A Dual Integral Equation Approach for Evaluating the Shielding of Thick Circular Disks against a Coaxial Loop
Abstract
1. Introduction
2. Formulation of the Problem
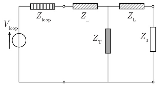
3. Pair of DIEs through Mitzner GBCs
4. Solution of the Pair of DIEs
5. Single DIE for Conductive Disks
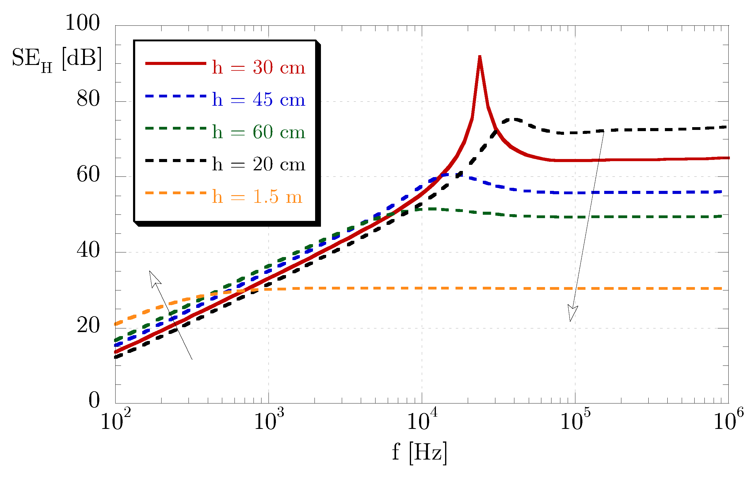
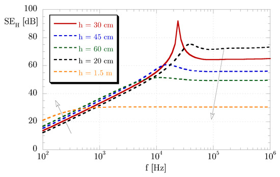
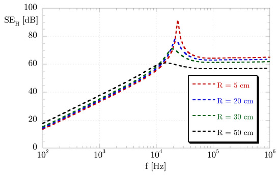
6. Numerical Results
7. Conclusions
Author Contributions
Funding
Institutional Review Board Statement
Informed Consent Statement
Data Availability Statement
Conflicts of Interest
References
- Bouwkamp, C.J. On the diffraction of electromagnetic waves by small circular disks and holes. Philips Res. Rep. 1950, 5, 401–422. [Google Scholar]
- Flammer, C. The vector wave function solution of the diffraction of electromagnetic waves by circular disks and apertures. I. Oblate spheroidal vector wave functions. J. Appl. Phys. 1953, 24, 1218–1223. [Google Scholar] [CrossRef]
- Eggimann, W.H. Higher-order evaluation of electromagnetic diffraction by circular disks. IRE Trans. Microw. Theory Techn. 1961, 9, 408–418. [Google Scholar] [CrossRef]
- Williams, W.E. Electromagnetic diffraction by a circular disk. In Mathematical Proceedings of the Cambridge Philosophical Society; Cambridge University Press: Cambridge, UK, 1962; Volume 58, pp. 625–630. [Google Scholar]
- Marsland, D.; Balanis, C.; Brumley, S. Higher order diffractions from a circular disk. IEEE Trans. Antennas Propag. 1987, 35, 1436–1444. [Google Scholar] [CrossRef]
- Duan, D.W.; Rahmat-Samii, Y.; Mahon, J.P. Scattering from a circular disk: A comparative study of PTD and GTD techniques. Proc. IEEE 1991, 79, 1472–1480. [Google Scholar] [CrossRef]
- Hongo, K.; Naqvi, Q.A. Diffraction of electromagnetic wave by disk and circular hole in a perfectly conducting plane. Prog. Electromagn. Res. 2007, 68, 113–150. [Google Scholar] [CrossRef]
- Hongo, K.; Jafri, A.D.U.; Naqvi, Q.A. Scattering of electromagnetic spherical wave by a perfectly conducting disk. Prog. Electromagn. Res. 2012, 129, 315–343. [Google Scholar] [CrossRef]
- Kaloshin, V.A.; Klionovski, K.K. Scattering of dipole field by perfectly conducting disk. J. Radio Electr. 2013, 12, 1–23. [Google Scholar]
- Peterson, A.F.; Bibby, M.M. Electromagnetic scattering from a disk: Use of Flammer’s solution to assess numerical techniques incorporating singular expansions. IEEE Trans. Antennas Propag. 2018, 67, 616–621. [Google Scholar] [CrossRef]
- Jiao, C.; Yang, X.; Qi, L. Low-frequency magnetic shielding of a perfectly electric conducting circular disk: Approximately analytical formulation considering radius of emitting loop. IEEE Trans. Electromagn. Compat. 2022, 64, 897–901. [Google Scholar] [CrossRef]
- Di Murro, F.; Lucido, M.; Panariello, G.; Schettino, F. Guaranteed-convergence method of analysis of the scattering by an arbitrarily oriented zero-thickness PEC disk buried in a lossy half-space. IEEE Trans. Antennas Propag. 2015, 63, 3610–3620. [Google Scholar] [CrossRef]
- Lucido, M.; Panariello, G.; Schettino, F. Scattering by a zero-thickness PEC disk: A new analytically regularizing procedure based on Helmholtz decomposition and Galerkin method. Radio Sci. 2017, 52, 2–14. [Google Scholar] [CrossRef]
- Lovat, G.; Burghignoli, P.; Araneo, R.; Celozzi, S.; Andreotti, A.; Assante, D.; Verolino, L. Shielding of a perfectly conducting disk: Exact and static analytical solution. Prog. Electromagn. Res. C 2019, 95, 167–182. [Google Scholar] [CrossRef]
- Balaban, M.V.; Sauleau, R.; Benson, T.M.; Nosich, A.I. Dual integral equations technique in electromagnetic wave scattering by a thin disk. Prog. Electromagn. Res. 2009, 16, 107–126. [Google Scholar] [CrossRef]
- Lucido, M.; Schettino, F.; Panariello, G. Scattering from a thin resistive disk: A guaranteed fast convergence technique. IEEE Trans. Antennas Propag. 2021, 69, 387–396. [Google Scholar] [CrossRef]
- Lucido, M.; Balaban, M.V.; Nosich, A.I. Plane wave scattering from thin dielectric disk in free space: Generalized boundary conditions, regularizing Galerkin technique and whispering gallery mode resonances. IET Microw. Antennas Propag. 2021, 15, 1159–1170. [Google Scholar] [CrossRef]
- Lovat, G.; Burghignoli, P.; Araneo, R.; Celozzi, S. Magnetic shielding of planar metallic screens: A new analytical closed-form solution. IEEE Trans. Electromagn. Compat. 2020, 62, 1884–1888. [Google Scholar] [CrossRef]
- Lovat, G.; Burghignoli, P.; Araneo, R.; Stracqualursi, E.; Celozzi, S. Analytical evaluation of the low-frequency magnetic shielding of thin planar magnetic and conductive screens. IEEE Trans. Electromagn. Compat. 2021, 63, 308–312. [Google Scholar] [CrossRef]
- Lovat, G.; Burghignoli, P.; Araneo, R.; Celozzi, S. Exact closed-form shielding effectiveness of planar screens with small parallel loops. IEEE Trans. Electromagn. Compat. 2022, 64, 1694–1702. [Google Scholar] [CrossRef]
- Burghignoli, P.; Lovat, G.; Araneo, R.; Celozzi, S. Pulsed vertical dipole response of a thin sheet with high-contrast dielectric and conductive properties. IEEE Trans. Antennas Propag. 2017, 66, 217–225. [Google Scholar] [CrossRef]
- Burghignoli, P.; Lovat, G.; Araneo, R.; Celozzi, S. Time-domain shielding of a thin conductive sheet in the presence of vertical dipoles. IEEE Trans. Electromagn. Compat. 2018, 60, 157–165. [Google Scholar] [CrossRef]
- Lovat, G.; Burghignoli, P.; Araneo, R.; Celozzi, S.; Andreotti, A.; Assante, D.; Verolino, L. Shielding of an imperfect metallic thin circular disk: Exact and low-frequency analytical solution. Prog. Electromagn. Res. 2020, 167, 1–10. [Google Scholar] [CrossRef]
- Lovat, G.; Burghignoli, P.; Araneo, R.; Celozzi, S. Axially symmetric source field penetration through a circular aperture in a thin impedance plate. IEEE Trans. Antennas Propag. 2022, 70, 8348–8359. [Google Scholar] [CrossRef]
- Mitzner, K. Effective boundary conditions for reflection and transmission by an absorbing shell of arbitrary shape. IEEE Trans. Antennas Propag. 1968, 16, 706–712. [Google Scholar] [CrossRef]
- Karlsson, A. Approximate boundary conditions for thin structures. IEEE Trans. Antennas Propag. 2009, 57, 144–148. [Google Scholar] [CrossRef]
- Sukharevsky, I.O.; Shapoval, O.V.; Altintas, A.; Nosich, A.I. Validity and limitations of the median-line integral equation technique in the scattering by material strips of sub-wavelength thickness. IEEE Trans. Antennas Propag. 2014, 62, 3623–3631. [Google Scholar] [CrossRef]
- Lovat, G.; Araneo, R.; Celozzi, S.; Burghignoli, P. Magnetic shielding of a thick circular conductive disk against a coaxial current loop. In Proceedings of the 2022 Microwave Mediterranean Symposium (MMS), Pizzo Calabro, Italy, 9–13 May 2022; pp. 1–4. [Google Scholar]
- Shapoval, O.V.; Sauleau, R.; Nosich, A.I. Scattering and absorption of waves by flat material strips analyzed using generalized boundary conditions and Nystrom-type algorithm. IEEE Trans. Antennas Propag. 2011, 59, 3339–3346. [Google Scholar] [CrossRef]
- Lucido, M.; Balaban, M.V.; Dukhopelnykov, S.; Nosich, A.I. A fast-converging scheme for the electromagnetic scattering from a thin dielectric disk. Electronics 2020, 9, 1451. [Google Scholar] [CrossRef]
- Lovat, G.; Burghignoli, P.; Araneo, R.; Celozzi, S. Magnetic-field transmission through a circular aperture in a magneto-conductive screen: Identification of aperture penetration and field diffusion contributions. IEEE Trans. Electromagn. Compat. 2023; submitted. [Google Scholar]
- Gradshteyn, I.S.; Ryzhik, I.M. Table of Integrals, Series, and Products, 7th ed.; Academic Press: Burlington, MA, USA, 2014. [Google Scholar]
- Abramowitz, M.; Stegun, L.A. Handbook of Mathematical Functions; Dover Publications Inc.: New York, NY, USA, 1972. [Google Scholar]
- Celozzi, S.; Araneo, R.; Burghignoli, P.; Lovat, G. Electromagnetic Shielding, 2nd ed.; IEEE Wiley: Hoboken, NJ, USA, 2022. [Google Scholar]
- Tretyakov, S. Analytical Modeling in Applied Electromagnetics; Artech House: Norwood, MA, USA, 2003. [Google Scholar]
- Schelkunoff, S.A. The impedance concept and its application to problems of reflection, refraction, shielding and power absorption. Bell Syst. Tech. J. 1938, 17, 17–48. [Google Scholar] [CrossRef]
- Whitehouse, A.C.D. Screening: New wave impedance for the transmission-line analogy. Proc. IEE 1969, 116, 1159–1164. [Google Scholar] [CrossRef]
- Lovat, G.; Burghignoli, P.; Araneo, R.; Celozzi, S. Magnetic field penetration through a circular aperture in a perfectly conducting plate excited by a coaxial loop. IET Microw. Antennas Propag. 2021, 15, 1147–1158. [Google Scholar] [CrossRef]
- Nosich, A.I. The method of analytical regularization in wave-scattering and eigenvalue problems: Foundations and review of solutions. IEEE Antennas Propag. Mag. 1999, 41, 34–49. [Google Scholar] [CrossRef]







Disclaimer/Publisher’s Note: The statements, opinions and data contained in all publications are solely those of the individual author(s) and contributor(s) and not of MDPI and/or the editor(s). MDPI and/or the editor(s) disclaim responsibility for any injury to people or property resulting from any ideas, methods, instructions or products referred to in the content. |
© 2023 by the authors. Licensee MDPI, Basel, Switzerland. This article is an open access article distributed under the terms and conditions of the Creative Commons Attribution (CC BY) license (https://creativecommons.org/licenses/by/4.0/).
Share and Cite
Lovat, G.; Burghignoli, P.; Araneo, R.; Celozzi, S. A Dual Integral Equation Approach for Evaluating the Shielding of Thick Circular Disks against a Coaxial Loop. Appl. Sci. 2023, 13, 5819. https://doi.org/10.3390/app13095819
Lovat G, Burghignoli P, Araneo R, Celozzi S. A Dual Integral Equation Approach for Evaluating the Shielding of Thick Circular Disks against a Coaxial Loop. Applied Sciences. 2023; 13(9):5819. https://doi.org/10.3390/app13095819
Chicago/Turabian StyleLovat, Giampiero, Paolo Burghignoli, Rodolfo Araneo, and Salvatore Celozzi. 2023. "A Dual Integral Equation Approach for Evaluating the Shielding of Thick Circular Disks against a Coaxial Loop" Applied Sciences 13, no. 9: 5819. https://doi.org/10.3390/app13095819
APA StyleLovat, G., Burghignoli, P., Araneo, R., & Celozzi, S. (2023). A Dual Integral Equation Approach for Evaluating the Shielding of Thick Circular Disks against a Coaxial Loop. Applied Sciences, 13(9), 5819. https://doi.org/10.3390/app13095819

