Inspection Robot and Wall Surface Detection Method for Coal Mine Wind Shaft
Abstract
1. Introduction
2. Challenges and Solutions of Wind Shaft Wall Inspection
2.1. The Challenge of Wind Shaft Wall Inspection System
2.2. The Solution of the Wind Shaft Wall Inspection System
2.2.1. Mapping Analysis of Water Vapor Dust Concentration and Image Definition in Wind Shaft
2.2.2. Design of Long-Distance and High-Flexibility Inspection Mechanism
3. Overall Design of Tooth Rail Wind Shaft Inspection Robot
3.1. Design of Detection Module
3.2. Design of Lifting Module
3.2.1. Selection and Calculation of Hoisting Wire Rope
3.2.2. Selection and Calculation of Guide Rope
3.3. Design of Mobile Module
3.3.1. Configuration Design of Rack Rail
3.3.2. Installation Design Analysis of Rack Rail
3.4. Design of Other Modules
3.4.1. Design of Communication Module
3.4.2. Design of Power Supply Module
4. Visual Inspection Method of Borehole Wall Condition Assisted by Inspection Robot
4.1. Identification and Location Method of Borehole Wall Damage
4.1.1. Borehole Damage Identification
4.1.2. Estimation of Borehole Damage Location
4.2. Pretreatment of Borehole Wall Damage Image
4.2.1. Defect Image Mosaic
| Algorithm 1. Splicing processing of defect images |
Input: incomplete defect images J1, J2. Output: complete defect image k 1. Feature extraction: The scale space of J1 and J2 is established through the detection of Equations (9) and (10), the DOG is constructed, the feature descriptor is calculated and the feature point set is returned. 2. Feature matching: Establish a violence matcher; use KNN to detect feature matching pairs to generate a matching graph J3; construct 3*3 visual transformation matrix H; and calculate Euclidean distance to find feature points. 3. Image fusion: Joint traversal, draw matching pairs and acquire the spliced image K. |
4.2.2. Defect Contour Extraction
| Algorithm 2. Shaft wall image processing algorithm |
Input: initial image of borehole wall I Output: processed defect contour image J. 1. Image denoising: The image I is weighted and averaged to obtain a grayscale image I1, and the filtered image I2 is obtained by bilateral filtering. 2. Edge detection: The binary image I3 is obtained by threshold processing, and the crack edge image i4 is obtained by etching first and then expanding by Formula (9). 3. Contour extraction: Then, the Gaussian operator is determined by Formula (9), the gradient map G(x, y) is calculated by Formula (10) and the edge contour of the crack is extracted. Finally, the contour image J of the crack is obtained using contour search. |
5. Results
5.1. Design and Construction of Inspection System
5.2. Experimental Analysis of Borehole Wall Defect Detection
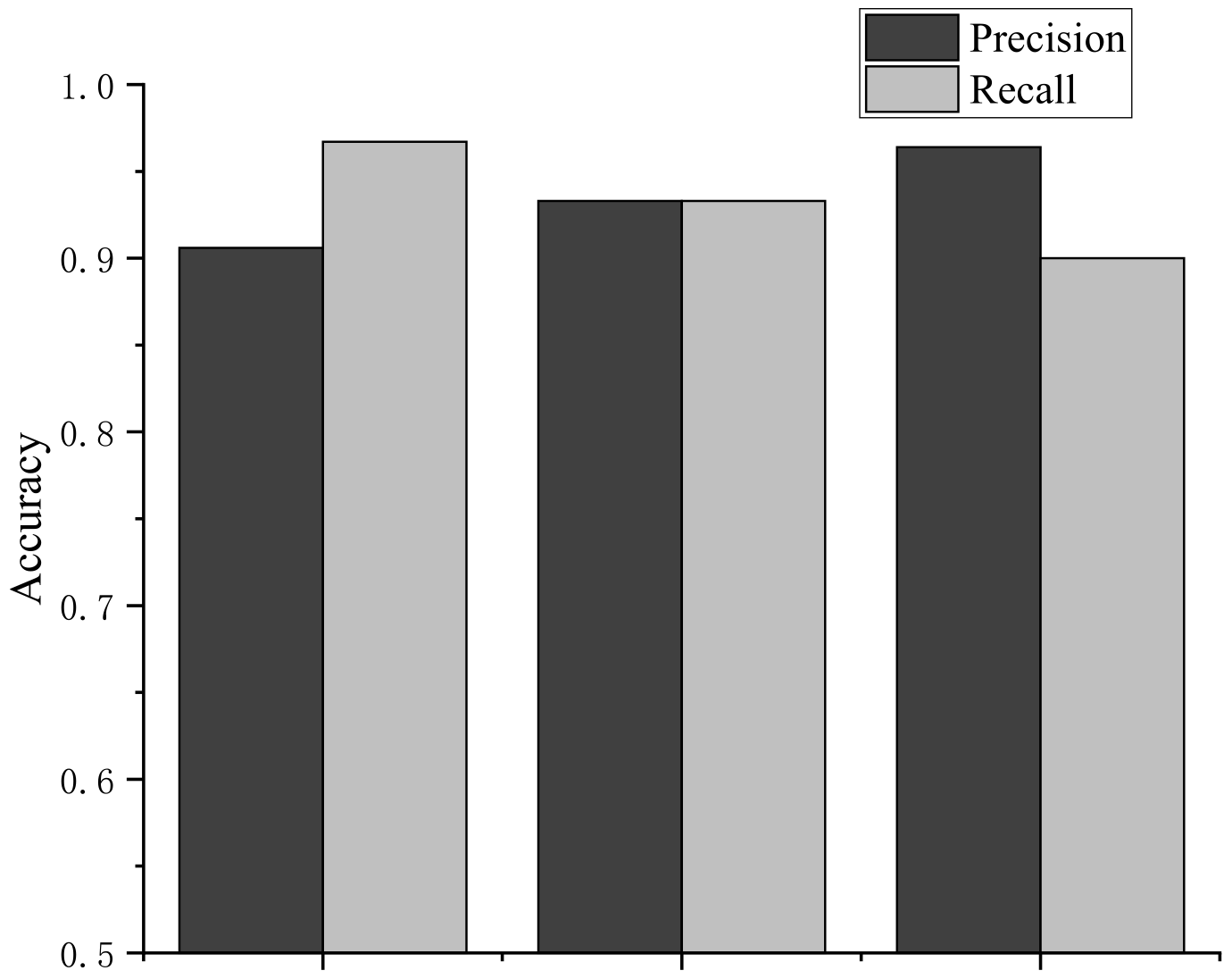
5.2.1. Qualitative Recognition of Defect Images
5.2.2. Quantitative Estimation of Crack Image
- (1)
- Pixel equivalent calibration
- (2)
- Crack image detection
6. Discussion and Conclusions
Author Contributions
Funding
Institutional Review Board Statement
Informed Consent Statement
Data Availability Statement
Conflicts of Interest
References
- Wang, G.F.; Ren, S.H.; Pang, Y.H.; Qu, S.J.; Zheng, D.Z. The development effect of the coal industry in the 13th Five-Year Plan and the implementation path of the goal of “double carbon”. Coal Sci. Technol. 2021, 49, 1–8. [Google Scholar]
- Balovtsev, S.V.; Skopintseva, O.V.; Kolikov, K.S. Aerological risk management in preparation for mining of coal mines. Sustain. Dev. Mt. Territ. 2022, 14, 107–116. [Google Scholar] [CrossRef]
- Bosikov, I.I.; Martyushev, N.V.; Klyuev, R.V.; Savchenko, I.A.; Kukartsev, V.V.; Kukartsev, V.A.; Tynchenko, Y.A. Modeling and Complex Analysis of the Topology Parameters of Ventilation Networks When Ensuring Fire Safety While Developing Coal and Gas Deposits. Fire 2023, 6, 95. [Google Scholar] [CrossRef]
- Wang, H.; Gui, H.Y. Analysis and treatment of shaft fracture mechanism in Hengyuan Coal Mine. J. Suzhou Univ. 2015, 30, 110–113. [Google Scholar]
- Zhao, Z.; Zhao, S.H.; Xu, J.Y. Research on intelligent inspection robot system for shaft safety. Coal Min. Mach. 2020, 41, 184–186. [Google Scholar]
- Cao, X.; Jin, Z.; Wang, C.; Dong, M. Kinematics simulation of environmental parameter monitor robot used in coalmine underground. In Proceedings of the 2016 13th International Conference on Ubiquitous Robots and Ambient Intelligence (URAI), Xi’an, China, 19–22 August 2016; Volume 6. [Google Scholar]
- Sun, G.; Li, P.; Meng, Y.; Xu, E.; Zhou, Y.; Liu, Y. A Climbing Robot for Inspection of Lamppost in the Airport: Design and Preliminary Experiments. In Proceedings of the 2017 IEEE International Conference on Robotics and Biomimetics, Macau, China, 5–8 December 2017; pp. 436–441. [Google Scholar]
- Ratanghayra, P.R.; Hayat, A.A.; Saha, S.K. Design and Analysis of Spring-Based Rope Climbing Robot. Machines, Mechanism and robotics, Lecture Notes in Mechanical Engineering; Springer: Singapore, 2018; pp. 453–462. [Google Scholar]
- Fang, G.; Zhang, G.; Zheng, G.; Yao, L. Development of Pneumatic Robot for Climbing Sluice Wire Rope. Chin. Hydraul. Pneum. 2021, 2, 170–176. [Google Scholar]
- Zhang, W.; Zheng, Z.; Fu, X.; Hazken, S.; Chen, H.; Zhao, M.; Ding, N. CCRobot-IV-F: A Ducted-Fan-Driven Flying-Type Bridge-Stay-Cable Climbing Robot. In Proceedings of the 2021 IEEE/RSJ International Conference on Intelligent Robots and Systems, Prague, Czech Republic, 27 September–1 October 2021; pp. 4184–4190. [Google Scholar]
- Wang, Z.; He, B.; Zhou, Y.; Liu, K.; Zhang, C. Design and Implementation of a Cable Inspection Robot for Cable-Stayed Bridges. Robotics 2021, 39, 1417–1433. [Google Scholar] [CrossRef]
- Nguyen, S.T.; La, H.M. A Climbing Robot for Steel Bridge Inspection. J. Intell. Robot. Syst. 2021, 102, 75. [Google Scholar] [CrossRef]
- Chen, F.C.; Jahanshahi, M.R. NB-CNN: Deep learning-based crack detection using convolutional neural network and naïve bayes data fusion. IEEE Trans. Ind. Electron. 2018, 65, 4392–4400. [Google Scholar] [CrossRef]
- Liu, X.; Gao, S.W.; He, Y. Bridge Crack Detection and Identification Based on Convolutional Neural Network Transfer Learning. Sci. Technol. Innov. Her. 2019, 16, 24–25. [Google Scholar]
- Landstrom, A.; Thurley, M.J. Morphology-based crack detection for steel slabs. IEEE J. Sel. Top. Signal Process. 2012, 6, 866–875. [Google Scholar] [CrossRef]
- Nishikawa, T.; Yoshida, J.; Sugiyama, T. Concrete crack detection by multiple sequential image filtering. Comput. -Aided Civ. Infrastruct. Eng. 2012, 27, 29–47. [Google Scholar] [CrossRef]
- Muduli, P.R.; Pati, U.C. A novel technique for wall crack detection using image fusion. In Proceedings of the 2013 International Conference on Computer Communication and Informatics, Coimbatore, India, 4–6 January 2013; pp. 1–6. [Google Scholar]
- Furuta, H.; Nomura, Y.; Inoue, M. Evaluation of Crack Propagation in Concrete Bridges from Vehicle-Mounted Camera Images Using Deep Learning and Image Processing. Front. Built Environ. 2022, 8, 972796. [Google Scholar]
- Yu, L.; He, S.; Liu, X.; Jiang, S.; Xiang, S. Intelligent Crack Detection and Quantification in the Concrete Bridge: A Deep Learning-Assisted Image Processing Approach. Adv. Civ. Eng. 2022, 2022, 1813821. [Google Scholar] [CrossRef]
- Cha, Y.J.; Choi, W.; Suh, G.; Mahmoudkhani, S.; Buyukozturk, O. Autonomous structural visual inspection using region-based deep learning for detecting multiple damage types. Comput. -Aided Civ. Infrastruct. Eng. 2018, 33, 731–747. [Google Scholar] [CrossRef]
- Deng, J.; Lu, Y.; Lee, V.C.-S. Concrete crack detection with handwriting script interferences using faster region-based convolutional neural network. Comput. -Aided Civ. Infrastruct. Eng. 2020, 35, 373–388. [Google Scholar] [CrossRef]
- Qu, Z.; Chen, W.; Wang, S.-Y.; Yi, T.-M.; Liu, L. A crack detection algorithm for concrete pavement based on attention mechanism and multi-features fusion. IEEE Trans. Intell. Transp. Syst. 2021, 2, 1383–1394. [Google Scholar] [CrossRef]
- Zhang, L.; Yang, F.; Zhang, Y.D.; Zhu, Y.J. Road crack detection using deep convolutional neural network. In Proceedings of the 2016 IEEE International Conference on Image Processing (ICIP), Phoenix, AZ, USA, 25–28 September 2016; pp. 3708–3712. [Google Scholar]
- Kolappan Geetha, G.; Yang, H.-J.; Sim, S.-H. Fast Detection of Missing Thin Propagating Cracks during Deep-Learning-Based Concrete Crack/Non-Crack Classification. Sensors 2023, 23, 1419. [Google Scholar] [CrossRef]
- Bae, H.; An, Y.-K. Computer vision-based statistical crack quantification for concrete structures. Measurement 2023, 211, 112632. [Google Scholar] [CrossRef]
- State Administration of Work Safety. Coal Mine Safety Regulations; Coal Industry Press: Beijing, China, 2016. [Google Scholar]
- Zhang, F.; Gu, G.Y.; Kuang, Z.H. Selection of guide wire rope and calculation of tension. Coal Min. Mach. 2011, 32, 36–37. [Google Scholar]
- GB 8918-2006; Steel Wire Rope for Important Use. People’s Republic of China State General Administration of Quality Supervision and Inspection: Beijing, China, 2006.
- Zhou, P.; Zhou, G.; Zhu, Z.; Tang, C.; He, Z.; Li, W.; Jiang, F. Health Monitoring for Balancing Tail Ropes of a Hoisting System Using a Convolutional Neural Network. Appl. Sci. 2018, 8, 1346. [Google Scholar] [CrossRef]
- Li, D. Research on Image Mosaic and Feature Extraction Based on SIFT. Master’s Thesis, University of Electronic Science and Technology of China, Chengdu, China, 2015. [Google Scholar]
- Mohan, A.; Poobal, S. Crack detection using image processing: A critical review and analysis. Alex. Eng. J. 2018, 57, 787–798. [Google Scholar] [CrossRef]
- Wang, Y.; Han, Z.Q.; Xu, H.Y. Efficient crack detection algorithm based on improved saliency map. Comput. Eng. Appl. 2021, 57, 219–224. [Google Scholar]


























| Illumination 6 lux, Humidity 55.6%, 1.5 m, Shooting Situation under Different Dust Conditions | Illumination 6 lux, Dust Concentration 10–15 mg/m3, Shooting Situation is 1.5 m under Different Humidity | |||
|---|---|---|---|---|
| Serial Number | Dust Loading (mg/m3) | Shooting Situation | Humidity/% | Shooting Situation |
| 1 | 0 | ![]() | 60 | ![]() |
| 2 | 30 | ![]() | 70 | ![]() |
| 3 | 50 | ![]() | 80 | ![]() |
| 4 | 90 | ![]() | 90 | ![]() |
| 5 | 130 | ![]() | 97.3 | ![]() |
| Wire Rope | Model | D/mm | q/(kg/100 m) | P (KN) | σB (Mpa) |
|---|---|---|---|---|---|
| Guide rope | 6 × 7 + IWS | 24 | 223 | 300 | 1570 |
| Name | Outside Diameter/m | Inner Diameter/m | Thickness/mm |
|---|---|---|---|
| Ring gear | 4.0 | 3.0 | 100 |
| Upper orbit | 4.1 | 2.8 | 50 |
| Lower orbit | 4.1 | 2.8 | 50 |
| Original Image | ![]() | ![]() | ![]() |
| Treatment result | ![]() | ![]() | ![]() |
| Width pixel distribution | ![]() | ![]() | ![]() |
| Maximum width detection value/mm | 7.35 (21 pixel) | 3.69 (9 pixel) | 2.99 (6.5 pixel) |
| Measured value of maximum width/mm | 7.82 | 3.41 | 3.21 |
| Accuracy | 94.0% | 92.4% | 93.1% |
| Treatment result | ![]() | ![]() | ![]() |
| Length detection value/mm | 243.88 (696.8 pixel) | 336.12 (819.8 pixel) | 426.37 (926.9 pixel) |
| Measured value of length/mm | 262.2 | 350.2 | 450.7 |
| Accuracy | 93.0% | 96.0% | 94.6% |
Disclaimer/Publisher’s Note: The statements, opinions and data contained in all publications are solely those of the individual author(s) and contributor(s) and not of MDPI and/or the editor(s). MDPI and/or the editor(s) disclaim responsibility for any injury to people or property resulting from any ideas, methods, instructions or products referred to in the content. |
© 2023 by the authors. Licensee MDPI, Basel, Switzerland. This article is an open access article distributed under the terms and conditions of the Creative Commons Attribution (CC BY) license (https://creativecommons.org/licenses/by/4.0/).
Share and Cite
Tang, C.; Gao, E.; Li, Y.; Li, M.; Bai, D.; Tang, H.; Zhou, G. Inspection Robot and Wall Surface Detection Method for Coal Mine Wind Shaft. Appl. Sci. 2023, 13, 5662. https://doi.org/10.3390/app13095662
Tang C, Gao E, Li Y, Li M, Bai D, Tang H, Zhou G. Inspection Robot and Wall Surface Detection Method for Coal Mine Wind Shaft. Applied Sciences. 2023; 13(9):5662. https://doi.org/10.3390/app13095662
Chicago/Turabian StyleTang, Chaoquan, Erfei Gao, Yingming Li, Menggang Li, Deen Bai, Hongwei Tang, and Gongbo Zhou. 2023. "Inspection Robot and Wall Surface Detection Method for Coal Mine Wind Shaft" Applied Sciences 13, no. 9: 5662. https://doi.org/10.3390/app13095662
APA StyleTang, C., Gao, E., Li, Y., Li, M., Bai, D., Tang, H., & Zhou, G. (2023). Inspection Robot and Wall Surface Detection Method for Coal Mine Wind Shaft. Applied Sciences, 13(9), 5662. https://doi.org/10.3390/app13095662























