Machine Learning Models for Ecofriendly Optimum Design of Reinforced Concrete Columns
Abstract
1. Introduction
2. Materials and Methods
2.1. Optimization Process and Dataset Generation
2.2. Exploratory Data Analysis
2.3. Machine Learning Models
2.3.1. Foundational Methods
2.3.2. Ensemble Methods
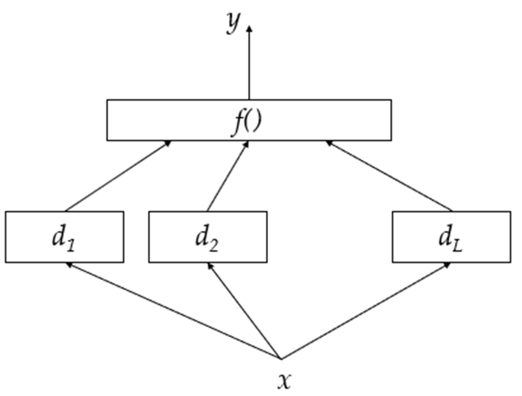
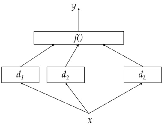
2.4. Multioutput Regressor (MOR)
2.5. Performance Criterion
3. Results
4. Discussion
5. Conclusions
Author Contributions
Funding
Institutional Review Board Statement
Informed Consent Statement
Data Availability Statement
Conflicts of Interest
Appendix A
| Harmony Memory Considering Rate (HMCR) | HMCR = 0.5(1 − i/(max(i))) |
| Pitch Adjustment Rate (PAR) | PAR = 0.05(1 − i/(max(i))) |
References
- Bera, S. A Linear Optimization Model for Reducing CO2 Emission from Power Plants. In Proceedings of the International Conference on Industrial Engineering and Operations Management, Bangalore, India, 16–18 August 2021. [Google Scholar]
- Past Eight Years Confirmed to be the Eight Warmest on Record. Available online: https://public.wmo.int/en/media/press-release/past-eight-years-confirmed-be-eight-warmest-record (accessed on 31 January 2023).
- Provisional State of the Global Climate in 2022. Available online: https://public.wmo.int/en/our-mandate/climate/wmo-statement-state-of-global-climate (accessed on 31 January 2023).
- NASA Says 2022 Fifth Warmest Year on Record, Warming Trend Continues. Available online: https://www.nasa.gov/press-release/nasa-says-2022-fifth-warmest-year-on-record-warming-trend-continues (accessed on 31 January 2023).
- Şimşek, O. Beton ve Beton Teknolojisi (Deneyler İlaveli), 6th ed.; Seçkin Yayıncılık: Ankara, Türkiye, 2020; pp. 21–22. [Google Scholar]
- Bekdaş, G.; Nigdeli, S.M.; Kim, S.; Geem, Z.W. Modified Harmony Search Algorithm-Based Optimization for Eco-Friendly Reinforced Concrete Frames. Sustainability 2022, 14, 3361. [Google Scholar] [CrossRef]
- Doğangün, A. Betonarme Yapıların Hesap ve Tasarımı, 17th ed.; Birsen Yayınevi: Istanbul, Türkiye, 2018. [Google Scholar]
- Turkey Disaster and Emergency Management Presidency. Turkey Building Earthquake Regulation; Turkey Disaster and Emergency Management Presidency: Ankara, Türkiye, 2018.
- TS500; Requirements for Design and Construction of Reinforced Concrete Structures. Turkish Standards Institute: Ankara, Türkiye, 2003.
- Adesina, A. Recent advances in the concrete industry to reduce its carbon dioxide emissions. Environ. Chall. 2020, 1, 100004. [Google Scholar] [CrossRef]
- Asadollahfardi, G.; Delnavaz, M.; Rashnoiee, V.; Ghonabadi, N. Use of treated domestic wastewater before chlorination to produce and cure concrete. Constr. Build. Mater. 2016, 105, 253–261. [Google Scholar] [CrossRef]
- Lehne, J.; Preston, F. Making Concrete Change: Innovation in Low-Carbon Cement and Concrete; Chatham House: London, UK, 2018. [Google Scholar]
- Climate Change: The Massive CO2 Emitter You May Not Know about. Available online: https://www.bbc.com/news/science-environment-46455844 (accessed on 31 January 2023).
- CEMBUREAU. US Geological Survey; Global Cement Report; Global Cement Directory: Epsom, UK, 2022. [Google Scholar]
- Maalej, M.; Tanwongsval, S.; Paramasivam, P. Modelling of rectangular RC columns strengthened with FRP. Cem. Concr. Compos. 2003, 25, 263–276. [Google Scholar] [CrossRef]
- Rajakarunakaran, S.A.; Lourdu, A.R.; Muthusamy, S.; Panchal, H.; Alrubaie, A.J.; Jaber, M.M.; Ali, M.H.; Tlili, I.; Maseleno, A.; Majdi, A.; et al. Prediction of strength and analysis in self-compacting concrete using machine learning based regression techniques. Adv. Eng. Softw. 2022, 173, 103267. [Google Scholar] [CrossRef]
- Deifalla, A.; Salem, N.M. A Machine learning model for torsion strength of externally bonded FRP-reinforced concrete beams. Polymers 2022, 14, 1824. [Google Scholar] [CrossRef]
- Dissanayake, M.; Nguyen, H.; Poologanathan, K.; Perampalam, G.; Upasiri, I.; Rajanayagam, H.; Suntharalingam, T. Prediction of shear capacity of steel channel sections using machine learning algorithms. Thin-Walled Struct. 2022, 175, 109152. [Google Scholar] [CrossRef]
- Amjad, M.; Ahmad, I.; Ahmad, M.; Wróblewski, P.; Kamiński, P.; Amjad, U. Prediction of pile bearing capacity using XGBoost algorithm: Modeling and performance evaluation. Appl. Sci. 2022, 12, 2126. [Google Scholar] [CrossRef]
- Aydın, Y.; Işıkdağ, Ü.; Bekdaş, G.; Nigdeli, S.M.; Geem, Z.W. Use of Machine Learning Techniques in Soil Classification. Sustainability 2023, 15, 2374. [Google Scholar] [CrossRef]
- Kayabekir, A.E.; Arama, Z.A.; Bekdaş, G.; Nigdeli, S.M.; Geem, Z.W. Eco-Friendly design of reinforced concrete retaining walls: Multi-objective optimization with harmony search applications. Sustainability 2020, 12, 6087. [Google Scholar] [CrossRef]
- Zhu, C.; Chang, Y.; Su, S.; Li, X.; Zhang, Z. Development of qL-EIV interactive curves for comparison of the environmental performance of composite slabs and RC slabs from the perspective of mechanical features. Sci. Total Environ. 2019, 683, 508–523. [Google Scholar] [CrossRef]
- Wang, J.; Tingley, D.D.; Mayfield, M.; Wang, Y. Life cycle impact comparison of different concrete floor slabs considering uncertainty and sensitivity analysis. J. Clean. Prod. 2018, 189, 374–385. [Google Scholar] [CrossRef]
- Paik, I.; Na, S. Comparison of carbon dioxide emissions of the ordinary reinforced concrete slab and the voided slab system during the construction phase: A case study of a residential building in South Korea. Sustainability 2019, 11, 3571. [Google Scholar] [CrossRef]
- Purnell, P. The carbon footprint of reinforced concrete. Adv. Cem. Res. 2013, 25, 362–368. [Google Scholar] [CrossRef]
- Destrée, X.; Pease, B. Reducing CO2 Emissions of Concrete Slab Constructions with the Prime Composite Slab System; Special Publication; American Concrete Institute (ACI): Indianapolis, IN, USA, 2015; Volume 299, pp. 1–12. [Google Scholar]
- Yepes, V.; Gonzalez-Vidosa, F.; Alcala, J.; Villalba, P. CO2-optimization design of reinforced concrete retaining walls based on a VNS-threshold acceptance strategy. J. Comput. Civ. Eng. 2012, 26, 378–386. [Google Scholar] [CrossRef]
- Arama, Z.A.; Kayabekir, A.E.; Bekdaş, G.; Geem, Z.W. CO2 and cost optimization of reinforced concrete cantilever soldier piles: A parametric study with harmony search algorithm. Sustainability 2020, 12, 5906. [Google Scholar] [CrossRef]
- Geem, Z.W.; Kim, J.H.; Loganathan, G.V. A new heuristic optimization algorithm: Harmony search. Simulation 2001, 76, 60–68. [Google Scholar] [CrossRef]
- The MathWorks, Matlab R2022a; The MathWorks: Natick, MA, USA, 2022.
- Bekdaş, G. Harmony search algorithm approach for optimum design of post-tensioned axially symmetric cylindrical reinforced concrete walls. J. Optim. Theory Appl. 2015, 164, 342–358. [Google Scholar] [CrossRef]
- Kayhan, A.H.; Korkmaz, K.A.; Irfanoglu, A. Selecting and scaling real ground motion records using harmony search algorithm. Soil Dyn. Earthq. Eng. 2011, 31, 941–953. [Google Scholar] [CrossRef]
- Nigdeli, S.M.; Bekdaş, G. Optimum tuned mass damper design in frequency domain for structures. KSCE J. Civ. Eng. 2017, 21, 912–922. [Google Scholar] [CrossRef]
- Kayabekir, A.E.; Nigdeli, S.M.; Bekdaş, G.; Yücel, M. Optimum design of tuned mass dampers for real-size structures via adaptive harmony search algorithm. In Proceedings of the 14th ECCOMAS Thematic Conference on Evolutionary and Deterministic Methods for Design, Optimization and Control (EUROGEN 2021), Athens, Greece, 28–30 June 2021; pp. 20–26. [Google Scholar]
- Ocak, A.; Nigdeli, S.M.; Bekdaş, G.; Kim, S.; Geem, Z.W. Adaptive Harmony Search for Tuned Liquid Damper Optimization under Seismic Excitation. Appl. Sci. 2022, 12, 2645. [Google Scholar] [CrossRef]
- Syrimi, P.G.; Sapountzakis, E.J.; Tsiatas, G.C.; Antoniadis, I.A. Parameter optimization of the KDamper concept in seismic isolation of bridges using harmony search algorithm. In Proceedings of the 6th COMPDYN, Rhodes Island, Greece, 15–17 June 2017. [Google Scholar]
- Jin, C.; Chung, W.C.; Kwon, D.S.; Kim, M. Optimization of tuned mass damper for seismic control of submerged floating tunnel. Eng. Struct. 2021, 241, 112460. [Google Scholar] [CrossRef]
- Akin, A.; Saka, M. Optimum design of concrete cantilever retaining walls using the harmony search algorithm. In Proceedings of the 10th International Conference on Computational Structures Technology, Valencia, Spain, 14–17 September 2010. [Google Scholar]
- Bekdaş, G.; Arama, Z.A.; Kayabekir, A.E.; Geem, Z.W. Optimal design of cantilever soldier pile retaining walls embedded in frictional soils with harmony search algorithm. Appl. Sci. 2020, 10, 3232. [Google Scholar] [CrossRef]
- Arama, Z.A.; Kayabekir, A.E.; Bekdaş, G.; Kim, S.; Geem, Z.W. The usage of the harmony search algorithm for the optimal design problem of reinforced concrete retaining walls. Appl. Sci. 2021, 11, 1343. [Google Scholar] [CrossRef]
- Yücel, M.; Kayabekir, A.E.; Bekdaş, G.; Nigdeli, S.M.; Kim, S.; Geem, Z.W. Adaptive-Hybrid harmony search algorithm for multi-constrained optimum eco-design of reinforced concrete retaining walls. Sustainability 2021, 13, 1639. [Google Scholar] [CrossRef]
- Degertekin, S.O. Improved harmony search algorithms for sizing optimization of truss structures. Comput. Struct. 2012, 92, 229–241. [Google Scholar] [CrossRef]
- Toklu, Y.C.; Bekdaş, G.; Temur, R. Analysis of trusses by total potential optimization method coupled with harmony search. Struct. Eng. Mech. 2013, 45, 183–199. [Google Scholar] [CrossRef]
- Akin, A.; Saka, M. Optimum detailed design of reinforced concrete continuous beams using the harmony search algorithm. In Proceedings of the 10th International Conference on Computational Structures Technology, Valencia, Spain, 14–17 September 2010. [Google Scholar]
- Kayabekir, A.E.; Bekdaş, G.; Nigdeli, S.M.; Apak, S. Cost and Environmental Friendly Multi-Objective Optimum Design of Reinforced Concrete Columns. J. Environ. Prot. Ecol. 2022, 23, 890–899. [Google Scholar]
- Understanding Float in Python [with Examples]. Available online: https://www.simplilearn.com/tutorials/python-tutorial/float-in-python (accessed on 1 February 2023).
- Seaborn Library. Available online: https://seaborn.pydata.org/ (accessed on 31 January 2023).
- Python (3.9) [Computer Software]. Available online: http://python.org (accessed on 31 January 2023).
- Meng, T.; Jing, X.; Yan, Z.; Pedrycz, W. A survey on machine learning for data fusion. Inf. Fusion 2020, 57, 115–129. [Google Scholar] [CrossRef]
- Camacho, D.M.; Collins, K.M.; Powers, R.K.; Costello, J.C.; Collins, J.J. Next-Generation machine learning for biological networks. Cell 2018, 173, 1581–1592. [Google Scholar] [CrossRef]
- Kwon, D.; Kim, H.; Kim, J.; Suh, S.C.; Kim, I.; Kim, K.J. A survey of deep learning-based network anomaly detection. Clust. Comput. 2019, 22, 949–961. [Google Scholar] [CrossRef]
- Cunningham, P.; Cord, M.; Delany, S.J. Supervised Learning. In Machine Learning Techniques for Multimedia: Case Studies on Organization and Retrieval; Springer: Berlin/Heidelberg, Germany, 2008; pp. 21–49. [Google Scholar]
- Olivier, C.; Schölkopf B ve Alexander, Z. Semi-Supervised Learning (Adaptive Computation and Machine Learning); MIT Press: Cambridge, MA, USA, 2006. [Google Scholar]
- Xu, X.; He, H.G.; Hu, D. Efficient reinforcement learning using recursive least-squares methods. J. Artif. Intell. Res. 2002, 16, 259–292. [Google Scholar] [CrossRef]
- Mohri, M.; Rostamizadeh, A.; Talwalkar, A. Foundations of Machine Learning; MIT Press: Cambridge, MA, USA, 2018. [Google Scholar]
- Anaconda3 [Computer Software]. Available online: https://anaconda.org/ (accessed on 31 January 2023).
- Pedregosa, F.; Varoquaux, G.; Gramfort, A.; Michel, V.; Thirion, B.; Grisel, O.; Blondel, M.; Prettenhofer, P.; Weiss, R.; Dubourg, V.; et al. Scikit-Learn: Machine Learning in Python. J. Mach. Learn. Res. 2011, 12, 2825–2830. [Google Scholar]
- Wu, C.-S.M.; Patil, P.; Gunaseelan, S. Comparison of different machine learning algorithms for multiple regression on black friday sales data. In Proceedings of the 9th International Conference on Software Engineering and Service Science (ICSESS), Beijing, China, 23–25 November 2018; pp. 16–20. [Google Scholar]
- Xu, M.; Watanachaturaporn, P.; Varshney, P.K.; Arora, M.K. Decision tree regression for soft classification of remote sensing data. Remote Sens. Environ. 2005, 97, 322–336. [Google Scholar] [CrossRef]
- Pekel, E. Estimation of soil moisture using decision tree regression. Theor. Appl. Climatol. 2020, 139, 1111–1119. [Google Scholar] [CrossRef]
- Hands-On Tutorial on ElasticNet Regression. Available online: https://analyticsindiamag.com/hands-on-tutorial-on-elasticnet-regression/ (accessed on 4 February 2023).
- Modaresi, F.; Araghinejad, S.; Ebrahimi, K. A comparative assessment of artificial neural network, generalized regression neural network, least-square support vector regression, and K-nearest neighbor regression for monthly streamflow forecasting in linear and nonlinear conditions. Water Resour. Manag. 2018, 32, 243–258. [Google Scholar] [CrossRef]
- Chen, K.Y.; Wang, C.H. Support vector regression with genetic algorithms in forecasting tourism demand. Tour. Manag. 2007, 28, 215–226. [Google Scholar] [CrossRef]
- Breiman, L. Random forests. Mach. Learn. 2001, 45, 5–32. [Google Scholar] [CrossRef]
- Implementing Gradient Boosting in Python. Available online: https://blog.paperspace.com/implementing-gradient-boosting-regression-python/ (accessed on 4 February 2023).
- Scikit-Learn Documentation. Available online: https://scikit-learn.org/stable/modules/generated/sklearn.ensemble.HistGradientBoostingRegressor.html (accessed on 4 February 2023).
- Alpaydin, E. Introduction to Machine Learning, 3rd ed.; MIT Press: Cambridge, MA, USA, 2014; Volume 67, pp. 69–72. [Google Scholar]
- Witten, I.H.; Frank, E.; Hall, M.A.; Pal, C.J. Practical machine learning tools and techniques. In Data Mining; Elsevier: Amsterdam, The Netherlands, 2005; Volume 2. [Google Scholar]
- Erdebilli, B.; Devrim-İçtenbaş, B. Ensemble Voting Regression Based on Machine Learning for Predicting Medical Waste: A Case from Turkey. Mathematics 2022, 10, 2466. [Google Scholar] [CrossRef]
- Yulisa, A.; Park, S.H.; Choi, S.; Chairattanawat, C.; Hwang, S. Enhancement of voting regressor algorithm on predicting total ammonia nitrogen concentration in fish waste anaerobiosis. Waste Biomass Valorization 2022, 14, 461–478. [Google Scholar] [CrossRef]
- Perrone, M.P. Improving Regression Estimation: Averaging Methods for Variance Reduction with Extensions to General Convex Measure. Ph.D. Thesis, Brown University, Providence, RI, USA, 1993. [Google Scholar]
- Džeroski, S.; Ženko, B. Is combining classifiers with stacking better than selecting the best one? Mach. Learn. 2004, 54, 255–273. [Google Scholar] [CrossRef]
- Kilimci, Z.H. Ensemble Regression-Based Gold Price (XAU/USD) Prediction. J. Emerg. Comput. Technol. 2022, 2, 7–12. [Google Scholar]
- Bodendorf, F.; Xie, Q.; Merkl, P.; Franke, J. A multi-perspective approach to support collaborative cost management in supplier-buyer dyads. Int. J. Prod. Econ. 2022, 245, 108380. [Google Scholar] [CrossRef]
- Shaaban, K.; Hamdi, A.; Ghanim, M.; Shaban, K.B. Machine learning-based multi-target regression to effectively predict turning movements at signalized intersections. Int. J. Transp. Sci. Technol. 2022, 12, 245–257. [Google Scholar] [CrossRef]
- Appice, A.; Džeroski, S. Stepwise induction of multi-target model trees. In Proceedings of the Machine Learning: ECML 2007: 18th European Conference on Machine Learning, Warsaw, Poland, 17–21 September 2007; Springer: Berlin/Heidelberg, Germany, 2007; Volume 18, pp. 502–509. [Google Scholar]
- Borchani, H.; Varando, G.; Bielza, C.; Larranaga, P. A survey on multi-output regression. Wiley Interdiscip. Rev. Data Min. Knowl. Discov. 2015, 5, 216–233. [Google Scholar] [CrossRef]
- Kocev, D.; Džeroski, S.; White, M.D.; Newell, G.R.; Griffioen, P. Using single-and multi-target regression trees and ensembles to model a compound index of vegetation condition. Ecol. Model. 2009, 220, 1159–1168. [Google Scholar] [CrossRef]
- Chou, J.S.; Truong, D.N.; Che, Y. Optimized multi-output machine learning system for engineering informatics in assessing natural hazards. Nat. Hazards 2020, 101, 727–754. [Google Scholar] [CrossRef]
- Bekdaş, G.; Cakiroglu, C.; Islam, K.; Kim, S.; Geem, Z.W. Optimum Design of Cylindrical Walls Using Ensemble Learning Methods. Appl. Sci. 2022, 12, 2165. [Google Scholar] [CrossRef]
- Cakiroglu, C.; Islam, K.; Bekdaş, G.; Isikdag, U.; Mangalathu, S. Explainable machine learning models for predicting the axial compression capacity of concrete filled steel tubular columns. Constr. Build. Mater. 2022, 356, 129227. [Google Scholar] [CrossRef]
- Lüdecke, D.; Ben-Shachar, M.S.; Patil, I.; Waggoner, P.; Makowski, D. Performance: An R package for assessment, comparison and testing of statistical models. J. Open Source Softw. 2021, 6, 3139. [Google Scholar] [CrossRef]
- Huang, J.C.; Ko, K.M.; Shu, M.H.; Hsu, B.M. Application and comparison of several machine learning algorithms and their integration models in regression problems. Neural Comput. Appl. 2020, 32, 5461–5469. [Google Scholar] [CrossRef]
- Chai, T.; Draxler, R.R. Root mean square error (RMSE) or mean absolute error (MAE)?—Arguments against avoiding RMSE in the literature. Geosci. Model Dev. 2014, 7, 1247–1250. [Google Scholar] [CrossRef]
- Solano, E.S.; Dehghanian, P.; Affonso, C.M. Solar Radiation Forecasting Using Machine Learning and Ensemble Feature Selection. Energies 2022, 15, 7049. [Google Scholar] [CrossRef]
- Stone, M. Cross-Validatory choice and assessment of statistical predictions. J. R. Stat. Soc. Ser. B Methodol. 1974, 36, 111–147. [Google Scholar] [CrossRef]
- Lavercombe, A.; Huang, X.; Kaewunruen, S. Machine learning application to eco-friendly concrete design for decarbonisation. Sustainability 2021, 13, 13663. [Google Scholar] [CrossRef]
- Fang, Y.; Lu, X.; Li, H. A random forest-based model for the prediction of construction-stage carbon emissions at the early design stage. J. Clean. Prod. 2021, 328, 129657. [Google Scholar] [CrossRef]
- Mansouri, E.; Manfredi, M.; Hu, J.W. Environmentally Friendly Concrete Compressive Strength Prediction Using Hybrid Machine Learning. Sustainability 2022, 14, 12990. [Google Scholar] [CrossRef]









| Concrete Grades | Characteristic Compressive Strength, fck MPa | Equivalent Cube (200 mm) Compressive Strength MPa | Characteristic Axial Tension Strength, fctk MPa | 28-Day Elastic Modulus, Ec MPa |
|---|---|---|---|---|
| C16 | 16 | 20 | 1.4 | 27,000 |
| C18 | 18 | 22 | 1.5 | 27,500 |
| C20 | 20 | 25 | 1.6 | 28,000 |
| C25 | 25 | 30 | 1.8 | 30,000 |
| C30 | 30 | 37 | 1.9 | 32,000 |
| C35 | 35 | 45 | 2.1 | 33,000 |
| C40 | 40 | 50 | 2.2 | 34,000 |
| C45 | 45 | 55 | 2.3 | 36,000 |
| C50 | 50 | 60 | 2.5 | 37,000 |
| Country | 2015 | 2016 | 2017 | 2018 | 2019 | 2020 |
|---|---|---|---|---|---|---|
| China | 2350 | 2403 | 2320 | 2370 | 2300 | 2200 |
| India | 270 | 290 | 290 | 330 | 320 | 290 |
| USA | 83.4 | 84.7 | 86.1 | 87.8 | 88.6 | 89 |
| Brazil | 72 | 57.8 | 54 | 53.5 | 53.4 | 60 |
| Turkey | 71.4 | 75.4 | 80.6 | 72.5 | 57 | 72.3 |
| Russia | 69 | 56 | 54.7 | 53.7 | 54.1 | 56 |
| Indonesia | 65 | 61.3 | 68 | 70.8 | 64.2 | 64.8 |
| South Korea | 63 | 56.7 | 57.9 | 55 | 56.4 | 50 |
| Japan | 55 | 3.4 | 55.5 | 55.3 | 55.2 | 52.1 |
| Saudi Arabia | 55 | 55.9 | 47.1 | 42.2 | 52.2 | 53.4 |
| Germany | 31.1 | 32.7 | 34 | 33.7 | 34.2 | 35.5 |
| Italy | 20.8 | 19.3 | 19.3 | 19.3 | 19.2 | 18.1 |
| Variable | Description | Data Type | Min | Max | Mean | Standard Deviation |
|---|---|---|---|---|---|---|
| Inputs: | ||||||
| M [kN·m] | Bending moment | float64 * | 100.003 | 399.806 | 237.550 | 81.593 |
| N [kN] | Axial force | float64 | 1000.298 | 399.929 | 2387.248 | 831.938 |
| Outputs: | ||||||
| b [mm] | Cross-section width | float64 | 250 | 266.841 | 250.551 | 2.372 |
| h [mm] | Cross-section height | float64 | 310.392 | 1000 | 646.801 | 202.609 |
| As [mm2] | Total reinforcement area | float64 | 2127.295 | 7016.328 | 3615.663 | 1010.983 |
| Model | R2 | NRMSE | NMAE | NMSE |
|---|---|---|---|---|
| Foundational | ||||
| Linear Regression | 0.550 | 245.971 | 202.094 | 170,863.191 |
| Decision Tree Regressor | 0.996 | 29.915 | 16.465 | 2505.221 |
| Elastic Net | 0.546 | 243.435 | 204.567 | 166,992.364 |
| K Neighbors Regressor | 0.617 | 154.277 | 104.274 | 54,986.445 |
| SVR | 0.016 | 406.631 | 286.463 | 371,551.833 |
| Ensemble | ||||
| Random Forest Regressor | 0.998 | 17.777 | 10.162 | 840.449 |
| Hist. Gradient Boosting Regressor | 0.997 | 20.212 | 12.456 | 1090.250 |
| Gradient Boosting Regressor | 0.995 | 33.965 | 22.829 | 3406.932 |
| Voting | ||||
| Combinations | ||||
| Triple combinations | ||||
| hgbr,rfr,gbr | 0.998 | 19.921 | 12.868 | 1211.681 |
| hgbr,gbr,rfr | 0.998 | 20.408 | 13.191 | 1123.193 |
| rfr,hgbr,gbr | 0.998 | 20.565 | 13.153 | 1133.298 |
| rfr,gbr,hgbr | 0.998 | 19.952 | 12.862 | 1156.364 |
| gbr,hgbr,rfr | 0.998 | 20.170 | 13.120 | 1160.247 |
| gbr,rfr,hgbr | 0.998 | 19.849 | 13.196 | 1155.065 |
| Quad combinations | ||||
| lm,dtr,knr,svr | 0.738 | 177.226 | 137.481 | 74,641.302 |
| lm,dtr,ent,knr | 0.790 | 148.851 | 120.047 | 59,889.432 |
| lm,svr,rfr,hgbr | 0.852 | 150.574 | 117.956 | 56,440.011 |
| lm,rfr,hgbr,gbr | 0.969 | 66.7835 | 53.160 | 12,304.705 |
| dtr,lm,hgbr,ent | 0.886 | 123.958 | 102.064 | 43,174.734 |
| dtr,rfr,hgbr,gbr | 0.998 | 19.608 | 12.668 | 1155.584 |
| ent,rfr,hgbr,gbr | 0.968 | 62.278 | 53.828 | 12,587.107 |
| knr,rfr,hgbr,gbr | 0.975 | 45.830 | 31.108 | 5089.051 |
| svr,lm,hgbr,rfr | 0.852 | 151.568 | 118.307 | 56,129.966 |
| svr,dtr,ent,gbr | 0.851 | 153.118 | 119.770 | 57,176.112 |
| lm,rfr,knr,ent | 0.790 | 149.798 | 120.438 | 60,492.775 |
| lm,ent,knr,svr | 0.786 | 232.016 | 184.786 | 135,143.241 |
| lm,knr,svr,rfr | 0.788 | 178.366 | 137.091 | 75,001.233 |
| knr,svr,lm,dtr | 0.785 | 179.431 | 137.158 | 75,382.651 |
| knr,svr,ent,hgbr | 0.787 | 177.944 | 137.468 | 74,679.626 |
| gbr,hgbr,rfr,ent | 0.969 | 66.271 | 53.565 | 12,658.159 |
| Quintuple combinations | ||||
| lm, dtr,ent,knr,svr | 0.718 | 184.846 | 147.726 | 86,664.231 |
| lm,ent,knr,dtr,svr | 0.719 | 185.841 | 148.288 | 87,732.871 |
| knr,lm,dtr,svr,ent | 0.7196 | 186.463 | 148.442 | 86,791.598 |
| Knr, dtr,svr,lm,ent | 0.724 | 185.953 | 149.100 | 86,301.562 |
| dtr,knr,lm,svr,ent | 0.7208 | 187.130 | 146.722 | 85,077.065 |
| dtr,svr, lm, ent,knr | 0.720 | 184.505 | 147.026 | 86,665.337 |
| ent,dtr,lm,knr,svr | 0.722 | 186.811 | 148.981 | 86,171.159 |
| ent,svr,dtr,lm,knr | 0.719 | 185.300 | 146.752 | 86,947.917 |
| svr,ent,dtr,lm,knr | 0.719 | 184.548 | 147.960 | 87,283.171 |
| svr,lm,ent,dtr,knr | 0.718 | 185.733 | 148.987 | 86,629.887 |
| Octal combinations | ||||
| gbr,hgbr,rfr,ent,lm,dtr,knr,svr | 0.888 | 119.027 | 93.466 | 35,191.334 |
| hgbr,rfr,lm,dtr,knr,gbr,ent,svr | 0.889 | 118.193 | 93.847 | 35,303.200 |
| svr,knr,ent,dtr,rfr,gbr,lm,hgbr | 0.888 | 118.854 | 94.387 | 35,349.299 |
| Stacking | ||||
| Final Estimator = Gradient Boosting Regressor | ||||
| gbr,hgbr,rfr,ent | 0.998 | 18.155 | 11.1406 | 876.063 |
| lm,dtr,ent,knr,svr | 0.996 | 30.292 | 18.912 | 2547.112 |
| hgbr,gbr,rfr | 0.998 | 17.952 | 11.102 | 881.042 |
| gbr,hgbr,rfr,ent,lm,dtr,knr,svr | 0.998 | 18.445 | 11.616 | 895.697 |
| Final Estimator = Hist. Gradient Boosting Regressor | ||||
| gbr,hgbr,rfr,ent | 0.997 | 18.080 | 11.1449 | 866.437 |
| lm,dtr,ent,knr,svr | 0.996 | 30.388 | 17.929 | 2840.752 |
| hgbr,gbr,rfr | 0.997 | 19.249 | 11.326 | 1028.443 |
| gbr,hgbr,rfr,ent,lm,dtr,knr,svr | 0.997 | 18.023 | 11.443 | 1021.252 |
| Final Estimator = Random Forest Regressor | ||||
| gbr,hgbr,rfr,ent | 0.998 | 17.589 | 11.173 | 864.799 |
| lm,dtr,ent,knr,svr | 0.996 | 30.151 | 18.697 | 2897.098 |
| hgbr,gbr,rfr | 0.998 | 18.106 | 11.824 | 939.706 |
| gbr,hgbr,rfr,ent,lm,dtr,knr,svr | 0.998 | 17.582 | 10.921 | 912.215 |
Disclaimer/Publisher’s Note: The statements, opinions and data contained in all publications are solely those of the individual author(s) and contributor(s) and not of MDPI and/or the editor(s). MDPI and/or the editor(s) disclaim responsibility for any injury to people or property resulting from any ideas, methods, instructions or products referred to in the content. |
© 2023 by the authors. Licensee MDPI, Basel, Switzerland. This article is an open access article distributed under the terms and conditions of the Creative Commons Attribution (CC BY) license (https://creativecommons.org/licenses/by/4.0/).
Share and Cite
Aydın, Y.; Bekdaş, G.; Nigdeli, S.M.; Isıkdağ, Ü.; Kim, S.; Geem, Z.W. Machine Learning Models for Ecofriendly Optimum Design of Reinforced Concrete Columns. Appl. Sci. 2023, 13, 4117. https://doi.org/10.3390/app13074117
Aydın Y, Bekdaş G, Nigdeli SM, Isıkdağ Ü, Kim S, Geem ZW. Machine Learning Models for Ecofriendly Optimum Design of Reinforced Concrete Columns. Applied Sciences. 2023; 13(7):4117. https://doi.org/10.3390/app13074117
Chicago/Turabian StyleAydın, Yaren, Gebrail Bekdaş, Sinan Melih Nigdeli, Ümit Isıkdağ, Sanghun Kim, and Zong Woo Geem. 2023. "Machine Learning Models for Ecofriendly Optimum Design of Reinforced Concrete Columns" Applied Sciences 13, no. 7: 4117. https://doi.org/10.3390/app13074117
APA StyleAydın, Y., Bekdaş, G., Nigdeli, S. M., Isıkdağ, Ü., Kim, S., & Geem, Z. W. (2023). Machine Learning Models for Ecofriendly Optimum Design of Reinforced Concrete Columns. Applied Sciences, 13(7), 4117. https://doi.org/10.3390/app13074117

