Organic Medium Enclosed Trough Growing Technique Improves Abelmoschus esculentus (Okra) Growth, Yield and Some Nutritional Components
Abstract
1. Introduction
2. Materials and Methods
2.1. Growing Conditions, Treatments and Experimental Design
2.2. Plant Material, and Establishment of OMET Experimental Trial
2.3. Determination of Growth and Yield Components
2.4. Determination of Irrigation Water in Growth Medium
2.5. Determination of Amino Acids Contents
2.6. Determination of Elemental Nutrients
2.7. Determination of Protein
2.8. Statistical Analysis
3. Results and Discussion
3.1. Effect of OMET Growth Technique on Growth and Yield Components in Okra
3.2. Effects of OMET Technique on Irrigation Water Quantity
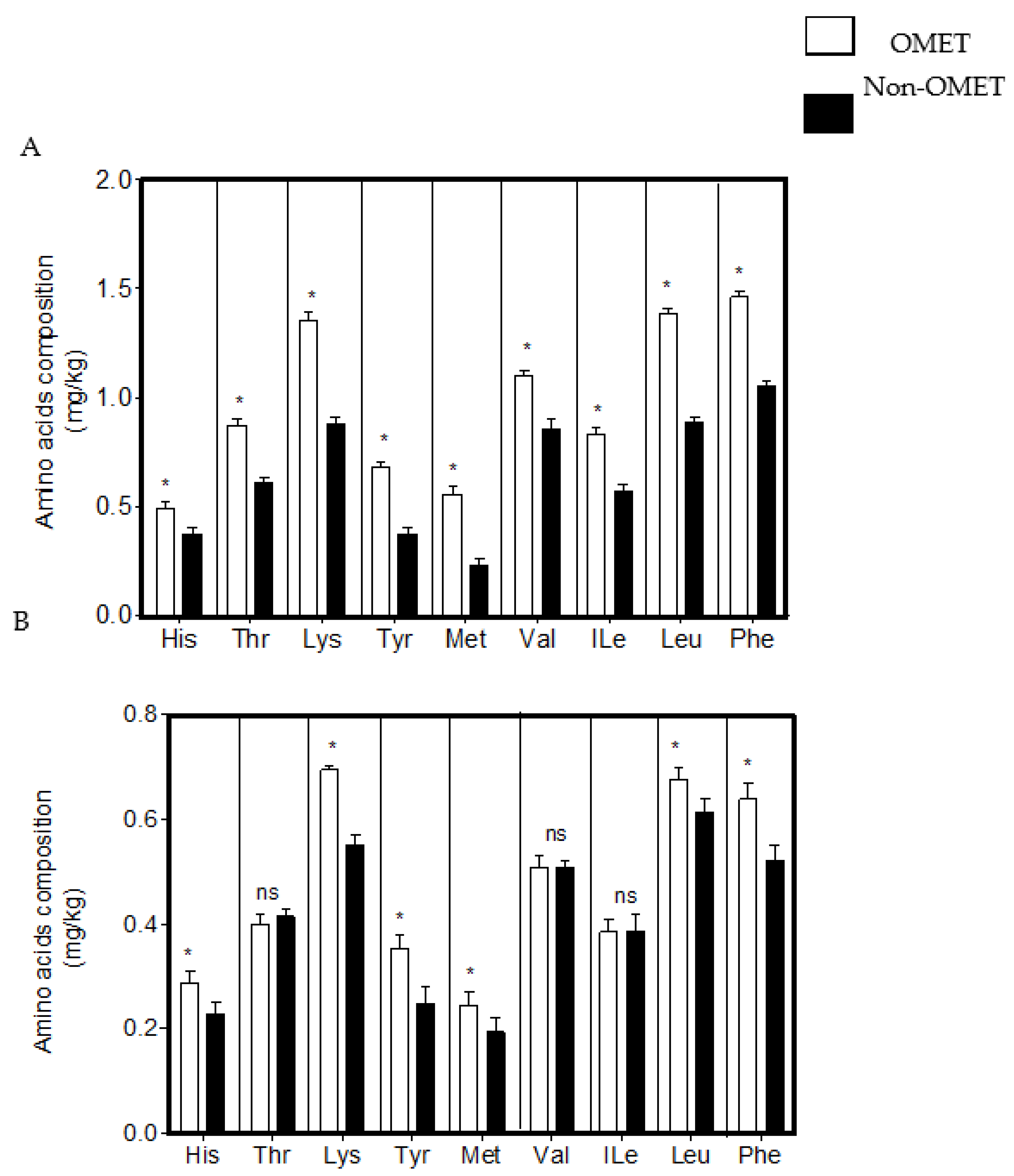
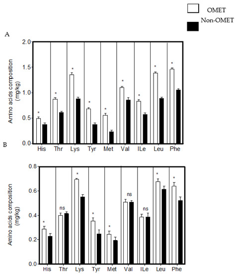
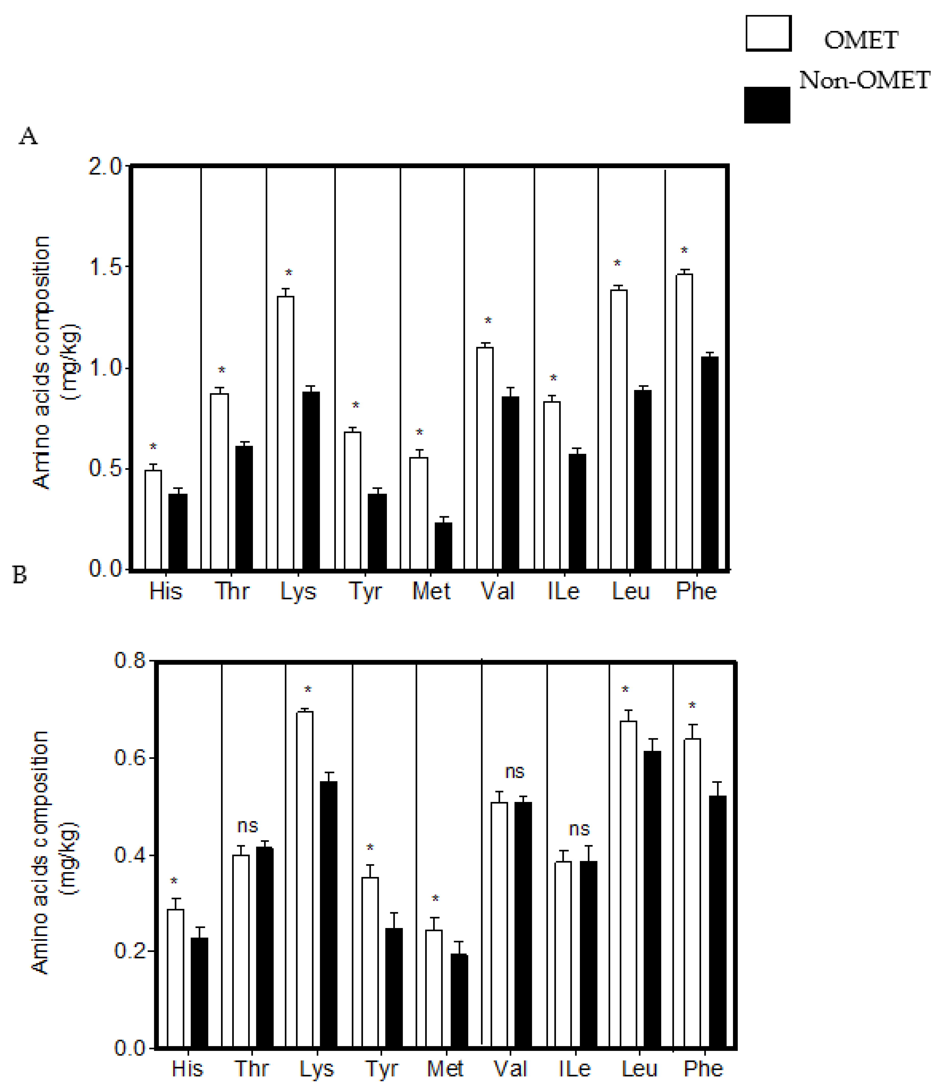
3.3. Effect of OMET Growing Technique on Amino Acid Composition of Okra Pods and Leaves
3.4. Effect of OMET Growing Technique on Elemental Nutrient Content in Okra Leaves and Pods
4. Conclusions
Author Contributions
Funding
Informed Consent Statement
Data Availability Statement
Acknowledgments
Conflicts of Interest
References
- Jia, Q.; Li, M.; Dou, X. Climate Change Affects Crop Production Potential in Semi-Arid Regions: A Case Study in Dingxi, Northwest China, in Recent 30 Years. Sustainability 2022, 14, 3578. [Google Scholar] [CrossRef]
- Ferreira, J. Is OMET Farming Better than Hydroponics? Farmer’s Weekly. 2013. Available online: https://www.farmersweekly.co.za (accessed on 15 April 2021).
- de Andrade Barbosa, M.; Ferreira, N.M.; Bertino AM, P.; de Mesquita, E.F.; Chaves LH, G.; Cavalcante, L.F.; Rigobelo, E.C. Effect of organic matter, irrigation and soil mulching on the nutritional status and productivity of okra (Abelmoschus esculentus L.) in the semiarid region of Brazil. Afr. J. Biotechnol. 2016, 15, 2720–2728. [Google Scholar]
- The World Bank. 2022. Available online: https://www.worldbank.org/en/topic/agriculture/brief/food-security-update (accessed on 17 October 2022).
- Wekeza, S.V.; Sibanda, M.; Nhundu, K. Prospects for Organic Farming in Coping with Climate Change and Enhancing Food Security in Southern Africa: A Systematic Literature Review. Sustainability 2022, 14, 13489. [Google Scholar] [CrossRef]
- Eruvbetine, D. Canine Nutrition and Health: A paper presented at the seminar organized by Kensington Pharmaceuticals Nig. Ltd. Lagos 2003, 21, 11–13. [Google Scholar]
- Drago, S.R. Minerals. In Nutraceutical and Functional Food Components; Academic Press: Cambridge, MA, USA, 2022; pp. 153–181. [Google Scholar]
- Heber, D.; Henning, S.M.; Li, Z. Energy Balance, Epigenetics, and Prostate Cancer. In Epigenetics, Energy Balance, and Cancer; Springer: Cham, Switzerland, 2016; pp. 235–250. [Google Scholar]
- Rosborg, I.; Kozisek, F. Drinking Water Minerals and Mineral Balance; Springer International Publisher: Cambridge, MA, USA, 2016. [Google Scholar]
- Khan, N.; Ali, S.; Zandi, P.; Mehmood, A.; Ullah, S.; Ikram, M.; Babar, M.A. Role of sugars, amino acids and organic acids in improving plant abiotic stress tolerance. Pak. J. Bot. 2020, 52, 355–363. [Google Scholar] [CrossRef]
- Sanchez, D.T.; Peconcillo, L.B., Jr.; De Vera, J.V. Effects of natural and Home-Made Bio-Inoculants on Containerized Okra Plants (Abelmoschus esculentus). J. Curr. Agric. Res. J. 2022, 1, 28–38. [Google Scholar] [CrossRef]
- Salameh, N.M. Genetic diversity of okra (Abelmoschus esculentus L.) landraces from different agro-ecological regions revealed by AFLP analysis. Am.-Eurasian J. Agric. Environ. Sci. 2014, 14, 155–160. [Google Scholar]
- Dhankhar, S.K.; Dhankar, B.S.; Yadava, R.K. Inheritance sf Resistance to Yellow Vein Mosaic Virus in an Interspecific Cross of Okra (Abelmoschus esculentus); Indian Council of Agricutural Research: New Delhi, India, 2005. [Google Scholar]
- Adekiya, A.O.; Agbede, T.M.; Aboyeji, C.M.; Dunsin, O. Response of okra (Abelmoschus esculentus (L.) Moench) and soil properties to different mulch materials in different cropping seasons. Sci. Hortic. 2017, 217, 209–216. [Google Scholar] [CrossRef]
- Fawibe, O.O.; Bankole, A.O.; Mustafa, A.A.; Ewajane, O.N. Agronomic Performance and Nutritional Content of Okra [Abelmoschus esculentus (L.) Moench] as influenced by Plastic-Film Mulch Under Elaeis guineensis (Jacq.) Canopy. Niger. Agric. J. 2022, 53, 212–222. [Google Scholar]
- Tiwari, K.N.; Mal, P.K.; Singh, R.M.; Chattopadhyay, A. Response of okra (Abelmoschus esculentus (L.) Moench.) to drip irrigation under mulch and non-mulch conditions. Agric. Water Manag. 1998, 38, 91–102. [Google Scholar] [CrossRef]
- Mpai, S.; Mokganya, L.M.; Raphoko, L.; Masoko, P.; Ndhlala, A.R. Untargeted metabolites and chemometric approach to elucidate the response of growth and yield attributes on different concentrations of an amino acid based biostimulant in two lettuce cultivars. Sci. Hortic. 2022, 306, 111478. [Google Scholar] [CrossRef]
- Mpai, S.; Du Preez, R.; Sultanbawa, Y.; Sivakumar, D. Phytochemicals and nutritional composition in accessions of Kei-apple (Dovyalis caffra): Southern African indigenous fruit. Food Chem. 2018, 253, 37–45. [Google Scholar] [CrossRef] [PubMed]
- Mafokoane, A.M.; Mphosi, M.S.; Shadung, K.G. Effect of time-based oven-drying on the essential mineral elements of cowpea (Vigna unguiculata) leaves. Res. Crops 2019, 20, 50–54. [Google Scholar]
- Kumar, V.; Rani, A.; Goyal, L.; Pratap, D.; Billore, S.D.; Chauhan, G.S. Evaluation of vegetable-type soybean for sucrose, taste-related amino acids, and isoflavones contents. Int. J. Food Prop. 2011, 14, 1142–1151. [Google Scholar] [CrossRef]
- Gerrano, A.S. Agronomic performance, nutritional phenotyping and trait associations of Okra (Abelmoschus esculentus) Genotypes in South Africa. In Rediscovery of Landraces as a Resource for the Future; Intechopen: London, UK, 2018; Volume 69, pp. 456–457. [Google Scholar]
- Eshiet, A.J.; Brisibe, E.A. Morphological Characterization and Yield Traits Analysis in Some Selected Varieties of Okra (Abelmoschus esculentus L. Moench). Adv. Crop Sci. Technol. 2015, 3, 197. [Google Scholar] [CrossRef]
- Reddy, V.R.; Jabeen, F.; Sudarshan, M.R.; Rao, A.S. Studies on genetic variability, heritability, correlation and path analysis in maize (Zea mays L.) over locations. Int. J. Appl. Biol. Pharm. Technol. 2012, 4, 196–199. [Google Scholar]
- Ferreira, N.M.; de Mesquita, E.F.; Sa FV, D.S.; Bertino, A.M.; de Paiva, E.P.; Farias, S.A. Growth and production of castor bean BRS Paraguacu under irrigation, soil mulching and organic fertilization/Crescimento e producao da mamoneira BRS Paraguacu sob irrigacao, cobertura do solo e adubacao organica. Rev. Bras. Eng. Agrícola Ambient. 2015, 19, 857–865. [Google Scholar] [CrossRef]
- Hasegawa, P.M.; Bressan, R.A.; Zhu, J.K.; Bohnert, H.J. Plant cellular and molecular responses to high salinity. Annu. Rev. Plant 2000, 51, 463–499. [Google Scholar] [CrossRef]
- dos Santos Farias, D.B.; da Silva PS, O.; Lucas AA, T.; de Freitas, M.I.; de Jesus Santos, T.; Fontes PT, N.; de Oliveira Júnior LF, G. Physiological and productive parameters of the okra under irrigation levels. Sci. Hortic. 2019, 252, 1–6. [Google Scholar] [CrossRef]
- Shi, D.; Wang, J.; Bai, Y.; Liu, Y. Transcriptome sequencing of okra (Abelmoschus esculentus L. Moench) uncovers differently expressed genes responding to drought stress. J. Plant Biochem. Biotechnol. 2020, 29, 155–170. [Google Scholar] [CrossRef]
- Kumar, S.; Reddy, M.T. Heterotic potential of single cross hybrids in okra Abelmoschus esculentus L. Moench). J. Glob. Agric. Ecol. 2016, 4, 45–66. [Google Scholar]
- Jha, R.K.; Neupane, R.B.; Khatiwada, A.; Pandit, S.; Dahal, B.R. Effect of different spacing and mulching on growth and yield of Okra (Abelmoschus esculentus L.) in Chitwan, Nepal. J. Agric. Nat. Resour. 2018, 1, 168–178. [Google Scholar] [CrossRef]
- Sami, R.; Lianzhou, J.; Yang, L.; Ma, Y.; Jing, J. Evaluation of fatty acid and amino acid compositions in okra (Abelmoschus esculentus) grown in different geographical locations. BioMed Res. Int. 2013, 5, 211–213. [Google Scholar] [CrossRef] [PubMed]
- Carrera, C.S.; Reynoso, C.M.; Funes, G.J.; Martínez, M.J.; Dardanelli, J.; Resnik, S.L. Amino acid composition of soybean seeds as affected by climatic variables. Pesqui. Agropecuária Bras. 2011, 46, 1579–1587. [Google Scholar] [CrossRef]
- Viana, V.E.; Aranha, B.C.; Busanello, C.; Maltzahn, L.E.; Panozzo, L.E.; de Oliveira, A.C.; Rombaldi, C.V.; Pegoraro, C. Metabolic profile of canola (Brassica napus L.) seedlings under hydric, osmotic and temperature stresses. Plant Stress 2022, 3, 100059. [Google Scholar] [CrossRef]
- El-Kereamy, A.; Bi, Y.M.; Ranathunge, K.; Beatty, P.H.; Good, A.G.; Rothstein, S.J. The rice R2R3-MYB transcription factor OsMYB55 is involved in the tolerance to high temperature and modulates amino acid metabolism. PLoS ONE 2012, 7, e52030. [Google Scholar] [CrossRef] [PubMed]
- Maseko, I.; Ncube, B.; Mabhaudhi, T.; Tesfay, S.; Chimonyo VG, P.; Araya, H.T.; Du Plooy, C.P. Nutritional quality of selected African leafy vegetables cultivated under varying water regimes and different harvests. S. Afr. J. Bot. 2019, 126, 78–84. [Google Scholar] [CrossRef]
- Appel, L.J.; Brands, M.W.; Daniels, S.R.; Karanja, N.; Elmer, P.J.; Sacks, F.M. Dietary approaches to prevent and treat hypertension: A scientific statement from the American Heart Association. Hypertension 2006, 47, 296–308. [Google Scholar] [CrossRef]
- Kanda, E.K.; Senzanje, A.; Mabhaudhi, T.; Mubanga, S.C. Nutritional yield and nutritional water productivity of cowpea (Vigna unguiculata L. Walp) under varying irrigation water regimes. Water SA 2020, 46, 410–418. [Google Scholar]
- Sehgal, A.; Sita, K.; Siddique, K.H.; Kumar, R.; Bhogireddy, S.; Varshney, R.K.; Nayyar, H. Drought or/and heat-stress effects on seed filling in food crops: Impacts on functional biochemistry, seed yields, and nutritional quality. Front. Plant Sci. 2018, 9, 1705. [Google Scholar] [CrossRef]
- National Academy of Medicine. 2016. Available online: https://nam.edu/event/nam-annual-meeting-2016-scientific-program/ (accessed on 31 January 2023).







| Number of Branches | Number of Pods per Plant | Fresh Pod Weight (g) | Pod Length (mm) | Pod Diameter (mm) | |
|---|---|---|---|---|---|
| OMET | 8.00 ± 0.24 ** | 16.00 ± 0.40 ** | 43.64 ± 2.02 * | 172.43 ± 6.2 ** | 27.26 ± 0.8 ns |
| Non-OMET | 4.00 ± 0.18 | 8.00 ± 0.29 | 20.30 ± 0.87 | 130.18 ± 2.8 | 28.65 ± 0.8 ns |
| F-Statistics | 1.231 ** | 0.193 ** | 2.078 * | 4.569 ** | 1.886 ns |
| Parameter | Samples | OMET | Non-OMET |
|---|---|---|---|
| Proteins (%) | Leaves | 3.1 ± 0.22 * | 2.70 ± 0.72 |
| Pods | 2.4 ± 0.40 * | 2.01 ± 0.31 | |
| Elemental nutrients (mg/kg) | |||
| Ca | Leaves | 237.0 ± 9.91 * | 129.0 ± 5.63 |
| Pods | 55.6 ± 3.44 ns | 49.0 ±3.11 | |
| Mg | Leaves | 163.0 ± 7.66 * | 110.0 ± 4.92 |
| Pods | 40.3 ± 2.87 * | 36.6 ± 1.63 | |
| K | Leaves | 110.0 ± 6.23 * | 53.1 ± 4.47 |
| Pods | 170.0 ± 8.11 * | 156.0 ± 6.80 | |
| Fe | Leaves | 3.8 ± 0.80 * | 6.1 ± 1.31 |
| Pods | 1.5 ± 0.34 ns | 1.6 ± 0.33 | |
| Mn | Leaves | 2.4 ± 0.41 ns | 1.9 ± 0.11 |
| Pods | 1.0 ± 0.22 ns | 1.0 ± 0.22 | |
| Na | Leaves | 6.8 ± 1.70 * | 3.7 ± 0.38 |
| Pods | 6.2 ± 2.82 ns | 5.5 ± 1.19 | |
| P | Leaves | 6.6 ± 1.21 * | 5.9 ± 0.92 |
| Pods | 4.8 ± 1.63 ns | 4.8 ± 1.64 | |
| Se | Leaves | 12.8 ± 2.73 ns | 11.8 ± 2.11 |
| Pods | 12.3 ± 4.13 ns | 12.2 ± 3.93 | |
| Zn | Leaves | 6.9 ± 1.32 ns | 6.7 ± 1.17 |
| Pods | 2.9 ± 0.70 ns | 2.6 ± 0.52 | |
Disclaimer/Publisher’s Note: The statements, opinions and data contained in all publications are solely those of the individual author(s) and contributor(s) and not of MDPI and/or the editor(s). MDPI and/or the editor(s) disclaim responsibility for any injury to people or property resulting from any ideas, methods, instructions or products referred to in the content. |
© 2023 by the authors. Licensee MDPI, Basel, Switzerland. This article is an open access article distributed under the terms and conditions of the Creative Commons Attribution (CC BY) license (https://creativecommons.org/licenses/by/4.0/).
Share and Cite
Mokgalabone, T.T.; Mpai, S.; Ndhlala, A.R. Organic Medium Enclosed Trough Growing Technique Improves Abelmoschus esculentus (Okra) Growth, Yield and Some Nutritional Components. Appl. Sci. 2023, 13, 5645. https://doi.org/10.3390/app13095645
Mokgalabone TT, Mpai S, Ndhlala AR. Organic Medium Enclosed Trough Growing Technique Improves Abelmoschus esculentus (Okra) Growth, Yield and Some Nutritional Components. Applied Sciences. 2023; 13(9):5645. https://doi.org/10.3390/app13095645
Chicago/Turabian StyleMokgalabone, Tyson T., Semakaleng Mpai, and Ashwell R. Ndhlala. 2023. "Organic Medium Enclosed Trough Growing Technique Improves Abelmoschus esculentus (Okra) Growth, Yield and Some Nutritional Components" Applied Sciences 13, no. 9: 5645. https://doi.org/10.3390/app13095645
APA StyleMokgalabone, T. T., Mpai, S., & Ndhlala, A. R. (2023). Organic Medium Enclosed Trough Growing Technique Improves Abelmoschus esculentus (Okra) Growth, Yield and Some Nutritional Components. Applied Sciences, 13(9), 5645. https://doi.org/10.3390/app13095645

