Topology Optimization Based on SA-BESO
Abstract
1. Introduction
2. The Joint Topology Optimization Method Based on SA-BESO
2.1. The Idea of Combination of SA and BESO
2.2. SA-BESO Mathematical Model
2.3. Random Updates of New Structures
2.4. SA-BESO Algorithm Flow
3. Results and Discussion
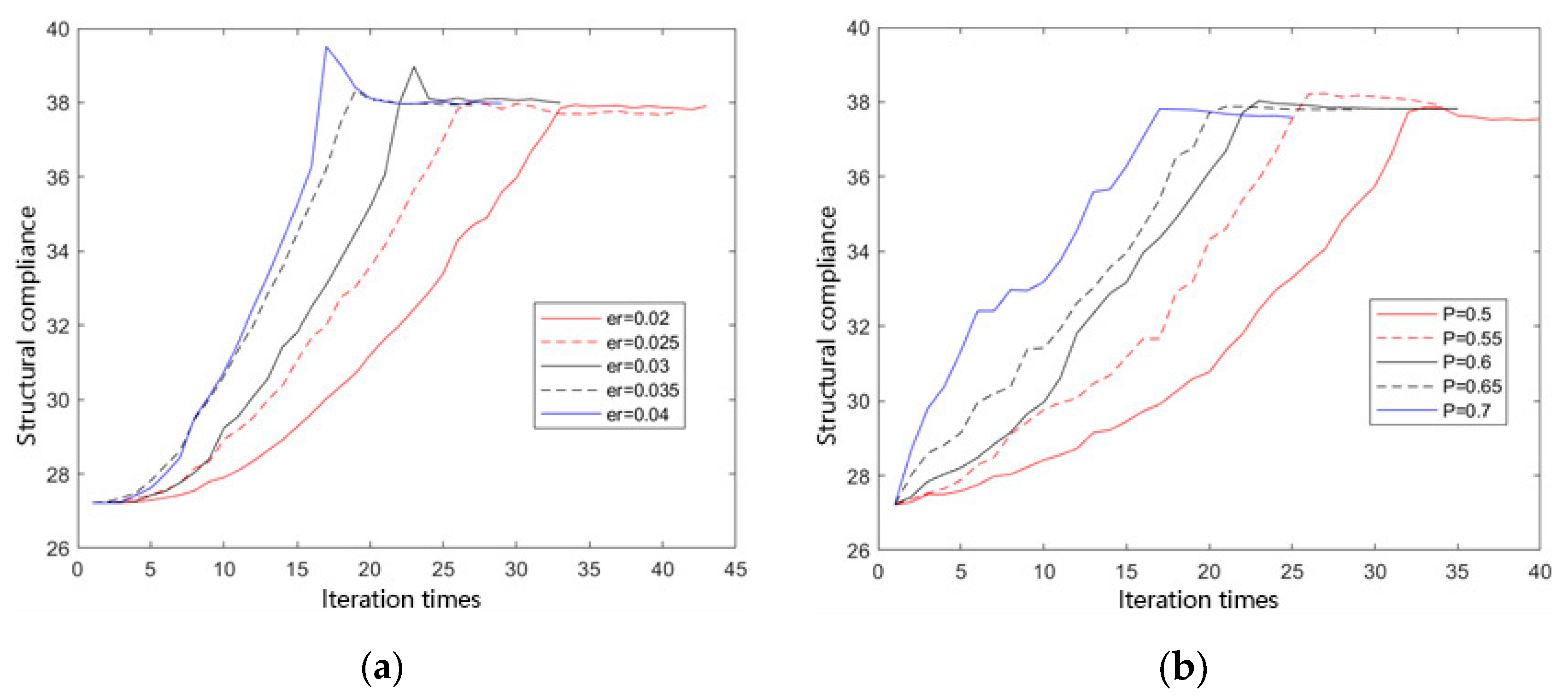
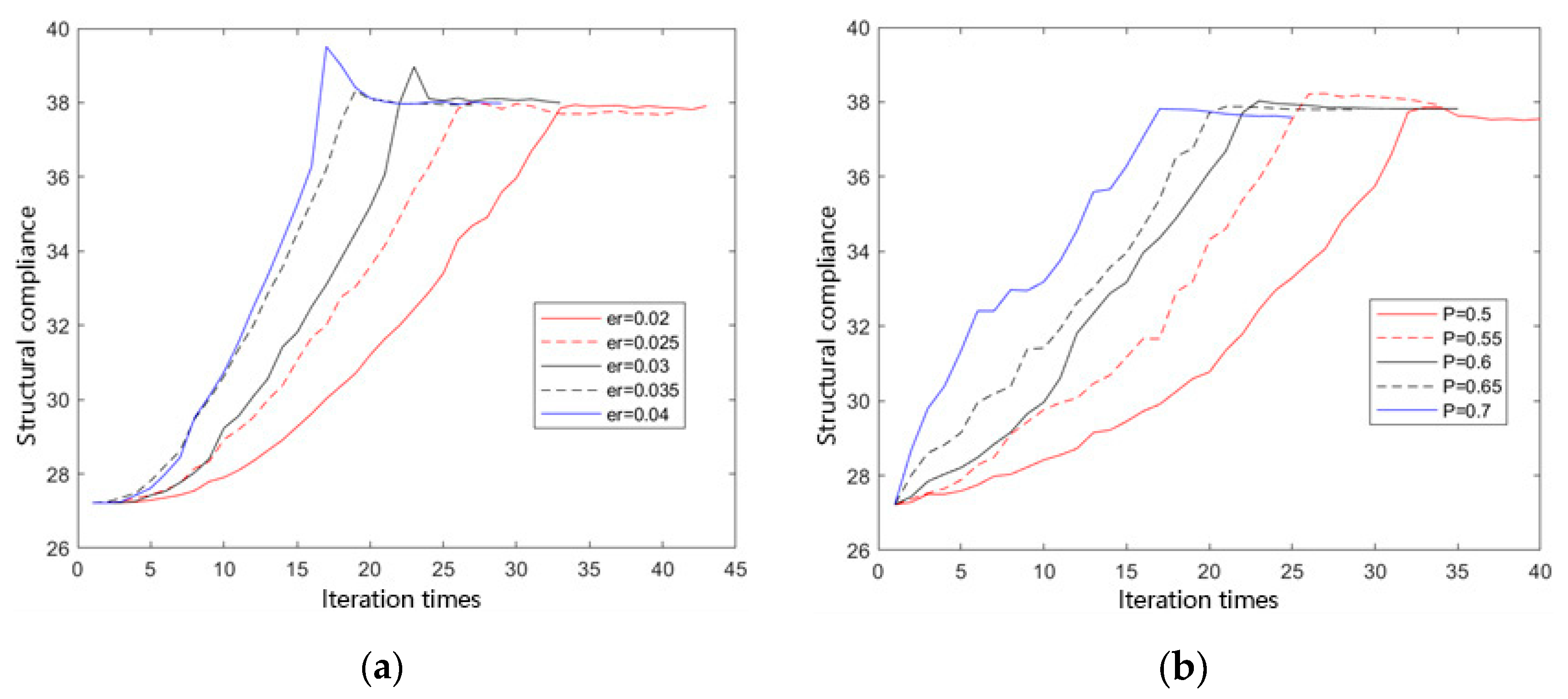
3.1. Example of the Two-Dimensional Simply Supported Beam
3.2. An Example of the L-Shaped Bracket
4. Conclusions
- (1)
- The combined SA-BESO algorithm takes into account the change in structural compliance in the iterative process, and improves the structural compliance mutation process caused by large deletion rate in BESO method.
- (2)
- Compared with the BESO algorithm, the SA-BESO algorithm can obtain a topology configuration with lower structural compliance without sacrificing too much computational efficiency. The number of iterations of the latter is generally lower than the former.
- (3)
- The semi-random solution of the SA-BESO algorithm is semi-directional and converges to highly similar results with a high probability, that is, the results obtained by this method are stable and robust, and have the potential and value to be applied to the optimization design of actual engineering structures.
- (4)
- The value of the minimum variation rate has an important influence on the number of iteration steps of the SA-BESO joint optimization method, and a structure with a lower structural compliance value can be obtained if it is properly set.
Author Contributions
Funding
Institutional Review Board Statement
Informed Consent Statement
Data Availability Statement
Conflicts of Interest
References
- Zhu, J.-H.; Zhang, W.-H.; Xia, L. Topology Optimization in Aircraft and Aerospace Structures Design. Arch. Comput. Methods Eng. 2016, 23, 595–622. [Google Scholar] [CrossRef]
- Jankovics, D.; Barari, A. Customization of Automotive Structural Components using Additive Manufacturing and Topology Optimization. IFAC-PapersOnLine 2019, 52, 212–217. [Google Scholar] [CrossRef]
- Liu, J.; Gaynor, A.T.; Chen, S.; Kang, Z.; Suresh, K.; Takezawa, A.; Li, L.; Kato, J.; Tang, J.; Wang, C.C.L.; et al. Current and future trends in topology optimization for additive manufacturing. Struct. Multidiscip. Optim. 2018, 57, 2457–2483. [Google Scholar] [CrossRef]
- Vantyghem, G.; De Corte, W.; Shakour, E.; Amir, O. 3D printing of a post-tensioned concrete girder designed by topology optimization. Autom. Constr. 2020, 112, 103084. [Google Scholar] [CrossRef]
- Xie, L.; Zhang, Y.; Ge, M.; Zhao, Y. Topology optimization of heat sink based on variable density method. Energy Rep. 2022, 8, 718–726. [Google Scholar] [CrossRef]
- Anflor, C.T.M.; Teotônio, K.L.; Goulart, J.N.V. Structural optimization using the boundary element method and topological derivative applied to a suspension trailing arm. Eng. Optim. 2018, 50, 1662–1680. [Google Scholar] [CrossRef]
- Zhang, D.; Min, H.J. A Sport Monitoring System Based on the Optimized Adaptive Fuzzy PID Control Algorithm in OneNet Internet of Things and Cloud Platform. Comput. Intell. Neurosci. 2022, 2022, 8234066. [Google Scholar] [CrossRef]
- Zhang, W.; Jiu, L.; Meng, L. Buckling-constrained topology optimization using feature-driven optimization method. Struct. Multidiscip. Optim. 2022, 65, 37. [Google Scholar] [CrossRef]
- Yang, C.D.; Feng, J.H.; Shen, Y.D. Step-size adaptive parametric level set method for structural topology optimization. J. Mech. Sci. Technol. 2022, 36, 5153–5164. [Google Scholar] [CrossRef]
- Wang, Q.; Han, H.; Wang, C.; Liu, Z. Topological control for 2D minimum compliance topology optimization using SIMP method. Struct. Multidiscip. Optim. 2022, 65, 38. [Google Scholar] [CrossRef]
- Yang, K.; Fernandez, E.; Niu, C.; Duysinx, P.; Zhu, J.; Zhang, W. Note on spatial gradient operators and gradient-based minimum length constraints in SIMP topology optimization. Struct. Multidiscip. Optim. 2019, 60, 393–400. [Google Scholar] [CrossRef]
- Xia, L.; Xia, Q.; Huang, X.; Xie, Y.M. Bi-directional Evolutionary Structural Optimization on Advanced Structures and Materials: A Comprehensive Review. Arch. Comput. Methods Eng. 2018, 25, 437–478. [Google Scholar] [CrossRef]
- Lin, Y.; Zhu, W.; Li, J.; Ke, Y. Structural topology optimization using a level set method with finite difference updating scheme. Struct. Multidiscip. Optim. 2021, 63, 1839–1852. [Google Scholar] [CrossRef]
- Zhou, Y.; Zhang, W.; Zhu, J.; Xu, Z. Feature-driven topology optimization method with signed distance function. Comput. Methods Appl. Mech. Eng. 2016, 310, 1–32. [Google Scholar] [CrossRef]
- Xia, Q.; Shi, T.; Xia, L. Topology optimization for heat conduction by combining level set method and BESO method. Int. J. Heat Mass Transf. 2018, 127, 200–209. [Google Scholar] [CrossRef]
- Montanino, A.; Alaimo, G.; Lanzarone, E. A gradient-based optimization method with functional principal component analysis for efficient structural topology optimization. Struct. Multidiscip. Optim. 2021, 64, 177–188. [Google Scholar] [CrossRef]
- Nguyen, M.N.; Bui, T.Q. Multi-material gradient-free proportional topology optimization analysis for plates with variable thickness. Struct. Multidiscip. Optim. 2022, 65, 75. [Google Scholar] [CrossRef]
- Feng, X.; Zhang, Y. Improved Immune Genetic Algorithm to Optimize the Design of Wing Structure of Competition Aircraft. J. Phys. Conf. Ser. 2021, 2137, 012075. [Google Scholar] [CrossRef]
- Garcia-Lopez, N.P.; Sanchez-Silva, M.; Medaglia, A.L.; Chateauneuf, A. A hybrid topology optimization methodology combining simulated annealing and SIMP. Comput. Struct. 2011, 89, 1512–1522. [Google Scholar] [CrossRef]
- Liu, X.; Yi, W.-J.; Li, Q.S.; Shen, P.-S. Genetic evolutionary structural optimization. J. Constr. Steel Res. 2007, 64, 305–311. [Google Scholar] [CrossRef]
- Gao, Y.; Ma, C.; Feng, B.; Tian, L. Bi-directional Evolutionary Structural Optimization of Continuum Structures with Multiple Constraints. IOP Conf. Ser. Mater. Sci. Eng. 2020, 746, 012043. [Google Scholar] [CrossRef]
- Sun, H. Topology optimization of multi-objective crashworthiness structure based on Improved Bi-directional Evolutionary Structural Optimization. Alex. Eng. J. 2022, 61, 10603–10612. [Google Scholar] [CrossRef]
- Zuo, Z.; Xie, Y.; Huang, X. Combining genetic algorithms with BESO for topology optimization. Struct. Multidiscip. Optim. 2009, 38, 511–523. [Google Scholar] [CrossRef]
- Wu, B.-N.; Xia, L.-J. Research on bi-directional evolutionary structural optimization method based on improved genetic alg. J. Ship Mech. 2021, 25, 193–201. [Google Scholar]
- Zhang, Y.; Gao, L.; Li, H. A Hybrid Method Combining Improved Binary Particle Swarm Optimization with BESO for Topology Optimization. Int. J. Adv. Comput. Technol. 2013, 5, 395–406. [Google Scholar]
- Altarawneh, L.; Alattar, M.; Jin, Y. Optimizing Flight Trajectories Using Simulated Annealing. In IIE Annual Conference Proceedings; Institute of Industrial and Systems Engineers (IISE): Peachtree Corners, GA, USA, 2022. [Google Scholar]
- Franco Correia, V.; Moita, J.S.; Moleiro, F.; Soares, C.M.M. Optimization of Metal–Ceramic Functionally Graded Plates Using the Simulated Annealing Algorithm. Appl. Sci. 2021, 11, 729. [Google Scholar] [CrossRef]
- Ghabraie, K. An improved soft-kill BESO algorithm for optimal distribution of single or multiple material phases. Struct. Multidiscip. Optim. 2015, 52, 773–790. [Google Scholar] [CrossRef]
- Huang, X.; Xie, Y.M. Convergent and mesh-independent solutions for the bi-directional evolutionary structural optimization method. Finite Elem. Anal. Des. 2007, 43, 1039–1049. [Google Scholar] [CrossRef]
- Huang, X.; Xie, Y. Evolutionary topology optimization of continuum structures with an additional displacement constraint. Struct. Multidiscip. Optim. 2010, 40, 409–416. [Google Scholar] [CrossRef]
- Sun, P.; Zhang, Z.; Guo, H.; Liu, N.; Jin, W.; Yuan, T.; Wang, Y. Topological optimization of hierarchical honeycomb acoustic metamaterials for low-frequency extreme broad band gaps. Appl. Acoust. 2022, 188, 108579. [Google Scholar] [CrossRef]








| The Values | Mean Iterative Step | Average Compliance of Structure |
|---|---|---|
| 202.6 | 98.0068 | |
| 63.6 | 95.2420 | |
| 56.6 | 96.5007 | |
| 65.0 | 96.1153 | |
| 61.6 | 95.3461 | |
| 68.2 | 95.5784 | |
| 61.6 | 97.0381 |
| SA-BESO Algorithm | Mean Iterative Step | Average Compliance of Structure |
|---|---|---|
| 1 | 31 | 37.7102 |
| 2 | 30 | 37.7552 |
| 3 | 31 | 37.6460 |
| 4 | 33 | 37.6116 |
| 5 | 32 | 37.7828 |
| SA-BESO Algorithm | Mean Iterative Step | Average Compliance of Structure |
|---|---|---|
| 1 | 25 | 37.8189 |
| 2 | 27 | 37.7605 |
| 3 | 26 | 37.8063 |
| 4 | 30 | 37.5806 |
| 5 | 25 | 37.5854 |
Disclaimer/Publisher’s Note: The statements, opinions and data contained in all publications are solely those of the individual author(s) and contributor(s) and not of MDPI and/or the editor(s). MDPI and/or the editor(s) disclaim responsibility for any injury to people or property resulting from any ideas, methods, instructions or products referred to in the content. |
© 2023 by the authors. Licensee MDPI, Basel, Switzerland. This article is an open access article distributed under the terms and conditions of the Creative Commons Attribution (CC BY) license (https://creativecommons.org/licenses/by/4.0/).
Share and Cite
Chen, L.; Zhang, H.; Wang, W.; Zhang, Q. Topology Optimization Based on SA-BESO. Appl. Sci. 2023, 13, 4566. https://doi.org/10.3390/app13074566
Chen L, Zhang H, Wang W, Zhang Q. Topology Optimization Based on SA-BESO. Applied Sciences. 2023; 13(7):4566. https://doi.org/10.3390/app13074566
Chicago/Turabian StyleChen, Liping, Hui Zhang, Wei Wang, and Qiliang Zhang. 2023. "Topology Optimization Based on SA-BESO" Applied Sciences 13, no. 7: 4566. https://doi.org/10.3390/app13074566
APA StyleChen, L., Zhang, H., Wang, W., & Zhang, Q. (2023). Topology Optimization Based on SA-BESO. Applied Sciences, 13(7), 4566. https://doi.org/10.3390/app13074566

