Centrifuge Model Tests and Numerical Analysis of Uplift Capacity of Strip Anchors in Geogrid-Reinforced Sand
Abstract
1. Introduction
2. Experimental Study
2.1. Centrifuge Setup
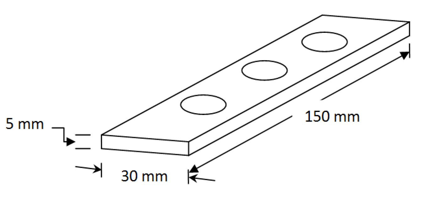
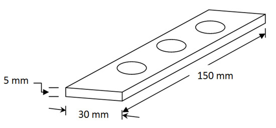
2.2. Model Anchor Plate
2.3. Properties of Sand
2.4. Details of Geogrid Reinforcement
2.5. Centrifuge Tests and Test Program
2.6. Centrifuge Test Results
3. Finite Element Analysis
Investigation of Mesh Density on Results
4. Results and Discussion
4.1. Comparison between Numerical and Experimental Results
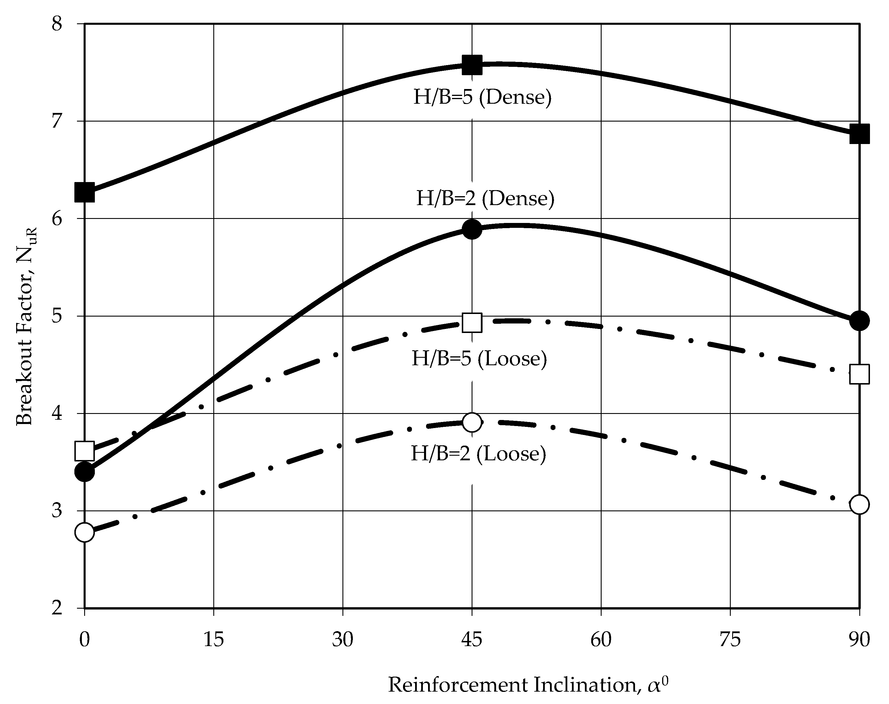
4.2. Comparison between Breakout Factors
5. Conclusions
- The uplift capacity of the anchors in the unreinforced soil is significantly affected by the embedment ratio and soil density. The uplift response tends to be brittle, particularly for anchor plates embedded in dense sand that show a significant post-peak reduction in uplift capacity.
- The uplift capacity is significantly improved when geogrid is used. In this study, up to 98% increases in uplift capacity were obtained with reinforcement. The use of the geogrid with an inclination angle of 45 degrees as the reinforcement configuration gave more effective results than the use of the geogrid horizontally and vertically.
- Finite element analyses were performed with hyperbolic soil models using parameters obtained from drained triaxial tests. The results obtained using the finite element method were found to be close to the results of centrifugal model tests. It was observed that the two parameters that significantly affect the uplift capacity of the strip anchor plates embedded in the unreinforced sand are the embedment ratio and the unit weight of the soil.
- The fact that the study was carried out with the centrifuge technique is thought to contribute to obtaining results closer to the actual uplift capacity values of the anchor plates. In addition, the study provides preliminary evidence that the uplift capacity of the anchor plates can be further improved by placing the geogrid layers at different angles.
- The experimental results presented in this study are not specific to a known field subsoil and are likely to be affected by the boundary conditions applied in the experimental study. However, it is thought that the test results are significant and determine the potential advantage of geogrid reinforcement of the sand on the uplift behavior of the anchor plates.
Author Contributions
Funding
Institutional Review Board Statement
Informed Consent Statement
Data Availability Statement
Conflicts of Interest
Abbreviations
| N | gravity acceleration factor |
| BP | width of the prototype anchor plate |
| BM | width of the model anchor plate |
| LP | length of the prototype anchor plate |
| LM | length of the model anchor plate |
| tP | thickness of the prototype anchor plate |
| tM | thickness of the model anchor plate |
| QUP | prototype uplift force |
| QUM | model uplift force |
References
- Choi, H.C.; Ji, K.; Kwon, K.; Kong, J.S. Sustainability of industrial building SSMR through experimental and analytical study under wind uplift load. Sustainability 2021, 13, 13815. [Google Scholar] [CrossRef]
- Cheng, P.; Guo, J.; Yao, K.; Liu, C.; Liu, X.; Liu, F. Uplift behavior of pipelines buried at various depths in spatially varying clayey seabed. Sustainability 2022, 14, 8139. [Google Scholar] [CrossRef]
- Jearsiripongkul, T.; Lai, V.Q.; Keawsawasvong, S.; Nguyen, T.S.; Van, C.N.; Thongchom, C.; Nuaklong, P. Prediction of uplift capacity of cylindrical caissons in anisotropic and inhomogeneous clays using multivariate adaptive regression splines. Sustainability 2022, 14, 4456. [Google Scholar] [CrossRef]
- Wang, Q.; Xiao, Z.; Zhao, X.; Feng, D. The effects and vertical bearing capacity of two jacked model piles in sand. Sustainability 2022, 14, 14493. [Google Scholar] [CrossRef]
- Dickin, E.A.; Leung, C.F. Centrifugal modeling of the behaviour of vertical anchor plates. J. Geotech. Eng. 1983, 109, 1503–1525. [Google Scholar] [CrossRef]
- Chattopadhyay, B.C.; Pise, P.J. Breakout resistance of horizontal anchors in sand. Soils Found. 1986, 26, 16–22. [Google Scholar] [CrossRef] [PubMed]
- Dickin, E.A. Uplift behaviour of horizontal anchor plates in sand. J. Geotech. Eng. 1988, 114, 1300–1317. [Google Scholar] [CrossRef]
- Frydman, S.; Shaham, I. Pullout capacity of slab anchors in sand. Can. Geotech. J. 1989, 26, 385–400. [Google Scholar] [CrossRef]
- Dickin, E.A.; Leung, C.F. Performance of piles with enlarged bases subjected to uplift forces. Can. Geotech. J. 1990, 27, 546–556. [Google Scholar] [CrossRef]
- Dickin, E.A.; Leung, C.F. The influence of foundation geometry on the uplift behaviour of piles with enlarged bases in sand. Can. Geotech. J. 1992, 29, 498–505. [Google Scholar] [CrossRef]
- Ghaly, A.M.; Clemence, S.P. Pullout performance of inclined helical screw anchors in sand. J. Geotech. Geoenviron. Eng. 1998, 124, 617–627. [Google Scholar] [CrossRef]
- Dickin, E.A.; Laman, M. Uplift response of strip anchors in cohesionless soil. Adv. Eng. Software 2007, 38, 618–625. [Google Scholar] [CrossRef]
- Bildik, S.; Laman, M. Experimental investigations on uplift behaviour of plate anchors in cohesionless soil. J. Fac. Eng. Archit. Gazi Univ. 2011, 26, 486–496. [Google Scholar]
- Wang, D.; Hu, Y.; Randolph, M.F. Keying of rectangular plate anchors in normally consolidated clays. J. Geotech. Geoenviron. Eng. 2011, 137, 1244–1253. [Google Scholar] [CrossRef]
- Bera, A.K. Parametric study on uplift capacity of anchor with tie in sand. KSCE J. Civ. Eng. 2014, 18, 1028–1035. [Google Scholar] [CrossRef]
- Niroumand, H.; Kassim, K.A. Uplift response of circular plates as symmetrical anchor plates in loose sand. Geomech. Eng. 2014, 6, 321–340. [Google Scholar] [CrossRef]
- Niroumand, H.; Kassim, K.A. Experimental and numerical modeling of uplift behavior of rectangular plates in cohesionless soil. Geomech. Eng. 2014, 6, 341–358. [Google Scholar] [CrossRef]
- Zhu, H.H.; Mei, G.X.; Xu, M.; Liu, Y.; Yin, J.H. Experimental and numerical investigation of uplift behavior of umbrella-shaped ground anchor. Geomech. Eng. 2014, 7, 165–181. [Google Scholar] [CrossRef]
- Schiavon, J.A.; Tsuha, C.H.C.; Neel, A.; Thorel, L. Physical modelling of a single-helix anchor in sand under cyclic loading. In Proceedings of the 3rd European Conference on Physical Modelling in Geotechnics, Nantes, France, 1–3 June 2016; pp. 1–3. [Google Scholar]
- Krishnaswamy, N.R.; Parashar, S.P. Uplift behaviour of plate anchors with geosynthetics. Geotext. Geomembr. 1994, 13, 67–89. [Google Scholar] [CrossRef]
- Ilamparuthi, K.; Dickin, E.A. The influence of soil reinforcement on the uplift behaviour of belled piles embedded in sand. Geotext. Geomembr. 2001, 19, 1–22. [Google Scholar] [CrossRef]
- Ilamparuthi, K.; Dickin, E.A. Predictions of the uplift capacity of belled piles in geogrid cell reinforced sand. Geotext. Geomembr. 2001, 19, 89–109. [Google Scholar] [CrossRef]
- Niroumand, H.; Kassim, K.A.; Nazir, R. The influence of soil reinforcement on the uplift response of symmetrical anchor plate embedded in sand. Measurement 2013, 46, 2608–2629. [Google Scholar] [CrossRef]
- Keskin, M.S. Model studies of uplift capacity behavior of square plate anchors in geogrid-reinforced sand. Geomech. Eng. 2015, 8, 595–613. [Google Scholar] [CrossRef]
- Choudhary, A.K.; Pandit, B.; Babu, G.S. Uplift capacity of horizontal anchor plate in geocell reinforced sand. Geotext. Geomembr. 2019, 47, 203–216. [Google Scholar] [CrossRef]
- Dickin, E.A.; King, G.J.W. Numerical modelling of the load-displacement behaviour of anchor walls. Comput. Struct. 1997, 63, 849–858. [Google Scholar] [CrossRef]
- PLAXIS. User Manual, 2D Version 8; Brinkgreeve, R.J.B., Ed.; Delft University of Technology & PLAXIS b.v.: Delft, The Netherlands, 2002. [Google Scholar]















| Property | Value |
|---|---|
| D50 (mm) | 0.20 |
| Uniformity coefficient, Cu | 1.50 |
| Relative density of loose sand, Dr (%) | 35 |
| Relative density of dense sand, Dr (%) | 75 |
| Dry unit weight of loose sand, ɣ (kN/m3) | 14.5 |
| Dry unit weight of dense sand, ɣ (kN/m3) | 16.4 |
| Property | Value |
|---|---|
| Aperture size (mm) | 2.4 |
| Tensile strength (kN/m3) | 30 |
| Series | Constant Parameters | Variable Parameters |
|---|---|---|
| 1 | B = 30 mm, Dr = 35%, unreinforced | H/B = 2, H/B = 5 |
| 2 | B = 30 mm, Dr = 75%, unreinforced | H/B = 2, H/B = 5 |
| 3 | B = 30 mm, Dr = 35%, reinforced, H/B = 2 | α = 0°, α = 45°, α = 90° |
| 4 | B = 30 mm, Dr = 35%, reinforced, H/B = 5 | α = 0°, α = 45°, α = 90° |
| 5 | B = 30 mm, Dr = 75%, reinforced, H/B = 2 | α = 0°, α = 45°, α = 90° |
| 6 | B = 30 mm, Dr = 75%, reinforced, H/B = 5 | α = 0°, α = 45°, α = 90° |
| Parameters | Unit | Loose Sand | Dense Sand |
|---|---|---|---|
| Unit weight, γ′ | kN/m3 | 14.5 | 16.4 |
| Secant stiffness, E50 | kPa | 5000 | 20,000 |
| Initial stiffness, EOED | kPa | 5000 | 20,000 |
| Unloading/reloading stiffness, EUR | kPa | 15,000 | 60,000 |
| Cohesion, c′ | kPa | 0 | 0 |
| Friction angle, ϕ′ | (°) | 35 | 51 |
| Dilatancy angle, ψ | (°) | 0 | 20 |
| Poisson’s ratio, ν | - | 0.2 | 0.2 |
| Power for stiffness stress dependency, m | - | 0.65 | 0.50 |
| At rest earth pressure coefficient, K0 | - | 0.43 | 0.34 |
| Mesh Density | No. of Elements | Qu (kN) |
|---|---|---|
| VC | 70 | 2038 |
| C | 148 | 2000 |
| M | 260 | 1980 |
| F | 586 | 1930 |
| VF | 1180 | 1915 |
Disclaimer/Publisher’s Note: The statements, opinions and data contained in all publications are solely those of the individual author(s) and contributor(s) and not of MDPI and/or the editor(s). MDPI and/or the editor(s) disclaim responsibility for any injury to people or property resulting from any ideas, methods, instructions or products referred to in the content. |
© 2023 by the authors. Licensee MDPI, Basel, Switzerland. This article is an open access article distributed under the terms and conditions of the Creative Commons Attribution (CC BY) license (https://creativecommons.org/licenses/by/4.0/).
Share and Cite
Bildik, S.; Dickin, E.A.; Keskin, M.S.; Ilamparuthi, K.; Laman, M. Centrifuge Model Tests and Numerical Analysis of Uplift Capacity of Strip Anchors in Geogrid-Reinforced Sand. Appl. Sci. 2023, 13, 4182. https://doi.org/10.3390/app13074182
Bildik S, Dickin EA, Keskin MS, Ilamparuthi K, Laman M. Centrifuge Model Tests and Numerical Analysis of Uplift Capacity of Strip Anchors in Geogrid-Reinforced Sand. Applied Sciences. 2023; 13(7):4182. https://doi.org/10.3390/app13074182
Chicago/Turabian StyleBildik, Selçuk, Edward Alan Dickin, Mehmet Salih Keskin, Kanniappan Ilamparuthi, and Mustafa Laman. 2023. "Centrifuge Model Tests and Numerical Analysis of Uplift Capacity of Strip Anchors in Geogrid-Reinforced Sand" Applied Sciences 13, no. 7: 4182. https://doi.org/10.3390/app13074182
APA StyleBildik, S., Dickin, E. A., Keskin, M. S., Ilamparuthi, K., & Laman, M. (2023). Centrifuge Model Tests and Numerical Analysis of Uplift Capacity of Strip Anchors in Geogrid-Reinforced Sand. Applied Sciences, 13(7), 4182. https://doi.org/10.3390/app13074182

