Effect of Unbalanced and Non-Linear Loads on Operation of the Turbogenerator of a Distributed Generation Unit
Abstract
1. Introduction
2. Unbalanced Load Effect on Operation of a Low-Power Synchronous Machine
- Synchronous machine:
- -
- Active power P = 100 W;
- -
- Power factor cosφ = 1;
- -
- Stator winding voltage U = 220 V;
- -
- Nominal rotor speed n = 1500 rpm.
- Turbine modeled as a direct current machine:
- -
- Power P = 90 W;
- -
- Armature voltage Ua = 220 V;
- -
- Field winding voltage Uf = 220 V;
- -
- Rotation speed n = 1500 rpm.
- When the synchronous generator served an unbalanced load, there was a noticeable negative sequence current, which may exceed the maximum allowable value with respect to overheating. The generator began to emit higher harmonics into the network, which led to extra heating. In the experiments carried out on computer and physical models, the difference between the currents of the stator phases slightly exceeded the maximum permissible value and amounted to 12.5% for the computer model and 12.9% for the physical one.
- The average excitation current of a generator serving an unbalanced load was practically unchanged, but there was a 100 Hz current in the field winding whose amplitude increased linearly as the load unbalance increased. Therefore, the excitation current and the generator load should be limited.
- The power limitation of a generator serving unbalanced loads can be determined by the difference in phase currents, which must not exceed 12% of the nominal current.
3. Non-Linear Load Effect on Operation of Low-Power Synchronous Generator
- The stator and rotor currents of the generator were significantly increased. For example, at %, the RMS value of the stator current increased by 32% compared with the load flow when there was no rectifier load. At %, the average excitation current increased by 2.5% compared with the load flow when there was no rectifier load, and at % (rectifier load was 25% of the generator rated power), the average excitation current increased by 20%. This fact is due to improper operation of the ARE under such conditions, which requires the use of harmonic filters and excitation current limitation in the ARE.
- The amplitude of the forced oscillations of the generator excitation current at a frequency multiple of 300 Hz increased. For example, at %, the amplitude of the forced oscillations was 5% of the effective signal. This led to additional losses and extra heating.
- There were additional mechanical vibrations of the rotor with a frequency of 300 Hz. As the deviation from the sine waveform increased, the amplitude of these oscillations increased as well, which can lead to excessive runout during operation, rapid wear of the generator, and loss of stability.
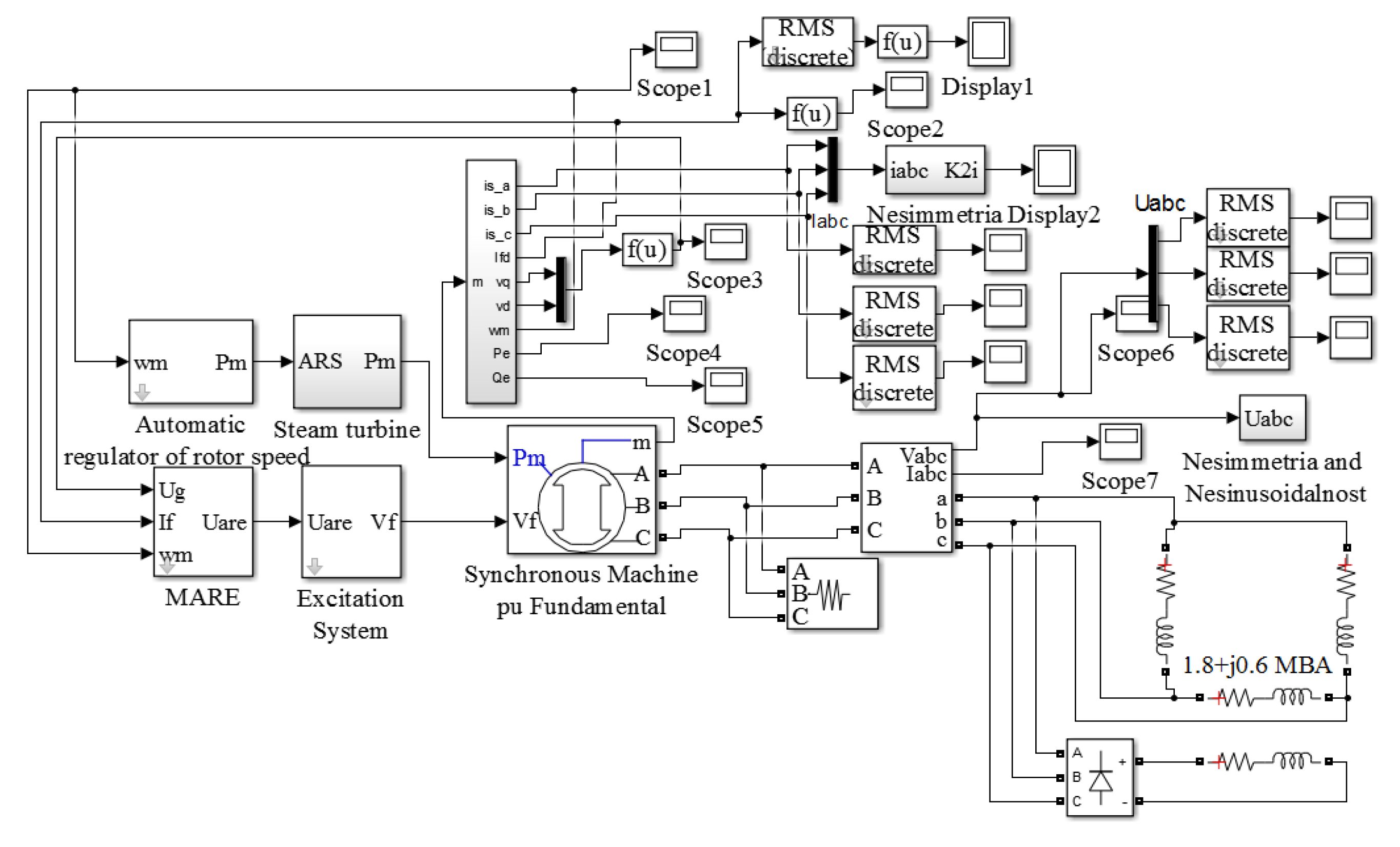
4. Joint Effect of Unbalanced and Non-Linear Loads on Operation of a Low-Power Synchronous Generator
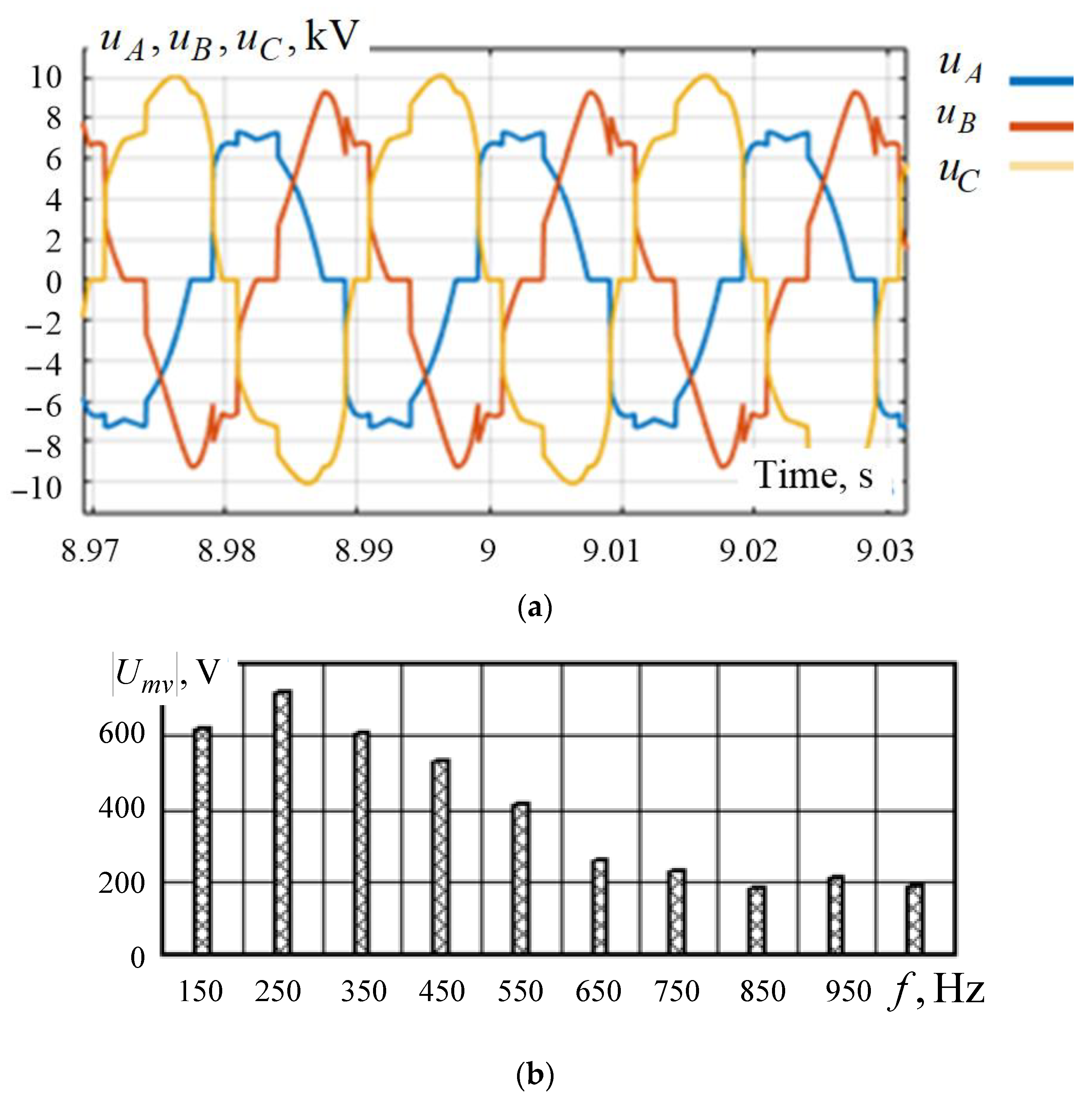
- Due to the presence of an unbalanced load, there were harmonics of 150 Hz in the stator current (Figure 20) and 100 Hz in the rotor current, which caused an increase in the excitation current.
- The amplitude of the forced oscillations of the excitation current of the generator with a frequency of 300 Hz increased (Figure 21). These factors entail the use of harmonic filters and field current limiting automatics in the ARE.
- The currents increased in the individual phases (Figure 20), which led to extra heating.
5. Conclusions
- When the generator serves an unbalanced load, there is a noticeable negative sequence current, which may exceed the maximum allowable value with respect to overheating. The generator begins to emit higher harmonics into the network, which leads to extra heating.
- 2.
- The following effects occurred when the harmonic distortion of the load current increased:
- The generator stator and rotor currents increased significantly; for example, at %, the RMS value of stator current increased by 32% as compared with the load flow when there was no rectifier load; at %, the mean value of the excitation current increased by 2.5% as compared with the load flow when there was no rectifier load; and at % (rectifier load was 25% of the generator rated power), the mean value of the excitation current increased by 20%. This fact was due to the improper operation of the ARE under such conditions, which required the application of harmonic filters and excitation current limitation in the ARE.
- The amplitude of the forced oscillations of the excitation current of the generator at a frequency multiple of 300 Hz increased; for example, at %, the amplitude of forced oscillations was 5% of the effective signal. This led to additional losses and extra heating.
- There were additional mechanical vibrations of the rotor with a frequency of 300 Hz; as the deviation from the sine waveform increased, the amplitude of these vibrations increased as well, which can lead to excessive runout during operation, rapid wear of the generator, and loss of stability.
- 3.
- Applicable to the case where there was a joint effect of unbalance and harmonic distortion, the following conclusions can be stated:
- There was a noticeable negative sequence current, which may exceed the maximum allowable value with respect to overheating; the generator began to emit higher harmonics into the network, which led to additional losses and a decrease in the power factor.
- The amplitude of the forced oscillations of the excitation current of the generator with frequency multiples of 100 and 300 Hz increased, which also led to additional losses and extra heating.
- Additional mechanical vibrations of the generator rotor occurred, which can lead to excessive runout during operation, accelerated wear of the generator, and loss of stability.
Author Contributions
Funding
Institutional Review Board Statement
Informed Consent Statement
Data Availability Statement
Conflicts of Interest
References
- Ren, F.; Wei, Z.; Zhai, X. A review on the integration and optimization of distributed energy systems. Renew. Sustain. Energy Rev. 2022, 162, 112440. [Google Scholar] [CrossRef]
- Ellabban, O.; Abu-Rub, H.; Blaabjerg, F. Renewable energy resources: Current status, future prospects and their enabling technology. Renew. Sustain. Energy Rev. 2014, 39, 748–764. [Google Scholar] [CrossRef]
- Liere-Netheler, I.; Schuldt, F.; Maydell, K.; Agert, C. Simulation of incidental distributed generation curtailment to maximize the integration of renewable energy generation in power systems. Energies 2020, 13, 4173. [Google Scholar] [CrossRef]
- Moreno-Munoz, A.; de-la-Rosa, J.J.G.; Lopez-Rodriguez, M.A.; Flores-Arias, J.M.; Bellido-Outerino, F.J.; Ruiz-de-Adana, M. Improvement of power quality using distributed generation. Int. J. Electr. Power Energy Syst. 2010, 32, 1069–1076. [Google Scholar] [CrossRef]
- Parthasarathy, S.S.; Nimosini, R.M.; Thangasankaran, R. Power quality enhancement in renewable energy integrated micro grid system using DVR. Int. J. Recent Trends Eng. Res. 2019, 5, 56–66. [Google Scholar] [CrossRef]
- Jamil, E.; Hameed, S.; Jamil, B. Qurratulain, Power quality improvement of distribution system with photovoltaic and permanent magnet synchronous generator based renewable energy farm using static synchronous compensator. Sustain. Energy Technol. Assess. 2019, 35, 98–116. [Google Scholar] [CrossRef]
- Suslov, K.V.; Stepanov, V.S.; Solonina, N.N. Smart grid: Effect of high harmonics on electricity consumers in distribution networks. In Proceedings of the IEEE International Symposium on Electromagnetic Compatibility, Brugge, Belgium, 2–6 September 2013. [Google Scholar]
- Suslov, K.V.; Solonina, N.N.; Smirnov, A.S. Smart meters for distributed filtering of high harmonics in Smart Grid. In Proceedings of the International Conference on Power Engineering, Energy and Electrical Drives, Malaga, Spain, 11–13 May 2011. [Google Scholar] [CrossRef]
- Yao, F.; Sun, D.; Sun, L.; Lipo, T.A. Dual Third-Harmonic-Current Excitation Principle of a Brushless Synchronous Machine Based on Double Three-Phase Armature Windings. In Proceedings of the 2019 22nd International Conference on Electrical Machines and Systems (ICEMS), Harbin, China, 11–14 August 2019. [Google Scholar]
- Fan, Z.-N.; Han, L.; Liao, Y.; Xie, L.-D.; Wen, K.; Wang, J.; Dong, X.-C.; Yao, B. Effect of Damper Winding and Stator Slot Skewing Structure on No-Load Voltage Waveform Distortion and Damper Bar Heat in Large Tubular Hydro Generator. IEEE Access 2018, 6, 22281–22291. [Google Scholar] [CrossRef]
- Hossein, A.-A.; Alinejad-Beromi, Y.; Yaghobi, H. Reduction in distortion of the synchronous generator voltage waveform using a new winding pattern. IET Electr. Power Appl. 2017, 11, 233–241. [Google Scholar]
- Ludwinek, K.; Nadolski, R.; Staszak, J. Comparison of higher harmonic contents in salient pole synchronous generator with different rotor construction. Arch. Electr. Eng. 2017, 66, 121–139. [Google Scholar] [CrossRef]
- Vicol, L.; Banyai, A.; Viorel, I.A.; Simond, J.J. On the damper cage bars’ currents calculation for salient pole large synchronous machines. In Proceedings of the 11th International Conference on Optimization of Electrical and Electronic Equipment, Brasov, Romania, 22–24 May 2008; pp. 9–14. [Google Scholar]
- Chaudhary, D.; Kumar, A.; Chauhan, S.M. Analysis of Harmonic Free Voltage Regulator with Simulation Technique. Int. J. Emerg. Trends Electr. Electron. 2013, 9, 18–22. [Google Scholar]
- Bruzzese, C.; Joksimovic, G. Harmonic Signatures of Static Eccentricities in the Stator Voltages and in the Rotor Current of No-Load Salient-Pole Synchronous Generators. IEEE Trans. Ind. Electron. 2011, 58, 1606–1624. [Google Scholar] [CrossRef]
- Ter-Gazaryan, G.N. The pure resistance of circuits of a rotor and stator of the salient pole synchronous machine to currents of the higher harmonics. Electricity 1962, 11, 10–13. [Google Scholar]
- Oliveira, R.R.; Rocha, C.A.L.; Delaiba, A.C.; Oliveira, J.C.; Belchior, F.N. Three-Phase Synchronous Generators Performance with Unbalanced and Non-Linear Loading—Analytical and Experimental Analysis. In Proceedings of the 2006 IEEE International Symposium on Industrial Electronics, Montreal, QC, Canada, 9–13 July 2006; pp. 1744–1749. [Google Scholar] [CrossRef]
- Fan, W.; Liao, Y. Impacts of flickers, harmonics and faults on synchronous generator operations. In Proceedings of the 2012 44th Southeastern Symposium on System Theory (SSST), Jacksonville, FL, USA, 11–13 March 2012; pp. 220–225. [Google Scholar] [CrossRef]
- Tul’skii, V.N.; Dzhuraev, S.D.; Inoyatov, B.D. Calculation of Permissible Power of Synchronous Generators Functioning with Transformer Load. Power Technol. Eng. 2018, 52, 466–473. [Google Scholar] [CrossRef]
- Dzhuraev, S.D.; Sultonov, S.M.; Rahimov, R.A.; Nazirov, K.B.; Ganiev, Z.S.; Kayumov, A.G. Normalization of Durable Permissible Non-Sinusoidal Load of Hydro-Generators. In Proceedings of the 2021 IEEE Conference of Russian Young Researchers in Electrical and Electronic Engineering (ElConRus), St. Petersburg, Russia, 26–29 January 2021; pp. 1395–1398. [Google Scholar] [CrossRef]
- Davorin, B.; Nikolovski, S. Improved Model of Thermal Rotor Protection Including Negative Sequence Protection. Energies 2022, 15, 2391. [Google Scholar] [CrossRef]
- Vanço, W.E.; Silva, F.B.; de Almeida Monteiro, J.R.B. A Study of the Impacts Caused by Unbalanced Voltage (2%) in Isolated Synchronous Generators. IEEE Access 2019, 7, 72956–72963. [Google Scholar] [CrossRef]
- Vanço, W.E.; Silva, F.B.; Oliveira, J.M.; de Almeida Monteiro, J.R.B. Effects of harmonic pollution on salient pole synchronous generators and on induction generators operating in parallel in isolated systems. Int. Trans. Electr. Energy Syst. 2020, 30, e12359. [Google Scholar] [CrossRef]
- Zakaryukin, V.P.; Kryukov, A.V. Complex Asymmetric Power Flows of Electrical Systems; Publishing House of Irkutsk State University: Irkutsk, Russia, 2005; p. 273. (In Russian) [Google Scholar]
- Bulatov, Y.N.; Kryukov, A.V.; Suslov, K.V. Group predictive voltage and frequency regulators for small hydro power plant in the context of low power quality. Renew. Energy 2022, 200, 571–578. [Google Scholar] [CrossRef]
- Anderson, P.M.; Fouad, A.A. Power System Control and Stability, 2nd ed.; IEEE Press: Piscataway, NJ, USA, 2003; p. 688. [Google Scholar]
- Bulatov, Y.N.; Kryukov, A.V. Optimization of automatic regulator settings of the distributed generation plants on the basis of genetic algorithm. In Proceedings of the 2nd International Conference on Industrial Engineering, Applications and Manufacturing (ICIEAM), Chelyabinsk, Russia, 19–20 May 2016; pp. 1–6. [Google Scholar]


























| Parameter | Value |
|---|---|
| Power, kVA | 3125 |
| Power factor | 0.8 |
| Nominal voltage UNOM, V | 6300 |
| Frequency f, Hz | 50 |
| Synchronous speed, rpm | 1000 |
| Ohmic resistance of the stator Rs, per unit | 0.00901 |
| Leakage inductance of the stator LI, per unit | 0.045 |
| Direct axis inductance of the stator Lmd, per unit | 2.43 |
| Quadrature axis inductance of the stator Lmq, per unit | 1.69 |
| Resistance of the field winding Rf, per unit | 0.0021 |
| Inductance of the field winding of the rotor LIfd, per unit | 0.506 |
| Direct axis resistance of the damper winding Rkd’, per unit | 0.2998 |
| Direct axis inductance of the damper winding LIkd’, per unit | 3.742 |
| Quadrature axis resistance of the damper winding Rkq1, per unit | 0.0254 |
| Quadrature axis inductance of the damper winding LIkq1’, per unit | 0.2388 |
| Inertia constant H, s | 2.279 |
| Friction coefficient F, per unit | 0.009 |
| Number of pole pairs p | 3 |
| Parameter | Value | ||||||
|---|---|---|---|---|---|---|---|
| , % | 0 | 2.99 | 5.97 | 8.97 | 12.0 | 15.0 | 18.0 |
| , % | 0 | 0.61 | 1.21 | 1.81 | 2.42 | 3.02 | 3.63 |
| , % | 0.001 | 0.33 | 0.66 | 0.99 | 1.31 | 1.62 | 1.93 |
| , % | 0.001 | 0.34 | 0.67 | 1.01 | 1.35 | 1.70 | 2.04 |
| , % | 0.001 | 0.34 | 0.68 | 1.02 | 1.37 | 1.72 | 2.07 |
| , per unit | 0.79 | 0.79 | 0.79 | 0.79 | 0.79 | 0.79 | 0.79 |
| , per unit | 0.79 | 0.80 | 0.81 | 0.82 | 0.84 | 0.85 | 0.86 |
| , per unit | 0 | 0.011 | 0.023 | 0.035 | 0.046 | 0.057 | 0.069 |
| , per unit | 0.430 | 0.44 | 0.449 | 0.453 | 0.461 | 0.469 | 0.477 |
| , per unit | 0.430 | 0.44 | 0.441 | 0.447 | 0.453 | 0.459 | 0.466 |
| , per unit | 0.430 | 0.42 | 0.404 | 0.391 | 0.378 | 0.365 | 0.352 |
| dI, % | 0 | 2 | 4.5 | 6.2 | 8.3 | 10.4 | 12.5 |
| Notation | Value | ||||||
|---|---|---|---|---|---|---|---|
| , % | 6.10 | 9.76 | 16.3 | 20.8 | 24.7 | 28.4 | 40.9 |
| , % | 0.82 | 1.24 | 1.74 | 2.10 | 2.36 | 2.45 | 3.21 |
| , % | 1.62 | 2.56 | 3.61 | 4.18 | 4.24 | 4.34 | 6.25 |
| , % | 2.09 | 2.32 | 3.11 | 4.27 | 4.41 | 4.71 | 5.82 |
| , % | 2.09 | 2.96 | 3.92 | 4.52 | 5.14 | 5.5 | 6.62 |
| , % | 1.51 | 2.26 | 2.89 | 3.71 | 3.97 | 4.19 | 5.62 |
| , % | 1.66 | 2.03 | 2.68 | 2.87 | 3.19 | 3.24 | 3.79 |
| , % | 1.89 | 2.97 | 3.82 | 4.48 | 4.84 | 5.11 | 6.86 |
| , A | 1.72 | 1.71 | 1.72 | 1.72 | 1.71 | 1.71 | 1.70 |
| , A | 0.082 | 0.082 | 0.080 | 0.077 | 0.073 | 0.067 | 0.066 |
| , A | 0.005 | 0.008 | 0.013 | 0.016 | 0.018 | 0.019 | 0.027 |
| , V | 223.4 | 224.9 | 225.9 | 227.0 | 227.3 | 227.4 | 228.3 |
| , V | 1.84 | 2.78 | 3.94 | 4.77 | 5.36 | 5.56 | 7.33 |
| , A | 0.085 | 0.086 | 0.088 | 0.090 | 0.091 | 0.092 | 0.093 |
| , A | 0.083 | 0.081 | 0.078 | 0.075 | 0.071 | 0.068 | 0.064 |
| , A | 0.078 | 0.076 | 0.073 | 0.070 | 0.066 | 0.064 | 0.062 |
| dI, % | 2.92 | 4.17 | 6.25 | 8.33 | 10.42 | 11.67 | 12.92 |
| , V | 128.6 | 129.7 | 130.6 | 128.9 | 129.4 | 130.2 | 128.3 |
| , V | 128.7 | 129.1 | 128.9 | 131.5 | 130.8 | 131.0 | 132.4 |
| , V | 129.8 | 131.7 | 132.7 | 132.5 | 132.8 | 133.0 | 134.8 |
| Harmonic No. | Voltage Harmonic Distortion | Current Harmonic Distortion | ||||
|---|---|---|---|---|---|---|
| , % | , % | , % | , % | , % | , % | |
| 1 | 100 | 100 | 100 | 100 | 100 | 100 |
| 2 | 0.39 | 0.31 | 0.26 | 0.27 | 0.2 | 0.25 |
| 3 | 5.73 | 5.83 | 6.01 | 5.52 | 3.55 | 6.54 |
| 4 | 0.15 | 0.09 | 0.07 | 0.03 | 0.02 | 0 |
| 5 | 1.15 | 1.18 | 0.21 | 0.67 | 0.54 | 0.49 |
| 6 | 0.37 | 0.39 | 0.34 | 0.19 | 0.25 | 0.23 |
| 7 | 0.39 | 0.33 | 0.25 | 0.23 | 0.08 | 0.32 |
| 8 | 0.45 | 0.22 | 0.54 | 0.46 | 0.11 | 0.56 |
| 9 | 0.04 | 0.13 | 0.05 | 0 | 0.08 | 0 |
| 10 | 0.52 | 0.76 | 0.74 | 0.47 | 0.4 | 0.65 |
| 11 | 0.31 | 0.40 | 0.30 | 0.21 | 0.14 | 0.23 |
| 12 | 0.29 | 0.26 | 0.62 | 0.35 | 0.11 | 0.52 |
| 13 | 0.24 | 0.45 | 0.29 | 0.24 | 0.23 | 0.41 |
| 14 | 0.18 | 0.23 | 0.13 | 0.12 | 0.08 | 0.17 |
| 15 | 0.10 | 0.14 | 0.16 | 0.04 | 0.05 | 0.10 |
| Parameter | Value | ||||||||||||
|---|---|---|---|---|---|---|---|---|---|---|---|---|---|
| ·10–3, % | 0 | 0 | 0 | 0 | 0 | 0 | 0 | 1 | 1 | 1 | 1 | 1 | 2 |
| ·10–3, % | 0 | 2 | 6 | 7 | 8 | 6 | 9 | 9 | 13 | 19 | 21 | 17 | 22 |
| , % | 0.001 | 0.741 | 1.821 | 2.733 | 3.503 | 4.250 | 4.948 | 6.794 | 8.5 | 10.15 | 11.67 | 15.6 | 19.77 |
| , % | 0.001 | 0.746 | 1.842 | 2.738 | 3.528 | 4.260 | 4.915 | 6.819 | 8.53 | 10.16 | 11.63 | 15.58 | 19.8 |
| , % | 0.001 | 0.727 | 1.847 | 2.710 | 3.534 | 4.234 | 4.942 | 6.827 | 8.537 | 10.12 | 11.66 | 15.9 | 19.8 |
| , per unit | 0.787 | 0.791 | 0.795 | 0.801 | 0.807 | 0.812 | 0.818 | 0.837 | 0.855 | 0.874 | 0.891 | 0.945 | 1.003 |
| , per unit | 0.787 | 0.792 | 0.799 | 0.807 | 0.814 | 0.822 | 0.83 | 0.853 | 0.876 | 0.898 | 0.921 | 0.982 | 1.0491 |
| Imf, per unit | 0 | 0.001 | 0.004 | 0.006 | 0.008 | 0.011 | 0.013 | 0.019 | 0.025 | 0.03 | 0.035 | 0.048 | 0.06 |
| IA, per unit | 0.430 | 0.432 | 0.438 | 0.443 | 0.449 | 0.454 | 0.46 | 0.477 | 0.493 | 0.509 | 0.525 | 0.569 | 0.613 |
| IB, per unit | 0.430 | 0.432 | 0.438 | 0.443 | 0.449 | 0.454 | 0.46 | 0.477 | 0.493 | 0.509 | 0.525 | 0.569 | 0.613 |
| IC, per unit | 0.430 | 0.432 | 0.438 | 0.443 | 0.449 | 0.454 | 0.46 | 0.477 | 0.493 | 0.509 | 0.525 | 0.569 | 0.613 |
| Parameter | Traction Substation | ||
|---|---|---|---|
| TS1 | TS2 | TS3 | |
| Mean value | 1.45 | 1.73 | 1.26 |
| Maximum value | 5.96 | 6.64 | 3.70 |
| Minimum value | 0.16 | 0.16 | 0.06 |
| Parameter | Phase | ||
|---|---|---|---|
| A | B | C | |
| Mean value | 6.04 | 9.69 | 4.58 |
| Maximum value | 28.68 | 31.68 | 21.27 |
| Minimum value | 0.07 | 0.96 | 0.11 |
Disclaimer/Publisher’s Note: The statements, opinions and data contained in all publications are solely those of the individual author(s) and contributor(s) and not of MDPI and/or the editor(s). MDPI and/or the editor(s) disclaim responsibility for any injury to people or property resulting from any ideas, methods, instructions or products referred to in the content. |
© 2023 by the authors. Licensee MDPI, Basel, Switzerland. This article is an open access article distributed under the terms and conditions of the Creative Commons Attribution (CC BY) license (https://creativecommons.org/licenses/by/4.0/).
Share and Cite
Bulatov, Y.; Kryukov, A.; Suslov, K. Effect of Unbalanced and Non-Linear Loads on Operation of the Turbogenerator of a Distributed Generation Unit. Appl. Sci. 2023, 13, 3643. https://doi.org/10.3390/app13063643
Bulatov Y, Kryukov A, Suslov K. Effect of Unbalanced and Non-Linear Loads on Operation of the Turbogenerator of a Distributed Generation Unit. Applied Sciences. 2023; 13(6):3643. https://doi.org/10.3390/app13063643
Chicago/Turabian StyleBulatov, Yuri, Andrey Kryukov, and Konstantin Suslov. 2023. "Effect of Unbalanced and Non-Linear Loads on Operation of the Turbogenerator of a Distributed Generation Unit" Applied Sciences 13, no. 6: 3643. https://doi.org/10.3390/app13063643
APA StyleBulatov, Y., Kryukov, A., & Suslov, K. (2023). Effect of Unbalanced and Non-Linear Loads on Operation of the Turbogenerator of a Distributed Generation Unit. Applied Sciences, 13(6), 3643. https://doi.org/10.3390/app13063643

