Abstract
The quality of pipeline leakage fault feature extractions deteriorates due to the influence of fluid pipeline running state and signal acquisition equipment. The pressure signal is characterized by high complexity, nonlinear and strong correlation. Therefore, traditional denoising methods have difficulty dealing with this kind of signal. In order to realize accurate leakage fault alarm and leak location, a denoising method based on variational mode decomposition (VMD) technology is proposed in this paper. Firstly, the intrinsic mode functions are screened out using the correlation coefficient. Secondly, information entropy is used to optimize the VMD decomposition layers k. Finally, based on the denoising signal, the inflection point of the negative pressure wave is extracted, and the position of the leakage point is calculated according to the time difference between the two inflection points. To verify the effectiveness of the algorithm, both laboratory experiments and real pipeline tests are conducted. Experimental results show that the method proposed by this paper can be used to effectively denoise the pressure signal. Furthermore, from the perspective of positioning accuracy, compared other methods, the proposed method can achieve a better positioning effect, as the positioning accuracy of the laboratory experiment reaches up to 0.9%, and that of the real pipeline test leakage point reaches up to 0.41%.
1. Introduction
Water pipes are the lifeblood of a city. They provide water for industrial production, residential water, etc. However, during pipeline operation, corrosion, aging and external interference factors may cause pipeline leakage [1,2,3]. This may not only pollute urban water sources and threaten people’s lives and health, but also cause waste in water resources. The research areas of water supply pipeline leakage alarm and leakage location have attracted extensive attention from researchers.
At present, water supply pipeline leakage fault detection technology is mainly based on acoustic signals [4], optical fiber signal [5], and negative pressure wave signals [6]. Among these, the water supply pipeline leakage fault detection method based on negative pressure wave technology has the advantages of a long monitoring distance, a low requirement for sensor laying position, and a good engineering application effect [7]. Therefore, this paper will carry out application research based on this technology.
In the urban pipe network, the pressure signal is inevitably mixed with a lot of noise due to the interference of external environment noise, measurement devices, turbulence and pump adjustment. Among them, turbulence is a major cause of strong noise. In addition, as the environment changes, noise also reflects diversity [8,9]. The existence of noise is bound to interfere with the extraction of the negative pressure wave pressure drop inflection point, which will lead to a large error in the location of water supply pipeline leakage fault points. Therefore, signal noise reduction processing is particularly important. The denoised signal can clearly represent the change in the NPW pressure drop caused by leakage.
There are many signal denoising methods available: wavelet denoising can be achieved by setting a reasonable threshold [10]. However, if the pressure signal and the noise are both uncertain, the exact selection of a threshold value is very difficult. Empirical mode decomposition (EMD) can be used for adaptive signal decomposition. However, this algorithm lacks sufficient mathematical theory derivation, and there are some problems of mode aliasing and end effect [11]. Although ensemble EMD (EEMD) improves some of the shortcomings of EMD, it still lacks the definition of extreme points, and the robustness of signal decomposition is not good enough [12]. To solve the above problems, Dragomiretskiy [13] proposed VMD. This algorithm has sufficient mathematical theory foundation. It overcomes the problems of EMD and EEMD algorithms [14].
The decomposition levels k of VMD determine the degree of signal decomposition. Therefore, researchers have proposed many VMD parameter optimization methods. Zhang et al. [15] utilized the maximum weighted kurtosis index. Diao et al. [16] proposed a parameter optimization method based on particle swarm optimization (PSO). In order to determine the number of modes, Li et al. [17] proposed a frequency-aided method. A common problem of the above methods is that the calculation amount is relatively large and the calculation time is relatively long [18]. In order to solve these problems effectively, we proposed a novel method based on VMD, which uses a minimum information entropy to optimize the number of decomposition layers, and the optimal noise reduction signal is obtained.
The structure of this paper is as follows. In Section 1 of this paper, mainly introduces the background and some common detection techniques and methods of water supply pipeline leakage. In this section, we also give a brief introduction to our proposed methods. Section 2 introduces the noise reduction principle of the method based on VMD, in detail. Section 3 mainly introduces and analyzes the results of laboratory tests and field tests, in detail. Finally, Section 4 summarizes the research work of this paper.
2. Methodology
2.1. The Principle of NPW
The schematic diagram of leak location based on NPW is shown in Figure 1. When a leakage fault occurs in the pipeline, the NPW caused by the leakage will travel up and down the pipeline. There is an obvious pressure drop inflection point at the leak point. Through the upstream and downstream NPW inflection points, respectively, there is a time difference between them reaching the two sensors. Using this time difference, we can locate the location of the leak point, as shown in Equation (1):
where L is the pipe length; t1 is the time for the negative pressure wave to reach sensor A; t2 is the time for the negative pressure wave to reach sensor B. . v is the NPW velocity, which can be calculated by Equation (2) [19]:
where
- K—the bulk modulus of water, Pa;
- —the density of water, kg/m3;
- E—Young’s modulus of the pipe material, Pa;
- D—the pipe inner diameter, m;
- e—the tube thickness, m;
- C—the correction factor. C is related to the constraint conditions of the pipeline [20].
According to Wylie [21], the pipeline has three supporting conditions. The first is fixed upstream, the downstream can be expanded at will. The second is that there is no axial movement of the whole pipeline. The third is that the connections between the pipes are expansion joints. The correction coefficients C of these three cases are: ; ; , where is the Poisson coefficient of the pipe. Our test pipelines are laid on the ground or in tube Wells, so C = 1.
Figure 1.
Schematic diagram of leak location based on NPW.
Figure 1.
Schematic diagram of leak location based on NPW.

Under the same pipe condition, v is a constant. Therefore, the accurate calculation of is key to identifying the leak’s location. Obviously, noise will affect the extraction accuracy of inflection point, thus reducing the accuracy of the leakage point location. In order to solve this problem, this paper’s extraction method of the inflection point, finally realizes the purpose of reducing the positioning error of the leakage point.
2.2. Signal Noise Reduction Based on VMD
2.2.1. Signal Decomposition
VMD decomposes the signal into k IMF, and the bandwidth of each component in the frequency domain has a specific sparsity. The constrained variational problem of VMD is [22]:
where, is k IMF by decomposing the signal f, and is the center frequency corresponding to each component. In order to solve the constrained variational problem of Equation (3), the Lagrange multiplier and the quadratic penalty factor are introduced at the same time. The augmented Lagrange function is shown in Equation (4):
Alternate direction method of multipliers (ADMM) is used to obtain the saddle point of Equation (4), and iteratively update , and to obtain the optimum value in the frequency domain, thereby obtaining each intrinsic mode function and .
2.2.2. Optimization of VMD Algorithm Decomposition Layer Number
A one-dimensional random sequence can be assumed if the probability of obtaining obeys the probability distribution . Then, the information entropy of is [23]:
The larger the , the higher the uncertainty of the probability distribution .
After using VMD to decompose signals, the effective IMF components are used to reconstruct the noise reduction signal. However, the algorithm needs to predetermine the decomposition number k of IMF, and it will affect the determination of the center frequency . Therefore, the noise reduction effect of each k value corresponding to the reconstructed signal is different. The optimization of k value is particularly important for signal noise reduction. Considering that information entropy is a dimensionless index, this index has a simple principle and can be used as a basis for the selection of system parameters. When using VMD to denoise signals, noise signals appear more disordered than pressure signals, and their uncertainty is greater. Therefore, the information entropy can be used as a characterization of the noise content in the signal [23]. When the information entropy reaches the minimum, the noise in the reconstructed signal is considered to be the minimum. The k value is optimal.
Before the optimal k can be calculated, the reconstructed signals corresponding to different k values should be obtained first. Therefore, in order to achieve signal reconstruction, it is necessary to screen the effective IMF components.
2.2.3. IMF Components Selection and Signal Reconstruction
When leakage occurs, the pressure signals collected by the sensors are random. When using VMD for signal processing, preserving the true information of the signal is as important as denoising. The conventional method is used to select the effective component through empirical parameters. A disadvantage of this method is that the prior information of signal and noise needs to be mastered. To overcome the above deficiencies in this paper, the effective IMFs are screened using the correlation coefficient. According to [24], in the absence of fixed interference, we can assume that the noise signal collected by the two sensors is irrelevant, while the NPW signals are correlated. One of the two signals acts as a detection signal and the other as a reference signal. Firstly, the detection signal is decomposed into multiple IMF components using VMD. Secondly, we calculate the correlation coefficient between the reference signal and each IMF component. Finally, the effective components containing the pressure signal will be used to reconstruct the signal.
Let and represent two signals, so:
where is the pressure signal, respects the attenuation factor, and is the noise.
In the process of applying the correlation analysis signals, the IMF component containing the pressure signal shows a strong correlation with the reference signal. These components will be retained. Let be decomposed by VMD into k components: , then the correlation coefficient between the k-th component and can be expressed as:
where , , and n is the length of the signal. According to the definition of correlation coefficient [25], we consider those IMF components with relatively higher correlation coefficients () to be effective components and labeled as . The will be used for signal reconstruction. The reconstructed signal is called :
According to the above method, the reconstructed signal under different k values can be obtained. Then, the optimal denoising signal can be obtained. In this paper, according to the research results in [24], the range of k is set to [2,16], and the penalty factor [25] α is 2000.
To sum up, the proposed VMD-based leakage signal adaptive noise reduction algorithm is executed as follows:
- Step 1
- and , respectively, represent two NPW signals propagating along the two pipelines. k, step size, and α are initialized.
- Step 2
- The signal is decomposed into k IMF components. The method in Section 2.2.3 is used to select effective IMF components and reconstruct them.
- Step 3
- The information entropy of the reconstructed signals is calculated.
To sum up, the novelty of our proposed method lies in:
- (1)
- The correlation coefficient is used to decompose the IMF components, so that denoising can be achieved.
- (2)
- In order to detect the optimal denoising signal, the minimum value of information entropy is obtained by training, and the number of decomposition layers of VMD is determined by this value.
Next, we will verify the effectiveness of the proposed algorithm through laboratory tests and field tests.
3. Results and Discussion
3.1. The Laboratory Experiments
3.1.1. Experimental Environment
To verify the NPW denoising effect of various methods, a leakage simulation experimental system is built, as shown in Figure 2. The pipe material is carbon steel, and the diameter of the pipe is 0.08 m. We simulate the burst leakage by rapidly opening a valve. The high frequency dynamic pressure sensors are powered by the battery. The pressure signals are transmitted to the computer by an acquisition card. The sampling frequency is 2000 Hz.
Figure 2.
Test schematic diagram.
The design of experimental parameters is shown in Table 1. The distance between sensors is 23.34 m. Three simulated leak points are set on the pipeline. The distance between the leak point and sensor A are 17.34 m, 14.47 m, and 2.47 m, respectively.
Table 1.
The design of experimental parameters.
Table 2 lists the physical parameters of the test pipeline, according to which the negative pressure wave velocity can be calculated.
Table 2.
The physical parameters of the test pipeline.
The wave velocity v of the NPW is 452.67 m/s in this paper.
3.1.2. Leak Signal Denoising
The original NPW signal is shown in Figure 3. As can be seen, the original NPW signal is greatly disturbed by noise, which makes it very difficult to extract the inflection point of the pressure drop. According to the noise reduction process in Section 2.2, the leak signal is denoised. The signal information entropy of different decomposition layers is shown in Figure 4.
Figure 3.
Original negative pressure wave signal.
Figure 4.
Information entropy calculation results.
According to the results in Figure 4, when k is 4, the information entropy is the minimum. At this time, the k value is the optimal, and the denoising effect is the optimal. Similarly, the optimal denoising signal under the condition of no leakage can be obtained.
The denoising results of our method are compared with the low-pass filter, wavelet denoising, and EMD-based method. The cut-off frequency of the low-pass filter is 20 Hz. A ‘Sym4′ wavelet with four-layer decomposition is used when applying wavelet denoising [26]. EMD uses the IMF components selection method as described in Section 2.2.3. Figure 5 shows the denoising results of the above methods.
Figure 5.
Comparison of leak signal denoised by four methods.
In Figure 5, the green curve is the original NPW signal collected by the sensor, and the black curve shows the denoising results obtained using the above method. The position of the inflection point of the NPW is partially enlarged, as shown in the rectangular box. By analyzing the characteristics of the original NPW signal, we can see that it is difficult to accurately extract the inflection point of NPW caused by leakage due to the influence of noise, and the leakage localization cannot be carried out. The figure (above left) shows the denoising effect of the NPW signal produced by the low-pass filtering method. As can be seen from the enlarged details in the above left figure, although the noise in the original signal has been removed, there are still a large number of “burrs” in the inflection point part, indicating that the inflection point features are disturbed by noise, which is not conducive to accurately extracting the inflection point information. This will seriously affect the positioning effect. The figure on the right shows the denoising effect using the wavelet method. The denoising effect of the wavelet is very similar to that observed with the low-pass filter method. The inflection point signal is still strongly interfered with by noise. The lower left figure shows the denoising effect of EMD. For EMD, although the small noise is eliminated and a smooth signal is obtained, the signal is distorted due to excessive smoothing of the original signal. Similarly, the inflection point of NPW is also difficult to extract. The bottom figure on the right shows the denoising effect of our method. After the signal is denoised by our method, not only is a smooth signal obtained, but also the inflection point is obvious. This is because the correlation coefficient is used to determine the IMF component of VMD, which makes the inflection point feature extraction induced by negative pressure waves more accurate. The accurate extraction of the inflection point will obviously greatly help to improve the positioning accuracy of the leakage point.
3.1.3. Leak Location Results
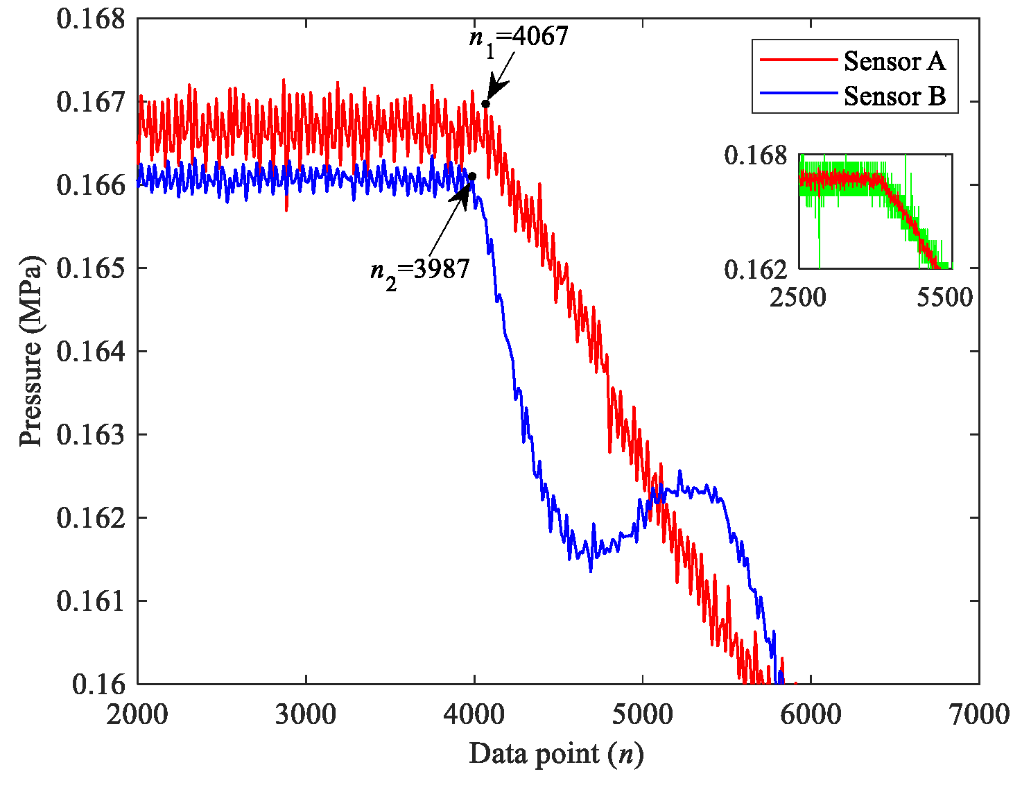
The positioning effect of leakage point 1 in Table 1 is analyzed as an example. The denoising results are shown in Figure 6. The denoised signal displays an obvious inflection point of the NPW.
Figure 6.
Leak signal and its denoised signal.
The calculation method of time difference is shown in Equation (9):
where n1 and n2 are the inflexion points of NPW collected by sensor A and sensor B respectively. The sampling frequency is f (f = 2 kHz).
In order to verify the advantages of our method, four methods are used to locate the leak point 1. In the rectangular box in Figure 7, Figure 8, Figure 9 and Figure 10, the red and green curves represent the denoised signal and the original leakage signal of sensor A, respectively. The result of sensor B is similar. Therefore, it is not shown in the figure. The result of the low-pass filter method is shown in Figure 7, where n1 = 4106 and n2 = 3984. Substituting n1 and n2 into Equation (9), we obtain . According to Equation (1), if L = 23.34 m, then XA = 25.48 m. The real distance is 17.34 m. The positioning error is 34.88%. In Figure 8, the result of wavelet denoising is similar to that produced by the low-pass filter method. XA is obtained as 20.72 m. The positioning error is 14.48%. The result of the EMD-based method is shown in Figure 9. There is no obvious inflection point in the figure, and it is difficult to locate the leakage. The result of the proposed method is shown in Figure 10. XA is 17.55 m. The positioning error is 0.9%.
Figure 7.
The result of the low-pass filter method.
Figure 8.
The result of wavelet denoising.
Figure 9.
The result of the EMD method.
Figure 10.
The result of the proposed method.
To further verify the leakage location effect of the proposed method, Table 3 shows the location results of all tests using the above methods, where X1 is the positioning result of the low-pass filter method; X2 is the result of the wavelet method; and X3 is the result of the proposed method. E1, E2, and E3, respectively, represent the positioning relative errors of the three methods. “×” indicates that the location fails. The EMD method failed to locate, so its results are not listed in Table 3.
Table 3.
Leak location results.
The pressure signal in the pipeline has non-stationary and non-linear characteristics. However, the low-pass filter method and wavelet denoising rely on experience to select parameters, and their denoising effects on such signals are limited. The method based on EMD distorts the reconstructed signal, due to modal aliasing and end effects. After screening out the effective IMF components and optimizing decomposition layers k, our method achieves effective signal noise reduction.
In Table 3, the minimum relative positioning errors of the low-pass filter method and wavelet denoising are 34.88% and 3.51%, respectively, and the positioning cannot be performed when the error is largest. The proposed method achieves a minimum positioning relative error of 0.9%. Therefore, compared with the other three methods, our method has a smaller leakage location error.
3.2. The Real Pipeline Tests
In order to verify the effectiveness of the algorithm, we conducted a verification experiment on a real pipeline in Shanghai. In this field test, high-frequency dynamic pressure sensors were installed in valve well J15 and valve well J23 to detect the water pressure in the pipeline. As shown in Figure 11, valve well J22 is located between J15 and J23. The pipeline leakage condition is simulated by opening the drain valve in valve well J22 as shown in Figure 12. Wireless communication is adopted for signal transmission. The installations of on-site equipment are shown in Figure 13 and Figure 14.
Figure 11.
The test pipe plan.
Figure 12.
Leak simulation site.
Figure 13.
The physical picture of acquisition equipment installation.
Figure 14.
GPS installation location and main pipe.
The drain valve is the butterfly valve with a fully open diameter of about 200 mm. The different areas of leakage are simulated through the use of different openings (11°, 20°, 30°, 45°, 67.5°, and 90°). Firstly, the original leakage signals are denoised using the method proposed, and Figure 15a shows the denoised leakage signal under three different openings (11°, 20°, and 30°). It can be seen that when the valve is opened at 11°, 20°, and 30°, it is difficult to determine the location of the leakage. However, under the conditions of 45°, 67.5°, and 90°, as shown in Figure 15b, the recovery process of leakage curve is relatively slow, and the pressure drops caused by leakage are more obvious. In the actual operation of the water supply pipeline, the interference noise is much stronger than the signal noise collected in the laboratory test, due to the influence of pump adjustment, load fluctuation and unforeseeable pressure fluctuation. In the case of a small leakage area, the inflection point characteristics of NPW pressure drop caused by leakage are very similar to the pressure fluctuation in the real pipeline. This presents a great challenge to our method of identifying inflection points. When the valve opening angle is higher than 45°, the method proposed in this paper shows a better extraction effect of the inflection point, and the introduction of correlation coefficient improves the recognition of real signals and the removal effect of noise signals. These results lay a foundation for the engineering application of our method.
Figure 15.
Noise reduction leakage signal of valve under different opening angles.
We calculate the negative pressure wave velocity, which is 976.45 m/s in this experiment. Table 4 lists the results of leak location experiments. As shown in Table 4, leakage point positioning errors are within 10% at valve openings of 90°, 67.5°, and 45°. The minimum relative positioning error used by our method is 0.41%, and the maximum is 9.52%. Under other conditions of small opening angles, the positioning error of the leakage point is too large, and we consider the positioning failure. Obviously, the size of the leakage port area will affect the positioning effect. For a leakage with a small area in particular, the pressure change after leakage is not obvious. Therefore, it is difficult to find the inflection point of the negative pressure wave, and thus impossible to calculate , which makes it harder to locate the leakage point. These results provide strong support for the application of the negative pressure wave denoising and leak location methods based on the VMD algorithm in practical engineering.
Table 4.
Field test results.
4. Conclusions
Due to the influence of noise contained in the pressure signal, it is difficult to locate the leakage point when the leakage occurs. In order to solve the problem of noise interference, this paper proposed an adaptive denoising method for the leakage signal based on VMD, which effectively improves the accuracy of pipeline leakage location. To verify the effectiveness of the method, laboratory and field tests were carried out. Laboratory experiments show that the noise reduction effect of the proposed method is better than that of the low-pass filter method, the wavelet method, and the EMD. The field experiment results show that the size of leakage will affect the effect of the leakage location. For a leakage with a small area in particular, the pressure change after leakage is not obvious, the time of the leakage is difficult to identify, and the location of the leakage is difficult to carry out. The test results of the real pipeline provide strong support for the application of our method in practical engineering. Obviously, shape changes such as changing the diameter of the pipe introduce additional reflected noise and may reduce positioning accuracy. An increase in the pipeline length will increase the attenuation of negative pressure waves, and may cause more noise along the way, which may also reduce the accuracy of results. These important questions will be addressed in in our future study.
Author Contributions
Conceptualization, Z.J.; methodology, G.G. and B.L.; software, G.G. and B.L.; validation, Z.J., G.G. and B.L.; formal analysis, Z.J.; investigation, G.G. and B.L.; resources, Z.J.; data curation, G.G. and B.L.; writing—original draft preparation, Z.J., G.G. and B.L.; writing—review and editing, Z.J.; visualization, Z.J., G.G. and B.L.; supervision, Z.J.; project administration, Z.J.; funding acquisition, Z.J. All authors have read and agreed to the published version of the manuscript.
Funding
This research was funded by the Open Research Subject of Key Laboratory of Fluid and Power Machinery (Xihua University), Ministry of Education (grant number szjj2023). This research was also supported by the Energy and Power Engineering (Provincial First-Class Specialty) (grant number RC2200000478).
Institutional Review Board Statement
Not applicable.
Informed Consent Statement
Not applicable.
Data Availability Statement
The data used to support the findings of this study are available from the corresponding author upon request.
Conflicts of Interest
The authors declare no conflict of interest.
References
- Ren, L.; Jiang, T.; Jia, Z.-G.; Li, D.-S.; Yuan, C.-L.; Li, H.-N. Pipeline corrosion and leakage monitoring based on the distributed optical fiber sensing technology. Measurement 2018, 122, 57–65. [Google Scholar] [CrossRef]
- Lang, X.; Li, P.; Guo, Y.; Cao, J.; Lu, S. A Multiple Leaks’ Localization Method in a Pipeline Based on Change in the Sound Velocity. IEEE Trans. Instrum. Meas. 2020, 69, 5010–5017. [Google Scholar] [CrossRef]
- Ma, Y.; Gao, Y.; Cui, X.; Brennan, M.J.; Almeida, F.C.; Yang, J. Adaptive phase transform method for pipeline leakage detection. Sensors 2019, 19, 310. [Google Scholar] [CrossRef] [PubMed]
- Yu, L.; Li, S. Acoustic emission (AE) based small leak detection of galvanized steel pipe due to loosening of screw thread connection. Appl. Acoust. 2017, 120, 85–89. [Google Scholar] [CrossRef]
- Jia, Z.; Ren, L.; Li, H.; Sun, W. Pipeline leak localization based on FBG hoop strain sensors combined with BP neural network. Appl. Sci. 2018, 8, 146. [Google Scholar] [CrossRef]
- Lu, W.; Zhang, L.; Liang, W.; Yu, X. Research on a small-noise reduction method based on EMD and its application in pipeline leakage detection. J. Loss Prev. Process Ind. 2016, 41, 282–293. [Google Scholar] [CrossRef]
- Lu, W.; Liang, W.; Zhang, L.; Liu, W. A novel noise reduction method applied in negative pressure wave for pipeline leakage localization. Process Saf. Environ. Prot. 2016, 104, 142–149. [Google Scholar] [CrossRef]
- Wang, X.; Lin, J.; Ghidaoui, M.S. Usage and Effect of Multiple Transient Tests for Pipeline Leak Detection. J. Water Resour. Plan. Manag. 2020, 146, 06020011. [Google Scholar] [CrossRef]
- Dubey, A.; Li, Z.; Lee, P.; Murch, R. Measurement and Characterization of Acoustic Noise in Water Pipeline Channels. IEEE Access 2019, 7, 56890–56903. [Google Scholar] [CrossRef]
- Wang, J.; Zhao, L.; Liu, T.; Li, Z.; Sun, T.; Grattan, K.T.V. Novel Negative Pressure Wave-Based Pipeline Leak Detection System Using Fiber Bragg Grating-Based Pressure Sensors. J. Light. Technol. 2016, 35, 3366–3373. [Google Scholar] [CrossRef]
- Li, S.; Xia, C.; Cheng, Z.; Mao, W.; Liu, Y.; Habibi, D. Leak Location Based on PDS-VMD of Leakage-Induced Vibration Signal under Low SNR in Water-Supply Pipelines. IEEE Access 2020, 8, 68091–68102. [Google Scholar] [CrossRef]
- Kaur, C.; Bisht, A.; Singh, P.; Joshi, G. EEG Signal denoising using hybrid approach of Variational Mode Decomposition and wavelets for depression. Biomed. Signal Process. Control 2021, 65, 513–521. [Google Scholar] [CrossRef]
- Dragomiretskiy, K.; Zosso, D. Variational Mode Decomposition. IEEE Trans. Signal Process. 2014, 62, 531–544. [Google Scholar] [CrossRef]
- Li, Y.; Li, Y.; Chen, X.; Yu, J. A novel feature extraction method for ship-radiated noise based on variational mode decomposition and multi-scale permutation entropy. Entropy 2017, 19, 342. [Google Scholar] [CrossRef]
- Zhang, X.; Miao, Q.; Zhang, H.; Wang, L. A parameter-adaptive VMD method based on grasshopper optimization algorithm to analyze vibration signals from rotating machinery. Mech. Syst. Signal Process. 2018, 108, 58–72. [Google Scholar] [CrossRef]
- Diao, X.; Jiang, J.; Shen, G.; Chi, Z.; Wang, Z.; Ni, L.; Mebarki, A.; Bian, H.; Hao, Y. An improved variational mode decomposition method based on particle swarm optimization for leak detection of liquid pipelines. Mech. Syst. Signal Process. 2020, 143, 106787. [Google Scholar] [CrossRef]
- Li, Y.; Chen, X.; Yu, J.; Yang, X.; Yang, H. The data-driven optimization method and its application in feature extraction of ship-radiated noise with sample entropy. Energies 2019, 12, 359. [Google Scholar] [CrossRef]
- Huang, N.; Chen, H.; Cai, G.; Fang, L.; Wang, Y. Mechanical fault diagnosis of high voltage circuit breakers based on variational mode decomposition and multi-layer classifier. Sensors 2016, 16, 1887. [Google Scholar] [CrossRef]
- Li, J.; Zheng, Q.; Qian, Z.; Yang, X. A novel location algorithm for pipeline leakage based on the attenuation of negative pressure wave. Process Saf. Environ. Prot. 2019, 123, 309–316. [Google Scholar] [CrossRef]
- Chen, Q.; Shen, G.; Jiang, J.; Diao, X.; Wang, Z.; Ni, L.; Dou, Z. Effect of rubber washers on leak location for assembled pressurized liquid pipeline based on negative pressure wave method. Process Saf. Environ. Prot. 2018, 119, 181–190. [Google Scholar] [CrossRef]
- Wylie, E.B.; Street, V.L. Transient Flow; China Water & Power Press: Beijing, China, 1983. [Google Scholar]
- Xiao, Q.; Li, J.; Sun, J.; Feng, H.; Jin, S. Natural-gas pipeline leak location using variational mode decomposition analysis and cross-time–frequency spectrum. Measurement 2018, 124, 163–172. [Google Scholar] [CrossRef]
- Liu, B.; Jiang, Z.; Nie, W. Negative pressure wave denoising based on VMD and its application in pipeline leak location. J. Mech. Sci. Technol. 2021, 35, 5023–5032. [Google Scholar] [CrossRef]
- Guo, C.; Wen, Y.; Li, P.; Wen, J. Adaptive noise cancellation based on EMD in water-supply pipeline leak detection. Measurement 2016, 79, 188–197. [Google Scholar] [CrossRef]
- Huang, Y.; Bao, H.; Qi, X. Seismic random noise attenuation method based on variational mode decomposition and correlation coefficients. Electronics 2018, 7, 280. [Google Scholar] [CrossRef]
- Li, H.; Liu, T.; Wu, X.; Chen, Q. An optimized VMD method and its applications in bearing fault diagnosis. Measurement 2020, 166, 108185. [Google Scholar] [CrossRef]
Disclaimer/Publisher’s Note: The statements, opinions and data contained in all publications are solely those of the individual author(s) and contributor(s) and not of MDPI and/or the editor(s). MDPI and/or the editor(s) disclaim responsibility for any injury to people or property resulting from any ideas, methods, instructions or products referred to in the content. |
© 2023 by the authors. Licensee MDPI, Basel, Switzerland. This article is an open access article distributed under the terms and conditions of the Creative Commons Attribution (CC BY) license (https://creativecommons.org/licenses/by/4.0/).













