Reliability of a Field-Based Test for Hamstrings and Quadriceps Strength Assessment in Football Players
Abstract
Featured Application
Abstract
1. Introduction
2. Materials and Methods
2.1. Participants
2.2. Procedures
2.3. Statistical Analysis
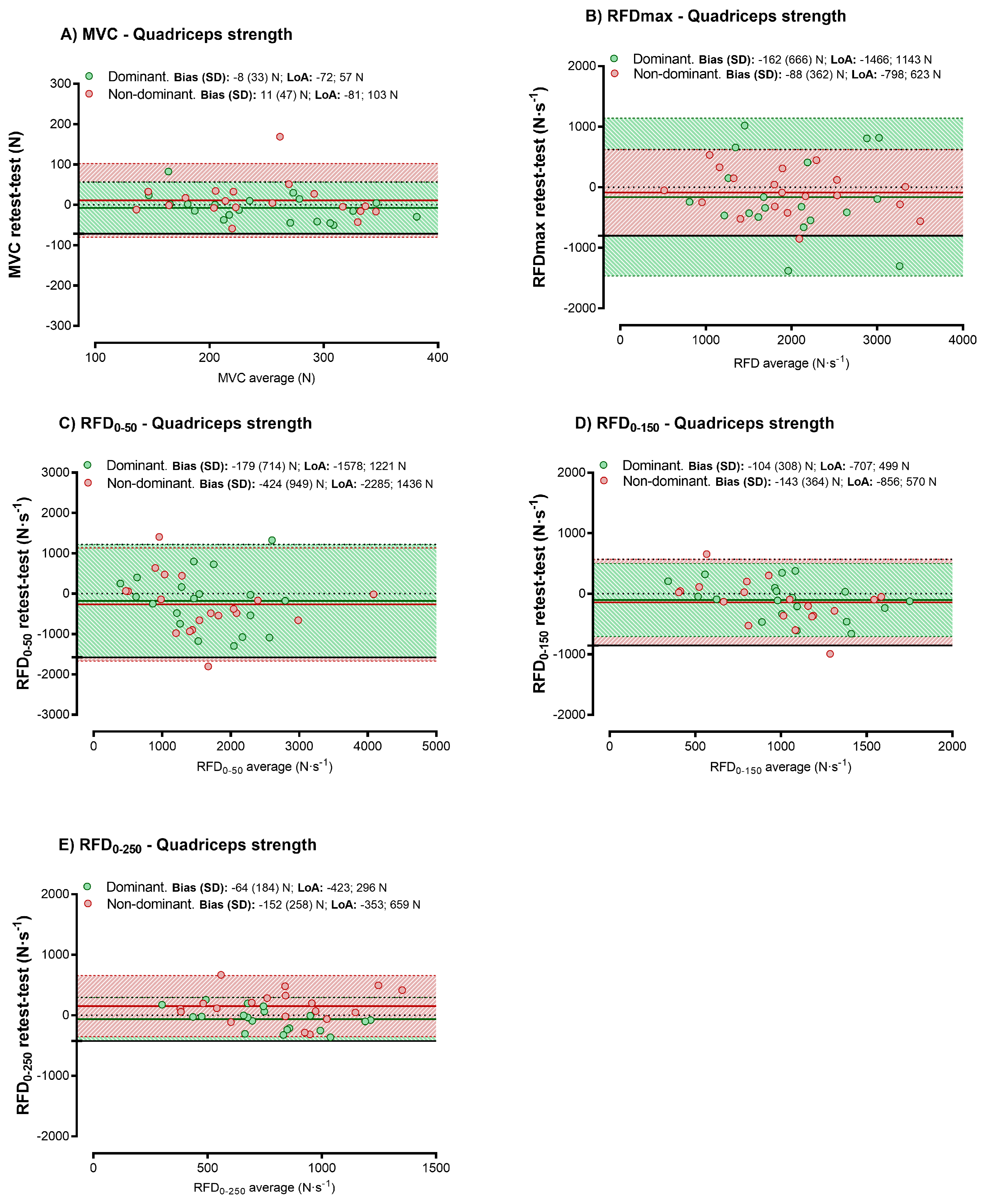
3. Results
4. Discussion
5. Conclusions
Author Contributions
Funding
Institutional Review Board Statement
Informed Consent Statement
Data Availability Statement
Acknowledgments
Conflicts of Interest
References
- Luedke, L.E.; Heiderscheit, B.C.; Williams, D.S.B.; Rauh, M.J. Association of Isometric Strength of Hip and Knee Muscles with Injury Risk in High School Cross Country Runners. Int. J. Sports Phys. Ther. 2015, 10, 868–876. [Google Scholar] [PubMed]
- Mondin, D.; Owen, J.A.; Negro, M.; D’Antona, G. Validity and Reliability of a Non-Invasive Test to Assess Quadriceps and Hamstrings Strength in Athletes. Front. Physiol. 2018, 9, 1702. [Google Scholar] [CrossRef]
- Maestroni, L.; Read, P.; Turner, A.; Korakakis, V.; Papadopoulos, K. Strength, Rate of Force Development, Power and Reactive Strength in Adult Male Athletic Populations Post Anterior Cruciate Ligament Reconstruction—A Systematic Review and Meta-Analysis. Phys. Ther. Sport 2021, 47, 91–104. [Google Scholar] [CrossRef]
- Shi, H.; Huang, H.; Ren, S.; Yu, Y.; Liang, Z.; Wang, Q.; Hu, X.; Ao, Y. The Relationship between Quadriceps Strength Asymmetry and Knee Biomechanics Asymmetry during Walking in Individuals with Anterior Cruciate Ligament Reconstruction. Gait Posture 2019, 73, 74–79. [Google Scholar] [CrossRef] [PubMed]
- Croisier, J.L.; Forthomme, B.; Namurois, M.H.; Vanderthommen, M.; Crielaard, J.M. Hamstring Muscle Strain Recurrence and Strength Performance Disorders. Am. J. Sports Med. 2002, 30, 199–203. [Google Scholar] [CrossRef] [PubMed]
- De Vos, R.-J.; Reurink, G.; Goudswaard, G.-J.; Moen, M.H.; Weir, A.; Tol, J.L. Clinical Findings Just after Return to Play Predict Hamstring Re-Injury, but Baseline MRI Findings Do Not. Br. J. Sports Med. 2014, 48, 1377–1384. [Google Scholar] [CrossRef]
- Opar, D.A.; Williams, M.D.; Timmins, R.G.; Dear, N.M.; Shield, A.J. Knee Flexor Strength and Bicep Femoris Electromyographical Activity Is Lower in Previously Strained Hamstrings. J. Electromyogr. Kinesiol. 2013, 23, 696–703. [Google Scholar] [CrossRef]
- Ruas, C.V.; Pinto, R.S.; Haff, G.G.; Lima, C.D.; Pinto, M.D.; Brown, L.E. Alternative Methods of Determining Hamstrings-to-Quadriceps Ratios: A Comprehensive Review. Sports Med. Open 2019, 5, 11. [Google Scholar] [CrossRef]
- Buckthorpe, M.W.; Hannah, R.; Pain, T.G.; Folland, J.P. Reliability of Neuromuscular Measurements during Explosive Isometric Contractions, with Special Reference to Electromyography Normalization Techniques. Muscle Nerve 2012, 46, 566–576. [Google Scholar] [CrossRef]
- Iacono, A.D.; Valentin, S.; Sanderson, M.; Halperin, I. The Isometric Horizontal Push Test: Test-Retest Reliability and Validation Study. Int. J. Sports Physiol. Perform. 2020, 15, 581–584. [Google Scholar] [CrossRef]
- Moir, G.L.; Getz, A.; Davis, S.E.; Marques, M.; Witmer, C.A. The Inter-Session Reliability of Isometric Force-Time Variables and the Effects of Filtering and Starting Force. J. Hum. Kinet. 2019, 66, 43–55. [Google Scholar] [CrossRef] [PubMed]
- Andersen, L.L.; Aagaard, P. Influence of Maximal Muscle Strength and Intrinsic Muscle Contractile Properties on Contractile Rate of Force Development. Eur. J. Appl. Physiol. 2006, 96, 46–52. [Google Scholar] [CrossRef] [PubMed]
- Blacker, S.D.; Fallowfield, J.L.; Willems, M.E.T. Intra- and Interday Reliability of Voluntary and Electrically Stimulated Isometric Contractions of the Quadriceps Femoris. J. Electromyogr. Kinesiol. 2013, 23, 886–891. [Google Scholar] [CrossRef]
- Martins, J.; Da Silva, J.R.; Da Silva, M.R.B.; Bevilaqua-Grossi, D. Reliability and Validity of the Belt-Stabilized Handheld Dynamometer in Hip-and Knee-Strength Tests. J. Athl. Train. 2017, 52, 809–819. [Google Scholar] [CrossRef]
- Whiteley, R.; Jacobsen, P.; Prior, S.; Skazalski, C.; Otten, R.; Johnson, A. Correlation of Isokinetic and Novel Hand-Held Dynamometry Measures of Knee Flexion and Extension Strength Testing. J. Sci. Med. Sport 2012, 15, 444–450. [Google Scholar] [CrossRef]
- Courel-Ibáñez, J.; Hernández-Belmonte, A.; Cava-Martínez, A.; Pallarés, J.G. Familiarization and Reliability of the Isometric Knee Extension Test for Rapid Force Production Assessment. Appl. Sci. 2020, 10, 4499. [Google Scholar] [CrossRef]
- Ruschel, C.; Haupenthal, A.; Jacomel, G.F.; Fontana, H.d.B.; dos Santos, D.P.; Scoz, R.D.; Roesler, H. Validity and Reliability of an Instrumented Leg-Extension Machine for Measuring Isometric Muscle Strength of the Knee Extensors. J. Sport Rehabil. 2015, 24, 2. [Google Scholar] [CrossRef]
- Toonstra, J.; Mattacola, C.G. Test-Retest Reliability and Validity of Isometric Knee-Flexion and -Extension Measurement Using 3 Methods of Assessing Muscle Strength. J. Sport Rehabil. 2013, 22, 1. [Google Scholar] [CrossRef]
- Aagaard, P.; Simonsen, E.B.; Andersen, J.L.; Magnusson, P.; Dyhre-Poulsen, P. Neural Adaptation to Resistance Training: Changes in Evoked V-Wave and H-Reflex Responses. J. Appl. Physiol. 2002, 92, 2309–2318. [Google Scholar] [CrossRef]
- Maffiuletti, N.A.; Aagaard, P.; Blazevich, A.J.; Folland, J.; Tillin, N.; Duchateau, J. Rate of Force Development: Physiological and Methodological Considerations. Eur. J. Appl. Physiol. 2016, 116, 1091–1116. [Google Scholar] [CrossRef]
- Read, P.J.; Turner, A.N.; Clarke, R.; Applebee, S.; Hughes, J. Knee Angle Affects Posterior Chain Muscle Activation during an Isometric Test Used in Soccer Players. Sports 2019, 7, 13. [Google Scholar] [CrossRef] [PubMed]
- Chumanov, E.S.; Schache, A.G.; Heiderscheit, B.C.; Thelen, D.G. Hamstrings Are Most Susceptible to Injury during the Late Swing Phase of Sprinting. Br. J. Sports Med. 2012, 46, 90. [Google Scholar] [CrossRef]
- Waldén, M.; Krosshaug, T.; Bjørneboe, J.; Andersen, T.E.; Faul, O.; Hägglund, M. Three Distinct Mechanisms Predominate in Noncontact Anterior Cruciate Ligament Injuries in Male Professional Football Players: A Systematic Video Analysis of 39 Cases. Br. J. Sports Med. 2015, 49, 1452–1460. [Google Scholar] [CrossRef] [PubMed]
- Rodríguez-Rosell, D.; Pareja-Blanco, F.; Aagaard, P.; González-Badillo, J.J. Physiological and Methodological Aspects of Rate of Force Development Assessment in Human Skeletal Muscle. Clin. Physiol. Funct. Imaging 2018, 38, 743–762. [Google Scholar] [CrossRef] [PubMed]
- Oranchuk, D.J.; Storey, A.G.; Nelson, A.R.; Cronin, J.B. Isometric Training and Long-Term Adaptations: Effects of Muscle Length, Intensity, and Intent: A Systematic Review. Scand. J. Med. Sci. Sports 2019, 29, 484–503. [Google Scholar] [CrossRef] [PubMed]
- Hickey, J.T.; Hickey, P.F.; Maniar, N.; Timmins, R.G.; Williams, M.D.; Pitcher, C.A.; Opar, D.A. A Novel Apparatus to Measure Knee Flexor Strength during Various Hamstring Exercises: A Reliability and Retrospective Injury Study. J. Orthop. Sports Phys. Ther. 2018, 48, 72–79. [Google Scholar] [CrossRef]
- Croisier, J.L.; Ganteaume, S.; Binet, J.; Genty, M.; Ferret, J.M. Strength Imbalances and Prevention of Hamstring Injury in Professional Soccer Players: A Prospective Study. Am. J. Sports Med. 2008, 36, 1469–1475. [Google Scholar] [CrossRef]
- Zebis, M.K.; Andersen, L.L.; Ellingsgaard, H.; Aagaard, P. Rapid Hamstring/Quadriceps Force Capacity in Male vs. Female Elite Soccer Players. J. Strength Cond. Res. 2011, 25, 1989–1993. [Google Scholar] [CrossRef]
- Van Melick, N.; Meddeler, B.M.; Hoogeboom, T.J.; Nijhuis-van der Sanden, M.W.G.; van Cingel, R.E.H. How to Determine Leg Dominance: The Agreement between Self-Reported and Observed Performance in Healthy Adults. PLoS ONE 2017, 12, e0189876. [Google Scholar] [CrossRef]
- Oranchuk, D.J.; Switaj, Z.J.; Zuleger, B.M. The Addition of a “Rapid Response” Neuromuscular Activation To a Standard Dynamic Warm-Up Improves Isometric Force and Rate of Force Development. J. Aust. Strength Cond. 2017, 25, 19–24. [Google Scholar]
- Koo, T.K.; Li, M.Y. A Guideline of Selecting and Reporting Intraclass Correlation Coefficients for Reliability Research. J. Chiropr. Med. 2016, 15, 155–163. [Google Scholar] [CrossRef] [PubMed]
- Atkinson, G.; Nevill, A. Statistical Methods for Assssing Measurement Error (Reliability) in Variables Relevant to Sports Medicine. Sports Med. 1998, 26, 217–238. [Google Scholar] [CrossRef] [PubMed]
- Courel-Ibáñez, J.; Martínez-Cava, A.; Morán-Navarro, R.; Escribano-Peñas, P.; Chavarren-Cabrero, J.; González-Badillo, J.J.; Pallarés, J.G. Reproducibility and Repeatability of Five Different Technologies for Bar Velocity Measurement in Resistance Training. Ann. Biomed. Eng. 2019, 47, 1523–1538. [Google Scholar] [CrossRef]
- Giavarina, D. Understanding Bland Altman Analysis. Biochem. Med. 2015, 25, 141–151. [Google Scholar] [CrossRef] [PubMed]
- Moreno-Pérez, V.; Méndez-Villanueva, A.; Soler, A.; Del Coso, J.; Courel-Ibáñez, J. No Relationship between the Nordic Hamstring and Two Different Isometric Strength Tests to Assess Hamstring Muscle Strength in Professional Soccer Players. Phys. Ther. Sport 2020, 46, 97–103. [Google Scholar] [CrossRef] [PubMed]
- Ekstrand, J.; Hagglund, M.; Walden, M. Injury Incidence and Injury Patterns in Professional Football: The UEFA Injury Study. Br. J. Sports Med. 2011, 45, 553–558. [Google Scholar] [CrossRef]
- Zhang, Q.; Morel, B.; Trama, R.; Hautier, C.A. Influence of Fatigue on the Rapid Hamstring/Quadriceps Force Capacity in Soccer Players. Front. Physiol. 2021, 12, 627674. [Google Scholar] [CrossRef]
- Dideriksen, J.L.; Del Vecchio, A.; Farina, D. Neural and Muscular Determinants of Maximal Rate of Force Development. J. Neurophysiol. 2020, 123, 149–157. [Google Scholar] [CrossRef]
- Folland, J.P.; Buckthorpe, M.W.; Hannah, R. Human Capacity for Explosive Force Production: Neural and Contractile Determinants. Scand. J. Med. Sci. Sports 2014, 24, 894–906. [Google Scholar] [CrossRef]
- Nagano, Y.; Higashihara, A.; Takahashi, K.; Fukubayashi, T. Mechanics of the Muscles Crossing the Hip Joint during Sprint Running. J. Sports Sci. 2014, 32, 1722–1728. [Google Scholar] [CrossRef]
- Lee, J.W.Y.; Mok, K.M.; Chan, H.C.K.; Yung, P.S.H.; Chan, K.M. Eccentric Hamstring Strength Deficit and Poor Hamstring-to-Quadriceps Ratio Are Risk Factors for Hamstring Strain Injury in Football: A Prospective Study of 146 Professional Players. J. Sci. Med. Sport 2018, 21, 789–793. [Google Scholar] [CrossRef] [PubMed]



| Test | Retest | ICC (95% CI) | TE (95% CI) | CV% (95% CI) | MDC (95% CI) | |
|---|---|---|---|---|---|---|
| Hamstring strength | ||||||
| MVIC (N) | ||||||
| Dominant leg | 344 ± 93 | 362 ± 93 | 0.88 (0.72, 0.95) | 34 (25, 50) | 9.6 (7.1, 14.1) | 94 (69, 139) |
| Non-dominant leg | 334 ± 94 | 331 ± 91 | 0.90 (0.77, 0.96) | 30 (22, 44) | 9.1 (6.6, 13.2) | 83 (61, 122) |
| RFDmax (N·s−1) | ||||||
| Dominant leg | 1435 ± 696 | 1340 ± 695 | 0.75 (0.45, 0.89) | 366 (276, 541) | 26.3 (19.9, 39) | 1014 (765, 1500) |
| Non-dominant leg | 1415 ± 753 | 1201 ± 629 | 0.59 (0.19, 0.82) | 459 (347, 680) | 35.1 (26.5, 52) | 1274 (962, 1885) |
| RFD0–50 (N·s−1) | ||||||
| Dominant leg | 1313 ± 963 | 1139 ± 791 | 0.84 (0.62, 0.93) | 375 (283, 555) | 30.6 (23.1, 45.3) | 1041 (784, 1538) |
| Non-dominant leg | 1285 ± 940 | 1465 ± 910 | 0.87 (0.70, 0.95) | 350 (264, 517) | 25.4 (19.2, 37.6) | 970 (732, 1433) |
| RFD0–150 (N·s−1) | ||||||
| Dominant leg | 1017 ± 608 | 902 ± 493 | 0.80 (0.56, 0.92) | 257 (194, 381) | 26.8 (20.2, 39.7) | 714 (538, 1056) |
| Non-dominant leg | 965 ± 584 | 1088 ± 551 | 0.86 (0.68, 0.94) | 222 (168, 329) | 21.6 (16.4, 32.1) | 616 (466, 912) |
| RFD0–250 (N·s−1) | ||||||
| Dominant leg | 746 ± 338 | 824 ± 421 | 0.78 (0.52, 0.91) | 185 (140, 274) | 23.6 (17.8, 34.9) | 515 (388, 759) |
| Non-dominant leg | 857 ± 376 | 769 ± 401 | 0.84 (0.64, 0.94) | 162 (122, 240) | 19.9 (15.0, 29.5) | 450 (338, 665) |
| Quadriceps strength | ||||||
| MVIC (N) | ||||||
| Dominant leg | 252 ± 76 | 245 ± 62 | 0.90 (0.76, 0.96) | 23 (18, 34) | 9.3 (11.3, 13.7) | 64 (50,94) |
| Non-dominant leg | 239 ±73 | 250 ± 69 | 0.80 (0.55, 0.92) | 33 (25, 49) | 13.5 (10.2, 20) | 92 (69, 136) |
| RFDmax (N·s−1) | ||||||
| Dominant leg | 1919 ± 755 | 2081 ± 796 | 0.66 (0.30, 0.85) | 470 (355, 695) | 23.5 (17.8, 34.8) | 1304 (984, 1926) |
| Non-dominant leg | 2013 ± 886 | 1926 ± 792 | 0.92 (0.80, 0.97) | 256 (193, 378) | 13.0 (9.8, 19.2) | 710 (535, 1048) |
| RFD0–50 (N·s−1) | ||||||
| Dominant leg | 1707 ± 844 | 1529 ± 747 | 0.62 (0.25, 0.84) | 505 (381, 746) | 31.1 (23.5, 46.1) | 1399 (1056, 2068) |
| Non-dominant leg | 1739 ± 1020 | 1427 ± 853 | 0.73 (0.43, 0.89) | 505 (382, 747) | 31.9 (24.1, 47.2) | 1400 (1059, 2071) |
| RFD0–150 (N·s−1) | ||||||
| Dominant leg | 985 ± 335 | 1089 ± 450 | 0.72 (0.41, 0.88) | 217 (164, 321) | 20.9 (15.8, 31.0) | 603 (455, 890) |
| Non-dominant leg | 891 ± 312 | 1034 ± 467 | 0.61 (0.22, 0.83) | 257 (194, 380) | 26.9 (20.2, 39.5) | 712 (538, 1053) |
| RFD0–250 (N·s−1) | ||||||
| Dominant leg | 794 ± 303 | 730 ± 213 | 0.78 (0.51, 0.91) | 129 (98, 191) | 17.0 (13, 25.1) | 359 (272, 529) |
| Non-dominant leg | 739 ± 300 | 676 ± 213 | 0.70 (0.37, 0.87) | 147 (111, 218) | 20.9 (15.7, 30.8) | 410 (308, 604) |
Disclaimer/Publisher’s Note: The statements, opinions and data contained in all publications are solely those of the individual author(s) and contributor(s) and not of MDPI and/or the editor(s). MDPI and/or the editor(s) disclaim responsibility for any injury to people or property resulting from any ideas, methods, instructions or products referred to in the content. |
© 2023 by the authors. Licensee MDPI, Basel, Switzerland. This article is an open access article distributed under the terms and conditions of the Creative Commons Attribution (CC BY) license (https://creativecommons.org/licenses/by/4.0/).
Share and Cite
Miralles-Iborra, A.; Moreno-Pérez, V.; Del Coso, J.; Courel-Ibáñez, J.; Elvira, J.L.L. Reliability of a Field-Based Test for Hamstrings and Quadriceps Strength Assessment in Football Players. Appl. Sci. 2023, 13, 4918. https://doi.org/10.3390/app13084918
Miralles-Iborra A, Moreno-Pérez V, Del Coso J, Courel-Ibáñez J, Elvira JLL. Reliability of a Field-Based Test for Hamstrings and Quadriceps Strength Assessment in Football Players. Applied Sciences. 2023; 13(8):4918. https://doi.org/10.3390/app13084918
Chicago/Turabian StyleMiralles-Iborra, Aarón, Víctor Moreno-Pérez, Juan Del Coso, Javier Courel-Ibáñez, and Jose L. L. Elvira. 2023. "Reliability of a Field-Based Test for Hamstrings and Quadriceps Strength Assessment in Football Players" Applied Sciences 13, no. 8: 4918. https://doi.org/10.3390/app13084918
APA StyleMiralles-Iborra, A., Moreno-Pérez, V., Del Coso, J., Courel-Ibáñez, J., & Elvira, J. L. L. (2023). Reliability of a Field-Based Test for Hamstrings and Quadriceps Strength Assessment in Football Players. Applied Sciences, 13(8), 4918. https://doi.org/10.3390/app13084918

