Critical Current Degradation in HTS Tapes for Superconducting Fault Current Limiter under Repeated Overcurrent
Abstract
1. Introduction
- Generator or transformer feeder, busbar coupling, and power plant auxiliaries. It brings the following benefits: improvement in stability and circuit breakers, and switchgear components do not need to be replaced [21];
2. Characteristics of the Tested Materials
3. Measuring System, Method, and Scope of Research
3.1. Measuring System
3.2. Methods of Research
3.2.1. Determination of the Critical Current of HTS Tapes
3.2.2. Determination of the Value of Surge and Limited Current and Voltage on the HTS Tape
3.3. Scope of Research
- Determination of the values characterizing the HTS tapes in the process of limiting the prospective short-circuit current (I0max, Imin) and changes in the critical current (IC) value occurring as a result of multiple transitions of the tapes from the superconducting state. These values are important from the point of view of cooperation between SFCL and system protection;
- Determination of the voltage (Umax) and energy E released in the HTS tapes during the operation of the test current pulse for different values of the prospective short-circuit current;
- Testing changes in quantities that characterize HTS tapes in conditions of multiple exposures to test currents;
- Determination of the safe range of voltage drops per unit length for both tapes for which the degradation of HTS tapes does not occur or is small;
- The above issues are important for determining the required length of the HTS tape in SFCL, operating at a specific rated voltage, so that the voltage drops on the HTS tape do not exceed the permissible values.
- Microstructural tests showed changes in the HTS tape due to the current impulses test. The cross-sectional surfaces of the tapes were examined using an atomic force microscope (AFM) and an optical microscope (OM).
4. Experimental Results
4.1. Study of Changes in the Value of Surge Currents as a Function of the Prospective Short-Circuit Current
4.2. Study of Changes in the Value of the Minimum Currents Limited as a Function of the Prospective Short-Circuit Current
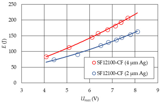
4.3. Examination of Changes in Voltage Values and Energy Dissipated on HTS Tapes as a Function of the Prospective Short-Circuit Current
4.4. Examination of Changes in the Critical Current of HTS 2G Tapes as a Result of the Repeated Impact of Test Current Impulses
4.5. Testing the Cross-Sectional Area of HTS Tapes
5. Conclusions
- In HTS tapes subjected to multiple test current pulses (corresponding to the values of the prospective short-circuit current), the value of the critical current decreases depending on the number of transitions from the superconducting state.
- The value of the critical current of the HTS tapes decreases with the increase in the value of the test impulse.
- Measurements of the energy released in the sample during the operation of the test impulse allow us to determine the permissible range of energy and voltage drops that practically do not change the value of the critical current or do not exceed the permissible values from the point of view of cooperation between the SFCL and the system protection.
- HTS tape with a silver layer of 4 µm thickness degrades very quickly above a certain energy value; therefore, a safe voltage drop range of 0.55 V/cm can be assumed, at which the drop in the critical current value does not exceed 3%.
- Decrease in the value of the critical current of the HTS tape due to multiple occurrences of a short circuit in the SFCL system should be considered at the design stage. It should be controlled during the operation of the SFCL.
- Morphological studies reveal that HTS tapes subjected to test current impulses (corresponding to the values of the prospective short-circuit current), causing their exit from the superconducting state, and show microdamage occurring in the superconducting layer and the boundary layer between the superconductor and silver in the form of bubbles, which may cause degradation.
- The observed microstructural changes in HTS 2G tapes due to the effect of test currents on the parameters of HTS tapes require further research and analysis. Future research will include an extension of microstructural studies and statistical studies.
Author Contributions
Funding
Institutional Review Board Statement
Informed Consent Statement
Data Availability Statement
Acknowledgments
Conflicts of Interest
References
- Fault Current Limiters, Raport on the CIGRE WG A3.10. In Proceedings of the CIGRE WG 13.10. Available online: https://www.ewh.ieee.org/soc/pes/switchgear/presentations/tp_files/2003-2_Lunch_1_A3-10.pdf (accessed on 27 March 2023).
- Sung, B.C.; Park, D.K.; Park, J.W.; Ko, T.K. Study on a series resistive SFCL to improve power system tranient stability: Modeling, simulation, and experimental verification. IEEE Trans. Ind. Electron. 2009, 26, 2412–2419. [Google Scholar] [CrossRef]
- Rao, V.V.; Kar, S. Superconducting Fault Current Limiters—A Review. Indian J. Cryog. 2011, 36, 14–25. [Google Scholar]
- Nagarathna, M.C.; Murthy, H.V.; Shashikumar, R. A Review on Super Conducting Fault Current Limiter (SFCL) in Power System. Int. J. Eng. Res. Gen. Sci. 2015, 3, 485–489. [Google Scholar]
- Gupta, V.; Trivedi, U.; Buch, N.J. Solid State Electronic Fault Current Limiter to Limit the Fault Current in Power System. Physics 2010. [Google Scholar]
- Nelson, A.; Masur, L.; Moriconi, F.; De La Rosa, F.; Kirsten, D. Saturated-Core Current Limiter Field Experience at a Distribution Substation. In Proceedings of the 21st International Conference on Electricity Distribution, Frankfurt, Germany, 6–9 June 2011. [Google Scholar]
- Yadav, S.; Bharati, K.; Tewari, V. Sperconducting Fault Current Limiter—A Review. Int. J. Appl. Eng. Res. 2019, 14, 2. [Google Scholar]
- Ganev, G.I.; Hinov, K.; Karadzhov, N. Fault current limiters-Principiales and application. Siela 2012, 2012, 54–56. [Google Scholar]
- Alam, M.S.; Abido, M.A.Y.; El-Amin, I. Fault Current Limiters in Power Systems: A Comprehensive Review. Energies 2018, 11, 1025. [Google Scholar] [CrossRef]
- Yang, B.; Kang, J.; Lee, S.; Choi, C.; Moon, Y. Qualification test of a 80 kV 500 MW HTS DC cable for applying into real grid. IEEE Trans. Appl. Supercond. 2015, 25, 5402705. [Google Scholar] [CrossRef]
- Lee, S.J.; Yang, H.S. Recent Progresand Design of Three-Phase Coaxial HTS Power Cable in Korea. IEEE Trans. Appl. Supercond. 2019, 29, 1–5. [Google Scholar]
- Marian, A.; Hole, S.; Lallouet, N.; Marzahn, E. Development of Hightemperature Superconductivity Transformers for Railway Applications. IEEE Trans. Appl. Supercond. 2003, 13, 2325–2330. [Google Scholar]
- Yazdani-Asrami, M.; Sadeghi, A.; Seyyedbarzegar, S.; Song, W. Role of Insulation Materials and Cryogenic Coolants on Fault Performance of MW-Scale Fault-Tolerant Current-Limiting Superconducting Transformers. IEEE Trans. Appl. Supercond. 2023, 33, 1–15. [Google Scholar] [CrossRef]
- Schlosser, R.; Schmidt, H.; Leghissa, M.; Meinert, M.; Bruzek, C.E. Development of high temperature superconducting transformers for railway applications. IEEE Electr. Insul. Mag. 2020, 36, 30–40. [Google Scholar] [CrossRef]
- Song, W.; Jiang, Z.; Staines, M.; Badcock, R.A.; Zhang, J. Design of a single-phase 6.5 MVA/25 kV Superconducting traction transformer for Chinese Fuxing high-speed train. Int. J. Elect. Power Energy Syst. 2020, 119, 105956. [Google Scholar] [CrossRef]
- Haran, K.S.; Kalsi, S.; Arndt, T.; Karmaker, H.; Badcock, R.; Buckley, B.; Haugan, T.; Izumi, M.; Loder, D.; Bray, J.W.; et al. High power density superconducting rotating machines—Development status and technology roadmap. Supercond. Sci. Technol. 2017, 30, 123002. [Google Scholar] [CrossRef]
- Song, X.; Buhrer, C.; Brutsaert, P.; Krause, J.; Ammar, A.; Wiezoreck, J.; Hansen, J.; Rebsdorf, A.V.; Dhalle, M.; Bergen, A.; et al. Designing and basic experimental validation of the world’s first MW-class direct-drive superconducting wind turbine generator. IEEE Trans. Energy Convers. 2019, 34, 2218–2225. [Google Scholar] [CrossRef]
- Bock, J.; Bludau, M.; Dommerque, R.; Hobl, A.; Kraemer, S.; Rikel, M.O.; Elschner, S. HTS Fault Current Limiters—First Commercial Devices for Distribution Level Grid in Europe. IEEE Trans. Appl. Supercond. 2011, 21, 1202–1205. [Google Scholar] [CrossRef]
- Lee, S.; Yoon, J.; Yang, B.; Moon, Y.; Lee, B. Analisis model development and specification proposal of 154 kV SFCL for the application to a live grid in South Korea. Phys. C Supercond. Appl. 2014, 504, 148–152. [Google Scholar] [CrossRef]
- Doukas, D.I.; Blatsi, Z.D.; Milioudis, A.N.; Labridis, D.P.; Harnefors, L. Damping of electromagnetic transients in a superconducting VSC transmission system. In Proceedings of the 2015 IEEE Eindhoven PowerTech, Eindhoven, The Netherlands, 29 June–2 July 2015; pp. 1–6. [Google Scholar]
- Noe, M.; Steurer, M. High-temperature superconductor fault current limiters: Concepts, applications, and development statuts. Supercond. Sci. Technol. 2007, 20, R15. [Google Scholar] [CrossRef]
- Elshiekh, M.E.; Mansour, D.-E.A.; Azmy, A.M. Improving Fault Ride-Through Capability of DFIG-Based Wind Turbine Using Superconducting Fault Current Limiter. IEEE Trans. Appl. Supercond. 2013, 23, 5601204. [Google Scholar] [CrossRef]
- Zou, Z.C.; Chen, X.Y.; Li, C.S.; Xiao, X.Y.; Zhang, Y. Conceptual Design and Evaluation of a Resistive-Type SFCL for Efficient Fault Ride Through in a DFIG. IEEE Trans. Appl. Supercond. 2016, 26, 1–9. [Google Scholar] [CrossRef]
- Chen, L.; Li, G.; Chen, H.; Ding, M.; Zhang, X.; Li, Y.; Xu, Y.; Ren, L.; Tang, Y. Investigation of a Modified Flux-Coupling-Type SFCL for Low-Voltage Ride-Through Fulfillment of a Virtual Synchronous Generator. IEEE Trans. Appl. Supercond. 2020, 30, 5601006. [Google Scholar] [CrossRef]
- Lee, H.Y.; Asif, M.; Park, K.H.; Lee, B.W. Feasible Application Study of Several Types of Superconducting Fault Current Limiters in HVDC Grids. IEEE Trans. Appl. Supercond. 2018, 28, 5601205. [Google Scholar] [CrossRef]
- Lee, H.-Y.; Asif, M.; Park, K.-H.; Lee, B.-W. Assessment of appropriate SFCL type considering DC fault interruption in full bridge modular multilevel converter HVDC system. Phys. C Supercond. Appl. 2019, 563, 1–6. [Google Scholar] [CrossRef]
- Xi, J.; Pei, X.; Song, W.; Niu, L.; Liu, Y.; Zeng, X. Integration of superconducting fault current limiter with solid-state DC circuit breaker. Int. J. Electr. Power Energy Syst. 2023, 145, 108630. [Google Scholar] [CrossRef]
- Reddy, S.R.P.; Kar, S.; Rajashekara, K. Resistive SFCL Integrated Ultra-Fast DC Hybrid Circuit Breaker for Subsea HVDC Transmission Systems. In Proceedings of the 2021 IEEE Industry Applications Society Annual Meeting (IAS), Vancouver, BC, Canada, 10–14 October 2021; pp. 1–6. [Google Scholar]
- Moon, W.-S.; Won, J.-N.; Huh, J.-S.; Kim, J.-C. A Study on the Application of a Superconducting Fault Current Limiter for Energy Storage Protection in a Power Distribution System. IEEE Trans. Appl. Supercond. 2013, 23, 5603404. [Google Scholar] [CrossRef]
- Yehia, D.M.; Mansour, D.-E.A. Modeling and analysis of superconducting fault current limiter for system integration of battery banks. IEEE Trans. Appl. Supercond. 2018, 28, 5603006. [Google Scholar] [CrossRef]
- Choudhary, N.K.; Mohanty, S.R.; Singh, R.K. Protection coordination of over current relays in distribution system with DG and superconducting fault current limiter. In Proceedings of the 2014 Eighteenth National Power Systems Conference (NPSC), Guwahati, India, 18–20 December 2014. [Google Scholar]
- Asgharigovar, S.; Seyedi, H.; Parchehbaf Dibazari, S. Optimal coorination of overcurrent protection in the presence of SFCL and distributed generation. Turk. J. Electr. Eng. Comput. Sci. 2018, 26, 31. [Google Scholar]
- SuperPower®2G HTS Wier Specyfications. Available online: https://www.superpower-inc.com (accessed on 1 July 2022).
- Amaro, N.; Šouc, J.; Vojenčiak, M.; Pina, J.M.; Martins, J.; Ceballos, J.M.; Gömöry, F. AC Losses and material degradation effects in a superconducting tape for SMES applications. In Proceedings of the 5th IFIP WG 5.5/SOCOLNET Doctoral Conference on Computing, Electrical and Industrial Systems, DoCEIS 2014, Costa de Caparica, Portugal, 7–9 April 2014. [Google Scholar]
- Yazaki, S.; Karasawa, A.; Kotoyori, T.; Ishiyama, A.; Miyahora, N. Critical Current Degradation in High-Temperature Supeperconducting Tapes Caused by Temperature Rise. IEEE Trans. Appl. Supercond. 2013, 23, 4602304. [Google Scholar] [CrossRef]
- Ishiyama, A.; Nishio, Y.; Ueda, H.; Kashima, N.; Mori, M.; Watanabe, T.; Nagaya, S.; Yagi, M.; Mukoyama, S.; Machi, T.; et al. Degradation Characteristics of YBCO-Coated Conductors Subjected to Overcurrent Pulse. IEEE Trans. Appl. Supercond. 2009, 19, 3483–3486. [Google Scholar] [CrossRef]
- Xiong, X.; Lenseth, K.P.; Reeves, J.L.; Oiao, Y.; Schmidt, R.M.; Chen, Y.; Li, Y.; Xie, Y.; Selvamanckam, V. High Throughput Processing of Long-Length IBA MgO and Epi-Buffer Templates at SuperPower. IEEE Trans. Appl. Supercond. 2007, 17, 3375–3378. [Google Scholar] [CrossRef]
- Buchmuller, I. Influence of Pressure on Leidenfrost Effect; Technische Universität: Darmstadt, Germany, 2014. [Google Scholar]
- Kim, A.-R. Development of Critical Current Measurement System of HTS Tape Using Pulsed Current. IEEE Trans. Appl. Supercond. 2016, 26, 9001504. [Google Scholar] [CrossRef]
- Zhu, J.; Chen, S.; Jin, Z. Progress on Second-Generation High-Temperature Superconductor Tape Targeting Resistive Fault Current Limiter Application. Electronics 2022, 11, 297. [Google Scholar] [CrossRef]
- Majka, M.; Kozak, J.; Kozak, S. HTS Tapes Selection for Superconducting Current Limiters. IEEE Trans. Appl. Supercond. 2017, 27, 5601405. [Google Scholar] [CrossRef]
- Kar, S.; Rao, V. Step-by-step design of a single phase 3.3 kV/200 A resistive type superconducting fault current limiter (R-SFCL) and cryostat. Phys. C Supercond. Appl. 2018, 550, 107–116. [Google Scholar] [CrossRef]






















| Tape | SF12100-CF | SF12100-CF |
|---|---|---|
| the thickness of the silver layer | 4 μm | 2 μm |
| width | 12 mm | 12 mm |
| thickness | 0.105 mm | 0.105 mm |
| substrate thickness (Hastelloy) | 0.1 mm | 0.1 mm |
| minimum critical current ICmin (77 K) | 312 A | 281 A |
| Buffer Layers | Layer Thickness |
|---|---|
| alumina (Al2O3) | ~80 nm |
| yttria YSZ | ~7 nm |
| IBAD MgO | ~10 nm |
| homo-epi MgO | ~20 nm |
| LMO (LaMnO3) | ~30 nm |
| Prospective Short-Circuit Current | SF12100—4 µm Silver ICmin (77 K) = 312 A | SF12100—2 µm Silver ICmin (77 K) = 281 A | ||||||
|---|---|---|---|---|---|---|---|---|
| Ip (A) | I0max (A) | Imin (A) | Umax (V) | E (J) | I0max (A) | Imin (A) | Umax (V) | E (J) |
| 675 | 527.2 | 195.7 | 4.1 | 83.3 | 504.6 | 154.5 | 4.4 | 74.1 |
| 810 | 577.8 | 203.7 | 5.1 | 112.8 | 517.4 | 160.0 | 5.5 | 97.4 |
| 945 | 617.4 | 212.5 | 6.1 | 145.7 | 535.7 | 162.2 | 6.5 | 119.0 |
| 990 | 636.7 | 222.2 | 6.4 | 158.5 | 545.3 | 163.7 | 6.8 | 129.1 |
| 1035 | 646.2 | 222.2 | 6.8 | 169.8 | 552.3 | 167.8 | 7.2 | 137.4 |
| 1080 | 662.6 | 223.5 | 7.1 | 181.5 | 555.9 | 169.5 | 7.4 | 145.1 |
| 1125 | 667.9 | 228.1 | 7.4 | 193.3 | 562.7 | 172.2 | 7.8 | 154.3 |
| 1170 | 683.3 | 230.2 | 7.7 | 207.0 | 565.3 | 172.2 | 8.1 | 163.6 |
Disclaimer/Publisher’s Note: The statements, opinions and data contained in all publications are solely those of the individual author(s) and contributor(s) and not of MDPI and/or the editor(s). MDPI and/or the editor(s) disclaim responsibility for any injury to people or property resulting from any ideas, methods, instructions or products referred to in the content. |
© 2023 by the authors. Licensee MDPI, Basel, Switzerland. This article is an open access article distributed under the terms and conditions of the Creative Commons Attribution (CC BY) license (https://creativecommons.org/licenses/by/4.0/).
Share and Cite
Hajdasz, S.; Kempski, A.; Solak, K.; Marc, M.; Rusinski, J.; Szczesniak, P. Critical Current Degradation in HTS Tapes for Superconducting Fault Current Limiter under Repeated Overcurrent. Appl. Sci. 2023, 13, 4323. https://doi.org/10.3390/app13074323
Hajdasz S, Kempski A, Solak K, Marc M, Rusinski J, Szczesniak P. Critical Current Degradation in HTS Tapes for Superconducting Fault Current Limiter under Repeated Overcurrent. Applied Sciences. 2023; 13(7):4323. https://doi.org/10.3390/app13074323
Chicago/Turabian StyleHajdasz, Sylwia, Adam Kempski, Krzysztof Solak, Maciej Marc, Jacek Rusinski, and Pawel Szczesniak. 2023. "Critical Current Degradation in HTS Tapes for Superconducting Fault Current Limiter under Repeated Overcurrent" Applied Sciences 13, no. 7: 4323. https://doi.org/10.3390/app13074323
APA StyleHajdasz, S., Kempski, A., Solak, K., Marc, M., Rusinski, J., & Szczesniak, P. (2023). Critical Current Degradation in HTS Tapes for Superconducting Fault Current Limiter under Repeated Overcurrent. Applied Sciences, 13(7), 4323. https://doi.org/10.3390/app13074323

