Next Article in Journal
Toward Real-Time, Robust Wearable Sensor Fall Detection Using Deep Learning Methods: A Feasibility Study
Next Article in Special Issue
Dynamical Neural Network Based Dynamic Inverse Control Method for a Flexible Air-Breathing Hypersonic Vehicle
Previous Article in Journal
From Reverse Engineering Software to CAD-CAM Systems: How Digital Environment Has Influenced the Clinical Applications in Modern Dentistry and Orthodontics
Previous Article in Special Issue
Research on Head Pursuit Interception Strategy for Hypersonic Target
 
 
Font Type:
Arial Georgia Verdana
Font Size:
Aa Aa Aa
Line Spacing:
Column Width:
Background:
Article

Analytic Time Reentry Cooperative Guidance for Multi-Hypersonic Glide Vehicles

1
College of Missile Engineering, Rocket Force University of Engineering, Xi’an 710025, China
2
School of Astronautics, Northwestern Polytechnical University, Xi’an 710072, China
*
Author to whom correspondence should be addressed.
Appl. Sci. 2023, 13(8), 4987; https://doi.org/10.3390/app13084987
Submission received: 25 March 2023 / Revised: 11 April 2023 / Accepted: 14 April 2023 / Published: 15 April 2023
(This article belongs to the Special Issue Advanced Guidance and Control of Hypersonic Vehicles)

Abstract

:

Featured Application

The method proposed can be used for time cooperative guidance of multi-hypersonic glide vehicles.

Abstract

Aiming at the cooperative guidance problem of multi-hypersonic glide vehicles, a cooperative guidance method based on a parametric design and an analytical solution of time-to-go is proposed. First, the hypersonic reentry trajectory optimization problem was transformed into a parameter optimization problem. The parameters were optimized to determine the angle of attack profile and the time to enter the altitude velocity reentry corridor. Then, using the quasi-equilibrium glide condition, the estimation form of the remaining flight time was analytically derived to satisfy accurately the cooperative time constraint. Using the remaining time-to-go and range-to-go, combined with the heading angle deviation corridor, the bank angle command was further calculated. Finally, the swarm intelligence optimization algorithm was used to optimize the design parameters to obtain the cooperative guidance trajectory satisfying the time constraint. Simulations showed that the analytical time reentry cooperative guidance algorithm proposed in this paper can accurately meet the time constraints and cooperative flight accuracy. Monte Carlo simulation experiments verified that the proposed algorithm demonstrates a robust performance.

1. Introduction

Hypersonic glide vehicles (HGVs) have the advantages of fast flight speeds and wide maneuvering ranges. They can effectively achieve the goal of one-hour strategic delivery to the world under the engagement condition, which has important strategic value [1,2]. With the further development of HGVs, various countries have begun to invest in anti-hypersonic technology research. However, the emergence and development of anti-hypersonic technology will weaken the maneuvering and reentry task-completion performance of a single HGV [3,4]. For conventional aircraft, multi-aircraft cooperative guidance technology effectively improves the performance of task-completion under the engagement condition. Therefore, in recent years, more and more scholars have focused on the research of multi-hypersonic glider cooperative guidance technology to ensure the rapid and accurate reentry advantage of HGVs [5,6].
Multi-hypersonic cooperative guidance technology requires high coordination in attack time, especially for high-value fixed targets or slow-moving targets. Time coordination can effectively break through the contested environment, achieve a certain saturation effect, and further improve the task-completion performance of HGVs [7,8]. Since the reentry maneuvering flight process of an HGV is subject to a variety of constraints, in addition to terminal constraints, state variable constraints, and control variable constraints, it is also necessary to meet “hard constraints” including heat flux rate, dynamic pressure, and overload [9,10]. In addition, the reentry flight is unpowered and cannot maintain a constant altitude and speed, which poses a certain challenge to the time-cooperative reentry guidance. The traditional cooperative guidance method of conventional aircraft with constant velocity assumption cannot be applied to the study of time-cooperative guidance of multi-hypersonic vehicles [3,10].
In recent years, some scholars have carried out research on the cooperative guidance of multi-hypersonic vehicle reentry and achieved particular results. Liang et al. [11] first studied the cooperative guidance problem of dual hypersonic gliding missiles. Yu et al. [12] proposed a phased cooperative guidance method that can satisfy both time and attack angle coordination. Similarly, Liu et al. [13] carried out the “two-stage” cooperative guidance of the glide phase-end guidance phase and proposed a time-cooperative guidance method in the glide phase. In the end guidance, an improved time-angle guidance law was adopted, considering the requirements of angle and time coordination. Qiao et al. [14] designed a two-layer cooperative guidance framework by using the common trajectory length as the coordination variable to realize the static coordination of multi-hypersonic vehicles. By improving the prediction–correction algorithm, Li et al. [15] continuously corrected the time and accuracy of the impact point and finally achieved a better time-consistent synergy effect. Although the cooperative guidance method based on predictive correction can ensure the accuracy of reentry guidance, it needs to predict the remaining range or remaining flight time in each guidance period to update the guidance command integrally, which requires a large number of calculations.
In addition, relevant scholars have introduced convex optimization methods into the study of hypersonic vehicle guidance problems. Zong et al. [16] proposed a variable trust region sequence convex programming algorithm, and an adaptive decision trust region radius accelerated the convergence speed of the algorithm and could complete the reentry trajectory planning online. Liu et al. [17] proposed an improved sequential convex optimization algorithm to solve the problem of precise control of the total reentry flight time to realize the time coordination problem during the glide phase. The convex optimization method has fast calculation speed and good real-time performance when dealing with the reentry guidance problem of a single aircraft. However, when solving the reentry cooperative guidance problem of multiple hypersonic vehicles, the penalty function term becomes complicated due to too many constraints, and the size of each coefficient is not easy to determine.
Furthermore, Fang et al. [18] proposed a time-controlled reentry guidance law based on a reinforcement learning strategy for online planning of roll angle symbols. Fang et al. [19] used neural networks and Gauss–Newton iterative optimization to adjust the width of the course angle corridor and designed a reentry cooperative guidance law that can achieve time control. Similarly, Zhou et al. [20] used the reinforcement learning method to optimize the inertial weights of an improved particle swarm optimization algorithm to improve the efficiency of collaborative online planning. Zhang et al. [21] proposed a reentry cooperative guidance algorithm based on analytical calculations and a deep Q network algorithm, which designs the online bank angle symbol decision-maker of lateral intelligent maneuver guidance. Such algorithms generally need to have an offline learning process to be able to play a better online role, which is inconvenient for practical applications in engineering.
Analytical methods have gradually attracted attention in the field of hypersonic reentry guidance because they can quickly solve the guidance command [22,23], establish a relationship between the reentry range, energy, and bank angle based on the quasi-equilibrium glide condition (QEGC), and obtain reentry guidance command. Based on the QEGC, Guo et al. [24] proposed a reentry guidance method that can analytically predict the remaining flight time and analyze the relationship between the remaining flight time, the remaining range, and the terminal speed. Yu et al. [25] proposed an analytical multi-aircraft cooperative reentry guidance method, which can quickly solve the predicted flight time, but this method requires the aircraft to have a specific lift-to-drag ratio form, so it has certain limitations. Guo et al. [26] designed the altitude–velocity profile, used a numerical algorithm to correct the profile design parameters, analytically obtained the guidance command, and finally increased the time controllable range to achieve time reentry cooperative guidance. Through reasonable simplification, analytical methods can be used to derive the reentry guidance command analytically with only a small amount of calculation, and they have the potential to be applied to the cooperative guidance problem of multi-hypersonic vehicles.
Based on the above review, this paper proposes a time-cooperative reentry guidance method for multi-hypersonic gliders based on a swarm optimization algorithm and an analytical algorithm. First, the reentry flight is divided into the initial reentry phase and the equilibrium glide phase, and the angle of attack (AOA) profile is parameterized. Considering the timing of entering the equilibrium glide phase, bank angle parameters are designed, and the design parameters are optimized by the group optimization algorithm. Then, an analytical calculation method of the remaining time and the remaining range is derived by using the QEGC, and the terminal velocity expectation value is continuously corrected online to realize the reentry guidance satisfying the time constraint. On this basis, the reentry time-cooperative guidance task of multi-hypersonic gliders is completed. Simulation experiments of cooperative flying to fixed targets and low-speed simple moving targets show that the proposed algorithm can accurately meet the time constraints. Monte Carlo simulation experiments showed that the proposed algorithm has better anti-interference performance.
The main innovations of this paper are as follows:
(1)
A reentry cooperative guidance algorithm that can meet the specified time is proposed. Within the feasible arrival time range, multiple aircraft can reach the target area within the specified cooperative time.
(2)
The guidance command can be analytically obtained by using the bi-layer optimization idea, which improves the computational efficiency and can quickly obtain the bank angle command in the guidance period.
(3)
The simulation results proved the effectiveness of the proposed algorithm, especially for the cooperative guidance of multi-aircrafts for simple dynamic targets. The results of the Monte Carlo simulation also proved that the proposed algorithm is robust.
The rest of this paper is organized as follows. Section 2 introduces the time-cooperative reentry problem formulation. The novel analytical time-constrained reentry guidance is described in Section 3. Section 4 describes the cooperative guidance strategy of multiple aircraft. A number of series simulations are conducted to verify the advantages of the proposed method in Section 5, and the conclusions are drawn in Section 6.

2. Time-Cooperative Reentry Problem for Multi-Hypersonic Vehicles

2.1. Reentry Motion Equation

The reentry motion equations of multi-hypersonic glide vehicles (MHGVs) are as follows:
r ˙ i = V i sin γ i θ ˙ i = V i cos γ i sin ψ i r i cos ϕ i ϕ ˙ i = V i cos γ i cos ψ i r i V ˙ i = D i m i g i sin γ i γ ˙ i = L i cos σ i m i V i ( g i V i V i r i ) cos γ i ψ ˙ i = L i sin σ i m i V i cos γ i + V i r i cos γ i sin ψ i tan ϕ i .
where, r i represents the distance from the center of mass of the ith aircraft to Earth’s center, θ i and ϕ i are the longitude and latitude of the aircraft, respectively, V i is the aircraft velocity, γ i and ψ i are the corresponding flight path angle and heading angle, respectively, L i and D i are the resistance and lift, respectively, σ i is the bank angle, which forms the control quantity together with the AOA α i , m i is the aircraft mass, and g i is the corresponding gravitational acceleration.
The calculations of resistance and lift are as follows:
L i = 0.5 ρ i V i 2 C L i S r i D i = 0.5 ρ i V i 2 C D i S r i .
where ρ i is the atmospheric density, h i = r i R e , and R e is the average radius of the Earth, h s = 7100 , S r i is the reference area for the aircraft, C L i and C D i are the lift coefficient and drag coefficient of the aircraft, respectively. This paper adopts the form of the lift coefficient and drag coefficient given in Reference [27].

2.2. Constraint Conditions

To ensure the safety of the reentry maneuvering flight of a hypersonic vehicle, each vehicle needs to meet the hard constraints of heat flux rate, dynamic pressure, and overload during the reentry flight. The three constraints can be expressed as follows:
N l = L 2 + D 2 / m q = 0.5 ρ V 2 Q ˙ = K Q ρ 0.5 V 3.15 .
where N l , q , and Q ˙ denote the overload, dynamic pressure, and heat flux rate, respectively, and K Q = 7.9686 × 10 5   Js 2 / ( m 3 . 5 kg 0 . 5 ) is the heat flux constant.
In addition, when the HGV enters the glide phase, it also needs to satisfy the QEGC. The specific form is as follows:
L m cos σ + ( V 2 r g ) = 0 .
The reentry flight control constraint can be written as below:
| α | α max 0 | σ | σ max 0 .
where the subscript “max” denotes the maximum value of the control. The control quantity can be written in vector form as u = [ α , σ ] T .
The purpose of hypersonic reentry trajectory optimization is to control the aircraft to reach the specified area or the specified target point. In this paper, the mission target is specified as the terminal area, and the terminal constraint is recorded as follows:
| r ( t f ) r f | Δ r | S ( t f ) S f | Δ S | V ( t f ) V f | Δ V .
where t f is the terminal time, the subscript “f” denotes the expected state value at the terminal time, and Δ r , Δ S , and Δ V denote the acceptable error of the altitude and range at the terminal time, respectively.
In addition, the cooperative reentry problem studied in this paper considers the attack time consistency constraint:
t f , i = t f , i = 1 , 2 , , n .

2.3. Objective Function

An appropriate objective function is designed according to the hypersonic reentry mission requirements. In the multi-hypersonic vehicle reentry cooperative guidance problem, it is necessary to meet the same attack time and hit the target accurately to ensure the saturation effect. Here, the goal is to minimize the range error; the specific form is as follows:
min J ( u ) = | S ( t f ) S f | .
In summary, the hypersonic reentry trajectory optimization problem is to find the optimal control variable profile, so that Equation (8) is the minimum objective function, and the constraints of Equations (1), (3), and (5)–(7) are satisfied.

3. Analytical Time-Constrained Reentry Guidance

Hypersonic vehicle reentry flight can be divided into the initial reentry phase, the quasi-equilibrium glide phase, and the terminal energy management phase. The hypersonic reentry time cooperative guidance studied in this paper mainly refers to the consistency of the cooperative arrival time from the start of reentry to the end energy management phase. The hypersonic reentry guidance command solution can actually be seen as finding a suitable AOA and bank profile, accurately hitting the target while optimizing the performance index. Compared with the traditional single-aircraft guidance problem, the reentry cooperative guidance of multi-hypersonic vehicles increases the constraint of time coordination.

3.1. Angle of Attack Profile Design

When the hypersonic reentry trajectory is optimized, the AOA profile is designed as a piecewise linear function related to the velocity. The calculation form is as follows:
α = α m , V 1 < V V 0 ( α r α m ) ( V 2 V 1 ) ( V V 1 ) + α m , V 2 < V V 1 α r , V f < V V 2 .
where V 0 is the velocity of the reentry time, α m is the maximum angle of attack, and α r is the AOA corresponding to the maximum lift–drag ratio; the reasonable AOA profile is determined and obtained by optimization.

3.2. Parametric Design of the Initial Reentry Phase Bank Angle Profile

The reentry guidance of a hypersonic vehicle can be divided into longitudinal guidance and lateral guidance. Longitudinal guidance can design the bank angle amplitude, and lateral guidance can determine the bank angle symbol through the heading angle deviation corridor to ensure that the vehicle points to the target point.
When designing the longitudinal trajectory, the reentry process can be divided into the initial reentry phase and the quasi-equilibrium glide phase. The initial reentry phase is to ensure the state of the reentry vehicle smoothly enters the drag acceleration–velocity reentry corridor, and meet the QEGC (Equation (4)) to prepare for the glide phase. The drag acceleration–velocity reentry corridor can be obtained by the path constraints of heat flux, dynamic pressure, overload, and the QEGC. The drag acceleration is recorded as a D , the specific constraints of which are as follows:
a D Q ˙ max S r 2 K Q m C D ρ 0.5 V 1.15 a D q max S r m C D a D N max g 0 ( L / D ) 2 + 1 a D D L ( g V 2 r ) .
During the initial reentry phase, the atmosphere is thin, the path constraint is small, and the aerodynamic control force is limited. Therefore, in order to simplify the calculations, the bank angle of this flight process can be set to a constant value, σ 0 , until it reaches the conversion point of the quasi-equilibrium glide phase. The bank angle symbol at the initial time of reentry can be determined by:
s i g n ( σ 0 ) = s i g n ( Δ ψ 0 ) .
where Δ ψ 0 is the deviation between the heading angle and the line-of-sight direction to the target point, Δ ψ 0 = ψ 0 ψ l o s , ψ 0 is the heading angle at the reentry time, and ψ l o s is the line-of-sight azimuth of the target point. Based on the AOA profile given in Section 2.1, the bank angle and state value at the initial moment, together with the state quantity and the control quantity in the initial reentry phase can be obtained by continuous integration until the aircraft enters the reentry corridor and satisfies the QEGC. That is, the transition point from the initial reentry phase to the quasi-equilibrium glide phase is obtained, and the transition condition is as follows:
d r d V ( d r d V ) QEGC < δ 1
where δ 1 is a small constant and can be derived from Equations (1) and (7) as below:
d r d V = V sin γ D / m g sin γ d r d V QEGC C L S r cos σ 0 ρ V + 2 m V / r m V 2 / r 2 + ρ V 2 C L S r cos σ c / 2 h s
In order to ensure that the control quantity is continuous during the conversion from the initial reentry phase to the quasi-equilibrium glide phase, the bank angle should also meet the following:
σ 0 σ QEGC < δ 2
where σ Q E G C is the size of the bank angle obtained from the QEGC, and δ 2 is a small constant value. Through continuous iteration and judgment, the state and control quantity of the conversion point can be obtained.

3.3. Design of the Bank Angle Profile of the Gliding Phase by Considering Time Constraint

After the transition point of the reentry process, the hypersonic reentry glider enters the quasi-equilibrium glide phase. The flight process not only needs to meet the drag-velocity (D–V) reentry corridor at all times, but also needs to meet the QEGC. In order to ensure that the aircraft meets the time constraints and accurately hits the target point, the remaining flight time and the remaining flight range can be estimated based on the QEGC [26].
Equation (7) can be transformed into:
m = L cos σ g V 2 / r
Combining Equations (1) and (15), the following can be obtained:
d V d t = 1 r D L g r V 2 cos σ
d t = r L D cos σ d V g r V 2
Since the flight altitude is much smaller than the radius of Earth, R e / r 1 , combining with Equation (17), the remaining time estimate can be obtained by integrating both sides at the same time:
t t f d t = V V f R e L D cos σ d V g 0 R e V 2
T g o = R e 2 g 0 L D cos σ ln g 0 R e + V g 0 R e V g 0 R e V f g 0 R e + V f
If the flight time constraint and terminal speed are satisfied, then we have the following:
T g o * = R e 2 g 0 L D cos σ ln g 0 R e + V g 0 R e V g 0 R e V f * g 0 R e + V f *
and
σ g = arccos T g o * T g o 0
where T g o 0 is the value of Equation (20) when the bank angle is 0.
The range-to-go is the distance from the current point to the landing point, and the change rate of the range-to-go obtained from [23] is as follows:
d s d t = R e r V cos γ
Similarly, by bringing Equation (17) into Equation (22), we obtain as below:
d s = R e L D cos σ V d V g 0 R e V 2
By integrating both sides at the same time, the remaining range estimation can be obtained as follows:
s s f d s = V V f R e L D cos σ V d V g 0 R e V 2
s g o = R e 2 L D cos σ ln g 0 R e V f 2 g 0 R e V 2
The relationship between the time-to-go and the range-to-go obtained by Equations (19) and (25) is as follows:
T g o s g o = 1 g 0 R e ln g 0 R e + V g 0 R e V g 0 R e V f g 0 R e + V f ln g 0 R e V f 2 g 0 R e V 2
When the total flight time and the target point are known, and letting a = g 0 R e , Equation (24) can be transformed into that below:
a T * g o s * g o = ln a + V a V a V f a + V f ln a V f a V a + V f a + V
There is only one variable in the above equation, if the appropriate V f is found, and the flight time constraint and the range constraint can be satisfied at the same time. Then Equation (27) can be transformed into the following:
f ( V f ) = a * T g o * ln a V f a V a + V f a + V s g o * ln a + V a V a V f a + V f = 0
In this paper, the particle swarm optimization algorithm is used to solve Equation (28), and the required terminal velocity is recorded as V f ¯ . Combined with Equation (21), the amplitude of the bank angle command that satisfies both the flight time constraint and range constraint is as follows:
σ g , c m d = arccos T g o * T g o 0 ( V f ¯ )
In summary, the glide phase profile can be obtained, and the time constraint and range constraint can be satisfied. After obtaining the bank angle amplitude, a comparison with the maximum bank angle amplitude is made, so that the analytical bank angle amplitude is limited to the allowable range of the control amount.

3.4. Determination of the Bank Angle Symbol Based on the Heading Angle Deviation Corridor

The bank angle profile designed in this paper is divided into two parts, the initial reentry section and the glide section, which can meet the flight time constraint from the initial reentry time. Here, the heading angle error corridor is used to confirm the roll angle symbol. The heading angle error corridor piecewise function is expressed as follows:
Δ ψ t h = 10 , 6000 < V V 0 15 , 3000 < V 6000 7 1200 ( V 3000 ) + 15 , 1800 < V 3000 8 , V V f
where Δ ψ t h is the boundary constraint of the heading angle error corridor in units of degrees (°), and V 0 and V f represent the reentry time and the expected terminal velocities, respectively. When the deviation between the heading angle and the line-of-sight angle Δ ψ exceeds the boundary of the heading angle error corridor during the flight of the HGV, the bank angle is reversed. The reverse strategy is as follows:
s i g n ( σ i ) = 1 , Δ ψ | Δ ψ t h ( V ) | s i g n ( σ i 1 ) , Δ ψ ( | Δ ψ t h ( V ) | , | Δ ψ t h ( V ) | ) 1 , Δ ψ | Δ ψ t h ( V ) |
where Δ ψ = ψ ψ l o s is the deviation value of the heading angle and line-of-sight angle.
In summary, the size and symbol of the bank angle can be obtained, that is, the bank angle profile can be calculated.

4. Multi-HGV Time Coordination Strategy

Multi-aircraft cooperative guidance requires multiple flights to reach the target point near the specified flight time under the coordination of the system guidance strategy. Using the trajectory optimization method [28], the flight time range of each aircraft is obtained. Only when there is an intersection within the time adjustment range of each aircraft, can the cooperative reentry flight time exist and the cooperative reentry flight be realized. The desirable cooperative flight time is as follows:
T min T c T max T min = max ( T min , 1 , T min , 2 , , T min , n ) T max = min ( T max , 1 , T max , 2 , , T max , n )
where T min , n is the minimum flight time of the nth aircraft, T max , n is the maximum flight time of the nth aircraft, T min is the minimum value of the adjustable range of the flight time, T max is the maximum adjustable range of the flight time, and T c is the final cooperative flight time.
It can be seen from Section 2 that the algorithm in this paper has three design parameters that need to be optimized. After starting the reentry mission, an improved sparrow optimization algorithm proposed by the author in a previous work [28] is used to generate the profile parameters of the AOA and bank angle, and the AOA command is obtained by Equation (9). When each aircraft enters the initial reentry phase, it maneuvers at a fixed bank angle until it satisfies Equation (12) and enters the glide phase. When flying in the gliding phase, the terminal speed that can simultaneously satisfy the cooperative time constraint and the range constraint is obtained by Equation (28), and then the bank angle command is calculated by Equation (29). Finally, the bank angle symbol is determined by the heading angle deviation corridor. The analytical time-cooperative guidance strategy of multi-HGVs proposed in this paper is shown as Figure 1:

5. Simulation and Result Analysis

In this paper, the idea of bi-level optimization is adopted. First, the outer layer optimizes the designed parameters V 1 , V 2 , and σ 0 , and the inner layer optimizes the expected terminal velocity of each guidance cycle that satisfies the range constraint and time constraint, and finally obtains the AOA profile and the bank angle profile that satisfy the cooperative guidance mission. In this paper, five simulation experiments were carried out to verify the effectiveness of the proposed algorithm:
(1)
For a single aircraft, we ran simulations consisting of three different flight time constraints against fixed target reentry.
(2)
Starting from the same reentry point interval, time cooperative simulations of launching multiple aircrafts to hit fixed targets were run in turn.
(3)
The time-cooperative simulations of multiple aircrafts striking fixed targets at different reentry points at the same time were run.
(4)
Starting from different reentry points at the same time, time-coordination simulations of multiple aircrafts attacking moving targets were made.
(5)
Finally, we used a Monte Carlo simulation experiment to test the robustness of our results.
Here, the CAV-H hypersonic vehicle model is used to carry out the reentry guidance simulations of HGV. We use the aerodynamic model of Reference [27], where the mass is 907.2 kg, and the reference area is 0.484 m 2 , the upper limit of heat flux rate in the path constraint is set to 1200 kW/m2, the upper limit of dynamic pressure is set to 400 kPa, the upper limit of overload is set to 6, and the guidance period is 1 s. The simulation environment CPU is Intel i7 9700 processor, whose main frequency is 3 GHz.

5.1. Multi-Time Constraint Reentry Guidance Simulation

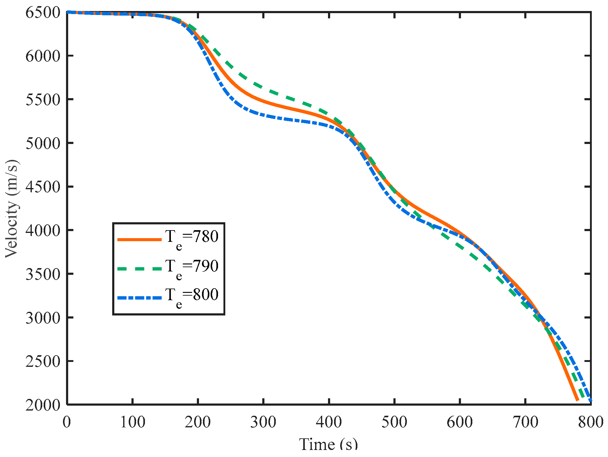
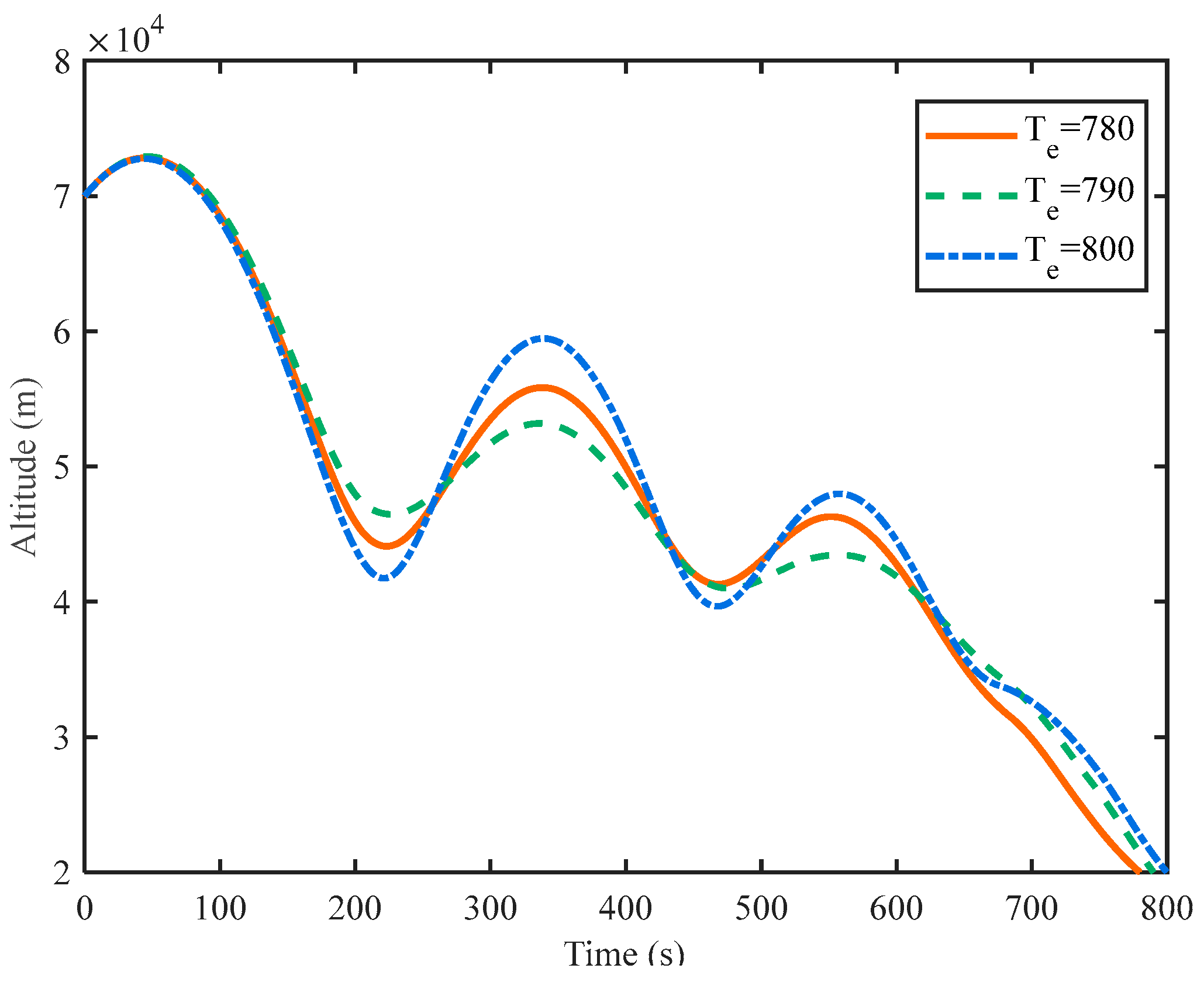
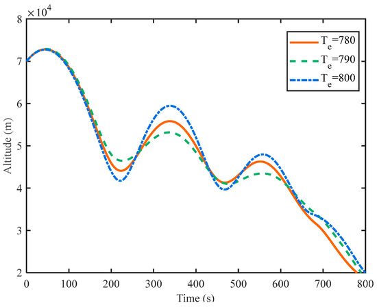
In order to verify the effectiveness of the reentry guidance algorithm of the time-resolved hypersonic glide vehicle, this section sets a different expected time and examines the limits of each design parameter in this paper as shown in Table 1; Δ r , Δ V , and Δ S are set to 1000 m, 100 m, and 30 km, respectively. The initial terminal conditions of the experimental state quantity in this section are set as scene 1 in Table 2, and the expected times are 780 s, 790 s, and 800 s, respectively.
Figure 2, Figure 3, Figure 4, Figure 5, Figure 6 and Figure 7 show the simulation results of the proposed algorithm under three expected time constraints. As shown in Figure 2, the terminal height error under the three simulation experiments is within the set threshold, and the average altitude error is 2.47 m, which meets the terminal constraint requirements. Figure 3 shows the change in latitude and longitude. It can be seen that the three simulation trajectories can reach the target point accurately. The average terminal range error is 7.09 km, which is less than the terminal range error threshold, indicating that the proposed algorithm can meet the guidance accuracy requirements. Figure 4 shows the change in velocity with time. At the expected terminal time constraint moment, the speed of the three simulation experiment terminal moments can meet the error threshold, and the average terminal velocity error is 40.95 m/s.
Figure 5 shows that under the three specified expected time conditions, the trajectory obtained by the algorithm can enter the reentry corridor, that is, it can better meet the path constraints and ensure the safety of the reentry flight. Figure 6 and Figure 7 show the changes in the AOA profile and bank angle profile respectively, while the change in AOA velocity profile conforms to the piecewise function form of parametric design. The number of tilting angle reversals is fewer, which can reduce the pressure of the actuator. The error between the stop time of the three experimental simulations and the corresponding specified expected time is 0.1 s, 0.05 s, and 0.05 s, respectively, indicating that the proposed algorithm can better meet the time constraints.
In summary, the reentry guidance method of HGV based on the time analysis proposed in this paper can effectively complete the task of specifying the expected terminal time.

5.2. Multi-Aircraft Interval Launch Time Cooperative Guidance Simulation

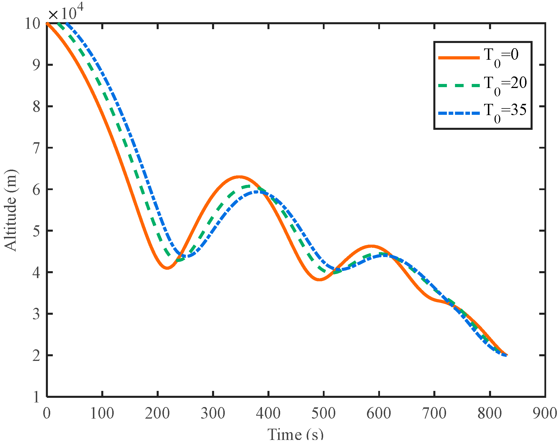
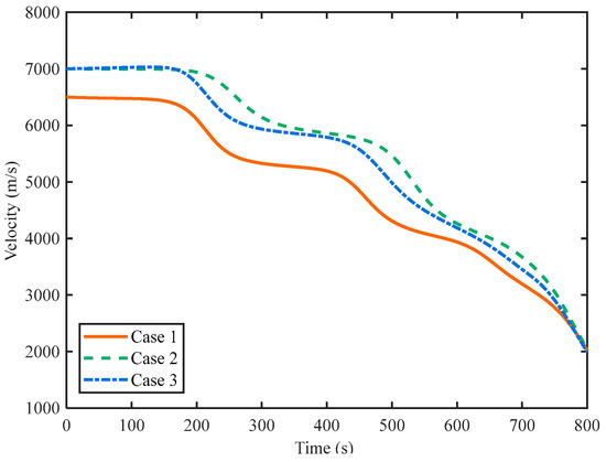
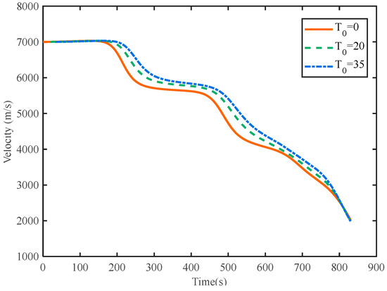
In order to show the effectiveness of the method in this paper for the time-cooperative guidance problem of multiple flight vehicle, the simulation experiment parameters of scene 3 in Table 2 are taken as an example to carry out the experiment of three aircraft striking the target cooperatively with interval launch time. Taking the first aircraft reentry time as the time zero point, the initial reentry times of the three aircraft are 0 s, 20 s, and 35 s, respectively, and the expected cooperative terminal time is 840 s.
Table 3 shows the comparison of the design parameter values, terminal constraint errors, and cooperative time errors obtained by the algorithm for the time-interval reentry guidance simulation experiments of the three aircraft. It is found that the algorithm can satisfy the time constraint well, and the flight time errors are 0.2 s, 0.35 s, and 0.4 s, respectively.
Figure 8, Figure 9 and Figure 10 show the changes in altitude, longitude, and velocity obtained by the simulation experiment. It can be seen that the three aircraft can accurately reach the target point at the time of cooperative time constraint after the interval time launch, and the terminal constraint error does not exceed the threshold. Since the initial and terminal state conditions of the three aircraft are consistent, the trajectory and state changes obtained by the algorithm in this paper are the same.
Figure 11 shows that the three aircraft can successfully enter the drag acceleration–velocity reentry corridor based on the amplitude of the initial reentry bank angle obtained by the algorithm in this paper, that is, they can meet the path constraints and the QEGC to ensure the safety of the aircraft. Figure 12 and Figure 13 show the control quantity of the three aircraft changing with the speed. The AOA profile meets the design expectation, and the two switching velocities meet the upper and lower limits of the parameters in Table 1. The changing trend of the bank angle profile is consistent, and the number of reversals is fewer.
In summary, the multi-aircraft time-resolved reentry guidance method proposed in this paper is effective for the cooperative reentry guidance problem of the same starting point interval launch time.

5.3. Time Cooperative Guidance Simulation Experiment of Multi-Hypersonic Vehicle for a Fixed Target

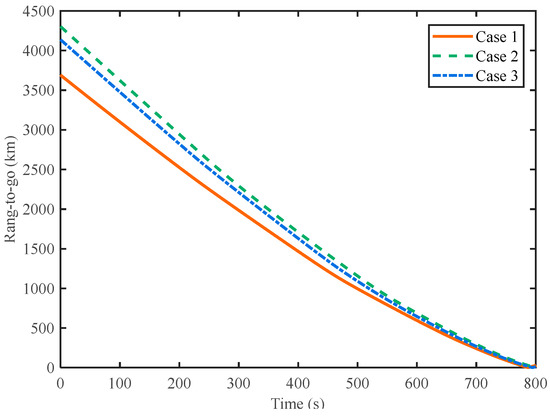
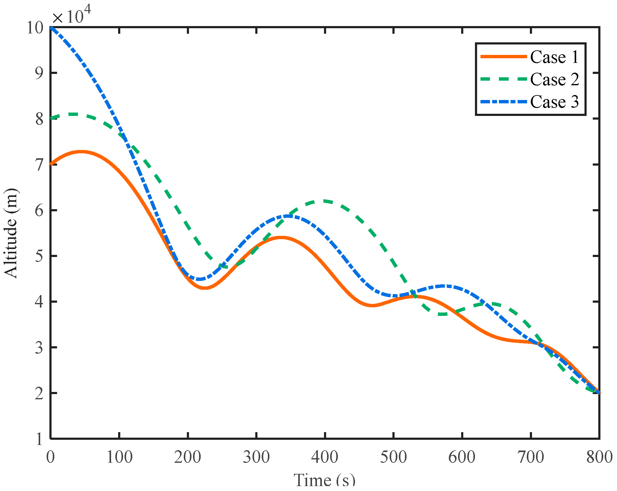
To verify the effectiveness of the proposed algorithm, this section shows multi-aircraft reentry guidance experiments for fixed targets, reentry from different starting points, and time coordination. The experimental scene is set as in Table 2, and the expected cooperative flight time is 800 s.
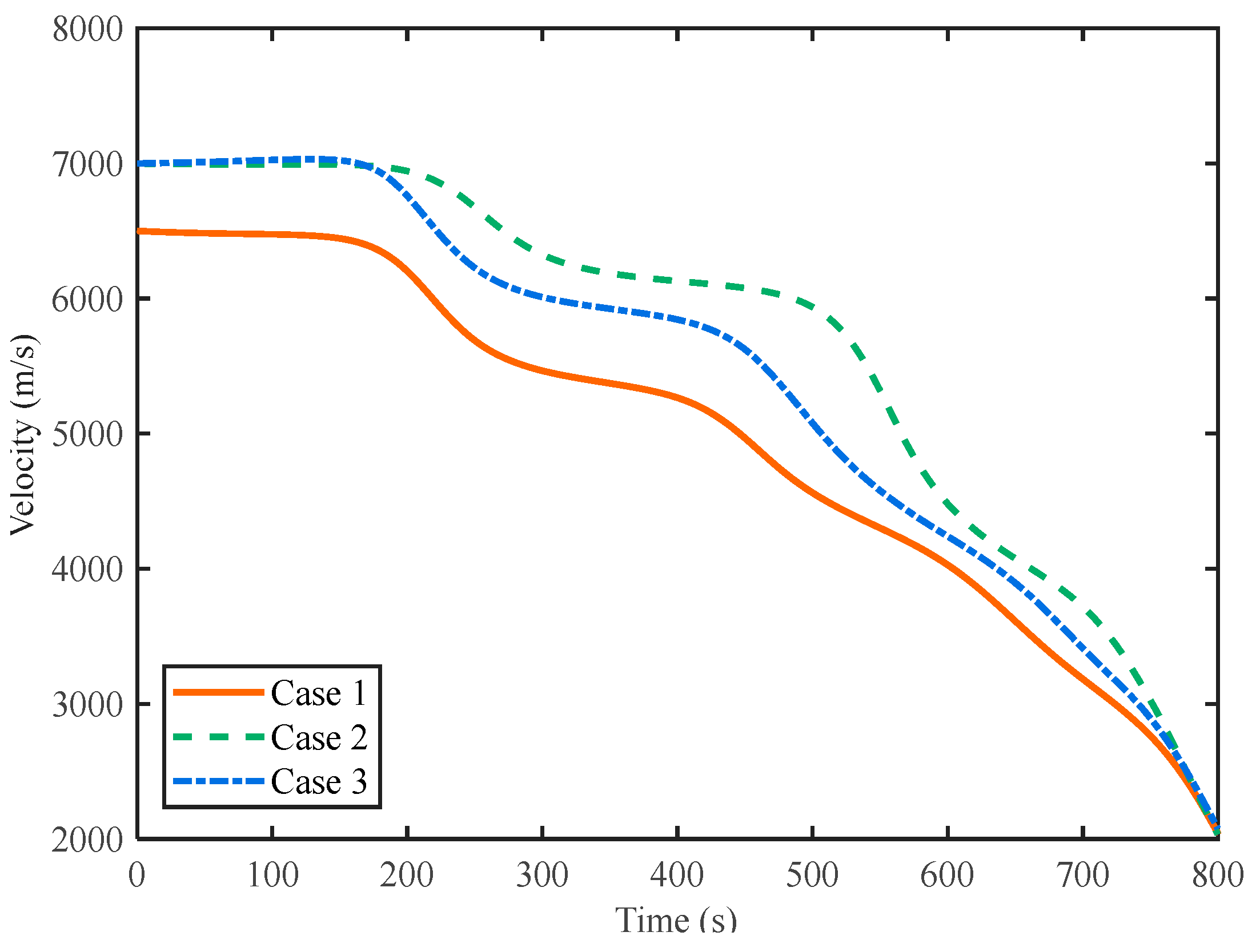
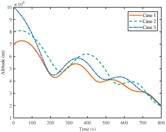
Figure 14, Figure 15 and Figure 16 show the variation of altitude, latitude, longitude, and velocity obtained by the three scene-simulation experiments. It can be seen that under the solution of the proposed algorithm, the terminal state constraints and time constraints can be satisfied. The three aircraft can accurately reach the target point in the expected cooperative flight time.
Figure 17 shows the change in the remaining range of the three aircraft with time. The terminal remaining ranges of the aircraft in the three scenarios are 11.05 km, 1.44 km, and 27.48 km, respectively, which can meet the allowable error of the terminal remaining range. Figure 18 shows that the path constraints of the three aircraft are all over the upper limit threshold, indicating the safety of the flight trajectory. Correspondingly, Figure 19 shows that the three aircraft can smoothly enter the resistance acceleration reentry corridor.
Figure 20 and Figure 21 show the change in the control quantity of the three aircraft with the velocity. The AOA profile conforms to the designed piecewise function, and the speed switching point meets the requirements of Table 1. The bank angle profile has an obvious sign reversal phenomenon, which shows that the heading angle deviation corridor used in this paper can play an important role.
In summary, the multi-aircraft analytical time reentry cooperative guidance method proposed in this paper can deal with the problem of cooperative target guidance at different launch points, and the time constraint can be accurately satisfied.

5.4. Time Cooperative Guidance Simulation Experiment of Multi-Hypersonic Vehicle for a Moving Target

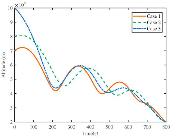
This section carries out cooperative guidance simulation experiments for simple moving targets. The initial state of the three aircraft is set in Table 2, and the expected cooperative flight time is set to 800 s. The experiment assumes that each aircraft can sense the real-time position of the target. After the initial 400 s of the flight simulation, the target begins to move in the horizontal plane in the following manner:
θ ( t ) = 32 0.01 * ( t 400 ) ϕ ( t ) = 20 + 0.01 * ( t 400 )
where θ ( t ) and ϕ ( t ) are the real-time latitude and longitude of the target point, respectively.
Figure 22, Figure 23 and Figure 24 show the cooperative guidance experimental results of the proposed algorithm for simple moving targets. It can be seen that the altitude and velocity terminal constraints are well satisfied at the expected cooperative time. Figure 23 shows the three-dimensional reentry trajectory of the three aircraft and the trajectory of the target. The aircraft can reach the vicinity of the moving target at the expected time and reach the final handover area to prepare for the subsequent terminal guidance phase.
Figure 25 and Figure 26 show the changes in the control quantity of the simulation experiment in this section. It can be seen that the changes in the control quantity can meet the constraints and meet the design expectations. The reverse sign strategy of the bank angle plays a role, and the number of bank angle reversals in this section is fewer, which reduces the pressure of the actuator when the aircraft pursues the moving target.
In summary, the analytical time cooperative reentry guidance algorithm proposed in this paper has certain theoretical significance for the cooperative guidance problem of moving targets such as Equation (33).

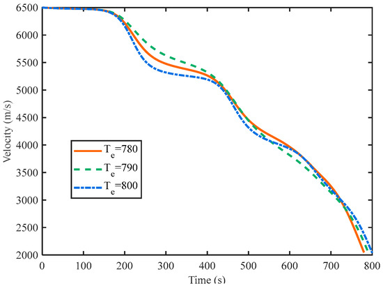
5.5. Multi-Hypersonic Vehicle Time Cooperative Guidance Monte Carlo Simulation Experiment

In order to verify the robustness of the time-resolved reentry guidance method proposed in this paper, Monte Carlo simulation experiments are displayed in this section. The initial and terminal constraints of the experiment are set as Case 3 in Table 2, the expected time is set to 830 s, the disturbance factors obeying the normal distribution are set as Table 4, and 120 Monte Carlo simulations are performed.
Figure 27 shows the velocity changing with time obtained by 120 Monte Carlo simulation experiments. It can be seen that under the initial values of the six states, quantities are disturbed to varying degrees, and the terminal velocity obtained by the improved algorithm proposed in this paper is about 2000 m/s. The average arrival time error of 120 shooting experiments is 0.038 s. Figure 28 shows the latitude and longitude changes obtained and the green pentagram is the expected target point. It can be seen that the 120 shooting experiments have basically the same latitude and longitude changes and can reach the target point more accurately.
Figure 29 shows the terminal position obtained by the experiment. The green pentagram in Figure 29 is the expected target point, and the circle is the range of terminal position error that it is set to 30 km. It can be seen that the terminal error of 120 simulations is less than 30 km, which is within the allowable range of the set terminal error. In this paper, the experiment set the terminal target longitude of 32°, latitude of 20°, and the longitude error and the latitude error are not exceeded, while the landing point is more concentrated. The size interval distribution of the terminal error value shown in Figure 30 shows that more than 80% of the landing points are within 20 km, and the average terminal error of 120 simulation experiments is 17.73 km. Figure 31 shows the moment when the extreme point of the path constraint appears in the Monte Carlo simulation experiment. It can be seen that in the presence of disturbance, the trajectory heat flux rate, dynamic pressure, and overload obtained by the algorithm still exceed the upper limit of the constraint, and a safe reentry trajectory can be obtained.
In summary, the improved time-resolved hypersonic vehicle reentry guidance algorithm proposed in this paper has good robustness.

6. Conclusions

(1)
A cooperative guidance algorithm for HGV reentry is proposed, which combines swarm intelligence optimization and analytical method. The guidance command can be obtained quickly, and the reentry flight can accurately satisfy the time cooperative constraint, where the average time error does not exceed 0.5 s.
(2)
Reentry guidance mission simulation experiments show that the algorithm proposed can better solve the problem of time cooperative guidance for the same reentry point of sub-wave launching aircraft and launching aircraft in different locations. It also has a certain adaptability to the time-cooperative guidance of moving targets and has a good engineering application value.
(3)
Monte Carlo simulation results show that the proposed analytical time reentry guidance algorithm for HGVs has a good anti-interference performance, where the average landing error is 17.73 km.
In this paper, the cooperative consistency constraint of attack angle was not studied. In the next work, the proposed algorithm will be applied to the cooperative task of attack angle consistency constraint for dynamic targets.

Author Contributions

Conceptualization, H.X. and G.C.; methodology, H.X.; software, X.L.; validation, H.X., X.L. and H.W.; writing—original draft preparation, H.X.; writing-review and editing, Y.F. and Y.W.; supervision, G.C.; funding acquisition, G.C. All authors have read and agreed to the published version of the manuscript.

Funding

This research was funded by the National Natural Science Foundation of China (Grant No. 61773387).

Institutional Review Board Statement

Not applicable.

Informed Consent Statement

Not applicable.

Data Availability Statement

All data generated or analyzed during this study are included in this published article.

Conflicts of Interest

The authors declare no conflict of interest.

References

  1. Hang, C.Q.; Guo, H.F.; Ding, D.L. A survey of trajectory optimization and guidance for hypersonic gliding vehicle. J. Astronaut. 2014, 35, 369–379. [Google Scholar]
  2. Zhang, Y.L.; Xie, Y. Review of trajectory planning and guidance methods for gliding vehicles. Acta Aeronaut. Astronaut. Sin. 2020, 41, 45–57. [Google Scholar]
  3. Li, Y.T.; Wu, Y.; Qu, X.J. Chicken swarm-based method for ascent trajectory optimization of hypersonic vehicles. J. Aerosp. Eng. 2017, 30, 04017043. [Google Scholar] [CrossRef]
  4. Jamilnia, R.; Naghash, A. Optimal guidance based on receding horizon control and online trajectory optimization. J. Aerosp. Eng. 2013, 26, 786–793. [Google Scholar] [CrossRef]
  5. Tian, B.L.; Li, Z.Y.; Wu, S.Y.; Zong, Q. Reentry trajectory optimization, guidance and control methods for reusable launch vehicles review. Acta Aeronaut. Astronaut. Sin. 2020, 41, 624972. [Google Scholar]
  6. Dong, C.Y.; Cai, Y.L. Reentry trajectory optimization for hypersonic glide vehicle with flexible initial conditions. J. Aerosp. Eng. 2017, 30, 04017033. [Google Scholar] [CrossRef]
  7. Liu, S.Y.; Liang, Z.X.; Ren, Z.; Li, Q. Review of reentry guidance methods for hyper sonic gliding vehicles. Chin. Space Sci. Technol. 2016, 36, 1–13. [Google Scholar]
  8. Jiang, P.; Guo, D.; Han, L.; Li, Q.; Ren, Z. Trajectory optimization for cooperative reentry of multiple hypersonic glide vehicle. Acta Aeronaut. Astronaut. Sin. 2020, 41, 723776. [Google Scholar]
  9. Gao, Y.; Cai, G.B.; Xu, H.; Yang, X.; Zhang, S. Reentry maneuver guidance for hypersonic glide vehicles under virtual multi-tentacle detection. Acta Aeronaut. Astronaut. Sin. 2020, 41, 623703. [Google Scholar]
  10. Mu, L.X.; Wang, X.M.; Xie, R.; Zhang, Y.; Li, B.; Wang, J. A survey of the hypersonic flight vehicle and its guidance and control technology. J. Harbin Inst. Technol. 2019, 51, 1–14. [Google Scholar]
  11. Liang, Z.; Yu, J.; Ren, Z.; Li, Q. Trajectory planning for cooperative flight of two hypersonic entry vehicles. In Proceedings of the 21st AIAA International Space Planes and Hypersonic Technologies Conference, Xiamen, China, 6–9 March 2017. [Google Scholar]
  12. Yu, J.L.; Dong, X.W.; Li, Q.D.; Ren, Z.; Lv, J. Cooperative guidance strategy for multiple hypersonic gliding vehicles system. Chin. J. Aeronaut. 2020, 33, 990–1005. [Google Scholar] [CrossRef]
  13. Liu, C.; Liu, J.T.; Nie, W.T.; Liu, K. Research on design method of dual-stage cooperative dive guidance law for multi-hypersonic vehicles. Tactical Missile Technol. 2022, 4, 41–49. [Google Scholar] [CrossRef]
  14. Qiao, H.; Li, S.Y.; Li, X.G. Static cooperative reentry guidance method for multi-hypersonic vehicles. J. Astronaut. 2020, 41, 541–552. [Google Scholar]
  15. Li, Z.H.; He, B.; Wang, M.H.; Lin, H.; An, X. Time-coordination entry guidance for multi-hypersonic vehicles. Aerosp. Sci. Technol. 2019, 89, 123–135. [Google Scholar] [CrossRef]
  16. Zong, Q.; Li, Z.Y.; Ye, L.Q.; Tian, B. Variable trust region sequential convex programming for RLV online reentry trajectory reconstruction. J. Harbin Inst. Technol. 2020, 52, 147–155. [Google Scholar]
  17. Liu, Z.; Lu, H.R.; Zheng, W.; Wen, G.; Wang, Y.; Zhou, X. Rapid time-coordination trajectory planning method for multi-glide vehicles. Acta Aeronaut. Astronaut. Sin. 2021, 42, 524497. [Google Scholar]
  18. Fang, K.; Zhang, Q.Z.; Ni, K.; Cui, L. Reentry guidance law with flight time constraint. J. Harbin Inst. Technol. 2019, 51, 90–97. [Google Scholar]
  19. Fang, K.; Zhang, Q.Z.; Ni, K.; Cheng, L.; Huang, Y. Time-coordinated reentry guidance law for hypersonic vehicle. Acta Aeronaut. Astronaut. Sin. 2018, 39, 202–217. [Google Scholar]
  20. Zhou, H.Y.; Wang, X.G.; Shan, Y.Z.; Zhao, Y.L.; Cui, N.G. Synergistic path planning for multiple vehicles based on an improved particle swarm optimization method. Acta Autom. Sin. 2020, 46, 1–7. [Google Scholar]
  21. Zhang, W.Q.; Yu, W.B.; Li, J.L.; Chen, W. Cooperative reentry guidance for intelligent lateral maneuver of hypersonic vehicle based on downrange analytical solution. Acta Armamentarii 2021, 42, 1400–1411. [Google Scholar]
  22. Zhou, L.; Zhang, H.B. An analytical predictor-corrector guidance method designed for spacecraft reentry with short range. J. Beijing Univ. Aeronaut. Astronaut. 2021, 47, 398–405. [Google Scholar]
  23. Wang, X.; Guo, J.; Tang, S.J.; Qi, S. Analytical reentry guidance method based on quasi-equilibrium glide. Acta Armamentarii 2019, 40, 58–67. [Google Scholar]
  24. Guo, Y.H.; Li, X.; Zhang, H.J.; Wang, L.; Cai, M. Entry guidance with terminal time control based on quasi-equilibrium glide condition. IEEE Trans. Aerosp. Electron. Syst. 2019, 56, 887–896. [Google Scholar] [CrossRef]
  25. Yu, W.B.; Chen, W.C.; Jiang, Z.G.; Zhang, W.; Zhao, P. Analytical entry guidance for coordinated flight with multiple no-fly-zone constraints. Aerosp. Sci. Technol. 2018, 84, 273–290. [Google Scholar] [CrossRef]
  26. Guo, J.; Tang, S.J.; Qi, S. Time-cooperative entry guidance based on analytical profile. Acta Aeronaut. Astronaut. Sin. 2019, 40, 322565. [Google Scholar]
  27. Xu, H.; Cai, G.B.; Zhang, S.X. Modified aerodynamic coefficient fitting models of hypersonic gliding vehicle in reentry phase. J. Astronaut. 2021, 42, 1139–1149. [Google Scholar]
  28. Xu, H.; Cai, G.B.; Zhang, S.X.; Yang, X.; Hou, M. Hypersonic reentry trajectory optimization by using improved sparrow search algorithm and control parametrization method. Adv. Space Res. 2022, 69, 2512–2524. [Google Scholar]
Figure 1. Analytical time cooperative guidance framework for multi-hypersonic glide vehicles.
Figure 1. Analytical time cooperative guidance framework for multi-hypersonic glide vehicles.
Applsci 13 04987 g001
Figure 2. Time histories of the altitude.
Figure 2. Time histories of the altitude.
Applsci 13 04987 g002
Figure 3. Latitude and longitude changes.
Figure 3. Latitude and longitude changes.
Applsci 13 04987 g003
Figure 4. Time histories of the velocity.
Figure 4. Time histories of the velocity.
Applsci 13 04987 g004
Figure 5. Resistance acceleration reentry corridor.
Figure 5. Resistance acceleration reentry corridor.
Applsci 13 04987 g005
Figure 6. Velocity histories of the AOA.
Figure 6. Velocity histories of the AOA.
Applsci 13 04987 g006
Figure 7. Velocity histories of the bank angle.
Figure 7. Velocity histories of the bank angle.
Applsci 13 04987 g007
Figure 8. Time histories of the altitude.
Figure 8. Time histories of the altitude.
Applsci 13 04987 g008
Figure 9. Latitude and longitude changes.
Figure 9. Latitude and longitude changes.
Applsci 13 04987 g009
Figure 10. Time histories of the velocity.
Figure 10. Time histories of the velocity.
Applsci 13 04987 g010
Figure 11. Resistance acceleration reentry corridor.
Figure 11. Resistance acceleration reentry corridor.
Applsci 13 04987 g011
Figure 12. Velocity histories of the AOA.
Figure 12. Velocity histories of the AOA.
Applsci 13 04987 g012
Figure 13. Velocity histories of the bank angle.
Figure 13. Velocity histories of the bank angle.
Applsci 13 04987 g013
Figure 14. Time histories of the altitude.
Figure 14. Time histories of the altitude.
Applsci 13 04987 g014
Figure 15. Latitude and longitude changes.
Figure 15. Latitude and longitude changes.
Applsci 13 04987 g015
Figure 16. Time histories of the velocity.
Figure 16. Time histories of the velocity.
Applsci 13 04987 g016
Figure 17. Time histories of the remaining voyage.
Figure 17. Time histories of the remaining voyage.
Applsci 13 04987 g017
Figure 18. Time histories of the path constraints.
Figure 18. Time histories of the path constraints.
Applsci 13 04987 g018
Figure 19. Resistance acceleration reentry corridor.
Figure 19. Resistance acceleration reentry corridor.
Applsci 13 04987 g019
Figure 20. Velocity histories of the AOA.
Figure 20. Velocity histories of the AOA.
Applsci 13 04987 g020
Figure 21. Velocity histories of the bank angle.
Figure 21. Velocity histories of the bank angle.
Applsci 13 04987 g021
Figure 22. Time histories of the altitude.
Figure 22. Time histories of the altitude.
Applsci 13 04987 g022
Figure 23. 3D reentry trajectory.
Figure 23. 3D reentry trajectory.
Applsci 13 04987 g023
Figure 24. Time histories of the velocity.
Figure 24. Time histories of the velocity.
Applsci 13 04987 g024
Figure 25. Velocity histories of the AOA.
Figure 25. Velocity histories of the AOA.
Applsci 13 04987 g025
Figure 26. Velocity histories of the bank angle.
Figure 26. Velocity histories of the bank angle.
Applsci 13 04987 g026
Figure 27. Time histories of the velocity.
Figure 27. Time histories of the velocity.
Applsci 13 04987 g027
Figure 28. Latitude and longitude changes.
Figure 28. Latitude and longitude changes.
Applsci 13 04987 g028
Figure 29. Monte Carlo experiment drop point distribution.
Figure 29. Monte Carlo experiment drop point distribution.
Applsci 13 04987 g029
Figure 30. Monte Carlo experiment drop point distribution.
Figure 30. Monte Carlo experiment drop point distribution.
Applsci 13 04987 g030
Figure 31. Path constraint maximum distribution.
Figure 31. Path constraint maximum distribution.
Applsci 13 04987 g031
Table 1. The limitation of designed parameters.
Table 1. The limitation of designed parameters.
Designed ParameterMaximum ValueMinimum Value
V 1 6500 m/s4000 m/s
V 2 4000 m/s1800 m/s
| σ 0 | 80°
Δ V e 100 m/s−100 m/s
Table 2. The setting of the simulations.
Table 2. The setting of the simulations.
CaseLongitudeLatitudeAltitudeVelocityFPAHead Angle
Case 170 km6500 m/s30°
Case 2−5°80 km7000 m/s0.5°40°
Case 3100 km7000 m/s−1°40°
Terminal constraints32°20°20 km2000 m/s--
Table 3. Result comparation of the simulations.
Table 3. Result comparation of the simulations.
Scene V 1   ( m / s ) V 2   ( m / s ) | σ 0 |   ( ° ) Δ V f   ( m / s ) Δ r f   ( km ) Δ t   ( s )
T 0 = 0   s 4518.693026.5271.2826.916.690.20
T 0 = 20   s 4046.973194.4165.637.080.070.35
T 0 = 35   s 4057.953494.0662.0911.809.770.40
Table 4. Monte Carlo simulation disturbance settings.
Table 4. Monte Carlo simulation disturbance settings.
StateAltitudeLongitudeLatitude VelocityFPAHead Angle
3 σ 100 m100 m/s0.2°0.2°
Disclaimer/Publisher’s Note: The statements, opinions and data contained in all publications are solely those of the individual author(s) and contributor(s) and not of MDPI and/or the editor(s). MDPI and/or the editor(s) disclaim responsibility for any injury to people or property resulting from any ideas, methods, instructions or products referred to in the content.

Share and Cite

MDPI and ACS Style

Xu, H.; Cai, G.; Fan, Y.; Wei, H.; Li, X.; Wang, Y. Analytic Time Reentry Cooperative Guidance for Multi-Hypersonic Glide Vehicles. Appl. Sci. 2023, 13, 4987. https://doi.org/10.3390/app13084987

AMA Style

Xu H, Cai G, Fan Y, Wei H, Li X, Wang Y. Analytic Time Reentry Cooperative Guidance for Multi-Hypersonic Glide Vehicles. Applied Sciences. 2023; 13(8):4987. https://doi.org/10.3390/app13084987

Chicago/Turabian Style

Xu, Hui, Guangbin Cai, Yonghua Fan, Hao Wei, Xin Li, and Yongchao Wang. 2023. "Analytic Time Reentry Cooperative Guidance for Multi-Hypersonic Glide Vehicles" Applied Sciences 13, no. 8: 4987. https://doi.org/10.3390/app13084987

APA Style

Xu, H., Cai, G., Fan, Y., Wei, H., Li, X., & Wang, Y. (2023). Analytic Time Reentry Cooperative Guidance for Multi-Hypersonic Glide Vehicles. Applied Sciences, 13(8), 4987. https://doi.org/10.3390/app13084987

Note that from the first issue of 2016, this journal uses article numbers instead of page numbers. See further details here.

Article Metrics

Back to TopTop