Influence of Gender Composition in Pedestrian Single-File Experiments
Abstract
1. Introduction
- The speed–density relation depends on the gender composition of the group of test persons.
- At high densities, the distance between individuals depends on the gender of the neighboring pedestrians.
- The inclusion of additional human factors that were not previously included, such as the weight, exact height, and the gender of the previous pedestrian, improves the multiple linear regression model developed in [40].
2. Materials and Methods
2.1. Experimental Setup
2.2. Measurement Methods
2.3. Data Processing
2.4. Experiments in Comparison
3. Results And Analysis
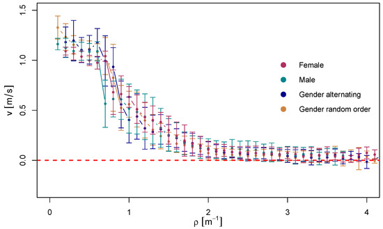
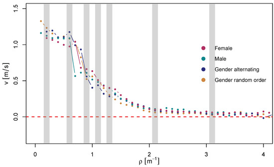
3.1. Comparison of Group Compositions for the Experiments Performed in Germany
3.2. Comparison with the Experiments Performed in Palestine
3.3. Gender Differences in Distances of Neighboring Pedestrians
3.4. Human Factors in Fundamental Diagrams
4. Conclusions
Author Contributions
Funding
Institutional Review Board Statement
Informed Consent Statement
Data Availability Statement
Acknowledgments
Conflicts of Interest
References
- Ye, R.; Zeng, Y.; Zeng, G.; Huang, Z.; Li, X.; Fang, Z.; Song, W. Pedestrian single-file movement on stairs under different motivations. Phys. A Stat. Mech. Its Appl. 2021, 571, 125849. [Google Scholar] [CrossRef]
- Burghardt, S.; Seyfried, A.; Klingsch, W. Performance of stairs—Fundamental diagram and topographical measurements. Transp. Res. Part C Emerg. Technol. 2013, 37, 268–278. [Google Scholar] [CrossRef]
- Cao, S.; Zhang, J.; Salden, D.; Ma, J.; Shi, C.; Zhang, R. Pedestrian dynamics in single-file movement of crowd with different age compositions. Phys. Rev. 2016, 94, 012312. [Google Scholar] [CrossRef] [PubMed]
- Chattaraj, U.; Seyfried, A.; Chakroborty, P. Comparison of pedestrian fundamental diagram across cultures. Adv. Complex Syst. 2009, 12, 393–405. [Google Scholar] [CrossRef]
- Zhang, J.; Tordeux, A.; Seyfried, A. Effects of Boundary Conditions on Single-File Pedestrian Flow. In Cellular Automata; Wąs, J., Sirakoulis, G.C., Bandini, S., Eds.; Springer International Publishing: Berlin/Heidelberg, Germany, 2014; Volume 8751, pp. 462–469. [Google Scholar] [CrossRef]
- Cao, S.; Lian, L.; Chen, M.; Yao, M.; Song, W.; Fang, Z. Investigation of difference of fundamental diagrams in pedestrian flow. Phys. A Stat. Mech. Its Appl. 2018, 506, 661–670. [Google Scholar] [CrossRef]
- Feliciani, C.; Nishinari, K. Empirical analysis of the lane formation process in bidirectional pedestrian flow. Phys. Rev. 2016, 94, 032304. [Google Scholar] [CrossRef]
- Hu, Y.; Zhang, J.; Song, W.; Bode, N.W. Social groups barely change the speed-density relationship in unidirectional pedestrian flow, but affect operational behaviours. Saf. Sci. 2021, 139, 105259. [Google Scholar] [CrossRef]
- Ren, X.; Zhang, J.; Song, W.; Cao, S. The fundamental diagrams of elderly pedestrian flow in straight corridors under different densities. J. Stat. Mech. Theory Exp. 2019, 2019, 023403. [Google Scholar] [CrossRef]
- Jin, C.J.; Jiang, R.; Wong, S.; Xie, S.; Li, D.; Guo, N.; Wang, W. Observational characteristics of pedestrian flows under high-density conditions based on controlled experiments. Transp. Res. Part Emerg. Technol. 2019, 109, 137–154. [Google Scholar] [CrossRef]
- Cao, S.; Seyfried, A.; Zhang, J.; Holl, S.; Song, W. Fundamental diagrams for multidirectional pedestrian flows. J. Stat. Mech. Theory Exp. 2017, 2017, 033404. [Google Scholar] [CrossRef]
- Holl, S. Methoden für die Bemessung der Leistungsfähigkeit Multidirektional Genutzter Fußverkehrsanlagen; Forschungszentrum Jülich GmbH Zentralbibliothek, Verlag: Jülich, Germany, 2016; Available online: https://juser.fz-juelich.de/record/825757 (accessed on 18 December 2022).
- Predtechenskiĭ, V.M.; Milinskii, A.I. Planning for Foot Traffic Flow in Buildings; Amerind: New Delhi, India, 1978. [Google Scholar]
- Weidmann, U. Transporttechnik der Fussgänger: Transporttechnische Eigenschaften des Fussgängerverkehrs, Literaturauswertung; Institut für Verkehrsplanung, Transporttechnik, Strassen- und Eisenbahnbau (IVT), ETH Zürich: Zürich, Switzerland, 1993. [Google Scholar] [CrossRef]
- Vanumu, L.D.; Ramachandra Rao, K.; Tiwari, G. Fundamental diagrams of pedestrian flow characteristics: A review. Eur. Transp. Res. Rev. 2017, 9, 49. [Google Scholar] [CrossRef]
- Fruin, J.J. Pedestrian Planning and Design. 1971. Available online: https://trid.trb.org/view/114653 (accessed on 18 December 2022).
- Zhang, J. Pedestrian Fundamental Diagrams: Comparative Analysis of Experiments in Different Geometries; Forschungszentrum Jülich GmbH Zentralbibliothek, Verlag: Jülich, Germany, 2012; Available online: https://juser.fz-juelich.de/record/128157 (accessed on 18 December 2022).
- Ziemer, V. Mikroskopische Fundamentaldiagramme der Fußgängerdynamik empirische Untersuchung von Experimenten eindimensionaler Bewegung sowie quantitative Beschreibung von Stau-Charakteristika; Forschungszentrum Jülich GmbH Zentralbibliothek, Verlag: Jülich, Germany, 2020; Available online: https://juser.fz-juelich.de/record/877610 (accessed on 18 December 2022).
- Ren, X.; Zhang, J.; Song, W. Contrastive study on the single-file pedestrian movement of the elderly and other age groups. J. Stat. Mech. Theory Exp. 2019, 2019, 093402. [Google Scholar] [CrossRef]
- Subaih, R.; Maree, M.; Chraibi, M.; Awad, S.; Zanoon, T. Experimental Investigation on the Alleged Gender-Differences in Pedestrian Dynamics: A Study Reveals No Gender Differences in Pedestrian Movement Behavior. IEEE Access 2020, 8, 33748–33757. [Google Scholar] [CrossRef]
- Subaih, R.; Maree, M.; Tordeux, A.; Chraibi, M. Questioning the Anisotropy of Pedestrian Dynamics: An Empirical Analysis with Artificial Neural Networks. Appl. Sci. 2022, 12, 7563. [Google Scholar] [CrossRef]
- Seyfried, A.; Portz, A.; Schadschneider, A. Phase Coexistence in Congested States of Pedestrian Dynamics. In Cellular Automata; Bandini, S., Manzoni, S., Umeo, H., Vizzari, G., Eds.; Springer: Berlin, Heidelberg, 2010; Volume 6350, pp. 496–505. [Google Scholar] [CrossRef]
- Zhang, J.; Mehner, W.; Holl, S.; Boltes, M.; Andresen, E.; Schadschneider, A.; Seyfried, A. Universal flow-density relation of single-file bicycle, pedestrian and car motion. Phys. Lett. A 2014, 378, 3274–3277. [Google Scholar] [CrossRef]
- Migon Favaretto, R.; Rosa dos Santos, R.; Raupp Musse, S.; Vilanova, F.; Brandelli Costa, A. Investigating cultural aspects in the fundamental diagram using convolutional neural networks and virtual agent simulation. Comput. Animat. Virtual Worlds 2019, 30, e1899. [Google Scholar] [CrossRef]
- Subaih, R.; Maree, M.; Chraibi, M.; Awad, S.; Zanoon, T. Gender-Based Insights into the Fundamental Diagram of Pedestrian Dynamics. In Computational Collective Intelligence; Nguyen, N.T., Chbeir, R., Exposito, E., Aniorté, P., Trawiński, B., Eds.; Springer International Publishing: Berlin/Heidelberg, Germany, 2019; Volume 11683, pp. 613–624. [Google Scholar] [CrossRef]
- Dias, C.; Abdullah, M.; Ahmed, D.; Subaih, R. Pedestrians’ Microscopic Walking Dynamics in Single-File Movement: The Influence of Gender. Appl. Sci. 2022, 12, 9714. [Google Scholar] [CrossRef]
- Cao, S.; Wang, P.; Yao, M.; Song, W. Dynamic analysis of pedestrian movement in single-file experiment under limited visibility. Commun. Nonlinear Sci. Numer. Simul. 2019, 69, 329–342. [Google Scholar] [CrossRef]
- Ma, J.; Shi, D.; Li, T.; Li, X.; Xu, T.; Lin, P. Experimental study of single-file pedestrian movement with height constraints. J. Stat. Mech. Theory Exp. 2020, 2020, 073409. [Google Scholar] [CrossRef]
- Kim, Y.J.; Lee, C.; Kim, J.H. Sidewalk Landscape Structure and Thermal Conditions for Child and Adult Pedestrians. International Journal of Environmental Research and Public Health 2018, 15, 148. [Google Scholar] [CrossRef]
- Hosseini, M.; Araujo, I.B.; Yazdanpanah, H.; Tokuda, E.K.; Miranda, F.; Silva, C.T.; Cesar, R.M., Jr. Sidewalk Measurements from Satellite Images: Preliminary Findings. arXiv 2021, arXiv:2112.06120. [Google Scholar]
- Zeng, G.; Schadschneider, A.; Zhang, J.; Wei, S.; Song, W.; Ba, R. Experimental study on the effect of background music on pedestrian movement at high density. Phys. Lett. A 2019, 383, 1011–1018. [Google Scholar] [CrossRef]
- Yanagisawa, D.; Tomoeda, A.; Nishinari, K. Improvement of pedestrian flow by slow rhythm. Phys. Rev. E 2012, 85, 016111. [Google Scholar] [CrossRef]
- Cao, S.; Zhang, J.; Song, W.; Shi, C.; Zhang, R. The stepping behavior analysis of pedestrians from different age groups via a single-file experiment. J. Stat. Mech. Theory Exp. 2018, 2018, 033402. [Google Scholar] [CrossRef]
- Zeng, G.; Cao, S.; Liu, C.; Song, W. Experimental and modeling study on relation of pedestrian step length and frequency under different headways. Phys. A Stat. Mech. Its Appl. 2018, 500, 237–248. [Google Scholar] [CrossRef]
- Wang, J.; Boltes, M.; Seyfried, A.; Zhang, J.; Ziemer, V.; Weng, W. Linking pedestrian flow characteristics with stepping locomotion. Phys. A Stat. Mech. Its Appl. 2018, 500, 106–120. [Google Scholar] [CrossRef]
- Ma, Y.; Sun, Y.Y.; Lee, E.W.M.; Yuen, R.K.K. Pedestrian stepping dynamics in single-file movement. Phys. Rev. E 2018, 98, 062311. [Google Scholar] [CrossRef]
- Song, W.; Lv, W.; Fang, Z. Experiment and Modeling of Microscopic Movement Characteristic of Pedestrians. Procedia Eng. 2013, 62, 56–70. [Google Scholar] [CrossRef]
- Wang, J.; Weng, W.; Boltes, M.; Zhang, J.; Tordeux, A.; Ziemer, V. Step styles of pedestrians at different densities. J. Stat. Mech. Theory Exp. 2018, 2018, 023406. [Google Scholar] [CrossRef]
- Fujita, A.; Feliciani, C.; Yanagisawa, D.; Nishinari, K. Traffic flow in a crowd of pedestrians walking at different speeds. Phys. Rev. E 2019, 99, 062307. [Google Scholar] [CrossRef]
- Paetzke, S.; Boltes, M.; Seyfried, A. Influence of individual factors on fundamental diagrams of pedestrians. Phys. A Stat. Mech. Its Appl. 2022, 595, 127077. [Google Scholar] [CrossRef]
- Boomers, A.K.; Boltes, M.; Adrian, J.; Beermann, M.; Chraibi, M.; Feldmann, S.; Fiedrich, F.; Frings, N.; Graf, A.; Kandler, A.; et al. Pedestrian Crowd Management Experiments: A Data Guidance Paper. Collect. Dyn. 2023, submitted.
- Ziemer, V.; Seyfried, A.; Schadschneider, A. Congestion Dynamics in Pedestrian Single-File Motion. In Proceedings of the Traffic and Granular Flow ’15; Knoop, V.L., Daamen, W., Eds.; Springer: Berlin/Heidelberg, Germany, 2016; pp. 89–96. [Google Scholar] [CrossRef]
- Boltes, M.; Seyfried, A.; Steffen, B.; Schadschneider, A. Automatic Extraction of Pedestrian Trajectories from Video Recordings. In Proceedings of the Pedestrian and Evacuation Dynamics 2008; Klingsch, W.W.F., Rogsch, C., Schadschneider, A., Schreckenberg, M., Eds.; Springer: Berlin/Heidelberg, Germany, 2010; pp. 43–54. [Google Scholar] [CrossRef]
- Boltes, M.; Seyfried, A. Collecting pedestrian trajectories. Neurocomputing 2013, 100, 127–133. [Google Scholar] [CrossRef]
- Liao, W.; Tordeux, A.; Seyfried, A.; Chraibi, M.; Zheng, X.; Zhao, Y. Detection of Steady State in Pedestrian Experiments. In Proceedings of the Traffic and Granular Flow ’15; Knoop, V.L., Daamen, W., Eds.; Springer: Berlin/Heidelberg, Germany, 2016; pp. 73–79. [Google Scholar] [CrossRef]
- Forschungszentrum Jülich. Influence of Gender in Single-File Movement. Available online: http://ped.fz-juelich.de/da/2018singleFile (accessed on 18 December 2022).
- Forschungszentrum Jülich. Oval Experiment: Single File Motion. Pedestr. Dyn. Data Arch. 2022. [Google Scholar] [CrossRef]








| N = 4 | N = 8 | N = 16 | N = 20 | N = 24 | N = 32 | N = 36 | N = 40 | ||
|---|---|---|---|---|---|---|---|---|---|
| Female | e.g., f, f, f, etc. | 1 | 1 | 1 | 2 | 1 | 1 | 1 | 1 |
| Male | e.g., m, m, m, etc. | 1 | 2 | 1 | 2 | 1 | 1 | 1 | 1 |
| Gender alternating | e.g., f, m, f, m, etc. | 10 | 5 | 3 | 2 | 2 | 1 | 1 | 1 |
| Gender random order | e.g., f, f, m, f, etc. | 10 | 5 | 3 | 2 | 2 | 1 | 1 | 1 |
| Female | Male | Gender Alternating | Gender Random Order | |
|---|---|---|---|---|
| in years | ||||
| in m | ||||
| in kg | ||||
| in m |
| Female, Germany | |||||||
| Male, Germany | |||||||
| Gender alternating, Germany | |||||||
| Gender random order, Germany | |||||||
| Female, Palestine | |||||||
| Male, Palestine | |||||||
| Gender alternating, Palestine |
| Female | Male | Gender Alternating | Gender Random Order | |
|---|---|---|---|---|
Disclaimer/Publisher’s Note: The statements, opinions and data contained in all publications are solely those of the individual author(s) and contributor(s) and not of MDPI and/or the editor(s). MDPI and/or the editor(s) disclaim responsibility for any injury to people or property resulting from any ideas, methods, instructions or products referred to in the content. |
© 2023 by the authors. Licensee MDPI, Basel, Switzerland. This article is an open access article distributed under the terms and conditions of the Creative Commons Attribution (CC BY) license (https://creativecommons.org/licenses/by/4.0/).
Share and Cite
Paetzke, S.; Boltes, M.; Seyfried, A. Influence of Gender Composition in Pedestrian Single-File Experiments. Appl. Sci. 2023, 13, 5450. https://doi.org/10.3390/app13095450
Paetzke S, Boltes M, Seyfried A. Influence of Gender Composition in Pedestrian Single-File Experiments. Applied Sciences. 2023; 13(9):5450. https://doi.org/10.3390/app13095450
Chicago/Turabian StylePaetzke, Sarah, Maik Boltes, and Armin Seyfried. 2023. "Influence of Gender Composition in Pedestrian Single-File Experiments" Applied Sciences 13, no. 9: 5450. https://doi.org/10.3390/app13095450
APA StylePaetzke, S., Boltes, M., & Seyfried, A. (2023). Influence of Gender Composition in Pedestrian Single-File Experiments. Applied Sciences, 13(9), 5450. https://doi.org/10.3390/app13095450

