Energy Behaviour of Coal Failure under Uniaxial Cyclic Loading/Unloading
Abstract
1. Introduction
2. Experiments and Methods
2.1. Specimen
2.2. Experimental Equipment
2.3. Experimental Process
3. Theoretical Basis
3.1. Energy Conversion of the Coal Specimen
3.2. Energy Calculation of the Coal Specimen
4. Results and Analysis
4.1. The Characteristics of AE Energy under Cyclic Loading/Unloading
4.1.1. AE Energy under Gradation Cyclic Loading/Unloading
4.1.2. AE Energy under Equal Amplitude Cyclic Loading/Unloading
4.2. Energy Evolution Characteristics of the Coal Specimen
4.2.1. Evolution Characteristics of Energy Storage Rate
The Evolution Characteristics of the Energy Storage Rate under Grading Cyclic Loading/Unloading
The Evolution Pattern of the Energy Storage Rate during the Equal Amplitude Loading/Unloading
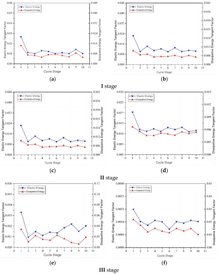
4.2.2. Evolution Characteristics of Energy Tangent Factor
Energy Growth Pattern under Graded Cyclic Load
Energy Growth Pattern under Equal Amplitude Cyclic Load
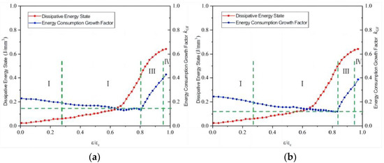
4.2.3. Evolution Characteristics of Energy Damage Factor
4.3. Energy Evolution Model of Coal Failure Process
5. Discussion
5.1. Energy Behaviour Criterion of the Coal Specimen
5.1.1. Energy Storage Factor Criterion
5.1.2. Energy Consumption Growth Factor Criterion
5.1.3. Energy Damage Factor Criterion
5.2. Prototype of Energy Behaviour Predicting Pattern
6. Conclusions
- (1)
- The energy density of the coal specimen has experienced the evolution pattern of “slow growth rate–linear high speed growth–slowing growth rate” under the staged cycle loading/unloading. Furthermore, the energy storage state of the coal specimen has experienced “lower value–extreme speed growth–stable value–a small decline”. Under the equal amplitude loading/unloading, the energy density gradually decreases in stage I and stage III. It basically maintains a stable state without a large degree of fluctuation in stage II, and its energy storage rate has undergone the evolution pattern of “high value–higher value–medium-to-high value”.
- (2)
- The coal specimen exhibits different energy behaviours and energy states in different fracture stages. The energy behaviours of the coal specimen can well reflect the steady state of different deformation stages of the coal failure, and the dissipative energy behaviour has a sudden effect in the fracture process. This contributes to describing the sudden characteristics of the coal failure. The energy-driven mechanism of coal failure is determined by the energy storage mechanism and the energy consumption mechanism. It is related to the energy storage limit and the energy consumption limit. The energy storage mechanism of the coal specimen presents the pattern of “low energy promotion, high energy suppression and dissipation promotion, cumulative suppression growth”.
- (3)
- Based on the energy dissipation behaviour of the coal specimen, the damage state evolution equation and the energy behaviour evolution criterion are established under the cyclic loading/unloading. Then, an energy evolution predicting model of the coal specimen is constructed in this paper.
Author Contributions
Funding
Institutional Review Board Statement
Informed Consent Statement
Data Availability Statement
Acknowledgments
Conflicts of Interest
References
- Eberhardt, E.; Stead, D.; Stimpson, B. Identifying crack initiation and propagation thresholds in brittle rock. Can. Geotech. J. 1998, 35, 222–233. [Google Scholar] [CrossRef]
- Cai, M.; Kaiser, P.K.; Tasaka, Y. Generalized crack initiation and crack damage stress thresholds of brittle rock masses near underground excavations. Int. J. Rock Mech. Min. 2004, 41, 833–847. [Google Scholar] [CrossRef]
- Wang, C.L.; Gao, A.S.; Shi, F. Three-dimensional Reconstruction and Growth Factor Model for Rock Cracks under Uniaxial Cyclic Loading/Unloading by X-ray CT. Geotech. Test. J. 2019, 42, 117–135. [Google Scholar] [CrossRef]
- Vejahati, F.; Xu, Z.H.; Gupta, R. Trace elements in coal: Associations with coal and minerals and their behavior during coal utilization—A review. Fuel 2010, 89, 904–911. [Google Scholar] [CrossRef]
- Deng, Y.; Chen, M.; Jin, Y. Theoretical analysis and experimental research on the energy dissipation of rock crushing based on fractal theory. J. Nat. Gas. Sci. Eng. 2016, 33, 231–239. [Google Scholar] [CrossRef]
- Munoz, H.; Taheri, A.; Chanda, E.K. Fracture energy-based brittleness index development and brittleness quantification by pre-peak strength parameters in rock uniaxial compression. Rock Mech. Rock Eng. 2016, 49, 4587–4606. [Google Scholar] [CrossRef]
- Li, X.L.; Chen, S.J.; Li, Z.H. Rockburst mechanism in coal rock with structural surface and the microseismic (MS) and electromagnetic radiation (EMR) response. Eng. Fail. Anal. 2021, 124, 105396. [Google Scholar] [CrossRef]
- Wang, C.L.; Liu, Y.B.; Hou, X.L.; Elmo, D. Investigation of the spatial distribution pattern of 3D microcracks in single-cracked breakage. Int. J. Rock Mech. Min. Sci. 2022, 154, 105126. [Google Scholar] [CrossRef]
- Wang, C.L.; Zhou, B.K.; Li, C.F. Experimental investigation on the spatio-temporal-energy evolution pattern of limestone fracture using acoustic emission monitoring. J. Appl. Geophys. 2022, 206, 104787. [Google Scholar] [CrossRef]
- Wang, C.L.; Hou, X.L.; Liu, Y.B. Three-Dimensional Crack Recognition by Unsupervised Machine Learning. Rock Mech. Rock Eng. 2021, 54, 893–903. [Google Scholar] [CrossRef]
- Li, X.L.; Chen, S.J.; Liu, S.M. AE waveform characteristics of rock mass under uniaxial loading based on Hilbert-Huang transform. J. Cent. South Univ. 2021, 28, 1843–1856. [Google Scholar] [CrossRef]
- Cerfontaine, B.; Collin, F. Cyclic and fatigue behaviour of rock materials: Review, interpretation and research perspectives. Rock Mech. Rock Eng. 2018, 51, 391–414. [Google Scholar] [CrossRef]
- Taheri, A.; Yfantidis, N.; Olivares, C.L. Experimental study on degradation of mechanical properties of sandstone under different cyclic loadings. Geotech. Test. J. 2016, 39, 673–687. [Google Scholar] [CrossRef]
- Feng, F.; Chen, S.J.; Wang, Y.J. Cracking mechanism and strength criteria evaluation of granite affected by intermediate principal stresses subjected to unloading stress state. Int. J. Rock Mech. Min. 2021, 143, 104783. [Google Scholar] [CrossRef]
- Zhang, M.; Meng, Q.; Liu, S. Energy evolution characteristics and distribution laws of rock materials under triaxial cyclic loading and unloading compression. Adv. Mater. Sci. Eng. 2017, 8, 5471571. [Google Scholar] [CrossRef]
- Wang, C.L.; Hou, X.L.; Liao, Z.F. Experimental investigation of predicting coal failure using acoustic emission energy and load-unload response ratio theory. J. Appl. Geophys. 2019, 161, 76–83. [Google Scholar] [CrossRef]
- Gong, F.; Luo, S.; Yan, J. Energy storage and dissipation evolution process and characteristics of marble in three tension-type failure tests. Rock Mech. Rock Eng. 2018, 51, 3613–3624. [Google Scholar] [CrossRef]
- Hua, A.Z.; You, M.Q. Rock failure due to energy release during unloading and application to underground rock burst control. Tunn. Undergr. Sp. Technol. 2001, 3, 241–246. [Google Scholar] [CrossRef]
- Xiao, J.Q.; Ding, D.X.; Jiang, F.L. Fatigue damage variable and evolution of rock subjected to cyclic loading. Int. J. Rock Mech. Min. 2010, 3, 461–468. [Google Scholar] [CrossRef]
- Liu, E.; He, S. Effects of cyclic dynamic loading on the mechanical properties of intact rock samples under confining pressure conditions. Eng. Geol. 2012, 125, 81–91. [Google Scholar] [CrossRef]
- Wang, Y.; Cui, F. Energy evolution mechanism in process of Sandstone failure and energy strength criterion. J. Appl. Geophys. 2018, 154, 21–28. [Google Scholar] [CrossRef]
- Chen, Z.; He, C.; Ma, G. Energy Damage Evolution Mechanism of Rock and Its Application to Brittleness Evaluation. Rock Mech. Rock Eng. 2019, 52, 1265–1274. [Google Scholar] [CrossRef]
- He, M.; Huang, B.; Zhu, C. Energy dissipation-based method for fatigue life prediction of rock salt. Rock Mech. Rock Eng. 2018, 51, 1447–1455. [Google Scholar] [CrossRef]
- Bagde, M.N.; Petroš, V. Fatigue properties of intact sandstone samples subjected to dynamic uniaxial cyclical loading. Int. J. Rock Mech. Min. 2005, 42, 237–250. [Google Scholar] [CrossRef]
- Bagde, M.N.; Petroš, V. Fatigue and dynamic energy behaviour of rock subjected to cyclical loading. Int. J. Rock Mech. Min. 2009, 46, 200–207. [Google Scholar] [CrossRef]
- Sun, B.; Zhu, Z.; Shi, C. Dynamic mechanical behaviour and fatigue damage evolution of sandstone under cyclic loading. Int. J. Rock Mech. Min. 2017, 94, 82–89. [Google Scholar] [CrossRef]
- Huang, D.; Li, Y. Conversion of strain energy in triaxial unloading tests on marble. Int. J. Rock Mech. Min. 2014, 66, 160–168. [Google Scholar] [CrossRef]
- Li, D.; Sun, Z.; Xie, T. Energy evolution characteristics of hard rock during triaxial failure with different loading and unloading paths. Eng. Geol. 2017, 228, 270–281. [Google Scholar] [CrossRef]
- Jiang, C.; Duan, M.; Yin, G. Experimental study on seepage properties, AE characteristics and energy dissipation of coal under tiered cyclic loading. Eng. Geol. 2017, 221, 114–123. [Google Scholar] [CrossRef]
- Ning, J.; Wang, J.; Jiang, J. Estimation of crack initiation and propagation thresholds of confined brittle coal specimens based on energy dissipation theory. Rock Mech. Rock Eng. 2018, 51, 119–134. [Google Scholar] [CrossRef]
- Yang, Y.; Duan, H.Q.; Xing, L.Y.; Deng, L. Fatigue Characteristics of Coal Specimens under Cyclic Uniaxial Loading. Geotech. Test. J. 2019, 42, 331–346. [Google Scholar] [CrossRef]
- Wang, Z.; Li, H.R.; Wang, J.G.; Shi, H. Experimental Study on Mechanical and Energy Properties of Granite under Dynamic Triaxial Condition. Geotech. Test. J. 2018, 41, 1063–1075. [Google Scholar] [CrossRef]
- Meng, Q.; Zhang, M.; Han, L. Effects of acoustic emission and energy evolution of rock specimens under the uniaxial cyclic loading and unloading compression. Rock Mech. Rock Eng. 2016, 49, 3873–3886. [Google Scholar] [CrossRef]
- Peng, R.; Ju, Y.; Wang, J.G. Energy dissipation and release during coal failure under conventional triaxial compression. Rock Mech. Rock Eng. 2015, 48, 509–526. [Google Scholar] [CrossRef]
- Vaneghi, R.G.; Ferdosi, B.; Okoth, A.D.; Kuek, B. Strength degradation of sandstone and granodiorite under uniaxial cyclic loading. J. Rock Mech. Geotech. Eng. 2018, 10, 117–126. [Google Scholar] [CrossRef]
- Chen, W.X.; He, X.Q.; Liu, M.J.; Mitri, H.; Wang, Q. Meso- and macro-behaviour of coal rock: Observations and constitutive model development. Int. J. Rock Mech. Min. 2015, 30, 13–24. [Google Scholar] [CrossRef]
- Xu, J.; Jiang, J.; Xu, N. A new energy index for evaluating the tendency of rockburst and its engineering application. Eng. Geol. 2017, 230, 46–54. [Google Scholar] [CrossRef]
- Liu, X.S.; Ning, J.G.; Tan, Y.L. Damage constitutive model based on energy dissipation for intact rock subjected to cyclic loading. Int. J. Rock Mech. Min. 2016, 85, 27–32. [Google Scholar] [CrossRef]
- Meng, Q.; Zhang, M.W.; Zhang, Z.Z. Experimental Research on Rock Energy Evolution under Uniaxial Cyclic Loading and Unloading Compression. Geotech. Test. J. 2018, 41, 717–729. [Google Scholar] [CrossRef]
- Wang, C.L. Evolution, Monitoring and Predicting Models of Rockburst; Springer: Berlin/Heidelberg, Germany, 2018. [Google Scholar] [CrossRef]
- Munoz, H.; Taheri, A.; Chanda, E.K. Rock drilling performance evaluation by an energy dissipation based rock brittleness index. Rock Mech. Rock Eng. 2016, 49, 3343–3355. [Google Scholar] [CrossRef]
- Wang, C.L.; He, B.B.; Hou, X.L. Stress-Energy Mechanism for Rock Failure Evolution Based on Damage Mechanics in Hard Rock. Rock Mech. Rock Eng. 2019, 53, 1021–1037. [Google Scholar] [CrossRef]
- Hoek, E.; Martin, C.D. Fracture initiation and propagation in intact rock—A review. J. Rock Mech. Geotech. Eng. 2014, 6, 287–300. [Google Scholar] [CrossRef]
- Munoz, H.; Taheri, A. Local Damage and Progressive Localisation in Porous Sandstone during Cyclic Loading. Rock Mech. Rock Eng. 2017, 50, 3253–3259. [Google Scholar] [CrossRef]
- Munoz, H.; Taheri, A.; Chanda, E. Rock cutting characteristics on soft-to-hard rocks under different cutter inclinations. Int. J. Rock Mech. Min. 2016, 87, 85–89. [Google Scholar] [CrossRef]
- Zhao, G.; Bing, D.A.I.; Dong, L. Energy conversion of rocks in process of unloading confining pressure under different unloading paths. Trans. Nonferrous Met. Soc. China 2015, 25, 1626–1632. [Google Scholar] [CrossRef]
- Xie, H.; Li, L.; Peng, R. Energy analysis and criteria for structural failure of rocks. J. Rock Mech. Geotech. Eng. 2009, 1, 11–20. [Google Scholar] [CrossRef]
- Wang, Q.S.; Chen, J.X.; Guo, J.Q.; Luo, Y.B.; Wang, H.Y.; Liu, Q. Acoustic emission characteristics and energy mechanism in karst limestone failure under uniaxial and triaxial compression. Bull. Eng. Geol. Environ. 2019, 78, 1427–1442. [Google Scholar] [CrossRef]
- Tarasov, B.G.; Stacey, T.R. Features of the Energy Balance and Fragmentation Mechanisms at Spontaneous Failure of Class I and Class II Rocks. Rock Mech. Rock Eng. 2017, 50, 2563–2584. [Google Scholar] [CrossRef]
















Disclaimer/Publisher’s Note: The statements, opinions and data contained in all publications are solely those of the individual author(s) and contributor(s) and not of MDPI and/or the editor(s). MDPI and/or the editor(s) disclaim responsibility for any injury to people or property resulting from any ideas, methods, instructions or products referred to in the content. |
© 2023 by the authors. Licensee MDPI, Basel, Switzerland. This article is an open access article distributed under the terms and conditions of the Creative Commons Attribution (CC BY) license (https://creativecommons.org/licenses/by/4.0/).
Share and Cite
Wang, C.; Zhao, Z.; Zuo, C. Energy Behaviour of Coal Failure under Uniaxial Cyclic Loading/Unloading. Appl. Sci. 2023, 13, 4324. https://doi.org/10.3390/app13074324
Wang C, Zhao Z, Zuo C. Energy Behaviour of Coal Failure under Uniaxial Cyclic Loading/Unloading. Applied Sciences. 2023; 13(7):4324. https://doi.org/10.3390/app13074324
Chicago/Turabian StyleWang, Chunlai, Ze Zhao, and Chang Zuo. 2023. "Energy Behaviour of Coal Failure under Uniaxial Cyclic Loading/Unloading" Applied Sciences 13, no. 7: 4324. https://doi.org/10.3390/app13074324
APA StyleWang, C., Zhao, Z., & Zuo, C. (2023). Energy Behaviour of Coal Failure under Uniaxial Cyclic Loading/Unloading. Applied Sciences, 13(7), 4324. https://doi.org/10.3390/app13074324
