Impact of Stabilization Method and Filtration Step on the Ester Profile of “Brandy de Jerez”
Abstract
1. Introduction
2. Materials and Methods
2.1. Brandy Samples
- -
 - Traditional stabilization: room temperature (20 ± 5 °C) for 1 year, followed by filtration with PALL CORPORATION plates (New York, NY, USA) Seitz K-200 series.
 - -
 - Cold stabilization: low temperature (−10 ± 1 °C) stabilization for 7 days and filtration using Seitz PALL CORPORATION plates (New York, NY, USA) Seitz K-200 series at −10 °C.
 
2.2. Chemicals
2.3. HS-SPME-GC-MS
Sample Preparation and Extraction Conditions
2.4. Statistical Analysis
3. Results and Discussion
3.1. Effect of Ageing
3.2. Effect of the Stabilization Process
4. Conclusions
Supplementary Materials
Author Contributions
Funding
Data Availability Statement
Conflicts of Interest
References
- Union European Parliament and of the Council. Regulation (EC) No 2019/787 of 17 April 2019, on the Definition, Description, Presentation and Labelling of Spirit Drinks, the Use of the Names of Spirit Drinks in the Presentation and Labelling of Other Foodstuffs, the Protection of Geographical Indications for Spirit Drinks, the Use of Ethyl Alcohol and Distillates of Agricultural Origin in Alcoholic Beverages, and Repealing Regulation (EC) No 110/2008; Union European Parliament and of the Council: Brussels, Belgium, 2019. [Google Scholar]
 - Boletín Oficial la Junta Andalucía. Consejería de Agricultura Pesca y Desarrollo Rural. Orden de 28 de Junio de 2018, por la que se aprueba el expediente técnico de Indicación Geográfica “Brandy de Jerez”. BOJA Histórico 2018, 127, 19–20. [Google Scholar]
 - Schwarz, M.; Rodríguez, M.; Martínez, C.; Bosquet, V.; Guillén, D.; Barroso, C.G. Antioxidant Activity of Brandy de Jerez and Other Aged Distillates, and Correlation with Their Polyphenolic Content. Food Chem. 2009, 116, 29–33. [Google Scholar] [CrossRef]
 - Miljić, U.D.; Puškaš, V.S.; Vučurović, V.M.; Razmovski, R.N. The Application of Sheet Filters in Treatment of Fruit Brandy after Cold Stabilization. Acta Period. Technol. 2013, 44, 87–94. [Google Scholar] [CrossRef]
 - Puškaš, V.; Miljić, U.; Vasić, V.; Jokić, A.; Manović, M. Influence of Cold Stabilisation and Chill Membrane Filtration on Volatile Compounds of Apricot Brandy. Food Bioprod. Process. 2013, 91, 348–351. [Google Scholar] [CrossRef]
 - Piggott, J.R.; Gonzalez Vinas, M.A.; Conner, J.M.; Withers, S.J.; Paterson, A. Effect of Chill Filtration on Whisky Composition and Headspace. Spec. Publ. R. Soc. Chem. 1996, 197, 319–324. [Google Scholar]
 - Balcerek, M.; Pielech-Przybylska, K.; Dziekońska-Kubczak, U.; Patelski, P.; Różański, M. Effect of Filtration on Elimination of Turbidity and Changes in Volatile Compounds Concentrations in Plum Distillates. J. Food Sci. Technol. 2019, 56, 2049–2062. [Google Scholar] [CrossRef]
 - Bordiga, M. Post-Fermentation and -Distillation Technology: Stabilization, Aging, and Spoilage; CRC Press: Boca Raton, FL, USA, 2017. [Google Scholar]
 - Mukhin, V.M.; Shubina, N.A.; Abramova, I.M.; Zubova, I.D.; Lupascu, T.G. New Carbonic Adsorbents for Industrial Sorting Purification in Vodka Production. Environ. Eng. Manag. J. EEMJ 2009, 8, 1017–1019. [Google Scholar] [CrossRef]
 - Nikolov, H.; Marinov, M.; Penov, N. Study on the Stabilization of Wine Brandy Concentrates and Wine Brandy by Cold Treatment II. Stabilization of Wine Brandy. Food Procces. Ind. Mag. 2006, 55, 25–29. [Google Scholar]
 - Ribéreau-Gayon, P.; Glories, Y.; Maujean, A. Handbook of Enology: The Chemistry of Wine Stabilization and Treatments; Wiley: Hoboken, NJ, USA, 2000. [Google Scholar]
 - Różański, M.; Pielech-Przybylska, K.; Balcerek, M. Influence of Alcohol Content and Storage Conditions on the Physicochemical Stability of Spirit Drinks. Foods 2020, 9, 1264. [Google Scholar] [CrossRef]
 - Duran Guerrero, E.; Cejudo Bastante, M.J.; Castro Mejias, R.; Natera Marin, R.; Garcia Barroso, C. Characterization and Differentiation of Sherry Brandies Using Their Aromatic Profile. J. Agric. Food Chem. 2011, 59, 2410–2415. [Google Scholar] [CrossRef]
 - Tsakiris, A.; Kallithraka, S.; Kourkoutas, Y. Grape Brandy Production, Composition and Sensory Evaluation. J. Sci. Food Agric. 2014, 94, 404–414. [Google Scholar] [CrossRef]
 - Nascimento, E.S.; Cardoso, D.R.; Franco, D.W. Quantitative Ester Analysis in Cachaça and Distilled Spirits by Gas Chromatography- Mass Spectrometry (GC-MS). J. Agric. Food Chem. 2008, 56, 5488–5493. [Google Scholar] [CrossRef]
 - The Consejo Regulador. Available online: https://www.brandydejerez.es/en/our-philosophy/consejo-regulador (accessed on 25 May 2021).
 - Muñoz-Redondo, J.M.; Valcárcel-Muñoz, M.J.; Rodríguez Solana, R.; Puertas, B.; Cantos-Villar, E.; Moreno-Rojas, J.M. Development of a Methodology Based on Headspace Solid-Phase Microextraction Coupled to Gas Chromatography-Mass Spectrometry for the Analysis of Esters in Brandies. J. Food Compos. Anal. 2022, 108, 104458. [Google Scholar] [CrossRef]
 - Dziekońska-Kubczak, U.; Pielech-Przybylska, K.; Patelski, P.; Balcerek, M. Development of the Method for Determination of Volatile Sulfur Compounds (Vscs) in Fruit Brandy with the Use of HS–SPME/GC–MS. Molecules 2020, 25, 1232. [Google Scholar] [CrossRef]
 - Davis, P.M.; Qian, M.C. Effect of Ethanol on the Adsorption of Volatile Sulfur Compounds on Solid Phase Micro-Extraction Fiber Coatings and the Implication for Analysis in Wine. Molecules 2019, 24, 3392. [Google Scholar] [CrossRef]
 - Jolliffe, I.T.; Cadima, J. Principal Component Analysis: A Review and Recent Developments. Philos. Trans. R. Soc. Math. Phys. Eng. Sci. 2016, 374, 20150202. [Google Scholar] [CrossRef]
 - Westerhuis, J.A.; van Velzen, E.J.; Hoefsloot, H.C.; Smilde, A.K. Multivariate Paired Data Analysis: Multilevel PLSDA versus OPLSDA. Metabolomics 2010, 6, 119–128. [Google Scholar] [CrossRef]
 - Szymańska, E.; Saccenti, E.; Smilde, A.K.; Westerhuis, J.A. Double-Check: Validation of Diagnostic Statistics for PLS-DA Models in Metabolomics Studies. Metabolomics 2012, 8, 3–16. [Google Scholar] [CrossRef]
 - Muñoz-Redondo, J.M.; Ruiz-Moreno, M.J.; Puertas, B.; Cantos-Villar, E.; Moreno-Rojas, J.M. Multivariate Optimization of Headspace Solid-Phase Microextraction Coupled to Gas Chromatography-Mass Spectrometry for the Analysis of Terpenoids in Sparkling Wines. Talanta 2020, 208, 120483. [Google Scholar] [CrossRef]
 - Rohart, F.; Gautier, B.; Singh, A.; Lê Cao, K.-A. MixOmics: An R Package for ‘omics Feature Selection and Multiple Data Integration. PLoS Comput. Biol. 2017, 13, e1005752. [Google Scholar] [CrossRef]
 - Campo, E.; Cacho, J.; Ferreira, V. Solid Phase Extraction, Multidimensional Gas Chromatography Mass Spectrometry Determination of Four Novel Aroma Powerful Ethyl Esters: Assessment of Their Occurrence and Importance in Wine and Other Alcoholic Beverages. J. Chromatogr. A 2007, 1140, 180–188. [Google Scholar] [CrossRef] [PubMed]
 - Durán-Guerrero, E.; Castro, R.; de Valme García-Moreno, M.; del Carmen Rodríguez-Dodero, M.; Schwarz, M.; Guillén-Sánchez, D. Aroma of Sherry Products: A Review. Foods 2021, 10, 753. [Google Scholar] [CrossRef] [PubMed]
 - Nikićević, N.; Velickovic, M.; Jadranin, M.; Vučković, I.; Novaković, M.; Vujisić, L.V.; Stanković, M.; Urosevic, I.; Tešević, V. The Effects of the Cherry Variety on the Chemical and Sensorial Characteristics of Cherry Brandy. J. Serbian Chem. Soc. 2011, 76, 1219–1228. [Google Scholar] [CrossRef]
 - Zhao, Y.; Xu, Y.; Li, J.; Fan, W.; Jiang, W. Profile of Volatile Compounds in 11 Brandies by Headspace Solid-Phase Microextraction Followed by Gas Chromatography-Mass Spectrometry. J. Food Sci. 2009, 74, C90–C99. [Google Scholar] [CrossRef]
 - Genovese, A.; Ugliano, M.; Pessina, R.; Gambuti, A.; Piombino, P.; Moio, L. Comparison of the Aroma Compounds in Apricot (Prunus Armeniaca, l. Cv. Pellecchiella) and Apple (Malus Pumila, l. Cv. Annurca) Raw Distillates. Ital. J. Food Sci. 2004, 16, 185–196. [Google Scholar]
 - Ledauphin, J.; Guichard, H.; Saint-Clair, J.-F.; Picoche, B.; Barillier, D. Chemical and Sensorial Aroma Characterization of Freshly Distilled Calvados. 2. Identification of Volatile Compounds and Key Odorants. J. Agric. Food Chem. 2003, 51, 433–442. [Google Scholar] [CrossRef]
 - Rodríguez Dodero, M.C.; Guillén Sánchez, D.A.; Rodríguez, M.S.; Barroso, C.G. Phenolic Compounds and Furanic Derivatives in the Characterization and Quality Control of Brandy de Jerez. J. Agric. Food Chem. 2010, 58, 990–997. [Google Scholar] [CrossRef]
 - Christoph, N.; Bauer-Christoph, C. Flavour of Spirit Drinks: Raw Materials, Fermentation, Distillation, and Ageing. In Flavours and Fragrances; Springer: Berlin/Heidelberg, Germany, 2007; pp. 219–239. [Google Scholar]
 - Carrillo, J.C.M. Feasibility Testing of Chill Filtration of Brown Spirits to Increase Product Stability; University of Louisville: Louisville, KY, USA, 2015. [Google Scholar]
 





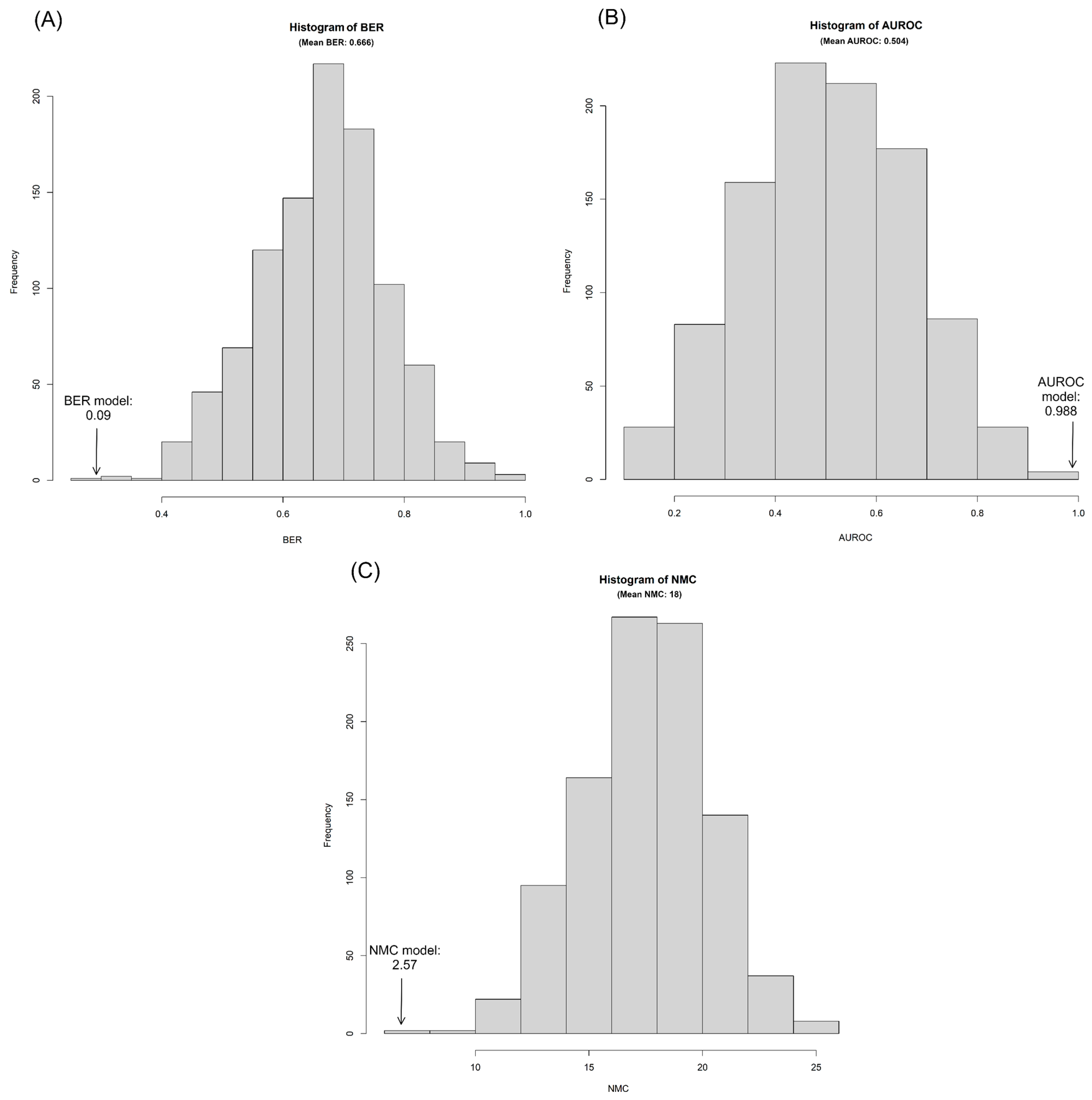
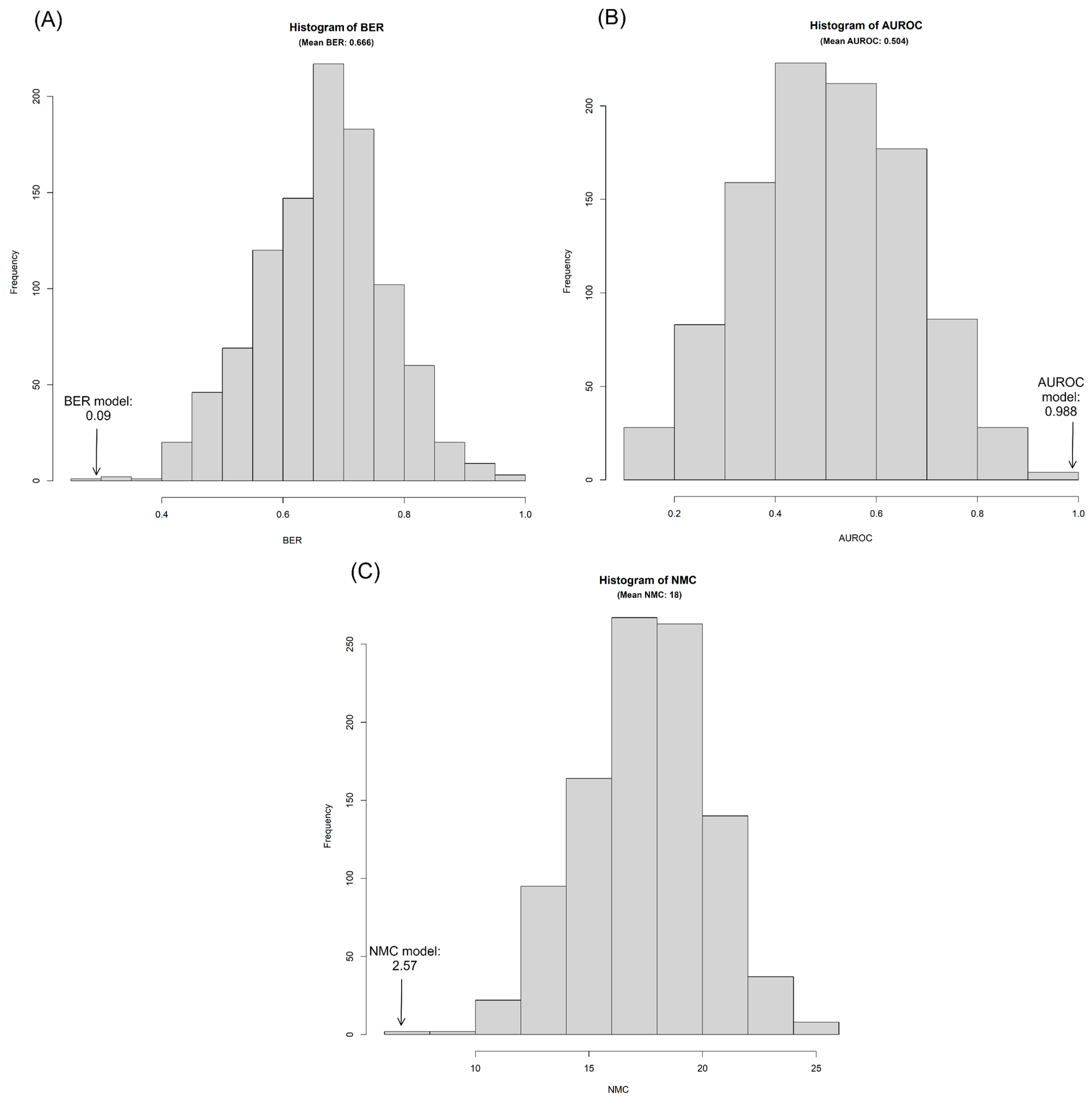
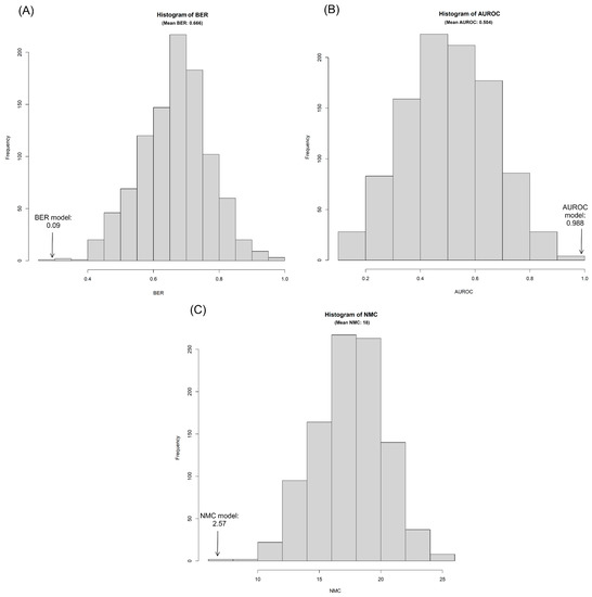
| Mean BER | Class | Mean Class Error | Predicted as NonStab | Predicted as ColdT | Predicted as RoomT | p-Value (Model) | 
|---|---|---|---|---|---|---|
| 0.09 ± 0.05 | NonStab | 0.15 ± 0.11 | 765 | 135 | 0 | BER, AUROC, NMC: 0.001 | 
| ColdT | 0.14 ± 0.10 | 122 | 778 | 0 | ||
| RoomT | 0.00 ± 0.00 | 0 | 0 | 900 | 
Disclaimer/Publisher’s Note: The statements, opinions and data contained in all publications are solely those of the individual author(s) and contributor(s) and not of MDPI and/or the editor(s). MDPI and/or the editor(s) disclaim responsibility for any injury to people or property resulting from any ideas, methods, instructions or products referred to in the content.  | 
© 2023 by the authors. Licensee MDPI, Basel, Switzerland. This article is an open access article distributed under the terms and conditions of the Creative Commons Attribution (CC BY) license (https://creativecommons.org/licenses/by/4.0/).
Share and Cite
Muñoz-Redondo, J.M.; Puertas, B.; Valcárcel-Muñoz, M.J.; Rodríguez-Solana, R.; Moreno-Rojas, J.M. Impact of Stabilization Method and Filtration Step on the Ester Profile of “Brandy de Jerez”. Appl. Sci. 2023, 13, 3428. https://doi.org/10.3390/app13063428
Muñoz-Redondo JM, Puertas B, Valcárcel-Muñoz MJ, Rodríguez-Solana R, Moreno-Rojas JM. Impact of Stabilization Method and Filtration Step on the Ester Profile of “Brandy de Jerez”. Applied Sciences. 2023; 13(6):3428. https://doi.org/10.3390/app13063428
Chicago/Turabian StyleMuñoz-Redondo, José Manuel, Belén Puertas, Manuel José Valcárcel-Muñoz, Raquel Rodríguez-Solana, and José Manuel Moreno-Rojas. 2023. "Impact of Stabilization Method and Filtration Step on the Ester Profile of “Brandy de Jerez”" Applied Sciences 13, no. 6: 3428. https://doi.org/10.3390/app13063428
APA StyleMuñoz-Redondo, J. M., Puertas, B., Valcárcel-Muñoz, M. J., Rodríguez-Solana, R., & Moreno-Rojas, J. M. (2023). Impact of Stabilization Method and Filtration Step on the Ester Profile of “Brandy de Jerez”. Applied Sciences, 13(6), 3428. https://doi.org/10.3390/app13063428
        
