclusions
Author Contributions
Funding
Institutional Review Board Statement
Informed Consent Statement
Data Availability Statement
Conflicts of Interest
References
- Cai, W.; Liu, Z.; Zhang, M.; Lv, S.; Wang, C. Cooperative Formation Control for Multiple AUVs with Intermittent Underwater Acoustic Communication in IoUT. IEEE Internet Things J. 2023, 10, 15301–15313. [Google Scholar] [CrossRef]
- Zhang, J.; Li, W.; Kang, S.; Yu, J.; Chen, S. Assigning Multiple AUVs to Form Arrays Under Communication Range Limitations Based on the Element Zero Method. IEEE Syst. J. 2021, 15, 1664–1673. [Google Scholar] [CrossRef]
- Yan, T.; Xu, Z.; Yang, S.X. Consensus Formation Tracking for Multiple AUV Systems Using Distributed Bioinspired Sliding Mode Control. IEEE Trans. Intell. Veh. 2023, 8, 1081–1092. [Google Scholar] [CrossRef]
- Wei, H.; Shen, C.; Shi, Y. Distributed Lyapunov-Based Model Predictive Formation Tracking Control for Autonomous Underwater Vehicles Subject to Disturbances. IEEE Trans. Syst. Man Cybern. Syst. 2021, 51, 5198–5208. [Google Scholar] [CrossRef]
- Wang, X.; Yu, Y.; Li, Z. Distributed sliding mode control for leader-follower formation flight of fixed unmanned aerial vehicles subject to velocity constraints. Int. J. Robust Nonlinear Control. 2020, 31, 2110–2125. [Google Scholar] [CrossRef]
- Guo, J.; Liu, Z.; Song, Y.; Yang, C.; Liang, C. Research on Multi-UAV Formation and Semi-Physical Simulation With Virtual Structure. IEEE Access 2023, 11, 126027–126039. [Google Scholar] [CrossRef]
- Tan, K.H.; Lewis, M. Virtual structures for high-precision cooperative mobile robotic control. In Proceedings of the IEEE/RSJ International Conference on Intelligent Robots and Systems, Osaka, Japan, 4–8 November 1996; Volume 1, pp. 132–139. [Google Scholar] [CrossRef]
- Yan, T.; Xu, Z.; Yang, S.X. Distributed Robust Learning-Based Backstepping Control Aided with Neurodynamics for Consensus Formation Tracking of Underwater Vessels. IEEE Trans. Cybern. 2023, 1–12. [Google Scholar] [CrossRef]
- Wang, J.; Wang, C.; Wei, Y.; Zhang, C. Sliding mode based neural adaptive formation control of underactuated AUVs with leader-follower strategy. Appl. Ocean. Res. 2020, 94, 101971. [Google Scholar] [CrossRef]
- Pham, H.A.; Soriano, T.; Ngo, V.H.; Gies, V. Distributed Adaptive Neural Network Control Applied to a Formation Tracking of a Group of Low-Cost Underwater Drones in Hazardous Environments. Appl. Sci. 2020, 10, 1732. [Google Scholar] [CrossRef]
- Heshmati-Alamdari, S.; Karras, G.C.; Kyriakopoulos, K.J. A Distributed Predictive Control Approach for Cooperative Manipulation of Multiple Underwater Vehicle Manipulator Systems. In Proceedings of the 2019 international conference on robotics and automation (ICRA), Montreal, QC, Canada, 20–24 May 2019. [Google Scholar]
- Heshmati-Alamdari, S.; Karras, G.C.; Kyriakopoulos, K.J. A Predictive Control Approach for Cooperative Transportation by Multiple Underwater Vehicle Manipulator Systems. IEEE Trans. Control. Syst. Technol. 2022, 30, 917–930. [Google Scholar] [CrossRef]
- Liu, A.; Zhang, W.A.; Yu, L.; Yan, H.; Zhang, R. Formation Control of Multiple Mobile Robots Incorporating an Extended State Observer and Distributed Model Predictive Approach. IEEE Trans. Syst. Man Cybern. Syst. 2020, 50, 4587–4597. [Google Scholar] [CrossRef]
- Li, J.; Du, J.; Chen, C.L.P. Command-Filtered Robust Adaptive NN Control with the Prescribed Performance for the 3-D Trajectory Tracking of Underactuated AUVs. IEEE Trans. Neural Netw. Learn. Syst. 2022, 33, 6545–6557. [Google Scholar] [CrossRef] [PubMed]
- Shou, Y.; Xu, B.; Zhang, A.; Mei, T. Virtual Guidance-Based Coordinated Tracking Control of Multi-Autonomous Underwater Vehicles Using Composite Neural Learning. IEEE Trans. Neural Netw. Learn. Syst. 2021, 32, 5565–5574. [Google Scholar] [CrossRef] [PubMed]
- Yu, R.; Shi, Z.; Huang, C.; Li, T.; Ma, Q. Deep reinforcement learning based optimal trajectory tracking control of autonomous underwater vehicle. In Proceedings of the 2017 36th Chinese Control Conference (CCC), Dalian, China, 26–28 July 2017; pp. 4958–4965. [Google Scholar] [CrossRef]
- Sun, Y.; Ran, X.; Zhang, G.; Wang, X.; Xu, H. AUV path following controlled by modified Deep Deterministic Policy Gradient. Ocean Eng. 2020, 210, 107360. [Google Scholar] [CrossRef]
- Liu, C.; Gao, J.; Li, H.; Xu, D. Aperiodic Robust Model Predictive Control for Constrained Continuous-Time Nonlinear Systems: An Event-Triggered Approach. IEEE Trans. Cybern. 2018, 48, 1397–1405. [Google Scholar] [CrossRef]
- Xing, H.; Guo, S.; Shi, L.; Hou, X.; Liu, Y.; Liu, H.; Hu, Y.; Xia, D.; Li, Z. A Novel Small-scale Turtle-inspired Amphibious Spherical Robot. In Proceedings of the 2019 IEEE/RSJ International Conference on Intelligent Robots and Systems (IROS), Macao, China, 4–8 November 2019; pp. 1702–1707. [Google Scholar] [CrossRef]
- Hou, X.; Guo, S.; Shi, L.; Xing, H.; Xia, D. Improved Model Predictive-Based Underwater Trajectory Tracking Control for the Biomimetic Spherical Robot under Constraints. Appl. Sci. 2020, 10, 8106. [Google Scholar] [CrossRef]
- Hou, X.; Li, Z.; Guo, S.; Shi, L.; Xing, H.; Yin, H. An Improved Backstepping Controller with an LESO and TDs for Robust Underwater 3D Trajectory Tracking of a Turtle-Inspired Amphibious Spherical Robot. Machines 2022, 10, 450. [Google Scholar] [CrossRef]
- Kong, S.; Sun, J.; Qiu, C.; Wu, Z.; Yu, J. Extended State Observer-Based Controller With Model Predictive Governor for 3-D Trajectory Tracking of Underactuated Underwater Vehicles. IEEE Trans. Ind. Inform. 2021, 17, 6114–6124. [Google Scholar] [CrossRef]
- Peng, Z.; Wang, J. Output-Feedback Path-Following Control of Autonomous Underwater Vehicles Based on an Extended State Observer and Projection Neural Networks. IEEE Trans. Syst. Man Cybern. Syst. 2017, 48, 535–544. [Google Scholar] [CrossRef]
- Xing, H.; Guo, S.; Shi, L.; Hou, X.; Liu, H. Design, modeling and experimental evaluation of a legged, multi-vectored water-jet composite driving mechanism for an amphibious spherical robot. Microsyst. Technol. 2019, 26, 475–487. [Google Scholar] [CrossRef]
- Manhães, M.M.M.; Scherer, S.A.; Voss, M.; Douat, L.R.; Rauschenbach, T. UUV Simulator: A Gazebo-based package for underwater intervention and multi-robot simulation. In Proceedings of the OCEANS 2016 MTS/IEEE Monterey, Piscataway, NJ, USA, 19–23 September 2016; pp. 1–8. [Google Scholar] [CrossRef]
- Wang, L.; Xu, X.; Han, B.; Zhang, H. Multiple Autonomous Underwater Vehicle Formation Obstacle Avoidance Control Using Event-Triggered Model Predictive Control. J. Mar. Sci. Eng. 2023, 11, 2016. [Google Scholar] [CrossRef]
- Pang, W.; Zhu, D.; Chu, Z.; Chen, Q. Distributed Adaptive Formation Reconfiguration Control for Multiple AUVs Based on Affine Transformation in Three-Dimensional Ocean Environments. IEEE Trans. Veh. Technol. 2023, 72, 7338–7350. [Google Scholar] [CrossRef]
- Wang, C.; Cai, W.; Lu, J.; Ding, X.; Yang, J. Design, Modeling, Control, and Experiments for Multiple AUVs Formation. IEEE Trans. Autom. Sci. Eng. 2022, 19, 2776–2787. [Google Scholar] [CrossRef]
































| Method | Advantages | Disadvantages |
|---|---|---|
| PID | Simple; independent of system models | Single input and single output |
| LQR | Multiple input and multiple output | Dependent on system model |
| Sliding mode control | Robust to uncertain models and time-varying parameters | Chattering |
| Model predictive control | Deals with constraints; Multiple input and multiple output | Dependent on system model |
| Backstepping | Independent of accurate models; Suitable for nonlinear systems | As the complexity of the control problem increases, more parameters need to be adjusted |
| Fuzzy control | Independent of models | Over-dependence on expert experience |
| Neural network control | Adaptability, learning ability, and robustness | Dependent on a large number of training examples and needs a long training time |
| Items | Parameters |
|---|---|
| Dimension (Width × Length × Height) | 30 cm × 60 cm × 30 cm |
| Mass in air | 6.5 kg |
| Processors | NVIDIA Jetson Tk1 STM32F407 |
| Max thrust | 3.8 N |
| Motor | A2212 |
| Sensors | Pressure sensor(MS5803-14BA ) IMU(3DM-GX5-45) Stereo camera Acoustic communication module(Micron Sonar) |
| Power | 7.4 V rechargeable Ni-MH batteries (13,200 mAh) |
| Operation time | Average 100 min |
| Robot Label | (m) | (m) | (m) | (rad) |
|---|---|---|---|---|
| 1 | 0.135 | 0.087 | 0.020 | 0.043 |
| 2 | 0.120 | 0.024 | 0.010 | 0.009 |
| 3 | 0.130 | 0.081 | 0.010 | 0.041 |
| 1–2 | 0.057 | 0.100 | 0.005 | 0.041 |
| 1–3 | 0.029 | 0.098 | 0.004 | 0.023 |
| 2–3 | 0.036 | 0.059 | 0.001 | 0.003 |
| Robot Number | (m) | (m) | (m) | (rad) |
|---|---|---|---|---|
| 1 | 0.134 | 0.112 | 0.010 | 0.073 |
| 2 | 0.118 | 0.071 | 0.023 | 0.134 |
| 3 | 0.172 | 0.107 | 0.011 | 0.092 |
| 1–2 | 0.181 | 0.112 | 0.006 | 0.177 |
| 1–3 | 0.055 | 0.063 | 0.001 | 0.080 |
| 2–3 | 0.212 | 0.115 | 0.006 | 0.205 |
| Robot Number | (m) | (m) | (rad) |
|---|---|---|---|
| 1 | 0.008 | 0.106 | 0.059 |
| 2 | 0.034 | 0.213 | 0.069 |
| 3 | 0.027 | 0.090 | 0.031 |
| 1–2 | 0.051 | 0.022 | 0.014 |
| 1–3 | 0.099 | 0.086 | 0.029 |
| 2–3 | 0.140 | 0.153 | 0.036 |
| Robot Number | (m) | (m) |
|---|---|---|
| 1 | 0.07 | 0.11 |
| 2 | 0.09 | 0.09 |
| 1–2 | 0.07 | 0.09 |
Disclaimer/Publisher’s Note: The statements, opinions and data contained in all publications are solely those of the individual author(s) and contributor(s) and not of MDPI and/or the editor(s). MDPI and/or the editor(s) disclaim responsibility for any injury to people or property resulting from any ideas, methods, instructions or products referred to in the content. |
© 2023 by the authors. Licensee MDPI, Basel, Switzerland. This article is an open access article distributed under the terms and conditions of the Creative Commons Attribution (CC BY) license (https://creativecommons.org/licenses/by/4.0/).
Share and Cite
Hou, X.; Xing, H.; Guo, S.; Shi, H.; Yuan, N. Design and Implementation of a Model Predictive Formation Tracking Control System for Underwater Multiple Small Spherical Robots. Appl. Sci. 2024, 14, 294. https://doi.org/10.3390/app14010294
Hou X, Xing H, Guo S, Shi H, Yuan N. Design and Implementation of a Model Predictive Formation Tracking Control System for Underwater Multiple Small Spherical Robots. Applied Sciences. 2024; 14(1):294. https://doi.org/10.3390/app14010294
Chicago/Turabian StyleHou, Xihuan, Huiming Xing, Shuxiang Guo, Huimin Shi, and Na Yuan. 2024. "Design and Implementation of a Model Predictive Formation Tracking Control System for Underwater Multiple Small Spherical Robots" Applied Sciences 14, no. 1: 294. https://doi.org/10.3390/app14010294
APA StyleHou, X., Xing, H., Guo, S., Shi, H., & Yuan, N. (2024). Design and Implementation of a Model Predictive Formation Tracking Control System for Underwater Multiple Small Spherical Robots. Applied Sciences, 14(1), 294. https://doi.org/10.3390/app14010294

