Age Prediction in Healthy Subjects Using RR Intervals and Heart Rate Variability: A Pilot Study Based on Deep Learning
Abstract
1. Introduction
2. Related Works
3. Materials and Methods
3.1. Dataset
3.2. Data Preprocessing
3.3. Feature Extraction
3.4. Class Imbalance Handling
3.5. Loss Function
3.6. Modified 1D-ResNet34
3.7. Modeling and Statistical Analysis
3.8. Evaluation Metric
4. Results
4.1. Effect of Age on HRV Features
4.2. Classifier Assessment
4.3. Confusion Matrices
4.4. Comparison between RRI and HRV Models
4.5. Comparison between Combined, HRV, and RRI Models
4.6. Inter-Sample Reliability in Age Prediction
5. Discussion
5.1. Performance of RRI-Based Deep Learning Model
5.2. Comparison with Similar Previous Studies
5.3. Comparison between the Models
5.4. Limitations
6. Conclusions
Author Contributions
Funding
Institutional Review Board Statement
Informed Consent Statement
Data Availability Statement
Acknowledgments
Conflicts of Interest
Abbreviations
References
- Partridge, L.; Deelen, J.; Slagboom, P.E. Facing up to the global challenges of ageing. Nature 2018, 561, 45–56. [Google Scholar] [CrossRef] [PubMed]
- McIntyre, R.L.; Rahman, M.; Vanapalli, S.A.; Houtkooper, R.H.; Janssens, G.E. Biological Age Prediction From Wearable Device Movement Data Identifies Nutritional and Pharmacological Interventions for Healthy Aging. Front. Aging 2021, 2, 26. [Google Scholar] [CrossRef] [PubMed]
- Rodgers, J.L.; Jones, J.; Bolleddu, S.I.; Vanthenapalli, S.; Rodgers, L.E.; Shah, K.; Karia, K.; Panguluri, S.K. Cardiovascular risks associated with gender and aging. J. Cardiovasc. Dev. Dis. 2019, 6, 19. [Google Scholar] [CrossRef] [PubMed]
- Hamczyk, M.R.; Nevado, R.M.; Barettino, A.; Fuster, V.; Andrés, V. Biological Versus Chronological Aging: JACC Focus Seminar. J. Am. Coll. Cardiol. 2020, 75, 919–930. [Google Scholar] [CrossRef] [PubMed]
- Hannum, G.; Guinney, J.; Zhao, L.; Zhang, L.; Hughes, G.; Sadda, S.V.; Klotzle, B.; Bibikova, M.; Fan, J.B.; Gao, Y.; et al. Genome-wide Methylation Profiles Reveal Quantitative Views of Human Aging Rates. Mol. Cell 2013, 49, 359–367. [Google Scholar] [CrossRef]
- Blackburn, E.H.; Epel, E.S.; Lin, J. Human telomere biology: A contributory and interactive factor in aging, disease risks, and protection. Science 2015, 350, 1193–1198. [Google Scholar] [CrossRef]
- Marioni, R.E.; Shah, S.; McRae, A.F.; Chen, B.H.; Colicino, E.; Harris, S.E.; Gibson, J.; Henders, A.K.; Redmond, P.; Cox, S.R.; et al. DNA methylation age of blood predicts all-cause mortality in later life. Genome Biol. 2015, 16, 25. [Google Scholar] [CrossRef]
- Benavente, E.D.; Jimenez-Lopez, F.; Attia, Z.I.; Malyutina, S.; Kudryavtsev, A.; Ryabikov, A.; Friedman, P.A.; Kapa, S.; Voevoda, M.; Perel, P.; et al. Studying accelerated cardiovascular ageing in Russian adults through a novel deep-learning ECG biomarker. Wellcome Open Res. 2021, 6, 12. [Google Scholar] [CrossRef]
- Attia, Z.I.; Friedman, P.A.; Noseworthy, P.A.; Lopez-Jimenez, F.; Ladewig, D.J.; Satam, G.; Pellikka, P.A.; Munger, T.M.; Asirvatham, S.J.; Scott, C.G.; et al. Age and Sex Estimation Using Artificial Intelligence from Standard 12-Lead ECGs. Circ. Arrhythmia Electrophysiol. 2019, 12, e007284. [Google Scholar] [CrossRef]
- Task Force of The European Society of Cardiology and The North American Society of Pacing and Electrophysiology; Malik, M.; Bigger, T.; Camm, A.J.; Kleiger, R.E.; Malliani, A.; Moss, A.J.; Schwartz, P.J. Heart rate variability, Standards of measurement, physiological interpretation, and clinical use. Eur. Heart J. 1996, 17, 354–381. [Google Scholar] [CrossRef]
- Garavaglia, L.; Gulich, D.; Defeo, M.M.; Mailland, J.T.; Irurzun, I.M. The effect of age on the heart rate variability of healthy subjects. PLoS ONE 2021, 16, e0255894. [Google Scholar] [CrossRef]
- Makowiec, D.; Wejer, D.; Kaczkowska, A.; Zarczyńska-Buchowiecka, M.; Struzik, Z.R. Chronographic imprint of age-induced alterations in heart rate dynamical organization. Front. Physiol. 2015, 6, 201. [Google Scholar] [CrossRef]
- Pikkujämsä, S.M.; Mäkikallio, T.H.; Sourander, L.B.; Räihä, I.J.; Puukka, P.; Skyttä, J.; Peng, C.-K.; Goldberger, A.L.; Huikuri, H.V. Cardiac Interbeat Interval Dynamics From Childhood to Senescence. Circulation 1999, 100, 393–399. [Google Scholar] [CrossRef]
- Schumann, A.; Bär, K.J. Autonomic aging—A dataset to quantify changes of cardiovascular autonomic function during healthy aging. Sci. Data 2022, 9, 95. [Google Scholar] [CrossRef]
- Malik, M.; Hnatkova, K.; Huikuri, H.V.; Lombardi, F.; Schmidt, G.; Zabel, M. CrossTalk proposal: Heart rate variability is a valid measure of cardiac autonomic responsiveness. J. Physiol. 2019, 597, 2595–2598. [Google Scholar] [CrossRef]
- Ishaque, S.; Khan, N.; Krishnan, S. Trends in Heart-Rate Variability Signal Analysis. Front. Digit. Health 2021, 3, 639444. [Google Scholar] [CrossRef]
- Byun, S.; Kim, A.Y.; Jang, E.H.; Kim, S.; Choi, K.W.; Yu, H.Y.; Jeon, H.J. Detection of major depressive disorder from linear and nonlinear heart rate variability features during mental task protocol. Comput. Biol. Med. 2019, 112, 103381. [Google Scholar] [CrossRef]
- Voss, A.; Schroeder, R.; Heitmann, A.; Peters, A.; Perz, S. Short-term heart rate variability-influence of gender and age in healthy subjects. PLoS ONE 2015, 10, e0118308. [Google Scholar] [CrossRef]
- Choi, J.; Cha, W.; Park, M.G. Declining Trends of Heart Rate Variability According to Aging in Healthy Asian Adults. Front. Aging Neurosci. 2020, 12, 610626. [Google Scholar] [CrossRef]
- Beckers, F.; Verheyden, B.; Aubert, A.E. Aging and nonlinear heart rate control in a healthy population. Am. J. Physiol.-Heart Circ. Physiol. 2006, 290, H2560–H2570. [Google Scholar] [CrossRef]
- Colosimo, A. Estimating a cardiac age by means of heart rate variability. Am. J. Physiol.-Heart Circ. Physiol. 1997, 273, H1841–H1847. [Google Scholar] [CrossRef] [PubMed]
- Corino, V.D.A.; Matteucci, M.; Cravello, L.; Ferrari, E.; Ferrari, A.A.; Mainardi, L.T. Long-term heart rate variability as a predictor of patient age. Comput. Methods Programs Biomed. 2006, 82, 248–257. [Google Scholar] [CrossRef] [PubMed]
- Poddar, M.G.; Kumar, V.; Sharma, Y.P. Heart rate variability: Analysis and classification of healthy subjects for different age groups. In Proceedings of the 2015 2nd International Conference on Computing for Sustainable Global Development (INDIACom), New Delhi, India, 11–13 March 2015; pp. 1908–1913. [Google Scholar]
- Botsva, N.; Naishtetik, I.; Khimion, L.; Chernetchenko, D. Predictors of aging based on the analysis of heart rate variability. PACE-Pacing Clin. Electrophysiol. 2017, 40, 1269–1278. [Google Scholar] [CrossRef] [PubMed]
- Makowiec, D.; Wdowczyk, J. Patterns of heart rate dynamics in healthy aging population: Insights from machine learning methods. Entropy 2019, 21, 1206. [Google Scholar] [CrossRef]
- Al-Mter, Y. Automatic Prediction of Human Age Based on Heart Rate Vari-Ability Analysis Using Feature-Based Methods; Linköping University: Linköping, Sweden, 2020. [Google Scholar]
- Lecun, Y.; Bengio, Y.; Hinton, G. Deep learning. Nature 2015, 521, 436–444. [Google Scholar] [CrossRef]
- Ribeiro, A.H.; Ribeiro, M.H.; Paixão, G.M.M.; Oliveira, D.M.; Gomes, P.R.; Canazart, J.A.; Ferreira, M.P.S.; Andersson, C.R.; Macfarlane, P.W.; Wagner, M.; et al. Automatic diagnosis of the 12-lead ECG using a deep neural network. Nat. Commun. 2020, 11, 1760. [Google Scholar] [CrossRef]
- Faust, O.; Shenfield, A.; Kareem, M.; San, T.R.; Fujita, H.; Acharya, U.R. Automated detection of atrial fibrillation using long short-term memory network with RR interval signals. Comput. Biol. Med. 2018, 102, 327–335. [Google Scholar] [CrossRef]
- Andersen, R.S.; Peimankar, A.; Puthusserypady, S. A deep learning approach for real-time detection of atrial fibrillation. Expert Syst. Appl. 2019, 115, 465–473. [Google Scholar] [CrossRef]
- Ivanovic, M.D.; Atanasoski, V.; Shvilkin, A.; Hadzievski, L.; Maluckov, A. Deep Learning Approach for Highly Specific Atrial Fibrillation and Flutter Detection based on RR Intervals. In Proceedings of the 2019 41st Annual International Conference of the IEEE Engineering in Medicine and Biology Society (EMBC), Berlin, Germany, 23–27 July 2019; pp. 1780–1783. [Google Scholar] [CrossRef]
- Lai, D.; Bu, Y.; Su, Y.; Zhang, X.; Ma, C.S. Non-Standardized Patch-Based ECG Lead Together with Deep Learning Based Algorithm for Automatic Screening of Atrial Fibrillation. IEEE J. Biomed. Health Inform. 2020, 24, 1569–1578. [Google Scholar] [CrossRef]
- Taye, G.T.; Hwang, H.J.; Lim, K.M. Application of a convolutional neural network for predicting the occurrence of ventricular tachyarrhythmia using heart rate variability features. Sci. Rep. 2020, 10, 6769. [Google Scholar] [CrossRef]
- Faust, O.; Acharya, U.R. Automated classification of five arrhythmias and normal sinus rhythm based on RR interval signals. Expert Syst. Appl. 2021, 181, 115031. [Google Scholar] [CrossRef]
- Wang, L.; Lin, Y.; Wang, J. A RR interval based automated apnea detection approach using residual network. Comput. Methods Programs Biomed. 2019, 176, 93–104. [Google Scholar] [CrossRef]
- Wang, T.; Lu, C.; Shen, G.; Hong, F. Sleep apnea detection from a single-lead ECG signal with automatic feature-extraction through a modified LeNet-5 convolutional neural network. PeerJ 2019, 7, e7731. [Google Scholar] [CrossRef]
- Shen, Q.; Qin, H.; Wei, K.; Liu, G. Multiscale Deep Neural Network for Obstructive Sleep Apnea Detection Using RR Interval from Single-Lead ECG Signal. IEEE Trans. Instrum. Meas. 2021, 70, 1–13. [Google Scholar] [CrossRef]
- Pfundstein, M. Human Age Prediction Based on Real and Simulated RR Intervals Using Temporal Convolutional Neural Networks and Gaussian Processes; Linköping University: Linköping, Sweden, 2020. [Google Scholar]
- Angulu, R.; Tapamo, J.R.; Adewumi, A.O. Age estimation via face images: A survey. EURASIP J. Image Video Process. 2018, 2018, 42. [Google Scholar] [CrossRef]
- Munoz, M.L.; Van Roon, A.; Riese, H.; Thio, C.; Oostenbroek, E.; Westrik, I.; De Geus, E.J.C.; Gansevoort, R.; Lefrandt, J.; Nolte, I.M.; et al. Validity of (Ultra-)Short recordings for heart rate variability measurements. PLoS ONE 2015, 10, e0138921. [Google Scholar] [CrossRef]
- Hennig, T.; Maass, P.; Hayano, J.; Heinrichs, S. Exponential distribution of long heart beat intervals during atrial fibrillation and their relevance for white noise behaviour in power spectrum. J. Biol. Phys. 2006, 32, 383–392. [Google Scholar] [CrossRef]
- Khandoker, A.H.; Palaniswami, M.; Karmakar, C.K. Support vector machines for automated recognition of obstructive sleep apnea syndrome from ECG recordings. IEEE Trans. Inf. Technol. Biomed. 2009, 13, 37–48. [Google Scholar] [CrossRef]
- Goldberger, A.L.; Amaral, L.A.; Glass, L.; Hausdorff, J.M.; Ivanov, P.C.; Mark, R.G.; Mietus, J.E.; Moody, G.B.; Peng, C.K.; Stanley, H.E. PhysioBank, PhysioToolkit, and PhysioNet: Components of a new research resource for complex physiologic signals. Circulation 2000, 101, E215–E220. [Google Scholar] [CrossRef]
- Makowski, D.; Pham, T.; Lau, Z.J.; Brammer, J.C.; Lespinasse, F.; Pham, H.; Schölzel, C.; Chen, S.H.A. NeuroKit2: A Python toolbox for neurophysiological signal processing. Behav. Res. Methods 2021, 53, 1689–1696. [Google Scholar] [CrossRef]
- Neurophysiological Data Analysis with NeuroKit2. Available online: https://neuropsychology.github.io/NeuroKit/functions/ecg.html#ecg-peaks (accessed on 30 October 2022).
- Satija, U.; Ramkumar, B.; Sabarimalai Manikandan, M. A Review of Signal Processing Techniques for Electrocardiogram Signal Quality Assessment. IEEE Rev. Biomed. Eng. 2018, 11, 36–52. [Google Scholar] [CrossRef] [PubMed]
- Shaffer, F.; Ginsberg, J.P. An Overview of Heart Rate Variability Metrics and Norms. Front. Public Health 2017, 5, 258. [Google Scholar] [CrossRef] [PubMed]
- Pincus, S.M. Approximate entropy as a measure of system complexity. Proc. Natl. Acad. Sci. USA 1991, 88, 2297–2301. [Google Scholar] [CrossRef] [PubMed]
- Richman, J.S.; Moorman, J.R. Physiological time-series analysis using approximate entropy and sample entropy. Am. J. Physiol. Heart Circ. Physiol. 2000, 278, H2039–H2049. [Google Scholar] [CrossRef]
- Peng, C.K.; Havlin, S.; Stanley, H.E.; Goldberger, A.L. Quantification of scaling exponents and crossover phenomena in nonstationary heartbeat time series. Chaos 1995, 5, 82–87. [Google Scholar] [CrossRef]
- Grassberger, P.; Procaccia, I. Characterization of Strange Attractors. Phys. Rev. Lett. 1983, 50, 346–349. [Google Scholar] [CrossRef]
- Buda, M.; Maki, A.; Mazurowski, M.A. A systematic study of the class imbalance problem in convolutional neural networks. Neural Netw. 2018, 106, 249–259. [Google Scholar] [CrossRef]
- Johnson, J.M.; Khoshgoftaar, T.M. Survey on deep learning with class imbalance. J. Big Data 2019, 6, 27. [Google Scholar] [CrossRef]
- He, H.; Bai, Y.; Garcia, E.A.; Li, S. ADASYN: Adaptive synthetic sampling approach for imbalanced learning. In Proceedings of the 2008 IEEE International Joint Conference on Neural Networks (IEEE World Congress on Computational Intelligence), Hong Kong, China, 1–8 June 2008; pp. 1322–1328. [Google Scholar]
- Virgeniya, S.C.; Ramaraj, E. A Novel Deep Learning based Gated Recurrent Unit with Extreme Learning Machine for Electrocardiogram (ECG) Signal Recognition. Biomed. Signal Process. Control 2021, 68, 102779. [Google Scholar] [CrossRef]
- Qin, H.; Liu, G. A dual-model deep learning method for sleep apnea detection based on representation learning and temporal dependence. Neurocomputing 2022, 473, 24–36. [Google Scholar] [CrossRef]
- Barz, B.; Denzler, J. Deep learning on small datasets without pre-training using cosine loss. In Proceedings of the IEEE/CVF Winter Conference on Applications of Computer Vision (WACV), Snowmass Village, CO, USA, 1–5 March 2020; pp. 1360–1369. [Google Scholar] [CrossRef]
- He, K.; Zhang, X.; Ren, S.; Sun, J. Deep residual learning for image recognition. In Proceedings of the IEEE Computer Society Conference on Computer Vision and Pattern Recognition (CVPR), Las Vegas, NV, USA, 27–30 June 2016; pp. 770–778. [Google Scholar] [CrossRef]
- Ismail Fawaz, H.; Forestier, G.; Weber, J.; Idoumghar, L.; Muller, P.A. Deep learning for time series classification: A review. Data Min. Knowl. Discov. 2019, 33, 917–963. [Google Scholar] [CrossRef]
- Kumar, P.; Bhatnagar, R.; Gaur, K.; Bhatnagar, A. Classification of Imbalanced Data:Review of Methods and Applications. IOP Conf. Ser. Mater. Sci. Eng. 2021, 1099, 012077. [Google Scholar] [CrossRef]
- Yadav, S.; Bhole, G.P. Handling Imbalanced Dataset Classification in Machine Learning. In Proceedings of the 2020 IEEE Pune Section International Conference (PuneCon), Pune, India, 16–18 December 2020; pp. 38–43. [Google Scholar] [CrossRef]
- Gösgens, M.; Zhiyanov, A.; Tikhonov, A.; Prokhorenkova, L. Good Classification Measures and How to Find Them. Adv. Neural Inf. Process. Syst. 2021, 21, 17136–17147. [Google Scholar]
- Rosati, R.; Romeo, L.; Vargas, V.M.; Gutiérrez, P.A.; Hervás-Martínez, C.; Frontoni, E. A novel deep ordinal classification approach for aesthetic quality control classification. Neural Comput. Appl. 2022, 34, 11625–11639. [Google Scholar] [CrossRef]
- Abraham, B.; Nair, M.S. Automated grading of prostate cancer using convolutional neural network and ordinal class classifier. Informatics Med. Unlocked 2019, 17, 100256. [Google Scholar] [CrossRef]
- Cruz-Ramírez, M.; Hervás-Martínez, C.; Sánchez-Monedero, J.; Gutiérrez, P.A. Metrics to guide a multi-objective evolutionary algorithm for ordinal classification. Neurocomputing 2014, 135, 21–31. [Google Scholar] [CrossRef]
- De la Torre, J.; Puig, D.; Valls, A. Weighted kappa loss function for multi-class classification of ordinal data in deep learning. Pattern Recognit. Lett. 2018, 105, 144–154. [Google Scholar] [CrossRef]
- Mitani, A.A.; Freer, P.E.; Nelson, K.P. Summary measures of agreement and association between many raters’ ordinal classifications. Ann. Epidemiol. 2017, 27, 677–685.e4. [Google Scholar] [CrossRef]
- Sim, J.; Wright, C.C. The kappa statistic in reliability studies: Use, interpretation, and sample size requirements. Phys. Ther. 2005, 85, 257–268. [Google Scholar] [CrossRef]
- Fatourechi, M.; Ward, R.K.; Mason, S.G.; Huggins, J.; Schlögl, A.; Birch, G.E. Comparison of evaluation metrics in classification applications with imbalanced datasets. In Proceedings of the 2008 Seventh International Conference on Machine Learning and Applications, San Diego, CA, USA, 11–13 December 2008; pp. 777–782. [Google Scholar] [CrossRef]
- Fleiss, J.L.; Cohen, J.; Everitt, B.S. Large sample standard errors of kappa and weighted kappa. Psychol. Bull. 1969, 72, 323–327. [Google Scholar] [CrossRef]
- Landis, J.R.; Koch, G.G. The Measurement of Observer Agreement for Categorical Data Published by: International Biometric Society Stable. Biometrics 1977, 33, 159–174. [Google Scholar] [CrossRef] [PubMed]
- Van Hulse, J.; Khoshgoftaar, T.M.; Napolitano, A. Experimental perspectives on learning from imbalanced data. ACM Int. Conf. Proc. Ser. 2007, 227, 935–942. [Google Scholar] [CrossRef]








| Age Group | Number of Subjects | Number of 5 min RRIs |
|---|---|---|
| Group 1 (18–29) | 696 (64%) | 2280 (63%) |
| Group 2 (30–39) | 147 (13%) | 503 (14%) |
| Group 3 (40–49) | 100 (9%) | 365 (10%) |
| Group 4 (≥50) | 150 (14%) | 458 (13%) |
| Total | 1093 (100%) | 3606 (100%) |
| Feature | Description |
|---|---|
| Time-domain | |
| RRI (ms) | Mean RR intervals |
| SDNN (ms) | Standard deviation of RR intervals |
| RMSSD (ms) | Root mean square of successive RR interval differences |
| pNN50 (%) | Percentage of successive RR intervals differing more than 50 ms |
| TRI | Integral of the histogram of the RR interval divided by its height |
| TINN (ms) | Baseline width of the RR interval histogram |
| Frequency-domain | |
| logVLF (s2) | Logarithm-transformed power in the VLF band (0–0.04 Hz) |
| logLF (s2) | Logarithm-transformed power in the LF band (0.04–0.15 Hz) |
| LFnu (nu) | Relative power of the LF band |
| logHF (s2) | Logarithm-transformed power in the HF band (0.15–0.4 Hz) |
| HFnu (nu) | Relative power of the HF band |
| LF/HF | Ratio between LF and HF band powers |
| logTot (s2) | Logarithm-transformed total power |
| Nonlinear domain and Poincaré plot | |
| ApEn | Approximate entropy |
| SampEn | Sample entropy |
| α1 | Short-term scaling exponent of DFA |
| α2 | Long-term scaling exponent of DFA |
| CorDim | Correlation dimension |
| SD1 (ms) | Standard deviation of the Poincaré plot perpendicular to the line of identity |
| SD2 (ms) | Standard deviation of the Poincaré plot along the line of identity |
| Block | Output Shape | Number of Layers | 1D-ResNet34 |
|---|---|---|---|
| Conv | (64, 1200) | 1 | 1 × 15, 64, stride 1 |
| (64, 598) | 1 | 1 × 5 max pool, stride 2 | |
| Residual 1 | (64, 598) | 4 | , stride 1 |
| Residual 2 | (128, 299) | 1 | , stride 2 |
| 3 | , stride 1 | ||
| Residual 3 | (192, 150) | 1 | , stride 2 |
| 5 | , stride 1 | ||
| Residual 4 | (256, 75) | 1 | , stride 2 |
| 2 | , stride 1 | ||
| Linear | (1000) | 1 | Average pool |
| (4) | 3 | 1000-d fc, SoftMax |
| Metric | Formula |
|---|---|
| Balanced accuracy (BAC) | where Recalli = TPi/(TPi + FNi) and n is the number of classes. TPi and FNi denote true positive and false negative of the ith class, respectively. |
| Quadratic weighted kappa (QWK) | where pow is the weighted proportion of observed agreement, pcw is the weighted proportion of chance agreement, njk is the proportion of samples categorized in the jth and kth class, nj is the proportion of samples categorized in the jth row, and n∙k is the proportion of samples categorized in the kth column, where j and k are the class levels [65,67,70]. Quadratic weights are defined as wjk = 1(jk)2(N1)2, where N is the number of classes [65,67,70]. |
| Accuracy | |
| Precision | where Precisioni = TPi/(TPi + FPi) and n is the number of classes. TPi and FPi denote true positive and false positive of the ith class, respectively. |
| F1-score |
| Feature | Group 1 (18–29, N = 696) | Group 2 (30–39, N = 147) | Group 3 (40–49, N = 100) | Group 4 (≥50, N = 150) | p-Value |
|---|---|---|---|---|---|
| RRI | 893.98 ± 129.38 | 909.82 ± 171.27 | 865.30 ± 128.90 | 914.53 ± 137.73 | 0.024 * |
| SDNN | 65.30 ± 34.65 | 68.56 ± 92.77 | 55.35 ± 55.12 | 55.17 ± 86.66 | 0.068 |
| RMSSD | 60.91 ± 46.33 | 65.86 ± 128.61 | 48.97 ± 78.41 | 54.48 ± 122.14 | 0.311 |
| pNN50 | 30.16 ± 21.87 | 23.65 ± 22.94 | 14.49 ± 19.23 | 11.29 ± 20.85 | <0.001 * |
| TRI | 13.64 ± 4.60 | 12.46 ± 4.98 | 10.39 ± 4.63 | 9.24 ± 5.43 | <0.001 * |
| TINN | 222.38 ± 88.63 | 220.03 ± 103.30 | 174.27 ± 87.14 | 175.65 ± 136.27 | <0.001 * |
| logVLF | −5.18 ± 0.53 | −5.11 ± 0.50 | −5.15 ± 0.51 | −5.00 ± 0.61 | 0.001 * |
| logLF | −4.19 ± 0.54 | −4.13 ± 0.57 | −4.48 ± 0.68 | −4.56 ± 0.86 | <0.001 * |
| LFnu | 0.50 ± 0.17 | 0.58 ± 0.20 | 0.61 ± 0.18 | 0.57 ± 0.19 | <0.001 * |
| logHF | −4.21 ± 0.76 | −4.50 ± 0.84 | −5.00 ± 1.02 | −4.88 ± 1.07 | <0.001 * |
| HFnu | 0.50 ± 0.17 | 0.42 ± 0.20 | 0.39 ± 0.18 | 0.43 ± 0.19 | <0.001 * |
| LF/HF | 1.50 ± 1.67 | 2.32 ± 2.30 | 2.57 ± 2.19 | 2.30 ± 2.48 | <0.001 * |
| logTot | −3.22 ± 0.44 | −3.26 ± 0.41 | −3.59 ± 0.59 | −3.51 ± 0.61 | <0.001 * |
| ApEn | 1.10 ± 0.08 | 1.07 ± 0.10 | 1.06 ± 0.12 | 1.05 ± 0.13 | <0.001 * |
| SampEn | 1.58 ± 0.25 | 1.48 ± 0.28 | 1.38 ± 0.31 | 1.39 ± 0.32 | <0.001 * |
| α1 | 0.99 ± 0.25 | 1.07 ± 0.30 | 1.14 ± 0.28 | 1.08 ± 0.31 | <0.001 * |
| α2 | 0.72 ± 0.17 | 0.73 ± 0.18 | 0.85 ± 0.23 | 0.91 ± 0.24 | <0.001 * |
| Cordim | 1.43 ± 0.17 | 1.36 ± 0.18 | 1.32 ± 0.22 | 1.26 ± 0.23 | <0.001 * |
| SD1 | 43.14 ± 32.82 | 46.65 ± 91.15 | 34.68 ± 55.53 | 38.59 ± 86.54 | 0.311 |
| SD2 | 80.50 ± 38.32 | 82.62 ± 95.24 | 68.03 ± 56.62 | 65.22 ± 88.07 | 0.008 * |
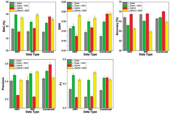
| Data | Method | BAC (%) | QWK | Accuracy (%) | Precision | F1 |
|---|---|---|---|---|---|---|
| HRV | Classification loss | 39.0 ± 0.459 | 0.514 ± 0.011 | 67.1 ± 0.477 | 0.404 ± 0.008 | 0.378 ± 0.005 |
| Classification loss + ADASYN | 44.8 ± 0.542 | 0.526 ± 0.011 | 63.1 ± 0.568 | 0.436 ± 0.007 | 0.435 ± 0.006 | |
| Hybrid loss | 37.8 ± 0.399 | 0.475 ± 0.013 | 68.8 ± 0.486 | 0.323 ± 0.004 | 0.344 ± 0.004 | |
| Hybrid loss + ADASYN | 43.5 ± 0.554 | 0.583 ± 0.010 | 61.3 ± 0.569 | 0.408 ± 0.006 | 0.416 ± 0.006 | |
| RRI | Classification loss | 37.9 ± 0.390 | 0.495 ± 0.011 | 68.6 ± 0.493 | 0.407 ± 0.022 | 0.346 ± 0.004 |
| Classification loss + ADASYN | 41.8 ± 0.528 | 0.550 ± 0.009 | 65.2 ± 0.496 | 0.445 ± 0.010 | 0.415 ± 0.006 | |
| Hybrid loss | 39.2 ± 0.317 | 0.519 ± 0.009 | 69.0 ± 0.467 | 0.314 ± 0.003 | 0.348 ± 0.003 | |
| Hybrid loss + ADASYN | 44.8 ± 0.589 | 0.568 ± 0.010 | 59.8 ± 0.568 | 0.456 ± 0.006 | 0.446 ± 0.006 | |
| Combined (RRI + HRV) | Classification loss | 37.7 ± 0.405 | 0.474 ± 0.010 | 66.5 ± 0.454 | 0.417 ± 0.008 | 0.373 ± 0.005 |
| Classification loss + ADASYN | 41.4 ± 0.505 | 0.549 ± 0.009 | 67.1 ± 0.495 | 0.459 ± 0.007 | 0.424 ± 0.006 | |
| Hybrid loss | 44.0 ± 0.489 | 0.589 ± 0.010 | 70.1 ± 0.511 | 0.496 ± 0.014 | 0.425 ± 0.006 | |
| Hybrid loss + ADASYN | 42.9 ± 0.552 | 0.590 ± 0.010 | 64.7 ± 0.553 | 0.422 ± 0.008 | 0.417 ± 0.006 |
| HRV | RRI | Combined | ||||||||
|---|---|---|---|---|---|---|---|---|---|---|
| Method | Group | Recall | Precision | F1 | Recall | Precision | F1 | Recall | Precision | F1 |
| Classification loss | 1 | 0.928 | 0.734 | 0.819 | 0.961 | 0.719 | 0.822 | 0.931 | 0.718 | 0.810 |
| 2 | 0.021 | 0.132 | 0.036 | 0.013 | 0.332 | 0.024 | 0.035 | 0.169 | 0.057 | |
| 3 | 0.112 | 0.218 | 0.145 | 0.006 | 0.057 | 0.011 | 0.101 | 0.226 | 0.136 | |
| 4 | 0.496 | 0.532 | 0.510 | 0.538 | 0.522 | 0.528 | 0.443 | 0.555 | 0.489 | |
| Classification loss + ADASYN | 1 | 0.789 | 0.787 | 0.787 | 0.861 | 0.766 | 0.810 | 0.905 | 0.752 | 0.821 |
| 2 | 0.209 | 0.262 | 0.230 | 0.143 | 0.192 | 0.163 | 0.124 | 0.239 | 0.161 | |
| 3 | 0.166 | 0.232 | 0.190 | 0.113 | 0.321 | 0.164 | 0.150 | 0.237 | 0.181 | |
| 4 | 0.627 | 0.464 | 0.531 | 0.553 | 0.501 | 0.523 | 0.478 | 0.607 | 0.532 | |
| Hybrid loss | 1 | 0.965 | 0.702 | 0.812 | 0.953 | 0.719 | 0.820 | 0.933 | 0.745 | 0.828 |
| 2 | 0.000 | 0.000 | 0.000 | 0.000 | 0.000 | 0.000 | 0.043 | 0.333 | 0.074 | |
| 3 | 0.000 | 0.000 | 0.000 | 0.000 | 0.000 | 0.000 | 0.120 | 0.301 | 0.168 | |
| 4 | 0.546 | 0.591 | 0.565 | 0.614 | 0.537 | 0.571 | 0.664 | 0.606 | 0.631 | |
| Hybrid loss + ADASYN | 1 | 0.760 | 0.815 | 0.786 | 0.730 | 0.798 | 0.762 | 0.833 | 0.788 | 0.809 |
| 2 | 0.226 | 0.213 | 0.217 | 0.318 | 0.213 | 0.253 | 0.187 | 0.219 | 0.200 | |
| 3 | 0.097 | 0.116 | 0.104 | 0.239 | 0.221 | 0.227 | 0.077 | 0.177 | 0.105 | |
| 4 | 0.657 | 0.488 | 0.558 | 0.504 | 0.591 | 0.541 | 0.621 | 0.504 | 0.553 | |
| Metric | Method | Difference (RRI−HRV) | p-Value |
|---|---|---|---|
| BAC (%) | Classification loss | −1.023 ± 0.546 | 0.001 * |
| Classification loss + ADASYN | −3.006 ± 0.696 | <0.001 * | |
| Hybrid loss | 1.394 ± 0.371 | <0.001 * | |
| Hybrid loss + ADASYN | 1.266 ± 0.761 | 0.003 * | |
| QWK | Classification loss | −0.019 ± 0.012 | 0.018 * |
| Classification loss + ADASYN | 0.024 ± 0.010 | 0.001 | |
| Hybrid loss | 0.044 ± 0.013 | <0.001 * | |
| Hybrid loss + ADASYN | −0.002 ± 0.010 | 0.053 | |
| Accuracy (%) | Classification loss | 1.573 ± 0.377 | <0.001 * |
| Classification loss + ADASYN | 2.083 ± 0.522 | <0.001 * | |
| Hybrid loss | 0.210 ± 0.303 | 0.544 | |
| Hybrid loss + ADASYN | −1.547± 0.607 | <0.001 * | |
| Precision | Classification loss | 0.003 ± 0.022 | 0.794 |
| Classification loss + ADASYN | 0.009 ± 0.012 | 0.155 | |
| Hybrid loss | −0.009 ± 0.004 | 0.001 * | |
| Hybrid loss + ADASYN | 0.048 ± 0.008 | <0.001 * | |
| F1 | Classification loss | −0.031 ± 0.006 | <0.001 * |
| Classification loss + ADASYN | −0.020 ± 0.008 | <0.001 * | |
| Hybrid loss | 0.003 ± 0.003 | 0.181 | |
| Hybrid loss + ADASYN | 0.030 ± 0.007 | <0.001 * |
| Metric | Method | Difference (Combined−HRV) | p-Value |
|---|---|---|---|
| BAC (%) | Classification loss | −1.222 ± 0.425 | <0.001 * |
| Classification loss + ADASYN | −3.337 ± 0.692 | <0.001 * | |
| Hybrid loss | 6.211 ± 0.493 | <0.001 * | |
| Hybrid loss + ADASYN | −0.547 ± 0.728 | 0.174 | |
| QWK | Classification loss | −0.040 ± 0.008 | <0.001 * |
| Classification loss + ADASYN | 0.022 ± 0.010 | 0.002 * | |
| Hybrid loss | 0.114 ± 0.012 | <0.001 * | |
| Hybrid loss + ADASYN | 0.007 ± 0.009 | 0.331 | |
| Accuracy (%) | Classification loss | −0.507 ± 0.297 | 0.135 |
| Classification loss + ADASYN | 3.953 ± 0.510 | <0.001 * | |
| Hybrid loss | 1.300 ± 0.345 | <0.001 * | |
| Hybrid loss + ADASYN | 3.417 ± 0.551 | <0.001 * | |
| Precision | Classification loss | −0.001 ± 0.007 | 0.036 * |
| Classification loss + ADASYN | −0.005 ± 0.005 | <0.001 * | |
| Hybrid loss | 0.103 ± 0.008 | <0.001 * | |
| Hybrid loss + ADASYN | −0.009 ± 0.005 | 0.005 * | |
| F1 | Classification loss | −0.005 ± 0.005 | 0.191 |
| Classification loss + ADASYN | −0.011 ± 0.008 | 0.011 * | |
| Hybrid loss | 0.081 ± 0.006 | <0.001 * | |
| Hybrid loss + ADASYN | 0.001 ± 0.007 | 0.841 |
| Metric | Method | Difference (Combined−RRI) | p-Value |
|---|---|---|---|
| BAC (%) | Classification loss | −0.199 ± 0.536 | 0.492 |
| Classification loss + ADASYN | −0.331 ± 0.681 | 0.377 | |
| Hybrid loss | 4.818 ± 0.446 | <0.001 * | |
| Hybrid loss + ADASYN | −1.813 ± 0.660 | <0.001 * | |
| QWK | Classification loss | −0.021 ± 0.011 | 0.005 * |
| Classification loss + ADASYN | −0.001 ± 0.008 | 0.858 | |
| Hybrid loss | 0.070 ± 0.008 | <0.001 * | |
| Hybrid loss + ADASYN | 0.021 ± 0.009 | 0.003 * | |
| Accuracy (%) | Classification loss | −2.080 ± 0.353 | <0.001 * |
| Classification loss + ADASYN | 1.870 ± 0.441 | <0.001 * | |
| Hybrid loss | 1.090 ± 0.292 | 0.002 * | |
| Hybrid loss + ADASYN | 4.963 ± 0.528 | <0.001 * | |
| Precision | Classification loss | 0.009 ± 0.023 | 0.432 |
| Classification loss + ADASYN | 0.014 ± 0.012 | 0.028 * | |
| Hybrid loss | 0.182 ± 0.015 | <0.001 * | |
| Hybrid loss + ADASYN | −0.034 ± 0.009 | <0.001 * | |
| F1 | Classification loss | 0.027 ± 0.006 | <0.001 * |
| Classification loss + ADASYN | 0.009 ± 0.008 | 0.048 * | |
| Hybrid loss | 0.078 ± 0.006 | <0.001 * | |
| Hybrid loss + ADASYN | −0.029 ± 0.007 | <0.001 * |
| Model | HRV | RRI | Combined |
|---|---|---|---|
| Cohen’s kappa | 0.770 | 0.678 | 0.737 |
| Method (RRI Model) | BAC (%) | QWK | Accuracy (%) | Precision | F1 |
|---|---|---|---|---|---|
| Classification loss | 37.5 ± 0.343 | 0.492 ± 0.010 | 68.6 ± 0.482 | 0.381 ± 0.019 | 0.343 ± 0.004 |
| Classification loss + ADASYN | 42.7 ± 0.555 | 0.555 ± 0.010 | 65.0 ± 0.496 | 0.451 ± 0.008 | 0.426 ± 0.006 |
| Hybrid loss | 38.2 ± 0.364 | 0.482 ± 0.011 | 67.8 ± 0.498 | 0.303 ± 0.004 | 0.337 ± 0.003 |
| Hybrid loss + ADASYN | 43.4 ± 0.569 | 0.594 ± 0.008 | 60.4 ± 0.561 | 0.434 ± 0.005 | 0.429 ± 0.005 |
| Reference | Input Data | Subjects | Measurement Condition | Predicted Target | Algorithm | Validation | Best Performance |
|---|---|---|---|---|---|---|---|
| Corino et al., 2006 [22] | HRV | 131 healthy | 24 h | Individual ages | RLR, FFNN, RBFNN | 3-fold CV | Correlation coefficient: 0.872 (FFNN) |
| Poddar et al., 2015 [23] | HRV | 60 healthy males | Supine rest | Three age groups | SVM, KNN, PNN | Holdout | ACC: 70% (PNN) |
| Botsva et al., 2017 [24] | HRV | 22,433 a | N/A (130 s ECG) | Mean group ages (nine groups) | ANN | Holdout | 85% b |
| Makowiec and Wdowczyk, 2019 [25] | HRV | 181 healthy | Nocturnal sleep | Four age groups | SVM | N/A | ACC: 93.6% c |
| Al-Mter, 2020 [26] | HRV | 181 healthy | Nocturnal sleep | Seven age groups | SVM, RF, XGB | Holdout | ACC: 28.77% (RF) |
| Pfundstein, 2020 [38] | RRI | 181 healthy | Nocturnal sleep | Seven age groups | CNN + LSTM | Holdout | ACC: 32.43% |
| This study | HRV, RRI, combined | 1121 healthy | Supine rest | Four age groups | ResNet | 5-fold CV | ACC d: 61.3% (HRV), 59.8% (RRI), 64.7% (combined) |
Disclaimer/Publisher’s Note: The statements, opinions and data contained in all publications are solely those of the individual author(s) and contributor(s) and not of MDPI and/or the editor(s). MDPI and/or the editor(s) disclaim responsibility for any injury to people or property resulting from any ideas, methods, instructions or products referred to in the content. |
© 2023 by the authors. Licensee MDPI, Basel, Switzerland. This article is an open access article distributed under the terms and conditions of the Creative Commons Attribution (CC BY) license (https://creativecommons.org/licenses/by/4.0/).
Share and Cite
Lee, K.H.; Byun, S. Age Prediction in Healthy Subjects Using RR Intervals and Heart Rate Variability: A Pilot Study Based on Deep Learning. Appl. Sci. 2023, 13, 2932. https://doi.org/10.3390/app13052932
Lee KH, Byun S. Age Prediction in Healthy Subjects Using RR Intervals and Heart Rate Variability: A Pilot Study Based on Deep Learning. Applied Sciences. 2023; 13(5):2932. https://doi.org/10.3390/app13052932
Chicago/Turabian StyleLee, Kyung Hyun, and Sangwon Byun. 2023. "Age Prediction in Healthy Subjects Using RR Intervals and Heart Rate Variability: A Pilot Study Based on Deep Learning" Applied Sciences 13, no. 5: 2932. https://doi.org/10.3390/app13052932
APA StyleLee, K. H., & Byun, S. (2023). Age Prediction in Healthy Subjects Using RR Intervals and Heart Rate Variability: A Pilot Study Based on Deep Learning. Applied Sciences, 13(5), 2932. https://doi.org/10.3390/app13052932

