Headspace Solid-Phase Microextraction: A Useful and Quick Tool for the Traceability and Quality Assessment of Wine Cork Stoppers
Abstract
1. Introduction
2. Materials and Methods
2.1. Samples
2.2. Headspace Solid-Phase Microextraction (HS-SPME)
2.3. GC-MS Analysis
2.4. Statistical Analysis
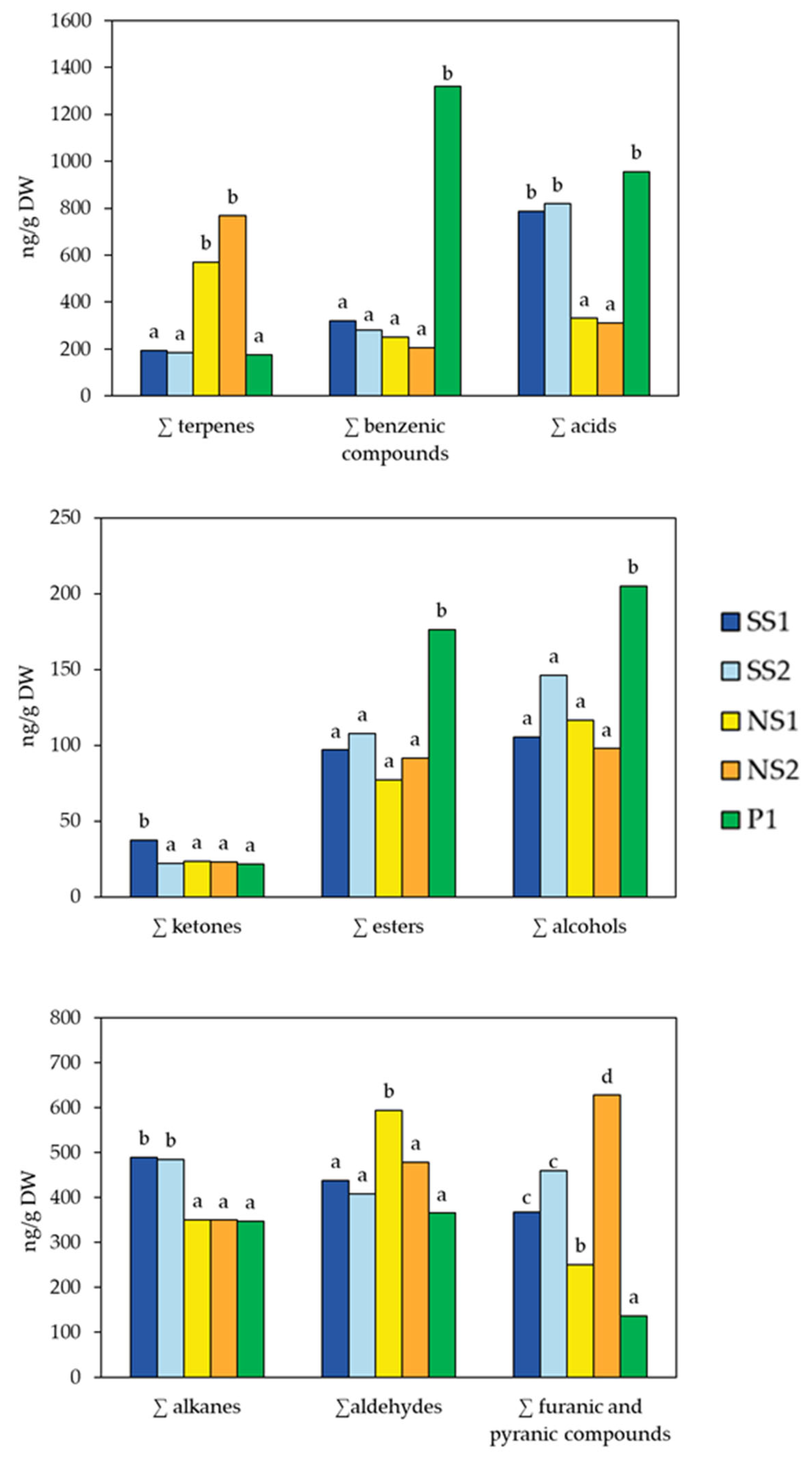
3. Results and Discussion
4. Conclusions
Author Contributions
Funding
Institutional Review Board Statement
Informed Consent Statement
Data Availability Statement
Acknowledgments
Conflicts of Interest
References
- Pereira, H. The Chemical Composition of Cork. Cork: Biology, Production and Uses, 1st ed.; Elsevier: Amsterdam, The Netherlands, 2007; pp. 55–99. [Google Scholar]
- Varea, S.; García-Vallejo, M.C.; Cadahía, E.; Fernández de Simón, B. Polyphenols susceptible to migrate from cork stoppers to wine. Eur. Food Res. Technol. 2001, 213, 56–61. [Google Scholar]
- Azevedo, J.; Fernandes, I.; Lopes, P.; Roseira, I.; Cabral, M.; Mateus, N.; de Freitas, V. Migrations of phenolic compounds from different cork stoppers to wine model solutions: Antioxidant and biological relevance. Eur. Food Res. Technol. 2014, 239, 951–960. [Google Scholar] [CrossRef]
- Gabrielli, M.; Fracassetti, D.; Tirelli, A. Release of phenolic compounds form cork stoppers and its effect on protein-haze. Food Control 2016, 62, 330–336. [Google Scholar] [CrossRef]
- Slabizki, P.; Legrum, C.; Wegmann-Herr, P.; Fischer, C.; Schmarr, H.G. Quantification of cork off-flavor compounds in natural cork stoppers and wine by multidimensional gas chromatography mass spectrometry. Eur. Food Res. Technol. 2016, 242, 977–986. [Google Scholar] [CrossRef]
- Simpson, R.F.; Sefton, M.A. Origin and fate of 2,4,6-trichloroanisole in cork bark and wine corks. Aust. J. Grape Wine Res. 2007, 13, 106–116. [Google Scholar] [CrossRef]
- Chatonnet, P.; Fleury, A.; Boutou, S. Origin and incidence of 2-methoxy-3,5-dimethylpyrazine, a compound with a “fungal” and “corky” aroma found in cork stoppers and oak chips in contact with wines. J. Agric. Food Chem. 2010, 58, 12481–12490. [Google Scholar] [CrossRef]
- Alañón, M.E.; Alarcón, M.; Díaz-Maroto, I.J.; Pérez-Coello, M.S.; Díaz-Maroto, M.C. Corky off-flavor compounds in cork planks at different storage times before processing. Influence on the quality of the final stoppers. J. Sci. Food Agric. 2021, 101, 4735–4742. [Google Scholar] [CrossRef]
- Sefton, M.A.; Simpson, R.F. Compounds causing cork taint and the factors affecting their transfer from natural cork closures to wine—A review. Aust. J. Grape Wine Res. 2005, 11, 226–240. [Google Scholar] [CrossRef]
- Prat, C.; Bañeras, L.; Antico, E. Screening of musty-earthy compounds from tainted cork using water-based soaks followed by headspace solid-phase microextraction and gas chromatography-mass spectrometry. Eur. Food Res. Technol. 2008, 227, 1085–1090. [Google Scholar] [CrossRef]
- Culleré, L.; Cacho, J.; Ferreira, V. Comparative study of the aromatic profile of different kinds of wine cork stoppers. Food Chem. 2009, 112, 381–387. [Google Scholar] [CrossRef]
- Boudaoud, N.; Eveleigh, L. A new approach to the characterization of volatile signatures of cork wine stoppers. J. Agric. Food Chem. 2003, 51, 1530–1533. [Google Scholar] [CrossRef] [PubMed]
- Pinto, J.; Oliveira, A.S.; Lopes, P.; Roseira, I.; Cabral, C.; Bastos, M.L.; Guedes de Pinho, P. Characterization of chemical compounds susceptible to be extracted from cork by the wine using GC-MS and 1H NMR metabolomic approaches. Food Chem. 2019, 271, 639–649. [Google Scholar] [CrossRef] [PubMed]
- Mislata, A.M.; Puxeu, M.; Ferrer-Gallego, R. Aromatic potential and bioactivity of cork stoppers and cork by-products. Foods 2020, 9, 133. [Google Scholar] [CrossRef]
- Díaz-Maroto, M.C.; Sánchez-Palomo, E.; Pérez-Coello, M.S. Fast screening method for volatile compounds of oak wood used for aging wines by headspace SPME-GC-MS (SIM). J. Agric. Food Chem. 2004, 52, 6857–6861. [Google Scholar] [CrossRef] [PubMed]
- Furtado, I.; Oliveira, A.S.; Amaro, F.; Lopes, P.; Cabral, M.; Bastos, M.L.; Guedes de Pinho, P.; Pinto, J. Volatile profile of cork as a tool for classification of natural cork stoppers. Talanta 2021, 223, 121698. [Google Scholar] [CrossRef]
- CELIEGE (European Cork Federation). International Code of Cork Stopper Manufacturing Practices (ICCSMP), 6.04 ed.; CELIEGE: Paris, France, 2012; pp. 1–82. [Google Scholar]
- UNE 56921 Standard; Natural Cork Stoppers for Still Wines. Test Methods and Specifications. AENOR: Madrid, Spain, 2003.
- Soriano, A.; Alañón, M.E.; Alarcón, M.; García-Ruiz, A.; Díaz-Maroto, M.C.; Pérez-Coello, M.S. Oak wood extracts as natural antioxidants to increase shelf life of raw pork patties in modified atmosphere packaging. Food Res. Int. 2018, 111, 524–533. [Google Scholar] [CrossRef]
- Barreto, M.C.; Vilas Boas, L.; Carneiro, L.C.; San Romao, M.V. Volatile compounds in samples of cork and also produced by selected fungi. J. Agric. Food Chem. 2011, 59, 6568–6574. [Google Scholar] [CrossRef]
- Rocha, S.M.; Delgadillo, I.; Ferrer Correia, A.J. GC–MS study of volatiles of normal and microbiologically attacked cork from Quercus suber L. J. Agric. Food Chem. 1996, 44, 865–871. [Google Scholar] [CrossRef]
- Yazaki, K.; Arimura, G.-I.; Ohnishi, T. ‘Hidden’ terpenoids in plants: Their biosynthesis, localization and ecological roles. Plant Cell Physiol. 2017, 58, 1615–1621. [Google Scholar] [CrossRef]
- Bertamini, M.; Grando, M.S.; Zocca, P.; Pedrotti, M.; Lorenzi, S.; Cappellin, L. Linking monoterpenes and abiotic stress resistance in grapevines. BIO Web Conf. 2019, 13, 01003. [Google Scholar] [CrossRef]
- Sell, C.S. The Chemistry of Fragrances, 2nd ed.; RSC Publishing: Cambridge, UK, 2006. [Google Scholar]
- Díaz-Maroto, M.C.; Sánchez-Palomo, E.; Castro, L.; González-Viñas, M.A.; Pérez-Coello, M.S. Changes produced in the aroma compounds and structural integrity of basil (Ocimum basilicum L) during drying. J. Sci. Food Agric. 2004, 84, 2070–2076. [Google Scholar] [CrossRef]
- Hieu, L.D.; Thang, T.D.; Hoi, T.M.; Ogunwande, I.A. Chemical composition of essential oils from four Vietnamese species of piper (piperaceae). J. Oleo Sci. 2014, 63, 211–217. [Google Scholar] [CrossRef] [PubMed]
- Erasto, P.; Viljoen, A.M. Limonene—A review: Biosynthetic, ecological and pharmacological relevance. Nat. Prod. Commun. 2008, 3, 1193–1202. [Google Scholar] [CrossRef]
- Cuong Duong, V.; Das, A.; Kim, S.-W.; Kim, J.-Y. Recent advances in understanding the regulation of plant flavour. Funct. Plant Sci. Biotechnol. 2007, 1, 223–231. [Google Scholar]
- Francis, I.L.; Newton, J.L. Determining wine aroma from compositional data. Aust. J Wine Grape Res. 2005, 11, 114–126. [Google Scholar] [CrossRef]
- Horn, W.; Ullrich, D.; Seifert, B. VOC emissions from cork products for indoor use. Indoor Air 1998, 8, 39–46. [Google Scholar] [CrossRef]
- Chatonnet, P.; Dubourdieu, D. Comparative study of the characteristics of American white oak (Quercus alba) and European oak (Quercus petraea and Q. robur) for production of barrels used in barrel aging of wines. Am. J. Enol. Vitic. 1998, 49, 79–85. [Google Scholar] [CrossRef]
- Boidron, J.N.; Chatonnet, P.; Pons, M. Effects of wood on aroma compounds of wine. Connaiss. Vigne Vin 1988, 22, 275–294. [Google Scholar]
- Pérez-Coello, M.S.; Díaz-Maroto, M.C. Volatile compounds and wine aging. In Wine Chemistry and Biochemistry, 1st ed.; Moreno-Arribas, M.V., Polo, M.C., Eds.; Springer: New York, NY, USA, 2009; pp. 295–312. [Google Scholar]
- Prat, C.; Besalú, E.; Bañeras, L.; Anticó, E. Multivariate analysis of volatile compounds detected by headspace solid-phase microextraction/gas chromatography: A tool for sensory classification of cork stoppers. Food Chem. 2011, 126, 1978–1984. [Google Scholar] [CrossRef]
- Muñoz-González, C.; Moreno-Arribas, M.V.; Martín-Álvarez, P.J.; Bartra-Sebastian, E.; Puig-Pujol, A.; García-Cazorla, J.; Pozo-Bayón, M.A. Volatile and sensory characterization of Xarel.lo white wines. Flavour Fragr. J. 2011, 26, 156–161. [Google Scholar] [CrossRef]
- Wakayama, T.; Ito, Y.; Sakai, K.; Miyake, M.; Shibata, E.; Ohno, H.; Kamijima, M. Comprehensive review of 2-ethyl-1-hexanol as an indoor air pollutant. J. Occup. Health 2019, 61, 19–35. [Google Scholar] [CrossRef]
- Rocha, S.M.; Coimbra, M.A.; Delgadillo, I. Occurrence of furfuraldehydes during the processing of Quercus suber L. cork. Simultaneous determination of furfural, 5-hydroxymethylfurfural and 5-methylfurfural and their relation with cork polysaccharides. Carbohydr. Polym. 2004, 56, 287–293. [Google Scholar] [CrossRef]
- Besalú, E.; Prat, C.; Anticó, E. Investigation of volatiles in cork samples using chromatographic data and the superposing significant interaction rules (SSIR) chemometric tool. Biomolecules 2020, 10, 896. [Google Scholar] [CrossRef] [PubMed]
- Belitz, H.D.; Grosch, W. Food Chemistry; Springer: Berlin, Germany, 1987; pp. 128–199. [Google Scholar]
- Ohata, M.; Zhou, L.; Yada, Y.; Yokoyama, I.; Arihara, K. 2,3-Dimethylpyrazine (3DP) and 2,5-dimethyl-4-hydroxy-3(2H)-furanone (DMHF) generated by the Maillard reaction in foods affect autonomic nervous activity and central nervous activity in human. Biosci. Biotechnol. Biochem. 2020, 84, 1894–1902. [Google Scholar] [CrossRef] [PubMed]


| Sample Key | Geographic Origin | Quality Grade 1 | Measurement | Moisture (%) Mean ± SD |
|---|---|---|---|---|
| SS1 | South Spain | Flower | 49 × 24 mm | 3.82 ± 0.50 |
| SS2 | South Spain | Second | 49 × 24 mm | 3.79 ± 0.48 |
| NS1 | Northeast Spain | Superior | 49 × 24 mm | 3.57 ± 0.36 |
| NS2 | Northeast Spain | Fourth | 49 × 24 mm | 3.78 ± 0.45 |
| P1 | Portugal | Third | 44 × 24 mm | 3.65 ± 0.15 |
| Volatile Compounds | SS1 | SS2 | NS1 | NS2 | P1 |
|---|---|---|---|---|---|
| Alkanes | |||||
| Decane | 7.1 ± 1.7 | 8.1 ± 2.2 | 6.6 ± 1.4 | 5.9 ± 1.4 | 7.5 ± 0.5 |
| Undecane | 10.7 c ± 2.2 | 7.5 b ± 1.5 | 6.3 ab ± 2.6 | 4.7 ab ± 0.7 | 3.5 a ± 1.0 |
| Dodecane | 74.9 a ± 11.9 | 87.1 a ± 5.9 | 87.6 b ± 6.2 | 80.8 a ± 5.9 | 79.6 b ± 3.8 |
| Tridecane | 30.1 b ± 3.9 | 40.4 c ± 5.8 | 29.3 b ± 4.5 | 21.9 ab ± 4.4 | 20.2 a ± 5.2 |
| Tetradecane | 167.9 bc ± 33.7 | 181.4 c ± 20.3 | 131.9 ab ± 7.8 | 137.1 ab ± 12.2 | 121.8 a ± 13.1 |
| Hexadecane | 83.0 c ± 4.3 | 77.0 c ± 6.7 | 40.3 b ± 4.3 | 43.7 b ± 10.7 | 28.9 a ± 6.2 |
| Heptadecane | 46.0 c ± 9.1 | 31.9 b ± 9.5 | 13.4 a ± 3.5 | 13.2 a ± 3.2 | 10.6 a ± 1.4 |
| Octadecane | 33.3 b ± 11.6 | 24.8 ab ± 5.8 | 14.7 a ± 2.6 | 15.4 a ± 2.0 | 14.6 a ± 1.1 |
| Nonadecane | 11.2 a ± 5.0 | 9.9 a ± 2.5 | 7.0 a ± 1.5 | 6.3 a ± 1.2 | 20.5 b ± 6.8 |
| Eicosane | 11.5 b ± 2.7 | 9.0 ab ± 2.4 | 6.0 a ± 0.8 | 7.8 ab ± 0.3 | 20.6 c ± 4.5 |
| Docosane | 13.5 ± 8.5 | 7.9 ± 3.2 | 6.7 ± 0.7 | 12.5 ± 7.7 | 19.4 ± 6.2 |
| Terpenes | |||||
| α-Pinene | 1.4 a ± 0.3 | 1.6 a ± 0.7 | 1.7 a ± 0.3 | 7.0 b ± 2.3 | 1.8 a ± 1.0 |
| Camphene | 17.1 a ± 3.5 | 9.3 a ± 2.4 | 8.1 a ± 4.1 | 36.4 b ± 12.7 | 10.0 a ± 3.3 |
| Limonene | 11.3 a ± 2.7 | 11.5 a ± 1.0 | 74.6 b ± 10.3 | 75.1 b ± 24.9 | 14.6 a ± 8.2 |
| Eucalyptol | 0.9 a ± 0.3 | 1.0 a ± 0.3 | 3.3 a ± 0.9 | 12.8 b ± 3.0 | 3.0 a ± 0.9 |
| α-Copaene * | 10.0 a ± 2.6 | 24.8 a ± 16.1 | 322.2 b ± 158.2 | 382.1 b ± 76.9 | 14.9 a ± 3.5 |
| Camphor | 21.7 a ± 3.8 | 21.9 a ± 4.8 | 18.4 a ± 5.7 | 84.0 b ± 21.7 | 20.2 a ± 3.6 |
| Thymol methyl ether * | 3.2 a ± 0.8 | 5.6 a ± 2.1 | 25.8 b ± 0.6 | 25.4 b ± 5.1 | 6.0 a ± 1.5 |
| α-Terpineol | 8.6 a ± 1.9 | 12.1 a ± 1.4 | 13.4 a ± 1.0 | 23.8 b ± 4.1 | 12.3 a ± 5.3 |
| Isothymol methyl ether * | 5.7 a ± 3.1 | 4.3 a ± 0.8 | 5.5 a ± 3.2 | 22.3 b ± 7.9 | 4.9 a ± 2.6 |
| α-Muurolene * | 3.2 a ± 0.4 | 8.0 b ± 1.8 | 9.6 b ± 1.6 | 9.9 b ± 4.5 | 6.6 ab ± 1.5 |
| Cadalene * | 16.2 ± 8.5 | 7.6 ± 2.2 | 8.0 ± 1.0 | 9.4 ± 7.1 | 7.5 ± 5.2 |
| Geraniol | 10.4 ± 4.2 | 8.2 ± 3.0 | 5.5 ± 0.7 | 5.7 ± 1.8 | 6.6 ± 2.4 |
| Methyl dihydrojasmonate | 22.5 ± 8.6 | 31.9 ± 16.7 | 18.2 ± 1.3 | 15.8 ± 2.8 | 28.2 ± 9.1 |
| p-Cymene | 15.5 ± 7.2 | 12.5 ± 2.8 | 16.9 ± 3.9 | 12.4 ± 3.7 | 12.0 ± 2.9 |
| (E)-Geranyl acetone | 45.8 ± 17.1 | 24.0 ± 5.0 | 39.2 ± 6.9 | 44.5 ± 15.1 | 27.7 ± 2.7 |
| Acids | |||||
| Acetic acid | 397.0 b ± 65.5 | 327.4 b ± 31.7 | 167.1 a ± 12.9 | 147.2 a ± 24.8 | 524.4 c ± 65.8 |
| Butanoic acid | 9.6 c ± 1.2 | 7.7 b ± 1.6 | 5.2 a ± 0.4 | 4.7 a ± 0.7 | 6.8 ab ± 1.3 |
| Hexanoic acid | 90.7 c ± 13.3 | 74.9 b ± 5.8 | 46.5 a ± 6.1 | 47.4 a ± 1.5 | 56.9 a ± 6.3 |
| 2-Ethylhexanoic acid | 34.3 a ± 4.4 | 49.5 a ± 28.1 | 6.7 a ± 1.2 | 4.5 a ± 0.7 | 190.9 b ± 70.6 |
| Octanoic acid | 57.8 b ± 21.7 | 81.7 c ± 17.0 | 28.0 a ± 3.5 | 29.8 a ± 2.1 | 44.8 ab ± 6.9 |
| Nonanoic acid | 164.1 bc ± 81.9 | 228.4 c ± 63.5 | 53.0 a ± 13.7 | 55.6 a ± 14.9 | 98.3 ab ± 32.1 |
| Decanoic acid | 33.9 ± 11.6 | 49.5 ± 23.3 | 24.5 ± 6.1 | 23.1 ± 3.6 | 33.1 ± 5.5 |
| Aldehydes | |||||
| Hexanal | 25.9 b ± 1.8 | 19.3 b ± 6.2 | 21.4 b ± 5.2 | 24.6 b ± 1.9 | 13.1 a ± 2.8 |
| Heptanal | 11.7 d ± 0.8 | 7.8 bc ± 1.9 | 9.2 c ± 1.6 | 6.4 b ± 1.2 | 4.3 a ± 0.8 |
| Nonanal | 212.5 a ± 76.5 | 206.3 a ± 68.5 | 351.7 b ± 24.3 | 242.7 a ± 38.4 | 219.2 a ± 26.4 |
| (E)-2-Octenal | 17.7 ± 3.8 | 15.6 ± 8.2 | 15.6 ± 2.7 | 20.8 ± 2.9 | 14.9 ± 2.4 |
| Decanal | 120.3 bc ± 25.1 | 107.4 b ± 6.5 | 141.7 c ± 12.2 | 114.8 bc ± 17.8 | 79.6 a ± 8.2 |
| (E)-2-Nonenal | 49.8 b ± 8.9 | 51.5 b ± 13.2 | 54.0 b ± 4.3 | 68.8 c ± 6.9 | 34.0 a ± 3.4 |
| Ketones | |||||
| 2-Heptanone | 15.9 c ± 0.8 | 8.1 b ± 2.1 | 3.7 a ± 0.9 | 2.9 a ± 0.7 | 5.5 ab ± 1.0 |
| 4-Nonanone | 1.7 ± 0.4 | 1.7 ± 0.5 | 1.4 ± 0.2 | 1.1 ± 0.1 | 1.3 ± 0.1 |
| 6-Methyl-5-hepten-2-one | 19.7 ± 3.3 | 12.3 ± 1.4 | 18.4 ± 3.2 | 19.2 ± 7.7 | 15.0 ± 0.5 |
| Benzenic compounds | |||||
| Dimethyl benzene | 11.9 a ± 4.2 | 12.0 a ± 2.9 | 16.4 a ± 0.9 | 11.5 a ± 2.3 | 55.3 b ± 18.0 |
| 1,3,5-Trimethyl benzene | 5.9 ± 2.5 | 4.8 ± 0.9 | 5.3 ± 0.1 | 4.0 ± 0.4 | 5.9 ± 2.1 |
| 2-Methyl-(2-propenyl)-benzene | 14.8 ± 7.1 | 10.3 ± 3.9 | 7.7 ± 0.8 | 13.8 ± 3.7 | 8.1 ± 0.9 |
| Benzaldehyde | 81.9 a ± 7.4 | 89.1 a ± 9.6 | 76.7 a ± 8.5 | 50.9 a ± 6.4 | 407.7 b ± 88.9 |
| Acetophenone | 21.7 b ± 5.6 | 17.3 ab ± 7.0 | 11.0 a ± 2.0 | 9.3 a ± 1.2 | 16.8 ab ± 3.9 |
| Guaiacol | 8.4 a ± 1.4 | 14.0 a ± 6.1 | 24.6 b ± 5.0 | 23.5 b ± 6.1 | 10.0 a ± 2.0 |
| Benzyl alcohol | 27.2 a ± 14.8 | 17.1 a ± 3.3 | 12.9 a ± 6.2 | 8.5 a ± 1.3 | 742.6 b ± 102.6 |
| Phenylethanol | 9.6 a ± 2.1 | 6.2 a ± 0.3 | 8.2 a ± 0.9 | 8.7 a ± 2.4 | 14.3 b ± 3.1 |
| Phenol | 21.1 ± 10.2 | 11.1 ± 1.4 | 10.8 ± 0.9 | 11.5 ± 4.7 | 10.7 ± 1.2 |
| Vainillin | 118.4 b ± 61.5 | 98.0 ab ± 20.0 | 77.9 ab ± 14.9 | 63.7 ab ± 13.1 | 49.1 a ± 9.1 |
| Esters | |||||
| Ethyl hexanoate | 1.1 a ± 0.2 | 0.7 a ± 0.2 | 0.5 a ± 0.1 | 0.6 a ± 0.1 | 2.7 b ± 0.8 |
| 2-Ethylhexyl acetate | 3.6 a ± 0.3 | 3.3 a ± 0.3 | 4.3 a ± 0.4 | 3.8 a ± 0.4 | 17.4 b ± 0.6 |
| Ethyl octanoate | 4.8 a ± 2.9 | 4.8 a ± 3.3 | 4.2 a ± 0.5 | 4.5 a ± 1.7 | 28.1 b ± 12.3 |
| Ethyl decanoate | 11.5 a ± 2.2 | 12.9 a ± 2.2 | 15.7 a ± 1.4 | 12.6 a ± 1.0 | 47.4 b ± 20.2 |
| Isopropyl miristate | 20.2 c ± 6.8 | 18.0 bc ± 3.1 | 9.2 a ± 3.0 | 9.0 a ± 1.2 | 12.4 ab ± 3.5 |
| Isopropyl palmitate | 50.1 ± 41.4 | 61.4 ± 33.8 | 39.0 ± 17.1 | 54.3 ± 31.5 | 60.0 ± 15.7 |
| Ethyl hexadecanoate | 5.6 ab ± 1.3 | 6.6 ab ± 1.1 | 4.3 a ± 0.4 | 6.7 ab ± 3.3 | 8.2 b ± 0.8 |
| Alcohols | |||||
| 2-Ethyl-1-hexanol | 35.5 b ± 0.7 | 40.8 b ± 10.6 | 13.3 a ± 2.9 | 9.6 a ± 1.6 | 148.8 c ± 20.6 |
| 1-Phenoxy-2-propanol | 15.0 a ± 3.2 | 34.9 b ± 16.0 | 23.6 ab ± 6.7 | 14.4 a ± 3.1 | 7.6 a ± 0.8 |
| 2-Phenoxy-1-propanol | 4.9 ab ± 1.5 | 6.7 b ± 1.1 | 6.3 b ± 2.7 | 3.8 ab ± 1.3 | 2.6 a ± 1.6 |
| 2-Phenoxyethanol | 50.1 ± 14.3 | 63.8 ± 18.7 | 73.3 ± 35.8 | 70.0 ± 36.1 | 46.1 ± 20.3 |
| Furanic and pyranic compounds | |||||
| Furfural | 225.9 b ± 21.4 | 328.3 c ± 3.8 | 191.0 b ± 33.4 | 520.1 d ± 68.0 | 97.7 a ± 23.8 |
| 2-Pentylfuran | 53.7 b ± 8.8 | 31.5 a ± 12.4 | 39.1 a ± 5.9 | 55.9 b ± 8.1 | 24.9 a ± 2.5 |
| 2,3-Dimethylpyrazine | 2.5 c ± 0.3 | 3.5 d ± 0.3 | 0.1 a ± 0.0 | 0.2 a ± 0.0 | 0.6 b ± 0.0 |
| 5-Methylfurfural | 46.1 b ± 17.6 | 48.3 b ± 16.1 | 15.8 a ± 1.4 | 36.6 b ± 6.6 | 8.3 a ± 1.2 |
| 1H-Pyrrole-2-carboxaldehyde | 38.5 b ± 13.8 | 47.5 b ± 6.6 | 3.8 a ± 0.2 | 14.8 a ± 4.7 | 4.9 a ± 1.2 |
Disclaimer/Publisher’s Note: The statements, opinions and data contained in all publications are solely those of the individual author(s) and contributor(s) and not of MDPI and/or the editor(s). MDPI and/or the editor(s) disclaim responsibility for any injury to people or property resulting from any ideas, methods, instructions or products referred to in the content. |
© 2023 by the authors. Licensee MDPI, Basel, Switzerland. This article is an open access article distributed under the terms and conditions of the Creative Commons Attribution (CC BY) license (https://creativecommons.org/licenses/by/4.0/).
Share and Cite
Díaz-Maroto, M.C.; Alarcón, M.; Loarce, L.; Díaz-Maroto, I.J.; Pérez-Coello, M.S. Headspace Solid-Phase Microextraction: A Useful and Quick Tool for the Traceability and Quality Assessment of Wine Cork Stoppers. Appl. Sci. 2023, 13, 5451. https://doi.org/10.3390/app13095451
Díaz-Maroto MC, Alarcón M, Loarce L, Díaz-Maroto IJ, Pérez-Coello MS. Headspace Solid-Phase Microextraction: A Useful and Quick Tool for the Traceability and Quality Assessment of Wine Cork Stoppers. Applied Sciences. 2023; 13(9):5451. https://doi.org/10.3390/app13095451
Chicago/Turabian StyleDíaz-Maroto, M. Consuelo, Marina Alarcón, Lucía Loarce, Ignacio J. Díaz-Maroto, and M. Soledad Pérez-Coello. 2023. "Headspace Solid-Phase Microextraction: A Useful and Quick Tool for the Traceability and Quality Assessment of Wine Cork Stoppers" Applied Sciences 13, no. 9: 5451. https://doi.org/10.3390/app13095451
APA StyleDíaz-Maroto, M. C., Alarcón, M., Loarce, L., Díaz-Maroto, I. J., & Pérez-Coello, M. S. (2023). Headspace Solid-Phase Microextraction: A Useful and Quick Tool for the Traceability and Quality Assessment of Wine Cork Stoppers. Applied Sciences, 13(9), 5451. https://doi.org/10.3390/app13095451

