Multimodal Power Management Based on Decision Tree for Internet of Wearable Things Systems
Abstract
1. Introduction
- A multimodal ML-DPMS approach that increases by at least the number of transmissions in comparison to uniform power management approaches when the incoming biosignal data has high variability, and the power of the supercapacitor is sufficient and achieves a good energy saving of up 39.6%, avoiding system shutdown, when the supercapacitor’s energy is low.
- A low consumption of 25.72 J for the IoWT system based on the ML-decision tree algorithm programmed in the Nordic nRF52840 MCU. A 380.8 mW solar PV (photovoltaic) power generation system (i.e., 99.7 J of energy harvested per day) which is 3.87 times more than the energy required for operation.
- A highly integrated PPG-based wearable prototype to evaluate the ML-decision tree power management strategy.
2. Circuit Design of the PPG-Based Wearable System
2.1. Energy Harvesting Circuit
2.2. Microcontroller Unit with BLE Wireless Communication
2.3. Healthcare Sensors
2.3.1. Temperature Sensor
2.3.2. Heart Rate and SpO2-PPG Sensor
3. Intelligent Power Management
3.1. Data Acquisition
- Each sampling cycle has N = 512 measurements of Temp, SpO2, and HR. The measurement period takes 20.48 s at a sampling frequency of 25 Hz.
- The supercapacitor’s voltage level V is also acquired every time the MCU wakes up ().
- The moving average algorithm (MA) is implemented in the nRF52840 MCU. That is: . The N value is a power of 2, which means that the division is computed by a simple shift operation.
- ML-decision tree processing
- Data transmission with the BLE protocol
- Sleep period of min (default value) for IoWT sensing update.
3.2. ML-Decision Tree
- The initial information entropy of the sample set is calculated aswhere is the sample set, represents the probability of samples, and m is the number of classes, which matches the sleep system periods.
- The split entropy of the sample set under a selected action is calculated assuming that is divided into two subsets {, } by a randomly selected action A. The split entropy is shown as follows:
4. Experimental Results
4.1. Power Consumption and Energy Harvester Analysis
4.2. ML-Decision Tree Power Management Results
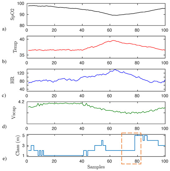
- The first scenario considers biosignal measurements with medium to high SpO2, Temp, and HR variations, with a critical behavior in samples 50 to 80 (See Figure 8a–c showing an SpO2 level below 90%, Temperature of 40° and HR above 120). The supercapacitor voltage level, in Figure 8d, is above 4.0 V with a steady behavior at the beginning, and slow variations from sample 20. Five classes were employed in the experiment according to the following sleep periods: = 5 min, = 7.5 min, = 10 min, = 12.5 min and = 15 min.
- The second test case scenario considers the same unstable behavior on the biosignal measurements as shown in Figure 10a–c. Five classes are also employed with the same range of test case 1.
5. Discussion
6. Conclusions
Author Contributions
Funding
Institutional Review Board Statement
Informed Consent Statement
Data Availability Statement
Conflicts of Interest
References
- Xu, S.; Zhang, L.; Huang, W.; Wu, H.; Song, A. Deformable Convolutional Networks for Multimodal Human Activity Recognition Using Wearable Sensors. IEEE Trans. Instrum. Meas. 2022, 71, 1–14. [Google Scholar] [CrossRef]
- Cheung, C.C.; Krahn, A.D.; Andrade, J.D. The Emerging Role of Wearable Technologies in Detection of Arrhythmia. Can. J. Cardiol. 2018, 34, 1083–1087. [Google Scholar] [CrossRef] [PubMed]
- Jeong, I.C.; Bychkov, D.; Searson, P.C. Wearable Devices for Precision Medicine and Health State Monitoring. IEEE Trans. Biomed. Eng. 2019, 66, 1242–1258. [Google Scholar] [CrossRef]
- Rando, E.; Pérez, P.; Scagliusi, S.F.; Medrano, F.J.; Huertas, G.; Yúfera, A. A Plethysmography Capacitive Sensor for Real-Time Monitoring of Volume Changes in Acute Heart Failure. IEEE Trans. Instrum. Meas. 2021, 70, 1–12. [Google Scholar] [CrossRef]
- Meng, L.; Ge, K.; Song, Y.; Yang, D.; Lin, Z. Long-term Wearable Electrocardiogram Signal Monitoring and Analysis Based on Convolutional Neural Network. IEEE Trans. Instrum. Meas. 2021, 70, 1–11. [Google Scholar] [CrossRef]
- Narendra Kumar Reddy, G.; Sabarimalai Manikandan, M.; Narasimha Murty, N.V.L. On-Device Integrated PPG Quality Assessment and Sensor Disconnection/Saturation Detection System for IoT Health Monitoring. IEEE Trans. Instrum. Meas. 2020, 69, 6351–6361. [Google Scholar] [CrossRef]
- Starliper, N.; Mohammadzadeh, F.; Songkakul, T.; Hernandez, M.; Bozkurt, A.; Lobaton, E. Activity-Aware Wearable System for Power-Efficient Prediction of Physiological Responses. Sensors 2019, 19, 441. [Google Scholar] [CrossRef]
- Oubre, B.; Daneault, J.F.; Boyer, K.; Kim, J.H.; Jasim, M.; Bonato, P.; Lee, S.I. A Simple Low-Cost Wearable Sensor for Long-Term Ambulatory Monitoring of Knee Joint Kinematics. IEEE Trans. Biomed. Eng. 2020, 67, 3483–3490. [Google Scholar] [CrossRef]
- Lee, S.I.; Adans-Dester, C.P.; O’Brien, A.T.; Vergara-Diaz, G.P.; Black-Schaffer, R.; Zafonte, R.; Dy, J.G.; Bonato, P. Predicting and Monitoring Upper-Limb Rehabilitation Outcomes Using Clinical and Wearable Sensor Data in Brain Injury Survivors. IEEE Trans. Biomed. Eng. 2021, 68, 1871–1881. [Google Scholar] [CrossRef]
- Burrello, A.; Pagliari, D.J.; Risso, M.; Benatti, S.; Macii, E.; Benini, L.; Poncino, M. Q-PPG: Energy-Efficient PPG-Based Heart Rate Monitoring on Wearable Devices. IEEE Trans. Biomed. Circuits Syst. 2021, 15, 1196–1209. [Google Scholar] [CrossRef]
- Dell’Agnola, F.; Pale, U.; Marino, R.; Arza, A.; Atienza, D. MBioTracker: Multimodal Self-Aware Bio-Monitoring Wearable System for Online Workload Detection. IEEE Trans. Biomed. Circuits Syst. 2021, 15, 994–1007. [Google Scholar] [CrossRef] [PubMed]
- Chaudhury, S.; Yu, C.; Liu, R.; Kumar, K.; Hornby, S.; Duplessis, C.; Sklar, J.M.; Epstein, J.E.; Reifman, J. Wearables Detect Malaria Early in a Controlled Human-Infection Study. IEEE Trans. Biomed. Eng. 2022, 69, 2119–2129. [Google Scholar] [CrossRef] [PubMed]
- Davies, H.J.; Bachtiger, P.; Williams, I.; Molyneaux, P.L.; Peters, N.S.; Mandic, D.P. Wearable In-Ear PPG: Detailed Respiratory Variations Enable Classification of COPD. IEEE Trans. Biomed. Eng. 2022, 69, 2390–2400. [Google Scholar] [CrossRef] [PubMed]
- Rocha, L.G.; Biswas, D.; Verhoef, B.E.; Bampi, S.; Van Hoof, C.; Konijnenburg, M.; Verhelst, M.; Van Helleputte, N. Binary CorNET: Accelerator for HR Estimation From Wrist-PPG. IEEE Trans. Biomed. Circuits Syst. 2020, 14, 715–726. [Google Scholar] [CrossRef] [PubMed]
- Wang, N.; Zhou, J.; Dai, G.; Huang, J.; Xie, Y. Energy-Efficient Intelligent ECG Monitoring for Wearable Devices. IEEE Trans. Biomed. Circuits Syst. 2019, 13, 1112–1121. [Google Scholar] [CrossRef]
- Mayer, P.; Magno, M.; Benini, L. Energy-Positive Activity Recognition - From Kinetic Energy Harvesting to Smart Self-Sustainable Wearable Devices. IEEE Trans. Biomed. Circuits Syst. 2021, 15, 926–937. [Google Scholar] [CrossRef]
- Xu, C.; Song, Y.; Han, M.; Zhang, H. Portable and wearable self-powered systems based on emerging energy harvesting technology. Microsystems Nanoeng. 2021, 7, 3–14. [Google Scholar] [CrossRef]
- Khalid, S.; Raouf, I.; Khan, A.; Kim, N.; Kim, H. A Review of Human-Powered Energy Harvesting for Smart Electronics: Recent Progress and Challenges. Int. J. Precis. Eng. Manuf.-Green Tech. 2019, 6, 821–851. [Google Scholar] [CrossRef]
- Wei, Y.; Zhou, J.; Wang, Y.; Liu, Y.; Liu, Q.; Luo, J.; Wang, C.; Ren, F.; Huang, L. A Review of Algorithm and Hardware Design for AI-Based Biomedical Applications. IEEE Trans. Biomed. Circuits Syst. 2020, 14, 145–163. [Google Scholar] [CrossRef]
- Qaim, W.B.; Ometov, A.; Molinaro, A.; Lener, I.; Campolo, C.; Lohan, E.S.; Nurmi, J. Towards Energy Efficiency in the Internet of Wearable Things: A Systematic Review. IEEE Access 2020, 8, 175412–175435. [Google Scholar] [CrossRef]
- Wu, T.; Redouté, J.M.; Yuce, M.R. A Wireless Implantable Sensor Design With Subcutaneous Energy Harvesting for Long-Term IoT Healthcare Applications. IEEE Access 2018, 6, 35801–35808. [Google Scholar] [CrossRef]
- Wang, W.; Xu, P.; Yang, L.T. Secure Data Collection, Storage and Access in Cloud-Assisted IoT. IEEE Cloud Comput. 2018, 5, 77–88. [Google Scholar] [CrossRef]
- Savaglio, C.; Pace, P.; Aloi, G.; Liotta, A.; Fortino, G. Lightweight Reinforcement Learning for Energy Efficient Communications in Wireless Sensor Networks. IEEE Access 2019, 7, 29355–29364. [Google Scholar] [CrossRef]
- Golkarifard, M.; Yang, J.; Huang, Z.; Movaghar, A.; Hui, P. Dandelion: A Unified Code Offloading System for Wearable Computing. IEEE Trans. Mob. Comput. 2019, 18, 546–559. [Google Scholar] [CrossRef]
- Fiandrino, C.; Allio, N.; Kliazovich, D.; Giaccone, P.; Bouvry, P. Profiling Performance of Application Partitioning for Wearable Devices in Mobile Cloud and Fog Computing. IEEE Access 2019, 7, 12156–12166. [Google Scholar] [CrossRef]
- Lu, Y.; Ye, T.; Zheng, J. Decision Tree Algorithm in Machine Learning. In Proceedings of the 2022 IEEE International Conference on Advances in Electrical Engineering and Computer Applications (AEECA), Dalian, China, 20–21 August 2022; pp. 1014–1017. [Google Scholar] [CrossRef]
- Fontaine, J.; Shahid, A.; Van Herbruggen, B.; De Poorter, E. Impact of Embedded Deep Learning Optimizations for Inference in Wireless IoT Use Cases. IEEE Internet Things Mag. 2022, 5, 86–91. [Google Scholar] [CrossRef]
- Taghavi, M.; Shoaran, M. Hardware Complexity Analysis of Deep Neural Networks and Decision Tree Ensembles for Real-time Neural Data Classification. In Proceedings of the 2019 9th International IEEE/EMBS Conference on Neural Engineering (NER), San Francisco, CA, USA, 20–23 March 2019; pp. 407–410. [Google Scholar] [CrossRef]
- Veligorskyi, O.; Khomenko, M.; Chakirov, R.; Vagapov, Y. Performance analysis of a wearable photovoltaic system. In Proceedings of the 2018 IEEE International Conference on Industrial Electronics for Sustainable Energy Systems (IESES), Hamilton, New Zealand, 31 January–2 February 2018; pp. 376–381. [Google Scholar] [CrossRef]
- Nordic-Semiconductors. nRF52840 Dongle. 2020. Available online: https://www.nordicsemi.com/Software-and-tools/Development-Kits/nRF52840-Dongle (accessed on 1 July 2020).
- Maxim Integrated: PPG Algorithms Specifications. Available online: https://www.maximintegrated.com/en/design/technical-documents/app-notes/7/7272.html (accessed on 29 July 2022).
- Béres, S.; Hejjel, L. The minimal sampling frequency of the photoplethysmogram for accurate pulse rate variability parameters in healthy volunteers. Biomed. Signal Process. Control. 2021, 68, 102589. [Google Scholar] [CrossRef]
- Baek, H.; Shin, J.; Jin, G. Reliability of the Parabola Approximation Method in Heart Rate Variability Analysis Using Low-Sampling-Rate Photoplethysmography. J. Med. Syst. 2017, 41, 189. [Google Scholar] [CrossRef]
- Elgendi, M.; Fletcher, R.; Liang, Y. The use of photoplethysmography for assessing hypertension. NPJ Digit. Med. 2019, 2, 60. [Google Scholar] [CrossRef]
- NEWS: National Early Warning Score. Available online: https://www.rcplondon.ac.uk/projects/outputs/national-early-warning-score-news-2 (accessed on 5 August 2022).
- Sivapalan, G.; Nundy, K.K.; Dev, S.; Cardiff, B.; John, D. ANNet: A Lightweight Neural Network for ECG Anomaly Detection in IoT Edge Sensors. IEEE Trans. Biomed. Circuits Syst. 2022, 16, 24–35. [Google Scholar] [CrossRef]
- Chéour, R.; Jmal, M.W.; Khriji, S.; El Houssaini, D.; Trigona, C.; Abid, M.; Kanoun, O. Towards Hybrid Energy-Efficient Power Management in Wireless Sensor Networks. Sensors 2021, 22, 301. [Google Scholar] [CrossRef] [PubMed]
- Shyam Sunder Reddy, K.; Manohara, M.; Shailaja, K.; Revathy, P.; Kumar, T.M.; Premalatha, G. Power management using AI-based IOT systems. Meas. Sens. 2022, 24, 100551. [Google Scholar] [CrossRef]
- Lopez-Gasso, A.; Beriain, A.; Solar, H.; Berenguer, R. Power Management Unit for Solar Energy Harvester Assisted Batteryless Wireless Sensor Node. Sensors 2022, 22, 7908. [Google Scholar] [CrossRef] [PubMed]
- Barati, A.; Movaghar, A.; Sabaei, M. Energy Efficient and High Speed Error Control Scheme for Real Time Wireless Sensor Networks. Int. J. Distrib. Sens. Netw. 2014, 10, 698125. [Google Scholar] [CrossRef]
- Barati, A.; Movaghar, A.; Sabaei, M. RDTP: Reliable Data Transport Protocol in Wireless Sensor Networks. Telecommun. Syst. 2016, 62, 611–623. [Google Scholar] [CrossRef]
- Khazaei, E.; Barati, A.; Movaghar, A. Improvement of fault detection in wireless sensor networks. In Proceedings of the 2009 ISECS International Colloquium on Computing, Communication, Control, and Management, Sanya, China, 8–9 August 2009; Volume 4, pp. 644–646. [Google Scholar] [CrossRef]











| [6] | [10] | [14] | [36] | [16] | This Work | |
|---|---|---|---|---|---|---|
| Management Technique | Threshold Decision | Temporal Convolutional Network | CNN + LSTM | LSTM + MLP | — | ML-Decision Tree + Dynamic PMS |
| Sensor | PPG | PPG | PPG | ECG | — | PPG |
| Wireless Protocol | Bluetooth | BLE | — | — | — | BLE |
| Storage Element | — | Li-Ion 370 mAh | — | — | — | Supercapacitor 8 F |
| Power Generation | — | — | — | — | 900 W@ 272.7 A | 99.72 J per day |
| Power Consumption | 2.52 J | 13.7 mW@ 4.5 mA | 56.1 J per processed window | 36.96 W | 18 W@ 5.48 A | 25.74 J per day |
| Energy Source | — | — | — | — | Kinetic microgenerators | Solar PV cell |
Disclaimer/Publisher’s Note: The statements, opinions and data contained in all publications are solely those of the individual author(s) and contributor(s) and not of MDPI and/or the editor(s). MDPI and/or the editor(s) disclaim responsibility for any injury to people or property resulting from any ideas, methods, instructions or products referred to in the content. |
© 2023 by the authors. Licensee MDPI, Basel, Switzerland. This article is an open access article distributed under the terms and conditions of the Creative Commons Attribution (CC BY) license (https://creativecommons.org/licenses/by/4.0/).
Share and Cite
Ortegón-Aguilar, J.; Castillo-Atoche, A.; Becerra-Nuñez, G.; Estrada-López, J.J.; Osorio-de-la-Rosa, E.; Carrasco-Alvarez, R.; Datta, A.; Vázquez-Castillo, J. Multimodal Power Management Based on Decision Tree for Internet of Wearable Things Systems. Appl. Sci. 2023, 13, 4351. https://doi.org/10.3390/app13074351
Ortegón-Aguilar J, Castillo-Atoche A, Becerra-Nuñez G, Estrada-López JJ, Osorio-de-la-Rosa E, Carrasco-Alvarez R, Datta A, Vázquez-Castillo J. Multimodal Power Management Based on Decision Tree for Internet of Wearable Things Systems. Applied Sciences. 2023; 13(7):4351. https://doi.org/10.3390/app13074351
Chicago/Turabian StyleOrtegón-Aguilar, Jaime, Alejandro Castillo-Atoche, Guillermo Becerra-Nuñez, Johan Jair Estrada-López, Edith Osorio-de-la-Rosa, Roberto Carrasco-Alvarez, Asim Datta, and Javier Vázquez-Castillo. 2023. "Multimodal Power Management Based on Decision Tree for Internet of Wearable Things Systems" Applied Sciences 13, no. 7: 4351. https://doi.org/10.3390/app13074351
APA StyleOrtegón-Aguilar, J., Castillo-Atoche, A., Becerra-Nuñez, G., Estrada-López, J. J., Osorio-de-la-Rosa, E., Carrasco-Alvarez, R., Datta, A., & Vázquez-Castillo, J. (2023). Multimodal Power Management Based on Decision Tree for Internet of Wearable Things Systems. Applied Sciences, 13(7), 4351. https://doi.org/10.3390/app13074351

