Analysis of the Effect of Capillary Water Absorption on the Resistivity of Cementitious Materials
Abstract
1. Introduction
2. Materials and Methods
2.1. Materials
2.2. Mixture Proportion Design
2.3. Test Method
3. Results and Discussion
3.1. Compressive Strength
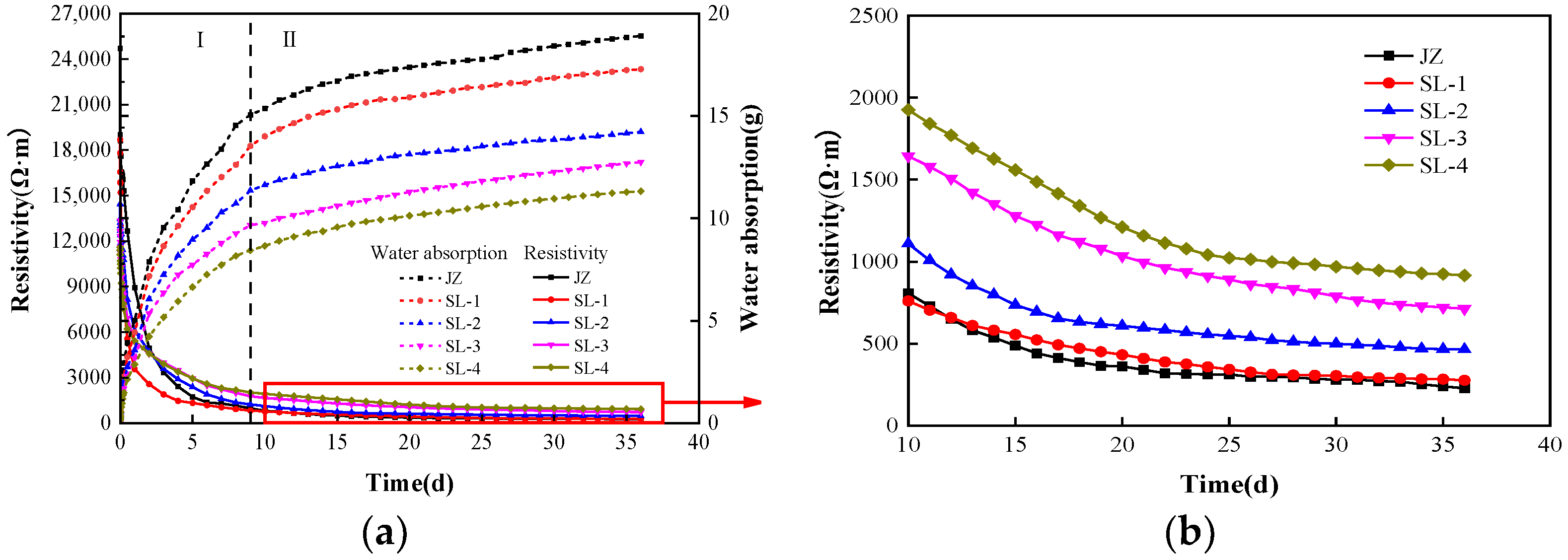
3.2. Effect of Capillary Water Absorption on the Resistivity of Cement Mortar
3.3. Pore Structure Feature
3.4. Hydration Products
4. Conclusions and Perspectives
4.1. Conclusions
- (1)
- The secondary hydration of mineral admixture can increase the number of gel pores and transition pores in the specimen. The lower activity and certain filling effects of fly ash and SL can have a certain refining effect on the pore size. The silica fume can significantly reduce the porosity of the specimen and increase the proportion of gel pores and transition pores.
- (2)
- In the dry state, capillary pores and large pores contribute to the resistivity; the more capillary pores and large pores in the specimen, the higher the resistivity, the highest resistivity was found in the dry state of JZ group cement mortar, and the resistivity of cement mortar mixed with mineral admixture had different degrees of decline.
- (3)
- With the increase in the amount of mineral admixture and the increase in the number of gel pores and transition pores inside the specimen, the degree of curvature inside the specimen also increased, leading to a continuous decrease in the capillary water absorption coefficient of the specimen. The resistivity of the specimen after capillary water absorption increased with the decrease in the capillary water absorption coefficient. Among the three admixtures, the addition of silica fume has the best effect on improving the resistivity of cement mortar after 36 days of capillary water absorption, compared with the JZ group.
- (4)
- With the increase in capillary water absorption time, the change curve of the resistivity of cement mortar can be divided into two stages: rapid decrease and slow decrease. It tends to be stable, while the resistivity of cement mortar with silica fume decreases relatively slowly with capillary water absorption. This is mainly due to the low porosity and high proportion of gel pores of the silica fume formation, which lead to a weakening of its water absorption capacity, a significant reduction in the number of conductive paths, and a slow change in resistivity after capillary water absorption.
- (5)
- Under the action of capillary water absorption, the specimen can be divided into a saturated zone, an unsaturated zone, and a dry zone. The saturated zone causes the resistivity of the specimen to decrease greatly, while the unsaturated zone and dry zone have little effect on the decrease in the resistivity of the specimen.
- (6)
- To improve the resistivity of cement-based materials after capillary water absorption, two aspects can be considered. One is to increase the number of gel pores (5–10 nm) and transition pores (10–100 nm) when the pore volume is not very different, because the contribution of gel pores to the resistivity after capillary water absorption is much higher than that of transition pores; the other is to greatly reduce the volume of pores. This is helpful for improving the resistivity of concrete elements in subways and reducing stray current corrosion.
4.2. Prospectives
Author Contributions
Funding
Institutional Review Board Statement
Informed Consent Statement
Data Availability Statement
Acknowledgments
Conflicts of Interest
References
- Li, Q.H.; Xu, S.L.; Zeng, Q. The effect of water saturation degree on the electrical properties of cement-based porous material. Cem. Concr. Compos. 2016, 70, 35–47. [Google Scholar] [CrossRef]
- Zeng, X.H.; Chen, L.; Zheng, K.R. Electrical resistivity and capillary absorption in a mortar with styrene-acrylic emulsion and air-entrained agent: Improvement and correlation with pore structure. Constr. Build. Mater. 2020, 255, 119287. [Google Scholar] [CrossRef]
- Liang, K.; Zeng, X.H.; Zhou, X.J. Investigation of the capillary rise in cement-based materials by using electrical resistivity measurement. Constr. Build. Mater. 2018, 173, 811–819. [Google Scholar] [CrossRef]
- Shi, J.J.; Sun, W. Recent research on steel corrosion in concrete. J. Chin. Ceram. Soc. 2010, 38, 1753–1764. [Google Scholar]
- Jin, H.; Yu, S. Effect of DC stray current on rebar corrosion in the cracked segment of shield tunnel. Constr. Build. Mater. 2021, 272, 121646. [Google Scholar] [CrossRef]
- Tang, K.K. Stray current induced steel fibre reinforced concrete corrosion. Cem. Concr. Res. 2017, 100, 445–456. [Google Scholar] [CrossRef]
- Zhang, Y.S.; Huang, R.; Yang, Y.G. Corrosion Behavior of Reinforced Concrete under Stray Current-Brine Coupling Effects. J. Build. Mater. 2017, 20, 7. [Google Scholar] [CrossRef]
- Lu, X.; Chen, X.; Bai, G.Q. Study on the influence of coupling action of stray current and chloride solution on reinforced concrete. New Build. Mater. 2018, 045, 100–103. [Google Scholar]
- Ding, H.T. The Research on the Subway Concrete of High Impedance and Impervious. Master’s Thesis, Wuhan University of Technology, Wuhan, China, 2008. [Google Scholar]
- Ehtesham, S.; Rasheeduzzafar, H. Corrosion resistance performance of fly ash blended cement concrete. ACI Mater. J. 1994, 91, 264–271. [Google Scholar]
- Baweja, D.; Roper, H.; Sirivivatnanon, V. Corrosion of steel in marine concrete: Long-term half-cell potential and resistivity data. In Proceedings of the Third CANMET/ACI International Conference on Performance of Concrete in Marine Environment, St. Andrew, NB, Canada, 4–9 August 1996. [Google Scholar]
- Bagheri, A.; Zanganeh, H.; Alizadeh, H. Comparing the performance of fine fly ash and silica fume in enhancing the properties of concretes containing fly ash. Constr. Build. Mater. 2013, 47, 1402–1408. [Google Scholar] [CrossRef]
- Dotto, J.M.R.; Abreu, A.G.D.; Dal Molin, D.C.C. Influence of silica fume addition on concretes physical properties and on corrosion behaviour of reinforcement bars. Cem. Concr. Compos. 2004, 26, 31–39. [Google Scholar] [CrossRef]
- Yang, W.S. Experimental Investigation on Effects of Mineral Admixtures on Electrical Receptivity of Cement-Based Materials. Master’s Thesis, Hunan University, Changsha, China, 2010. [Google Scholar]
- Justnes, H.; Østnor, T.A. Durability and microstructure of mortar with calcined marl as supplementary cementing material. In Proceedings of the XIII International Conference on Durability of Building Materials and Components—XIII DBMC, Sao Paulo, Brazil, 2–5 September 2014; Curran Associates, Inc.: Red Hook, NY, USA, 2015; pp. 752–761. [Google Scholar]
- Liang, K. Experimental Study on Electric Conductivity Characteristics and Influential Factors of Concrete. Ph.D. Thesis, Southwest Jiaotong University, Chengdu, China, 2018. [Google Scholar]
- Cai, J.; Pan, J.; Li, X. Electrical resistivity of fly ash and metakaolin based geopolymers. Constr. Build. Mater. 2020, 234, 117868. [Google Scholar] [CrossRef]
- Li, Z.J.; Xiao, L.Z.; Wei, X.S. Study on the Properties of Young Concrete with Fly Ash Using Electrical Measurement. In International RILEM Symposium on Concrete Science and Engineering: A Tribute to Arnon Bentur; RILEM Publications SARL: Champs-sur-Marne, France, 2004. [Google Scholar]
- Yang, L.; Liu, G.J.; Gao, D.Y. Experimental study on water absorption of unsaturated concrete: W/c ratio, coarse aggregate, and saturation degree. Constr. Build. Mater. 2020, 272, 121945. [Google Scholar] [CrossRef]
- Hong, S.X.; Yao, W.Q.; Guo, B.W. Water distribution characteristics in cement paste with capillary absorption. Constr. Build. Mater. 2020, 240, 117767. [Google Scholar] [CrossRef]
- Minagawa, H.; Miyamoto, S.; Hisada, M. Relationship of Apparent Electrical Resistivity Measured by Four-Probe Method with Water Content Distribution in Concrete. J. Adv. Concr. Technol. 2017, 15, 278–289. [Google Scholar] [CrossRef]
- Dehghanpour, H.; Yilmaz, K. The relationship between resistances measured by two-probe, Wenner probe and C1760-12 ASTM methods in electrically conductive concretes. SN Appl. Sci. 2020, 2, 10. [Google Scholar] [CrossRef]
- Zhou, Z.; Xie, N.; Cheng, X.; Feng, L.; Hou, P.; Huang, S.; Zhou, Z. Electrical properties of low dosage carbon nanofiber/cement composite: Percolation behavior and polarization effect. Cem. Concr. Compos. 2020, 109, 103539. [Google Scholar] [CrossRef]
- Chiarello, M.; Zinno, R. Electrical conductivity of self-monitoring CFRC. Cem. Concr. Res. 2005, 27, 463–469. [Google Scholar] [CrossRef]
- Liu, Y.B.; Francisco, J.; Presuel, M. Normalization of Temperature Effect on Concrete Resistivity by Method Using Arrhenius Law. ACI Mater. J. 2014, 111, 433–442. [Google Scholar] [CrossRef]
- Hope, B.B.; Ip, A.K.; Manning, D.G. Corrosion and electrical impedance in concrete. Cem. Concr. Res. 1985, 15, 525–534. [Google Scholar] [CrossRef]
- ASTM C1585; Standard Test Method for Measurement of Rate of Absorption of Water by Hydraulic-Cement Concretes. ASTM International: West Conshohocken, PA, USA, 2004.
- Qian, J.S.; Xu, S.S.; Li, M. The Measurement and Application of Resistivity for Concrete. J. Shandong Univ. Sci. Technol. 2010, 29, 37–42. [Google Scholar]
- Tian, D.M.; Deng, D.H.; Huang, B. Research on the Capillary Absorption of the Cement-Emulsified Asphalt Mortar. China Railw. Sci. 2010, 31, 32–37. [Google Scholar]
- Ye, B.T.; Jiang, J.Y.; Wang, W.H. Influence of Mineral Admixtures on Strength Development of Basalt Fiber Reinforced Cement Mortar. J. Build. Mater. 2014, 17, 5. [Google Scholar]
- Santos, A.R.; Veiga, M.D.R.; Silva, S.A. Evolution of the microstructure of lime based mortars and influence on the mechanical behaviour: The role of the aggregates. Constr. Build. Mater. 2018, 187, 907–922. [Google Scholar] [CrossRef]
- Theoulakis, P.; Moropoulou, A. Microstructural and mechanical parameters determining the susceptibility of porous building stones to salt decay. Constr. Build. Mater. 1997, 11, 65–71. [Google Scholar] [CrossRef]
- Theoulakis, P.; Moropoulou, A. Salt crystal growth as weathering mechanism of porous stone on historic masonry. Porous Mater. 1999, 6, 345–358. [Google Scholar] [CrossRef]
- Zeng, X.H.; Pan, Z. Influence of Capillary Water Absorption on Resistivity of Cement Mortar. J. Build. Mater. 2018, 21, 18–23. [Google Scholar]
- Guo, J.F. The Theoretical Research of the Pore Structure and Strength of Concrete. Master’s Thesis, Zhejiang University, Hangzhou, China, 2004. [Google Scholar]
- Bourbatache, M.K.; Bennai, F.; Zhao, C. Determination of geometrical parameters of the microstructure of a porous medium: Application to cementitious materials. Int. Commun. Heat Mass 2020, 117, 104786. [Google Scholar] [CrossRef]
- Shi, C.J.; Yuan, Q. Analytical Methods for Cementitious Material Testing; China Architecture & Building Press: Beijing, China, 2018. [Google Scholar]
- Yang, K.; Tang, Z.; Cheng, Z.Q. Mechanical properties of ultra-high strength cement-based materials (UHSC) incorporating metal powders and steel fibers. Constr. Build. Mater. 2020, 318, 125926. [Google Scholar] [CrossRef]
- Li, X.; Ruhan, A.; Yan, P.Y. Research on Hydration Degree of Cement-Fly Ash Complex Binders. J. Build. Mater. 2010, 13, 5. [Google Scholar]
- Scrivener, K.L.; Juilland, P.; Monteiro, P.J.M. Advances in understanding hydration of Portland cement. Cem. Concr. Res. 2015, 78, 38–56. [Google Scholar] [CrossRef]
- Kocaba, V. Development and Evaluation of Methods to Follow Microstructural Development of Cementitious Systems Including Slags; Thesis EPFL No 4523; EPFL: Lausanne, Switzerland, 2009; 263p. [Google Scholar]
- Bishnoi, S.; Scrivener, K.L. Studying nucleation and growth kinetics of alite hydration using μic. Cem. Concr. Res. 2009, 39, 849–860. [Google Scholar] [CrossRef]
- Jensen, O.M.; Hansen, P.F. Influence of temperature on autogenous deformation and relative humidity change in hardening cement paste. Cem. Concr. Res. 1999, 29, 567–575. [Google Scholar] [CrossRef]













| SiO2 | Al2O3 | Fe2O3 | CaO | MgO | SO3 | Na2Oeq | TiO2 | f-CaO | D50 | |
|---|---|---|---|---|---|---|---|---|---|---|
| C | 20.58 | 4.97 | 3.76 | 63.57 | 2.29 | 2.00 | 0.53 | - | 0.75 | 17.763 |
| FA | 55.7 | 28.39 | 4.695 | 3.424 | 0.751 | 0.885 | 0.949 | 1.15 | - | 7.911 |
| SL | 30.48 | 15.46 | 0.322 | 37.45 | 8.12 | 2.36 | 0.46 | 1.16 | - | 11.895 |
| SF | 93.7 | 0.329 | 0.0957 | 0.478 | 0.248 | 1.35 | 0.893 | 0.017 | - | 14.860 |
| Group | Cement | FA | SL | SF | |
|---|---|---|---|---|---|
| JZ | 100 | - | - | - | |
| FA | FA-1 | 95 | 5 | - | - |
| FA-2 | 90 | 10 | - | - | |
| FA-3 | 80 | 20 | - | - | |
| FA-4 | 70 | 30 | - | - | |
| SL | SL-1 | 95 | - | 5 | - |
| SL-2 | 90 | - | 10 | - | |
| SL-3 | 80 | - | 20 | - | |
| SL-4 | 70 | - | 30 | - | |
| SF | SF-1 | 95 | - | - | 5 |
| SF-2 | 90 | - | - | 10 | |
| SF-3 | 80 | - | - | 20 | |
| Time | 60 s | 5 min | 10 min | 20 min | 30 min | 60 min | Every Hour up to 6 h | 12 h | 24 h | Once a Day up to 36 Days |
|---|---|---|---|---|---|---|---|---|---|---|
| Tolerance | 2 s | 10 s | 2 min | 2 min | 2 min | 2 min | 5 min | 5 min | 1 h | 2 h |
| Group | Equation | Correlation Coefficient | Capillary Absorption Coefficient |
|---|---|---|---|
| JZ | m = −0.0345 + 0.01984 t1/2 | 0.9976 | 0.01984 |
| FA-1 | m = 0.00953 + 0.01644 t1/2 | 0.993 | 0.01644 |
| FA-2 | m = −0.00631 + 0.01462 t1/2 | 0.999 | 0.01462 |
| FA-3 | m = −0.0122 + 0.01267 t1/2 | 0.9917 | 0.01267 |
| FA-4 | m = 0.01224 + 0.00992 t1/2 | 0.9956 | 0.00992 |
| SL-1 | m = −0.00323 + 0.01568 t1/2 | 0.9957 | 0.01568 |
| SL-2 | m = −0.00718 + 0.01402 t1/2 | 0.9987 | 0.01402 |
| SL-3 | m = 0.03619 + 0.01105 t1/2 | 0.99551 | 0.01105 |
| SL-4 | m = −0.00607 + 0.00983 t1/2 | 0.991 | 0.00983 |
| SF-1 | m = 0.01867 + 0.00938 t1/2 | 0.9941 | 0.00938 |
| SF-2 | m = −0.03766 + 0.00928 t1/2 | 0.9917 | 0.00928 |
| SF-3 | m = 0.01172 + 0.0089 t1/2 | 0.99213 | 0.0089 |
Disclaimer/Publisher’s Note: The statements, opinions and data contained in all publications are solely those of the individual author(s) and contributor(s) and not of MDPI and/or the editor(s). MDPI and/or the editor(s) disclaim responsibility for any injury to people or property resulting from any ideas, methods, instructions or products referred to in the content. |
© 2023 by the authors. Licensee MDPI, Basel, Switzerland. This article is an open access article distributed under the terms and conditions of the Creative Commons Attribution (CC BY) license (https://creativecommons.org/licenses/by/4.0/).
Share and Cite
He, X.; Zeng, X.; Dong, R.; Yang, J. Analysis of the Effect of Capillary Water Absorption on the Resistivity of Cementitious Materials. Appl. Sci. 2023, 13, 3562. https://doi.org/10.3390/app13063562
He X, Zeng X, Dong R, Yang J. Analysis of the Effect of Capillary Water Absorption on the Resistivity of Cementitious Materials. Applied Sciences. 2023; 13(6):3562. https://doi.org/10.3390/app13063562
Chicago/Turabian StyleHe, Xiangyu, Xiaohui Zeng, Rongzhen Dong, and Jiangfan Yang. 2023. "Analysis of the Effect of Capillary Water Absorption on the Resistivity of Cementitious Materials" Applied Sciences 13, no. 6: 3562. https://doi.org/10.3390/app13063562
APA StyleHe, X., Zeng, X., Dong, R., & Yang, J. (2023). Analysis of the Effect of Capillary Water Absorption on the Resistivity of Cementitious Materials. Applied Sciences, 13(6), 3562. https://doi.org/10.3390/app13063562

