Similarity Model Test on Rainfall Scouring Mechanism of High-Speed Railway Subgrade Slope
Abstract
:1. Introduction
2. Materials and Methods
2.1. The Materials of the Model Test
2.2. The Method of the Model Test
- (1)
- Debug the rainfall device to reach the target rainfall intensity;
- (2)
- Record the time of runoff generation with a stopwatch;
- (3)
- When observing the start-up of dyed soil particles on the slope, record the color of the start-up particle size and the flow velocity using the dye tracer method as the incipient flow velocity for this size of soil particle. The flow velocity was measured by the dye tracer method, and the water depth was measured by a water level probe;
- (4)
- Every 8 min, record the slope scouring erosion patterns at different stages with the digital camera. After 40 min, turn off the water supply and collect the washed soil. Then, dry the collected soil and measure its size. After finishing one test group, weigh the total collected soil as the erosion quantity.
- (5)
- Carry out the next group of tests.
3. Test Results and Discussions
3.1. Occurrence and Development Process of Subgrade Slope Erosion of G1
3.2. Occurrence and Development Process of Subgrade Slope Erosion of G2
3.3. Occurrence and Development Process of Subgrade SLOPE Erosion of G3
3.4. Occurrence and Development Process of Subgrade Slope Erosion of G4
3.5. Occurrence and Development Process of Subgrade Slope Erosion of G5
3.6. Equation Verification and Analysis of Incipient Flow Velocity
- (1)
- Rainfall intensity impact on the incipient flow velocity
- (2)
- Slope gradient impact on the incipient flow velocity
- (3)
- Grading curve impact on the incipient flow velocity
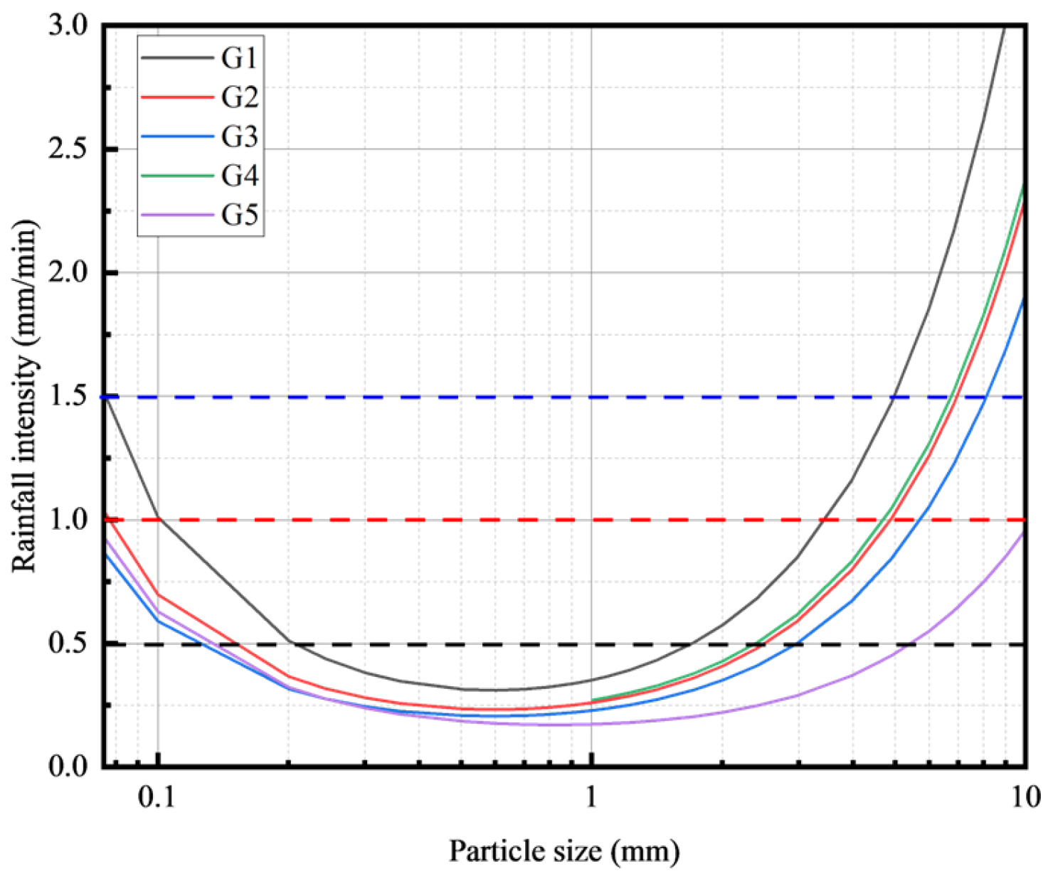
3.7. Relationship between Rainfall Intensity and Incipient Particle Size
4. Conclusions
Author Contributions
Funding
Institutional Review Board Statement
Informed Consent Statement
Data Availability Statement
Conflicts of Interest
References
- Zou, Q.; Jiang, H.; Cui, P.; Zhou, B.; Jiang, Y.; Qin, M.; Liu, Y.; Li, C. A New Approach to Assess Landslide Susceptibility Based on Slope Failure Mechanisms. Catena 2021, 204, 105388. [Google Scholar] [CrossRef]
- Wang, L.; Li, X.-A.; Zheng, Z.-Y.; Zheng, H.; Ren, Y.-B.; Chen, W.-J.; Lei, H.-N. Analysis of the Slope Failure Mechanism a Under Tunnel Erosion Environment in the South-eastern Loess Plateau in China. Catena 2022, 212, 106039. [Google Scholar] [CrossRef]
- Jiang, J.-J.; Cui, Z.-D. Instability of High Liquid Limit Soil Slope for the Expressway Induced by Rainfall. Appl. Sci. 2022, 12, 10857. [Google Scholar] [CrossRef]
- Shen, E.; Liu, G.; Jia, Y.; Dan, C.; Abd Elbasit, M.A.; Liu, C.; Gu, J.; Shi, H. Effects of raindrop impact on the resistance characteristics of sheet flow. J. Hydrol. 2021, 592, 125767. [Google Scholar] [CrossRef]
- Shen, E.; Liu, G.; Xia, X.; Dan, C.; Zheng, F.; Zhang, Q.; Zhang, Y.; Guo, Z. Resistance to sheet flow induced by raindrop impact on rough surfaces. Catena 2023, 231, 107272. [Google Scholar] [CrossRef]
- TB10621-2014; Code for Design of High-Speed Railways. National Railway Administration: Beijing, China, 2015. (In Chinese)
- Japanese National Railways. Design Standards and Interpretation of Geostructures; China Railway Publishing House: Beijing, China, 1982. [Google Scholar]
- Gobel, C.; Lieberenz, K. Handbook of Railway Geotechnical Buildings; China Railway Publishing House Co., Ltd.: Beijing, China, 2009. [Google Scholar]
- Guo, Z. Study on the Behavior and Laws Rainfall Erosion for Railway Embarkment Slope; China Academy of Railway Sciences: Beijing, China, 2012. (In Chinese) [Google Scholar]
- Fenta, A.A.; Tsunekawa, A.; Haregeweyn, N.; Tsubo, M.; Yasuda, H.; Kawai, T.; Ebabu, K.; Berihun, M.L.; Belay, A.S.; Sultan, D. Agroecology-based soil erosion assessment for better conservation planning in Ethiopian river basins. Environ. Res. 2021, 195, 110786. [Google Scholar] [CrossRef]
- Hu, M.J.; Wang, R.; Zhang, P.C. Experiment analysis of the erosion character on slope surface in Jiang-jia valley. Rock Soil Mech. 2002, 23, 645–648. (In Chinese) [Google Scholar]
- Shen, S.J.; Sun, H.Y.; Shang, Y.Q.; Zhong, J.; Huang, J. Scouring-penetration Coupling Analysis of Embankment Slope under Rainfall Action. Chin. J. Rock Mech. Eng. 2011, 12, 2456–2462. (In Chinese) [Google Scholar]
- Huang, X.; Wang, C.; Song, P.; Wang, T. Physical Simulation Experiment for Characteristics of Loess Slope Erosion. J. Eng. Geol. 2015, 23, 725–730. (In Chinese) [Google Scholar]
- Shenghui, P. Simulation Test of Rainfall Scour Characteristics of Coarse-Grained Soil High Embankment Slope and Numerical Analysis; Changsha University of Science & Technology: Changsha, China, 2021. (In Chinese) [Google Scholar]
- Hu, M.; Wang, R.; Meng, Q.; Liu, S. Research on erosion process and features of loose gravelly soil slope. Rock Soil Mech. 2015, 31–35. (In Chinese) [Google Scholar]
- Wu, Q.; Wang, C.M.; Song, P.R.; Zhu, H.B.; Ma, D.H. Rainfall Erosion Experiment for Steep Loess Slope and Fluid-soil Coupling Simulation with PFC3D. Rock Soil Mech. 2014, 35, 977–985. (In Chinese) [Google Scholar]
- Li, R.; Zhang, S.; Bai, W.; Xiao, H. Function of a Deep-Buried Isolated Trench and Its Effect on Cracking Failure Characteristics of a Slope under Artificial Rainfall. Water 2022, 14, 1123. [Google Scholar] [CrossRef]
- Kuang, X. Research on the Rules and Evaluations of Water Erosion on Railroad Slopes; Beijing Jiaotong University: Beijing, China, 2009. (In Chinese) [Google Scholar]
- González, C.A.R.; Rodríguez-Pérez, Á.M.; Mancera, J.J.C.; Torres, J.A.H.; Carmona, N.G.; García, M.I.B. Applied Methodology Based on HEC-HMS for Reservoir Filling Estimation due to Soil Erosion. J. Hydrol. Hydromech. 2022, 70, 341–356. [Google Scholar] [CrossRef]
- Dou, G.R. Incipient Motion of Sediment Under Currents. China Ocean Eng. 2000, 14, 391–406. [Google Scholar]
- Bridhikitti, A.; Ruamchalerm, P.; Keereesuwannakul, M.; Prabamroong, T.; Liu, G.; Huang, C. Magnitude and factors influencing soil loss and sedimentation in the Mun River Basin, Thailand. Catena 2022, 210, 105872. [Google Scholar] [CrossRef]
- Guo, Z.; Zhao, Z. Numerical analysis of an expansive subgrade slope subjected to rainfall infiltration. Bull. Eng. Geol. Environ. 2021, 80, 5481–5491. [Google Scholar] [CrossRef]
- Guo, G.J.; Liu, G.H.; Sui, J.; Wu, J.Q. Subgrade Slope Stability Analysis under the Condition of Rainfall Infiltra-tion. Appl. Mech. Mater. 2013, 353–356, 1073–1076. [Google Scholar] [CrossRef]
- Ben Cheikha, L.; Jaoued, M.; Aouadi, T.; Ameur, M.; Gueddari, M. Quantifying of water erosion and sediment yield by SEAGIS model in Rmel watershed (north-eastern Tunisia). Environ. Earth Sci. 2021, 80, 790. [Google Scholar] [CrossRef]
- Fan, J.; Motamedi, A.; Galoie, M. Impact of C factor of USLE technique on the accuracy of soil erosion modeling in elevated mountainous area (case study: The Tibetan plateau). Environ. Dev. Sustain. 2022, 23, 12615–12630. [Google Scholar] [CrossRef]
- Baral, A.; Shahandashti, S.M. Identifying critical combination of roadside slopes susceptible to rainfall-induced failures. Nat. Hazards 2022, 113, 1177–1198. [Google Scholar] [CrossRef]
- Xu, G.-J.; Zhong, K.-Z.; Fan, J.-W.; Zhu, Y.-J.; Zhang, Y.-Q. Stability analysis of cohesive soil embankment slope based on discrete element method. J. Cent. South Univ. 2020, 27, 1981–1991. [Google Scholar] [CrossRef]
- GB/T50123-2019; Standards for Geotechnical Testing Method. Ministry of Housing and Urban-Rural Development of the People’s Republic of China: Beijing, China, 2019. (In Chinese)
- Wei, S.-W.; Cai, D.-G.; Lv, S.; Jiang, J.-J.; Cui, Z.-D. Rainfall Scouring Mechanism of the High-Speed Railway Subgrade Slope with Coarse-Grained Soil. Adv. Civ. Eng. 2023, 2023, 7320049. [Google Scholar] [CrossRef]


















| Soil | Saturated Permeability Coefficient (10−6 m/s) | Dry Bulk Density (kN/m3) | Compactness | Cohesion (kPa) | Internal Friction Angle (°) |
|---|---|---|---|---|---|
| S1 | 1.318 | 24.5 | 0.95 | 28 | 37 |
| S2 | 1.620 | 21.6 | 0.95 | 19 | 37 |
| Group | Slope Gradient | Rainfall Intensity (mm/min) | Soil Grading | Slope Height (m) |
|---|---|---|---|---|
| G1 | 1:1.5 | 0.5 | S1 | 0.6 |
| G2 | 1:1.5 | 1.0 | S1 | 0.6 |
| G3 | 1:1.5 | 1.5 | S1 | 0.6 |
| G4 | 1:1.5 | 1.0 | S2 | 0.6 |
| G5 | 1:1.25 | 1.0 | S1 | 0.6 |
| Particle Size (mm) | Incipient Flow Velocity (cm/s) | Erosion Quantity (g) |
|---|---|---|
| 0.075–1 (R1) | 9.40 | 3.0 |
| 1–2.5 (R2) | 13.01 | 1.9 |
| Particle Size (mm) | Incipient Flow Velocity (cm/s) | Erosion Quantity (g) |
|---|---|---|
| 0.075–1 (R1) | 8.50 | 3.1 |
| 1–2.5 (R2) | 13.19 | 5.6 |
| Particle Size (mm) | Incipient Flow Velocity (cm/s) | Erosion Quantity (g) |
|---|---|---|
| 0.075–1 (R1) | 7.50 | 3.3 |
| 1–2.5 (R2) | 11.31 | 13.8 |
| 2.5–5 (R3) | 16.33 | 8.0 |
| 5–10 (R4) | 21.14 | 5.0 |
| Particle Size (mm) | Incipient Flow Velocity (cm/s) | Erosion Quantity (g) |
|---|---|---|
| 1–2.5 (R1) | 11.09 | 10.5 |
| 2.5–5 (R2) | 15.65 | 4.7 |
| Particle Size (mm) | Incipient Flow Velocity (cm/s) | Erosion Quantity (g) |
|---|---|---|
| 0.075–1 (R1) | 6.75 | 11.1 |
| 1–2.5 (R2) | 10.59 | 3.8 |
| 2.5–5 (R3) | 15.6 | 2.1 |
| Groups | γs (kN/m3) | γw (kN/m3) | θ (°) | R (cm) | C (kN) | φ (°) | f(U∗D/v) | Js | χ | ks (m) |
|---|---|---|---|---|---|---|---|---|---|---|
| G1 | 24.5 | 9.8 | 33.7 | 4.0 | 28 | 37 | 0.04 | 0.667 | 1.0 | 0.005 |
| G2 | 24.5 | 9.8 | 33.7 | 2.0 | 28 | 37 | 0.04 | 0.667 | 1.0 | 0.005 |
| G3 | 24.5 | 9.8 | 33.7 | 1.5 | 28 | 37 | 0.04 | 0.667 | 1.0 | 0.005 |
| G4 | 21.6 | 9.8 | 33.7 | 1.7 | 19 | 37 | 0.04 | 0.667 | 1.0 | 0.005 |
| G5 | 24.5 | 9.8 | 38.6 | 2.0 | 28 | 37 | 0.04 | 0.800 | 1.0 | 0.005 |
| Groups | Rainfall Intensity (mm/min) | Max Flow Velocity (cm/s) | Particle Size (mm) | Max Percent of Eroded Particles (%) |
|---|---|---|---|---|
| G1 | 0.5 | 13.12 | 1.71 | 27.92 |
| G2 | 1.0 | 17.94 | 4.89 | 49.48 |
| G3 | 1.5 | 21.34 | 8.13 | 85.04 |
| G4 | 1.0 | 15.65 | 4.71 | 58.84 |
| G5 | 1.0 | 17.61 | 10 | 100 |
Disclaimer/Publisher’s Note: The statements, opinions and data contained in all publications are solely those of the individual author(s) and contributor(s) and not of MDPI and/or the editor(s). MDPI and/or the editor(s) disclaim responsibility for any injury to people or property resulting from any ideas, methods, instructions or products referred to in the content. |
© 2023 by the authors. Licensee MDPI, Basel, Switzerland. This article is an open access article distributed under the terms and conditions of the Creative Commons Attribution (CC BY) license (https://creativecommons.org/licenses/by/4.0/).
Share and Cite
Wei, S.-W.; Lv, S.; Jiang, J.-J.; Cai, D.-G.; Cui, Z.-D. Similarity Model Test on Rainfall Scouring Mechanism of High-Speed Railway Subgrade Slope. Appl. Sci. 2024, 14, 244. https://doi.org/10.3390/app14010244
Wei S-W, Lv S, Jiang J-J, Cai D-G, Cui Z-D. Similarity Model Test on Rainfall Scouring Mechanism of High-Speed Railway Subgrade Slope. Applied Sciences. 2024; 14(1):244. https://doi.org/10.3390/app14010244
Chicago/Turabian StyleWei, Shao-Wei, Song Lv, Jian-Jie Jiang, De-Gou Cai, and Zhen-Dong Cui. 2024. "Similarity Model Test on Rainfall Scouring Mechanism of High-Speed Railway Subgrade Slope" Applied Sciences 14, no. 1: 244. https://doi.org/10.3390/app14010244
APA StyleWei, S.-W., Lv, S., Jiang, J.-J., Cai, D.-G., & Cui, Z.-D. (2024). Similarity Model Test on Rainfall Scouring Mechanism of High-Speed Railway Subgrade Slope. Applied Sciences, 14(1), 244. https://doi.org/10.3390/app14010244

