Design and Implementation of an IPT Charger with Minimum Number of Elements for Battery Charging Applications
Abstract
1. Introduction
2. Circuit Model and Theoretical Analysis
2.1. Circuit Model


2.2. Analysis of CCO Characteristics and ZPA Operation
2.3. Analysis of CVO Characteristics and ZPA Operation
2.4. Determination of Compensation Capacitor Value
3. Design and Preliminary Verification
3.1. LCT Structure Design
3.2. Parameter Design
- Step 1:
- The operating angular frequencies ωcc and ωcv of the proposed system in CC and CV modes are determined in accordance with the specific applications.
- Step 2:
- Determine the appropriate transconductance gain G and voltage gain E.
- Step 3:
- Set the size and turns of L1, Lp and Ls.
- Step 4:
- The self-inductances of L1, Lp and Ls and mutual inductance M are estimated by Maxwell.
- Step 5:
- The compensation capacitances C1 and C2 can be calculated by using Equation (20).
- Step 6:
- Judge whether Equations (9) and (17) are satisfied. If Equations (9) and (17) hold, system parameters are successfully designed. If Equations (9) and (17) are not satisfied, the design parameters are unreasonable. Repeat step 3 until Equations (9) and (17) are hold.
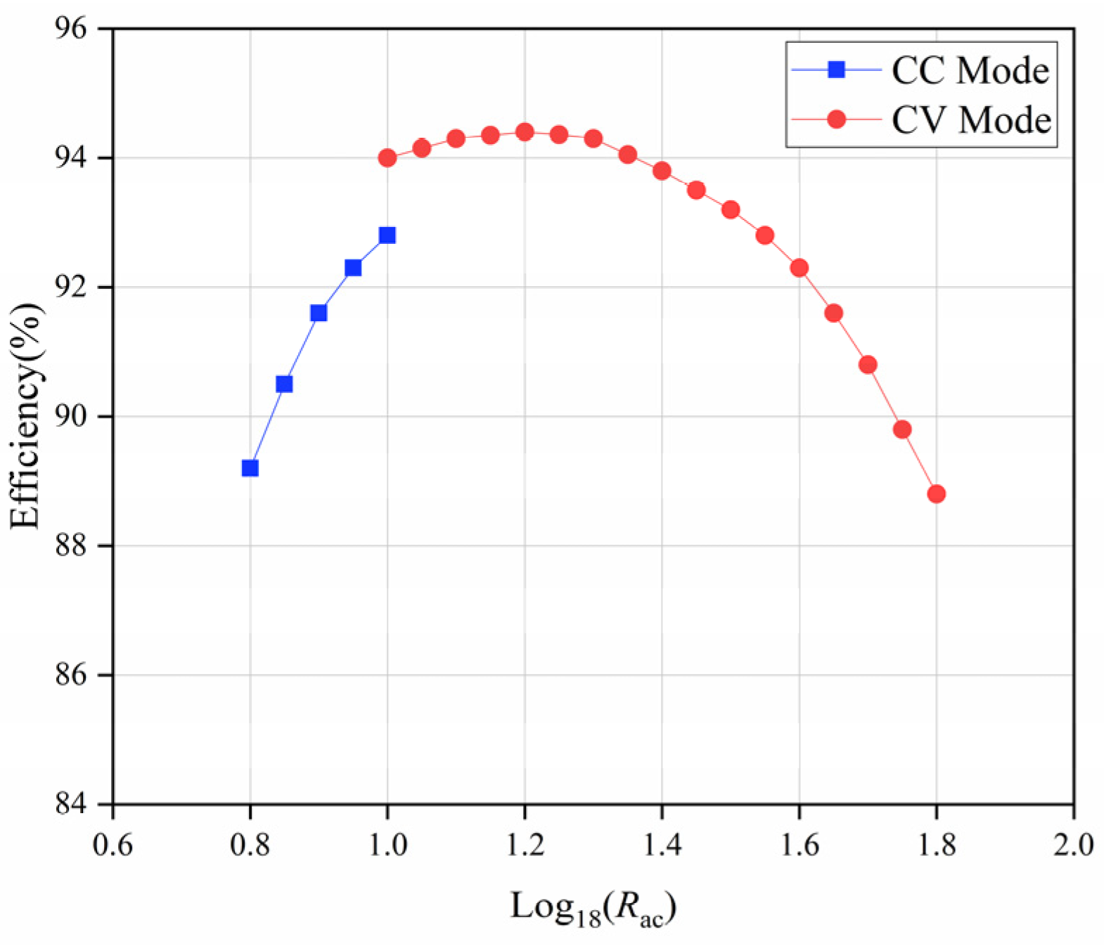
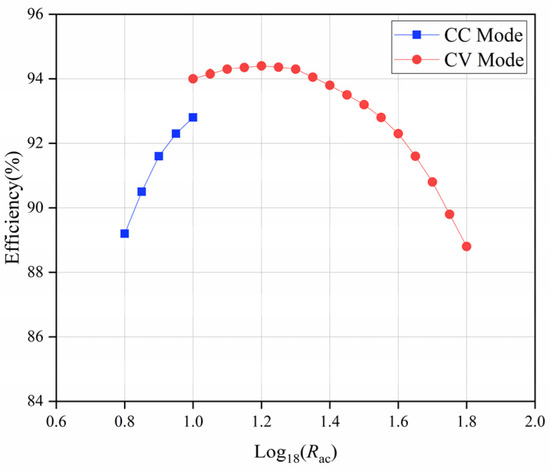
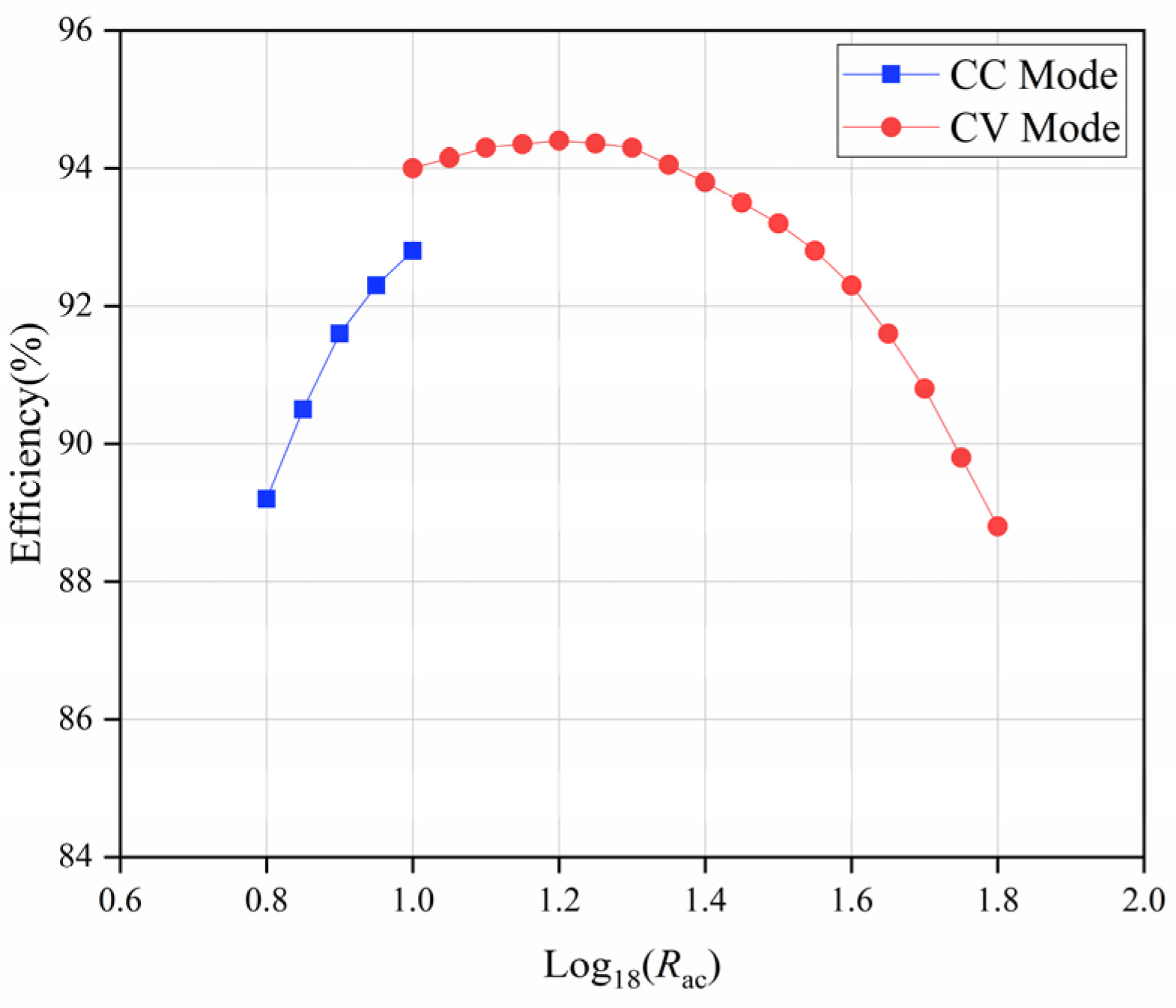
3.3. Preliminary Verification
4. Design of Switching Strategy
5. Experimental
- (i)
- The proposed LC/S compensated IPT system does not require redundant AC switches and complex control algorithms, and shifts between two fixed operating frequencies to realize CCO and CVO with ZPA operation, which not only makes the system simpler in structure, but also makes control of the system more convenient. In addition, the total number of compensation elements of the system is minimized, with only one compensation capacitor on the receiving side, ensuring a compact and low-cost receiver.
- (ii)
- The proposed LC/S compensated IPT system adopts a coil decoupling design, which eliminates the coupling mutual inductance between the compensation inductor L1 and the LCT, maximizing space utilization.
6. Conclusions
Author Contributions
Funding
Institutional Review Board Statement
Informed Consent Statement
Data Availability Statement
Conflicts of Interest
References
- Hui, S.Y. Planar Wireless Charging Technology for Portable Electronic Products and Qi. Proc. IEEE 2013, 101, 1290–1301. [Google Scholar] [CrossRef]
- Feng, J.; Li, Q.; Lee, F.C.; Fu, M. Transmitter Coils Design for Free-Positioning Omnidirectional Wireless Power Transfer System. IEEE Trans. Ind. Inform. 2019, 15, 4656–4664. [Google Scholar] [CrossRef]
- Li, Y.; Hu, J.; Li, X.; Chen, F.; Xu, Q.; Mai, R.; He, Z. Analysis, Design, and Experimental Verification of a Mixed High-Order Compensations-Based WPT System with Constant Current Outputs for Driving Multistring LEDs. IEEE Trans. Ind. Electron. 2020, 67, 203–213. [Google Scholar] [CrossRef]
- Xiaohui, Q.; Wei, Z.; Siu-Chung, W.; Tse, C.K. Design of a Current-Source-Output Inductive Power Transfer LED Lighting System. IEEE J. Emerg. Sel. Top. Power Electron. 2015, 3, 306–314. [Google Scholar] [CrossRef]
- Agarwal, K.; Jegadeesan, R.; Guo, Y.X.; Thakor, N.V. Wireless Power Transfer Strategies for Implantable Bioelectronics. IEEE Rev. Biomed Eng. 2017, 10, 136–161. [Google Scholar] [CrossRef]
- Pucci, N.; Kwan, C.H.; Yates, D.C.; Mitcheson, P.D. Multi-megahertz IPT systems for biomedical devices applications. In Proceedings of the 2019 19th International Conference on Micro and Nanotechnology for Power Generation and Energy Conversion Applications (PowerMEMS), Krakow, Poland, 2–6 December 2019; pp. 1–7. [Google Scholar]
- Cai, C.; Wang, J. A cost-effective segmented dynamic wireless charging system with stable efficiency and output power. IEEE Trans. Power Electron. 2022, 37, 8682–8700. [Google Scholar] [CrossRef]
- Yang, L.; Shi, Y.; Wang, M. Constant voltage charging and maximum efficiency tracking for WPT systems employing dual-side control scheme. IEEE J. Emerg. Sel. Top. Power Electron. 2021, 10, 945–955. [Google Scholar] [CrossRef]
- Cai, C.; Wang, J.; Zhang, F.; Liu, X.; Zhang, P.; Zhou, Y.-G. A Multichannel Wireless UAV Charging System With Compact Receivers for Improving Transmission Stability and Capacity. IEEE Syst. J. 2022, 16, 997–1008. [Google Scholar] [CrossRef]
- Wang, J.; Chen, R.; Cai, C.; Zhang, J.; Wang, C. An Onboard Magnetic Integration Based WPT System for UAV Misalignment-Tolerant Charging with Constant Current Output. IEEE Trans. Transp. Electrif. 2022, 9, 1973–1984. [Google Scholar] [CrossRef]
- Mohsan, S.A.H.; Islam, A.; Khan, M.A.; Mahmood, A.; Rokia, L.S.; Mazinani, A.; Amjad, H. A Review on Research Challenges, Limitations and Practical Solutions for Underwater Wireless Power Transfer. Int. J. Adv. Comput. Sci. Appl. 2020, 11, 555–562. [Google Scholar] [CrossRef]
- Khaligh, A.; Zhihao, L. Battery, Ultracapacitor, Fuel Cell, and Hybrid Energy Storage Systems for Electric, Hybrid Electric, Fuel Cell, and Plug-In Hybrid Electric Vehicles: State of the Art. IEEE Trans. Veh. Technol. 2010, 59, 2806–2814. [Google Scholar] [CrossRef]
- Qu, X.; Han, H.; Wong, S.-C.; Tse, C.K.; Chen, W. Hybrid IPT Topologies with Constant Current or Constant Voltage Output for Battery Charging Applications. IEEE Trans. Power Electron. 2015, 30, 6329–6337. [Google Scholar] [CrossRef]
- Wei, Z.; Siu-Chung, W.; Tse, C.K.; Qianhong, C. Load-Independent Duality of Current and Voltage Outputs of a Series- or Parallel-Compensated Inductive Power Transfer Converter with Optimized Efficiency. IEEE J. Emerg. Sel. Top. Power Electron. 2015, 3, 137–146. [Google Scholar] [CrossRef]
- Zhang, W.; Mi, C.C. Compensation Topologies of High-Power Wireless Power Transfer Systems. IEEE Trans. Veh. Technol. 2016, 65, 4768–4778. [Google Scholar] [CrossRef]
- Mai, R.; Chen, Y.; Li, Y.; Zhang, Y.; Cao, G.; He, Z. Inductive Power Transfer for Massive Electric Bicycles Charging Based on Hybrid Topology Switching with a Single Inverter. IEEE Trans. Power Electron. 2017, 32, 5897–5906. [Google Scholar] [CrossRef]
- Liu, S.; Li, X.; Yang, L. Three-coil structure-based WPT system design for electric bike CC and CV charging without communication. IET Electr. Power Appl. 2019, 13, 1318–1327. [Google Scholar] [CrossRef]
- Chen, Y.; Li, M.; Yang, B.; Chen, S.; Li, Q.; He, Z.; Mai, R. Variable-Parameter T-Circuit-Based IPT System Charging Battery with Constant Current or Constant Voltage Output. IEEE Trans. Power Electron. 2020, 35, 1672–1684. [Google Scholar] [CrossRef]
- Chen, Y.; Yang, N.; Yang, B.; Dai, R.; He, Z.; Mai, R.; Gao, S. Two-/three-coil hybrid topology and coil design for WPT system charging electric bicycles. IET Power Electron. 2019, 12, 2501–2512. [Google Scholar] [CrossRef]
- Huang, Z.; Wong, S.-C.; Tse, C.K. Design of a Single-Stage Inductive-Power-Transfer Converter for Efficient EV Battery Charging. IEEE Trans. Veh. Technol. 2017, 66, 5808–5821. [Google Scholar] [CrossRef]
- Yang, L.; Ren, L.; Shi, Y.; Wang, M.; Geng, Z. Analysis and Design of a S/S/P-Compensated Three-coil Structure WPT System with Constant Current and Constant Voltage Output. IEEE J. Emerg. Sel. Top. Power Electron. 2022, 1-1. [Google Scholar] [CrossRef]
- Vu, V.-B.; Tran, D.-H.; Choi, W. Implementation of the Constant Current and Constant Voltage Charge of Inductive Power Transfer Systems with the Double-Sided LCC Compensation Topology for Electric Vehicle Battery Charge Applications. IEEE Trans. Power Electron. 2018, 33, 7398–7410. [Google Scholar] [CrossRef]
- Yang, L.; Li, X.; Liu, S.; Xu, Z.; Cai, C.; Guo, P. Analysis and Design of Three-Coil Structure WPT System with Constant Output Current and Voltage for Battery Charging Applications. IEEE Access 2019, 7, 87334–87344. [Google Scholar] [CrossRef]
- Tran, D.H.; Vu, V.B.; Choi, W. Design of a High-Efficiency Wireless Power Transfer System with Intermediate Coils for the On-Board Chargers of Electric Vehicles. IEEE Trans. Power Electron. 2018, 33, 175–187. [Google Scholar] [CrossRef]
- Yang, L.; Jiang, S.; Wang, C.; Zhang, L. Analysis and Design of a CLC/N Compensated CC-Type WPT System with Compact and Low-Cost Receiver. Sensors 2023, 23, 838. [Google Scholar] [CrossRef]
- Cai, C.; Wang, J.; Fang, Z.; Zhang, P.; Hu, M.; Zhang, J.; Li, L.; Lin, Z. Design and Optimization of Load-Independent Magnetic Resonant Wireless Charging System for Electric Vehicles. IEEE Access 2018, 6, 17264–17274. [Google Scholar] [CrossRef]
- Li, Y.; Lin, T.; Mai, R.; Huang, L.; He, Z. Compact Double-Sided Decoupled Coils-Based WPT Systems for High-Power Applications: Analysis, Design, and Experimental Verification. IEEE Trans. Transp. Electrif. 2018, 4, 64–75. [Google Scholar] [CrossRef]













| Parameters | Transmitting Coil Lp | Receiving Coil Ls |
|---|---|---|
| Outer diameter | 210 mm | 280 mm |
| Internal diameter | 156 mm | 196 mm |
| Turns of coils (n) | 9 | 14 |
| Specifications of Litz wire | 400 strands | 400 strands |
| Parameters | Value | Parameters | Value |
|---|---|---|---|
| L1 | 80 | Mp1 | 1.21 |
| Lp | 45 | Ms1 | 0.26 |
| Ls | 136.68 | Mps | 26 |
| Parameters | Value | Parameters | Value |
|---|---|---|---|
| fcc | 90 kHz | C1 | 108.58 nF |
| fcv | 72 kHz | C2 | 32.93 nF |
| Parameters | Value | Parameters | Value |
|---|---|---|---|
| fcc | 90 kHz | C1 | 107.73 nF |
| fcv | 72 kHz | C2 | 32.61 nF |
| L1 | Rp | 0.12 Ω | |
| Lp | Rs | 0.08 Ω | |
| Ls | Rm | 0.16 Ω | |
| M | Iout | 2.5 A | |
| Ud | 82 V | Uout | 45 V |
Disclaimer/Publisher’s Note: The statements, opinions and data contained in all publications are solely those of the individual author(s) and contributor(s) and not of MDPI and/or the editor(s). MDPI and/or the editor(s) disclaim responsibility for any injury to people or property resulting from any ideas, methods, instructions or products referred to in the content. |
© 2023 by the authors. Licensee MDPI, Basel, Switzerland. This article is an open access article distributed under the terms and conditions of the Creative Commons Attribution (CC BY) license (https://creativecommons.org/licenses/by/4.0/).
Share and Cite
Zhou, X.; Shao, S.; Tan, Y.; Chen, A.; Wang, Z.; Yang, L. Design and Implementation of an IPT Charger with Minimum Number of Elements for Battery Charging Applications. Appl. Sci. 2023, 13, 3580. https://doi.org/10.3390/app13063580
Zhou X, Shao S, Tan Y, Chen A, Wang Z, Yang L. Design and Implementation of an IPT Charger with Minimum Number of Elements for Battery Charging Applications. Applied Sciences. 2023; 13(6):3580. https://doi.org/10.3390/app13063580
Chicago/Turabian StyleZhou, Xuebin, Shuai Shao, Yonghong Tan, Aiwu Chen, Zhitang Wang, and Lin Yang. 2023. "Design and Implementation of an IPT Charger with Minimum Number of Elements for Battery Charging Applications" Applied Sciences 13, no. 6: 3580. https://doi.org/10.3390/app13063580
APA StyleZhou, X., Shao, S., Tan, Y., Chen, A., Wang, Z., & Yang, L. (2023). Design and Implementation of an IPT Charger with Minimum Number of Elements for Battery Charging Applications. Applied Sciences, 13(6), 3580. https://doi.org/10.3390/app13063580

