Seismic Benefits from Coupling Frame Structures with a Hysteretic Mass Damper Inerter
Abstract
1. Introduction
2. Mechanical Model
2.1. Equations of Motion
- The circular frequencies of the leading mode of the M-DOF frame structure and of the first mode of the 2-DOF system (Figure 2) are the same;
- The modal components of the first and top stories of the frame structure are equal to the modal components and of the equivalent low-dimensional system.
2.2. Inerter Device
3. Parametric Analysis
3.1. Parameters Characterizing the HMDI
- the ratio between the physical mass of the external structure m and the mass of the first story
- the ratio between the virtual mass of the inerter and the whole mass of the frame structure
- the ratio between the elastic stiffness and the plastic stiffness of the hysteretic connection
- the ratio between the yielding forces and the weight of the first story
- the period of the stand-alone external oscillating mass
3.2. Parameters Characterizing the Frame Structure
3.3. Gain Parameters
4. Spectral Analysis
4.1. Frequencies and Modal Shapes of the Coupled System
- The period of Mode 1 can be increased using an appropriate virtual mass of the HMDI (i.e., increasing ) so that it is possible to reach values significantly larger than those of the corresponding Mode of the uncoupled frame structure.
- The period of Mode 2 of the frame coupled with the HMDI is consistently close to the period of Mode of the uncoupled structure. It can be asserted that Mode 2 of the structure with the HMDI substitutes Mode of the structure without the HMDI. Depending on the values of (i.e., depending on the characteristics of the HMDI), the shape of Mode 2 changes. In one case (Mode 2a), the HMDI moves in counter-phase with respect to the whole frame. In the other case (Mode 2b), the HMDI moves in phase with the first level of the frame structure and in counter-phase with the part of the structure above the connection with the HMDI. The threshold value that separates the regions of the parameter plane characterized by the two different modal shapes corresponds to a specific value that exclusively depends on the characteristics of the uncoupled structure. In Figure 4c, such a value is and corresponds to the thick dashed line.
- The period of Mode 3 of the structure coupled with the HMDI always remains close to that of Mode of the uncoupled structure. It can be asserted that Mode 3 of the coupled structure substitutes Mode of the uncoupled structure.
4.2. Modal Mass Participating Coefficients of the Coupled System
- The MPC of Mode 1 is higher than 90% (the dotted line refers exactly to 90%) in almost all of the parameter planes so that Mode 1 is largely the predominant oscillation mode. The dynamics associated with this mode do not reduce the displacements of the frame structure since the HMDI and the frame structure move in phase. However, the HMDI also has the effect of increasing the period of such a mode. In the case of seismic excitation, the increase of the prevailing period has a protective effect on the structures because earthquakes have lower spectral energy in the range of higher periods. The shifting of the period of the prevailing mode toward higher values is the same protection concept at the base of base isolation.
- The MPC of Mode 2 is less than 1% (the dotted line refers to 1%) in almost all the parameter planes. Therefore, although the introduction of the HMDI has the effect of substituting Mode of the uncoupled structure with Mode 2 (i.e., the two modes before and after the coupling with the protection device have close values to the period), it also reduces the participation mass of this mode. Consequently, it reduces the influence that this mode would have under seismic excitation, considering that the period of Mode 2 is usually in the range of values where earthquakes have higher spectral energy. The contour map of the MPC of Mode 2 also shows the shape of the mode obtained at the threshold value . The shape indicates that there is no displacement at the first level of the 2-DOF system. Therefore, it is expected that the dynamics associated with this mode minimize the displacement .
- From observing the shapes of Mode 2a and Mode 2b, it can be expected that the protection device has the main effect of reducing (i.e., the displacement of the story connected to the HMDI) when the design parameter is higher than , because the story where the connection is placed and the HMDI move in counter-phase. On the other hand, when is less than , the use of the protection device leads to a reduction of the drift () because, in this case, the upper part of the frame structure and the HMDI move in counter-phase.
- In general, it can be stated that, in the coupled structure, the modal displacement of the HMDI is larger than and in all three modes. Moreover, increases compared to and when either or increase. It can also be asserted that the HMDI directs the external excitation on itself, thus reducing the dynamic effect on the structure, i.e., leading to smaller displacements than in the case of the uncoupled structure.
5. Seismic Analysis
5.1. Single Earthquake Records and Set of Spectrum-Compatible Earthquake Records
- (a)
- Kobe, 1995 Japan earthquake, Takarazuka station, 0 deg, ground level, position of the station: 34.8090 N, 135.3440 W;
- (b)
- Northridge, Newhall, 1994 California earthquake,- LA County Fire station no. 24279, 360 deg, position of the station: 34.387 N, 118.530 W;
- (c)
- Parkfield, 1966 California earthquake, station no.013, comp N65 E, position of the station: 35.726 N, 120.287 W.
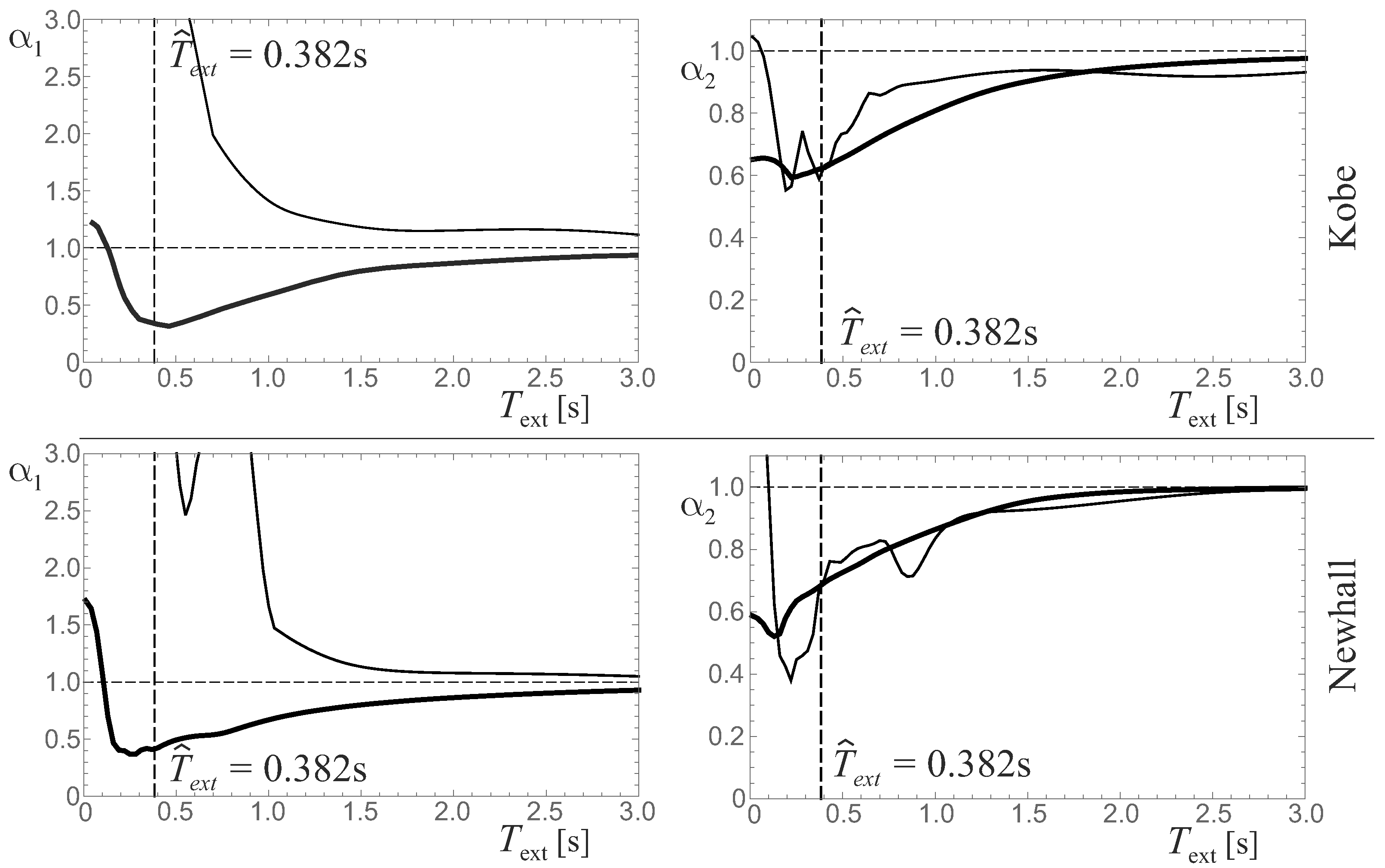
5.2. Spectral Gain Curve of a Single Seismic Event
5.3. Spectral Gain Maps of a Single Earthquake Record
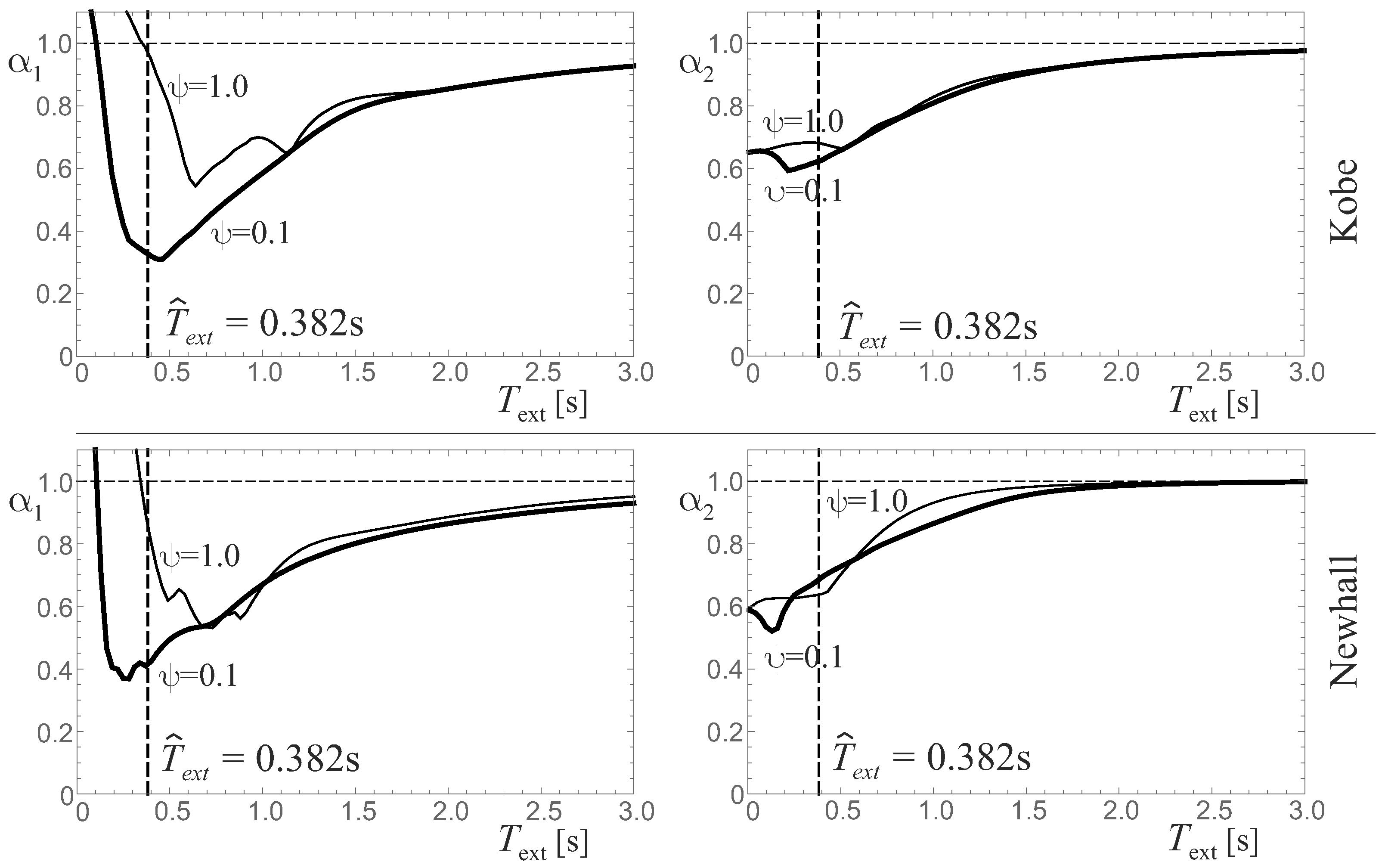
5.4. Spectral Gain Maps of a Set of Spectrum-Compatible Earthquake Records
6. Conclusions
Author Contributions
Funding
Data Availability Statement
Conflicts of Interest
Appendix A. Spectrum Compatibility Earthquake Records
| W.ID | E.ID | Name | Station ID | Date | Mw | FaultM | Epic |
|---|---|---|---|---|---|---|---|
| 6263 | 1635 | South Iceland | ST2484 | 17/06/2000 | 6.5 | strike-slip | 7 |
| 292 | 146 | Campano Lucano | ST98 | 23/11/1980 | 6.9 | normal | 25 |
| 1314 | 474 | Ano Liosia | ST1101 | 07/09/1999 | 6.0 | normal | 17 |
| 7142 | 2309 | Bingol | ST539 | 01/05/2003 | 6.3 | strike-slip | 14 |
| 1708 | 474 | Ano Liosia | ST1253 | 07/09/1999 | 6.0 | normal | 19 |
| 6335 | 2142 | South Iceland (aftershock) | ST2557 | 21/06/2000 | 6.4 | strike-slip | 15 |
| 4674 | 1635 | South Iceland | ST2486 | 17/06/2000 | 6.5 | strike-slip | 5 |
References
- Kelly, J. Base isolation: Linear theory and design. Earthq. Spectra 1995, 6, 223–244. [Google Scholar] [CrossRef]
- Den Hartog, J.P. Mechanical Vibrations, 4th ed.; McGraw-Hill: New York, NY, USA, 1956. [Google Scholar]
- Rana, R.; Soong, T. Parametric analysis and simplified design of tuned mass damper. Eng. Struct. 1998, 20, 193–204. [Google Scholar] [CrossRef]
- Miranda, J.C. On tuned mass dampers for reducing the seismic response of structures. Earthq. Engng. Struct. Dyn. 2005, 34, 847–865. [Google Scholar] [CrossRef]
- Tsai, H.H. The effect of tuned-mass dampers on the seismic response of base-isolated structures. Int. J. Solid Struct. 1995, 32, 1195–1210. [Google Scholar] [CrossRef]
- Taniguchi, T.; Kiureghian, A.D.; Melkumyan, M. Effect of tuned mass damper on displacement demand of base-isolated structures. Eng. Struct. 2008, 30, 3478–3488. [Google Scholar] [CrossRef]
- Bachmann, J.; Vassiliou, M.; Stojadinović, B. Dynamics of Rocking Podium Structures. Earthq. Eng. Struct. Dyn. 2017, 46, 2499–2517. [Google Scholar] [CrossRef]
- Makris, N. A half-century of rocking isolation. Earthqu. Struct. 2014, 7, 1187–1221. [Google Scholar] [CrossRef]
- Makris, N.; Aghagholizadeh, M. The dynamics of an elastic structure coupled with a rocking wall. Earthq. Eng. Struct. Dyn. 2017, 46, 945–954. [Google Scholar] [CrossRef]
- Di Egidio, A.; Pagliaro, S.; Fabrizio, C. Combined use of rocking wall and inerters to improve the seismic response of frame structures. J. Eng. Mech. 2021, 147, 04021016. [Google Scholar] [CrossRef]
- Di Egidio, A.; Pagliaro, S.; Fabrizio, C.; de Leo, A. Seismic performance of frame structures coupled with an external rocking wall. Eng. Struct. 2020, 224, 111207. [Google Scholar] [CrossRef]
- Pagliaro, S.; Aloisio, A.; Di Egidio, A.; Alaggio, R. Rigid block coupled with a 2 d.o.f. system: Numerical and experimental investigation. Coupled Syst. Mech. 2020, 6, 539–562. [Google Scholar]
- Di Egidio, A.; Pagliaro, S.; Contento, A. Seismic benefits of deformable connections between a frame structure and an external structure with inerter. Eng. Struct. 2022, 256, 113025. [Google Scholar] [CrossRef]
- Di Egidio, A.; Pagliaro, S.; Contento, A. Elasto-plastic short exoskeleton to improve dynamic and seismic performances of frame structures. Appl. Sci. 2022, 12, 10398. [Google Scholar] [CrossRef]
- Simoneschi, G.; Olivieri, C.; de Leo, A.; Di Egidio, A. Pole placement method to control the rocking motion of rigid blocks. Eng. Struct. 2018, 98, 154–162. [Google Scholar] [CrossRef]
- Di Egidio, A.; Contento, A.; Olivieri, C.; de Leo, A. Protection from overturning of rigid block-like objects with linearquadratic regulator active control. Struct. Control Health Monit. 2020, 27, e2598. [Google Scholar] [CrossRef]
- Fabrizio, C.; Di Egidio, A.; de Leo, A. Top disconnection versus base disco nnection in structures subjected to harmonic base excitation. Eng. Struct. 2017, 152, 660–670. [Google Scholar] [CrossRef]
- Fabrizio, C.; de Leo, A.; Di Egidio, A. Tuned mass damper and base isolation: A unitary approach for the seismic protection of conventional frame structures. J. Eng. Mech. 2019, 145, 04019011. [Google Scholar] [CrossRef]
- Wang, S.-J.; Hwang, J.S.; Chang, K.C.; Lin, M.H.; Lee, B.H. Analytical and experimental studies on midstory isolated buildings with modal coupling effect. Earthq. Engng. Struct. Dyn 2013, 42, 201–219. [Google Scholar] [CrossRef]
- Pagliaro, S.; Di Egidio, A. Archetype dynamically equivalent 3-d.o.f. model to evaluate seismic performances of intermediate discontinuity in frame structures. J. Eng. Mech. 2022, 148, 04022004. [Google Scholar]
- Marian, L.; Giaralis, A. Optimal design of a novel tuned mass-damper-inerter (TMDI) passive vibration control configuration for stochastically support-excited structural systems. Probabilistic Eng. Mech. 2014, 38, 156–164. [Google Scholar] [CrossRef]
- Kuhnert, W.M.; Gonçalves, P.J.P.; Ledezma-Ramirez, D.F.; Brennan, M.J. Inerter-like devices used for vibration isolation: A historical perspective. J. Frankl. Inst. 2021, 358, 1070–1086. [Google Scholar] [CrossRef]
- Wang, F.C.; Lee, C.H.; Zheng, R.Q. Benefits of the inerter in vibration suppression of a milling machine. J. Frankl. Inst. 2019, 356, 7689–7703. [Google Scholar] [CrossRef]
- Ma, R.; Bi, K.; Hao, H. A novel rotational inertia damper for amplifying fluid resistance: Experiment and mechanical model. Mech. Syst. Signal Process. 2021, 149, 107313. [Google Scholar] [CrossRef]
- Pietrosanti, D.; De Angelis, M.; Giaralis, A. Experimental seismic performance assessment and numerical modelling of nonlinear inerter vibration absorber (IVA)-equipped base isolated structures tested on shaking table. Earthq. Eng. Struct. Dyn. 2021, 50, 2732–2753. [Google Scholar] [CrossRef]
- Brzeski, P.; Kapitaniak, T.; Perlikowski, P. Novel type of tuned mass damper with inerter which enables changes of inertance. J. Sound Vib. 2015, 349, 56–66. [Google Scholar] [CrossRef]
- Pietrosanti, D.; De Angelis, M.; Basili, M. Optimal design and performance evaluation of systems with Tuned Mass Damper Inerter (TMDI). Earthq. Eng. Struct. Dyn. 2017, 46, 1367–1388. [Google Scholar] [CrossRef]
- De Domenico, D.; Ricciardi, G. An enhanced base isolation system equipped with optimal tuned mass damper inerter (TMDI). Earthq. Eng. Struct. Dyn. 2018, 47, 1169–1192. [Google Scholar] [CrossRef]
- De Domenico, D.; Impollonia, N.; Ricciardi, G. Soil-dependent optimum design of a new passive vibration control system combining seismic base isolation with tuned inerter damper. Soil Dyn. Earthq. Eng. 2018, 105, 37–53. [Google Scholar] [CrossRef]
- Giaralis, A.; Taflanidis, A. Optimal tuned mass-damper-inerter (TMDI) design for seismically excited MDOF structures with model uncertainties based on reliability criteria. Struct. Control. Health Monit. 2018, 25, e2082. [Google Scholar] [CrossRef]
- Pietrosanti, D.; De Angelis, M.; Basili, M. A generalized 2-DOF model for optimal design of MDOF structures controlled by Tuned Mass Damper Inerter (TMDI). Int. J. Mech. Sci. 2020, 185, 105849. [Google Scholar] [CrossRef]
- De Domenico, D.; Deastra, P.; Ricciardi, G.; Sims, N.D.; Wagg, D.J. Novel fluid inerter based tuned mass dampers for optimised structural control of base-isolated buildings. J. Frankl. Inst. 2019, 356, 7626–7649. [Google Scholar] [CrossRef]
- Javidialesaadi, A.; Wierschem, N.E. Design and performance evaluation of inerter-based tuned mass dampers for a ground acceleration excited structure. Soil Dyn. Earthq. Eng. 2021, 140, 106463. [Google Scholar] [CrossRef]
- Di Egidio, A.; Contento, A. Improvement of the dynamic and seismic behaviour or rigid block-like structures with a hysteretic mass damper coupled with an inerter. Appl. Sci. 2022, 127, 11527. [Google Scholar] [CrossRef]
- Wen, Y.K. Method for random vibration of hysteretic systems. J. Eng. Mech. 1976, 102, 249–263. [Google Scholar] [CrossRef]
- Ma, F.; Zhang, H.; Bockstedte, A.; Foliente, G.; Paevere, P. Parameter Analysis of the Differential Model of Hysteresis. J. Eng. Mech. 2004, 71, 342–349. [Google Scholar] [CrossRef]
- Constantinou, M.; Adnane, M. Dynamics of Soil-Base-Isolated Structure Systems Report 4: Evaluation of Two Models for Yielding Systems; Report to NSAF; Department of Civil Engineering, Drexel University: Philadelphia, PA, USA, 1987. [Google Scholar]
- Makris, N.; Kampas, G. Seismic Protection of Structures with Supplemental Rotational Inertia. J. Eng. Mech. 2016, 142, 04016089. [Google Scholar] [CrossRef]
- Thiers-Moggia, R.; Málaga-Chuquitaype, C. Seismic protection of rocking structures with inerters. Earthq. Eng. Struct. Dyn. 2018, 48, 528–547. [Google Scholar] [CrossRef]
- Chopra, A.K. Dynamics of Structures; Prentice Hall, Inc.: Englewood Cliffs, NJ, USA, 1995. [Google Scholar]
- Viola, E. Fondamenti di Dinamica e Vibrazione delle Strutture, 1st Volume; Pitagora Editrice Bologna: Bologna, Italy, 2001. [Google Scholar]
- Iervolino, I.; Galasso, C.; Cosenza, E. REXEL: Computer aided record selection for code-based seismic structural analysis. Bull. Earthq. Eng. 2010, 8, 339–362. [Google Scholar] [CrossRef]














| Stories | Connection Story | Floor Area | Story Mass | Story Height |
|---|---|---|---|---|
| 3 | 1 | 200 m | 241.2 × 10 kg | 3 m |
| 4 | 1 | 250 m | 301.5 × 10 kg | 3 m |
| 5 | 1 | 400 m | 482.4 × 10 kg | 3 m |
| Stories | [Nm] | [Nm] | [kg] | [kg] |
|---|---|---|---|---|
| 3 | 4.384382 × 10 | 1.879021 × 10 | 241.2 × 10 | 482.4 × 10 |
| 4 | 7.932988 × 10 | 2.440919 × 10 | 301.5 × 10 | 904.5 × 10 |
| 5 | 1.222606 × 10 | 2.910966 × 10 | 482.4 × 10 | 1929.6 × 10 |
Disclaimer/Publisher’s Note: The statements, opinions and data contained in all publications are solely those of the individual author(s) and contributor(s) and not of MDPI and/or the editor(s). MDPI and/or the editor(s) disclaim responsibility for any injury to people or property resulting from any ideas, methods, instructions or products referred to in the content. |
© 2023 by the authors. Licensee MDPI, Basel, Switzerland. This article is an open access article distributed under the terms and conditions of the Creative Commons Attribution (CC BY) license (https://creativecommons.org/licenses/by/4.0/).
Share and Cite
Di Egidio, A.; Contento, A. Seismic Benefits from Coupling Frame Structures with a Hysteretic Mass Damper Inerter. Appl. Sci. 2023, 13, 5017. https://doi.org/10.3390/app13085017
Di Egidio A, Contento A. Seismic Benefits from Coupling Frame Structures with a Hysteretic Mass Damper Inerter. Applied Sciences. 2023; 13(8):5017. https://doi.org/10.3390/app13085017
Chicago/Turabian StyleDi Egidio, Angelo, and Alessandro Contento. 2023. "Seismic Benefits from Coupling Frame Structures with a Hysteretic Mass Damper Inerter" Applied Sciences 13, no. 8: 5017. https://doi.org/10.3390/app13085017
APA StyleDi Egidio, A., & Contento, A. (2023). Seismic Benefits from Coupling Frame Structures with a Hysteretic Mass Damper Inerter. Applied Sciences, 13(8), 5017. https://doi.org/10.3390/app13085017

