Next Article in Journal
Comparative Study of Ozonated Olive Oil and Extra Virgin Olive Oil Effects on Oral Hygiene
Previous Article in Journal
Unsupervised Deep Embedded Clustering for High-Dimensional Visual Features of Fashion Images
 
 
Font Type:
Arial Georgia Verdana
Font Size:
Aa Aa Aa
Line Spacing:
Column Width:
Background:
Article

Numerical and Experimental Study of a Large-Scale Natural Circulation Helium Loop

Faculty of Mechanical Engineering, STU in Bratislava, Námestie Slobody 17, 812 31 Bratislava, Slovakia
*
Author to whom correspondence should be addressed.
These authors contributed equally to this work.
Appl. Sci. 2023, 13(5), 2826; https://doi.org/10.3390/app13052826
Submission received: 25 December 2022 / Revised: 14 February 2023 / Accepted: 18 February 2023 / Published: 22 February 2023

Abstract

This paper deals with the one-dimensional unsteady fluid flow model of a natural circulation loop. The governing equations are solved according to both the Euler and Lagrange approaches on two parallel computational grids. The linearization of equations and a semi-implicit discretization scheme are used to enhance the algorithm’s effectiveness. The results of the simulations were verified by using experimental data obtained on an experimental rig that was a scale model of an emergency system for the removal of residual heat after reactor shutdown. The parameters compared were the helium temperature at two locations and the heater outlet pressure. The simulation results generally did not differ from the experimental data by more than 10%. The best agreement was obtained for scenarios in which the helium pressure was highest in combination with slow changes in the input parameters (less than 4%). Conversely, the results differed the most for the scenario with extremely fast device cooling (20%).

1. Introduction

Natural convection loops (NCLs), which are also called thermosyphons, are specific types of thermohydraulic circuits. They are fully autonomous and electricity-free by their nature; therefore, they are cost-effective and maintenance-free while being highly reliable. This significant benefit leads to a large number of possible applications in a variety of fields. They can be used to cool small electronic devices [1], gas turbine blades [2], heating oil baths [3], solar collector systems [4], or large superconducting magnets [5,6]. The principle of a thermosyphon is based on the thermal differential along a thermohydraulic circuit. Typically, a flowing medium is heated at the bottom and cooled at the top of the apparatus, which results in a fluid motion. This principle was introduced and theoretically analyzed in the mid-1960s [7] and was later developed by various researchers [8,9,10,11]. The fluid flow behavior is highly dependent on the operational conditions, especially the heat fluxes in and out of the system (heating and cooling). Improper conditions can lead to flow instabilities and even flow reversal.
Various numerical approaches were used to simulate the behavior of NCLs: system codes (Relap5, Genloop), finite difference codes, and CFD (Fluent, Open Foam). Some of the results were presented without direct comparisons with experiments [12,13,14], and various results have also supported those of experiments [15,16,17].
Most of the experimental work in this field is conducted on laboratory-scale loops with power on the order of 10 2 Watts with heat transfer that is realized through the walls of pipes (Said, Zvirin, Vijayan). The NCL that is investigated in the present study is a model of the emergency cooling system for gas-cooled fast reactors (GFRs) built in Trnava (Slovakia) by the Slovak University of Technology. It is a large-scale physical model of a rectangular loop with a cooling capacity of 250 kW, and it works with helium with a maximum of temperature 520 C and a pressure of 7 MPa. The loop was built as part of the efforts in Slovakia, Czech Republic, France, Hungary, and Poland to develop a European gas-cooled fast reactor (GFR) demonstrator (ALLEGRO). A similar facility is being built in the Czech Republic.
The aim of the present paper is to present and verify our own numerical model of a system with natural circulation. The motivation for our efforts in this area was to develop a tool for rapid analysis of the behavior of a natural circulation system, which would reduce the number of costly experiments or allow us to investigate scenarios that cannot be implemented in a physical model for safety reasons. The model is one-dimensional, is transient, and uses a combination of fixed and floating computational grids. It is implemented in C++. The input parameters are defined as a combination of heating and cooling power. The model allows the simulation of the effects of leakages on the output power parameters. Verification of the results was performed by comparing the time histories of temperatures and pressures at selected points that coincided with the locations at which these parameters were measured in the experiment. The aim of the comparison was to determine the percentage agreement of the results in transient modes (heating, cooling) and in steady-state conditions.

2. Experiment

Experimental data were gathered from tests conducted in an experimental facility built in Trnava, Slovakia (Figure 1). It is a model of an emergency cooling system for generation IV gas-cooled fast reactors (GFRs), and it was designed as a natural circulation loop. The loop was filled with helium, which could achieve a pressure of up to 7 MPa and a temperature of up to 520 C. The heat was generated by a vertically oriented electric heater and was removed by a water cooler with a maximum design capacity of 250 kW. The main advantage of this device is that it is a large-scale device with parameters that are more similar to those of future devices intended for emergency cooling. Helium loops with such parameters are rare, which is mainly because of the investment and operating costs; however, they have the potential to provide unique and important knowledge of the behavior of such systems.
There were three main quantities that were measured along the loop that allowed us to investigate its behavior: pressure, temperature, and the flow rate of the cooling water. The pressures and temperatures of the helium were measured at points placed at the heater’s and the cooler’s outlets (see Figure 1). The heat generated by the heater was estimated from the electric input of the coils. The heat removed by the cooler was determined from the measured cooling-water flow rate and the measurement of the water inlet and outlet temperatures. These data allowed the determination of the density and, consequently, the mass of the helium in the loop. Some of these quantities were also used as inputs for the simulation model.
The runs of the experiments were guided by scenarios that defined the time courses of the input parameters, i.e., the heating power and cooling-water flow rate. In addition, the maximum pressures and temperatures of helium to be reached during the experiment were defined. Each scenario had three main parts. The first was a heating phase in which the helium was brought from an initial state (filling pressure, ambient temperature) to a state where a constant power was transmitted at a constant helium temperature and pressure for 30 min (steady state—second phase). Several steady states could be achieved during one experiment according to the requirements of each scenario. The last phase was aftercooling, where the heating power was reduced either gradually or stepwise. The duration of the experiment typically ranged from 5 to 8 h. All of the measured quantities were recorded continually with a frequency of 1 Hz.
More information about the experimental device’s setup can be found in [18].

3. Mathematical Model

The thermohydraulic circuit consisted of four main parts: the heater, the cooler, the hot branch, and the cold branch, as shown in Figure 2.
As the scheme above implies, the circuit can be decomposed into three component types: pipes, coolers, and heaters. Each of them is represented by a sub-model, which is described in the following.

3.1. Pipe Model

The one-dimensional fluid flow can be described by three governing equations—those of the conservation of mass (1), momentum (2), and energy (3). The equation system is closed by the real gas equation of state (4), where the coefficient of compressibility z is calculated according to the Soave–Redlich–Kwong real gas equation of state.
p / z t + r T A Q m x = 0
Q m t + A g p z r T d h d x + r T A z Q m 2 / p x + A p x + λ z r T 2 d A Q m Q m p = 0
d q d x k A π D e ( T T e x t ) Q m = 0
p = ρ z r T
The signs used are the following: p—pressure, z—coefficient of compressibility, Q m —mass flow rate, T—temperature, ρ —density A—area of the cross-section of a pipe, λ —Darcy–Weisbach head loss coefficient, r—specific gas constant, g—gravity acceleration, t—time, x—space coordinate, h—height, d—internal diameter of a pipe, c p —specific heat capacity, i—specific enthalpy, and u—specific internal energy.
The estimation of the Darcy–Weisbach head loss coefficient is based on an assumption of hydraulically smooth pipes. Then, the coefficients are evaluated according to the formulas of Blasius and Herman (depending on the flow regime).
The conservation of mass (1) and momentum (2) is defined according to a control volume approach, and the conservation of energy (3) is defined by using a particle-tracking approach. This concept has its roots in the assumption that temperature is transferred only via mass transfer. The mass transfer is calculated from the continuity (1) and momentum (2) equations, and the temperature information is carried by a fluid particle moving along the flow direction.

3.2. Cooler Model

The mass (1) and momentum (2) equations also describe the flow inside the cooler. Nevertheless, the energy equations differ. The complex nature of the three-dimensional flow led to several simplifications. The transient behavior was reduced to heat accumulation in the solid parts of the heat exchanger. Thus, the energy equation took on the following form (5):
Q ˙ a c u = Q ˙ f Q ˙ e x t + Q ˙ f l u x m s c p , s d T s d t = m ˙ f l c p , f l T o u t T i n k A A e x t T o u t T e x t + Q ˙ f l u x
The signs used were the following: Q ˙ a c u —heat accumulated in solid parts per unit of time, Q ˙ f —heat absorbed by a fluid per unit of time, Q ˙ e x t —heat loss to the exterior per unit of time, Q ˙ f l u x —energy flux due to cooling/heating; m s —mass of solid parts, c p , s —specific heat capacity of solid parts, T s —temperature of solid parts, m ˙ f l —mass flow rate of a fluid medium, c p , f l —specific heat capacity of a fluid medium, T i n —heat exchanger inflow temperature, T o u t —heat exchanger outflow temperature, k A —coefficient of heat flux to the exterior, A e x t —heat flux to the exterior area, and T e x t —temperature of the exterior.
The relation (5) represents the energy balance of a whole component. The heat exchanger is treated as a black box with energy inputs, outputs, and accumulation. The temperature of solid parts T s is unknown and hard to estimate, so an assumption of T s = T o u t was made. The heat flux Q ˙ f l u x is calculated with the standard NTU- ϵ and Bell Delaware methods.

3.3. Heater Model

The flow inside the heater is governed by coequal equations with respect to those of the cooler flow: (1), (2), and (5). However, the heat flux Q ˙ f l u x represents heating resulting from an electric power input. The value is calculated according to Equation (6):
Q ˙ f l u x = η e l P e l
where P e l is the electric power input and η e l is the heating efficiency.

3.4. Solution Algorithm

The idea of combining the control volume and particle-tracking approaches has its origins in the following thoughts. The main objective was to achieve the most profitable accuracy/computational speed ratio. The computational accuracy is closely related to the Courant number resulting from the time-step value, grid density, and the speed of information propagation. The grid has to be dense enough to capture propagating information. Usually, fast-spreading pressure waves do not require a dense grid. However, in the current application, the accuracy of the results is closely bound with a thermal wave, which moves relatively slowly in contrast with pressure waves. This fact led to the higher mesh density, so the thermal wave was captured properly.
To preserve both the accuracy and the low grid density, the conservation of mass (1) and momentum (2) was solved in a coarse fixed mesh, and the conservation of energy (3) was calculated in a floating mesh.
The solution procedure with one time step was as follows. Firstly, the pressure and mass flow rate were calculated from Equations (1) and (2) on a fixed grid. Secondly, the velocity and density are interpolated from the fixed to the floating grid, and each of the floating grid nodes was moved for a distance of Δ ξ (Equation (7)) along the flow direction.
Δ ξ k = Δ t v k
Thirdly, the pressurewasis interpolated from the fixed to the floating mesh, and the temperature value was calculated in the floating grid according to Equation (8), which stemmed from the solution of the differential Equation (3).
T k , j = T e x t + T k , j 1 T e x t exp 4 D e k A Δ t d 2 ρ k , j c p
Lastly, the temperature was interpolated from the floating to the fixed grid. The relation between two parallel grids is illustrated in Figure 3.
The signs used were the following: x—fixed grid spacial coordinate, ξ —floating grid spacial coordinate, i—spacial fixed grid index, k—spacial floating grid index, j—time index, k A coefficient of heat flux through the pipe wall, T e x t —environment temperature, and D e —external diameter.
However, the heat exchanger temperature was treated differently. Thus, its outlet temperature was calculated from Equation (9), which stemmed from Equation (5).
T o u t , j = Δ t m s c p , s m ˙ f l , j 1 c p , f l T o u t , j 1 T i n , j 1 k A A e x t T o u t , j 1 T e x t + Q ˙ f l u x , j
Equations (1) and (2) were discretized on the fixed grid by using a semi-implicit scheme, as described in [19]. The finite difference method was used for the spatial discretization. The semi-implicit time matching was based on integrating the time derivation according to Equation (10), where the right side of the equation X j ϑ is written as (11). The semi-implicit parameter ϑ represents the ratio of explicit to implicit terms in the equations, where the ϑ value lies inside the interval from 0 to 1 ( ϑ = 0 means a fully implicit formulation and ϑ = 1 means a fully explicit formulation).
d y d t j ϑ = 1 ϑ X j + ϑ X j 1
X j ϑ = 1 ϑ X j + ϑ X j 1
Nevertheless, this hybrid concept did not properly conserve the mass due to the sequential solving order. Therefore, the algorithm was enhanced with a pressure correction step, which manipulated the pressure to match the reference medium mass.
The estimation of minor losses in pipe segments was based on an assumption of hydraulically smooth pipes. Then, the coefficients were evaluated according to the formulas of Blasius and Herman (depending on the flow regime). The simulation of heat loss through the pipe wall was based on the temperature of the environment and the heat flux coefficient of air.
The primary sources of the energy input and output were the heater and cooler models. Both of them included an enhanced energy equation in which the energy fluxes and heat accumulation are modeled. The energy output—through the cooler—was moderated by the H2O mass flow rate and temperature, which were set as boundary conditions. The energy input—through the heater—was also set as a boundary condition. Thus, the value was known (electric power input). The minor loss coefficients were set as constants (according to results in [18]).
The overall model also covered helium mass leakage, which was set as a boundary condition. Its value was based on an approximation of experimental data [18].
The initial conditions were evaluated from data measured along the loop for each scenario. The measured values were averaged, and the resulting value was set as an initial value. The initial variable values (T, p, and m ˙ ) were constant along the loop.
The method’s suitability for thermosyphon simulation was confirmed by the authors of [19]. The system of Equations (1)–(4) is nonlinear by nature and, therefore, was converted into a linear system that could be described by sparse matrixes. Thus, the solution could be obtained with a rapid direct technique (e.g., LU factorization) [20,21]. The numerical implementation of the complex model was performed by using the C/C++ programming language.

4. Results

The helium loop is primarily intended to cool a nuclear reactor in critical conditions. The experiments carried out on the test loop were also subordinated to this objective. Measurements were performed by using predetermined time changes (scenarios) in input variables—or boundary conditions, to use mathematical terminology. These were the cooling-water flow rate at the heat exchanger and the electrical power input of the heater, which represented the nuclear reactor model. The temperature of the cooling water had a constant value during all measurements, as it was pumped from a deep borehole where conditions were very stable. The scenarios were chosen to cover a range of helium operating pressures up to a maximum value of 7 MPa. The helium charge in the loop system was also varied for each scenario—this is what determined what pressure was achieved at the given temperature conditions. Steady states and transients caused by a sudden change in one of the input variables (a change in the heater input power or a change in cooling) were monitored. In this method of experimentation, there were limits set by the loop design so that the temperature gradients did not cause the mechanical deformation of the device. For this reason, for example, operating conditions in which large temperature differences occurred in the cold and hot branches were excluded. The developed mathematical model was evaluated according to the agreement of the observed calculated quantities with the measured values. The observed quantities were chosen to be the pressure p H e 1 in the system, the temperature t H e 1 in the hot branch, and the temperature t H e 8 in the cold branch of the loop. Several results of measurements on the helium loop have already been presented in publications, e.g., [18]. In this paper, we retained the established numbering of the scenarios. We will document the comparison of the model results and the measured data in selected time intervals from these scenarios. Systemic responses to changes in input variables will be presented, with an emphasis on the comparison between calculations and experiments.
Figure 4 represents interval 1 of scenario 3. In scenario 3, the pressure reached up to almost 7 MPa in the loop at the steady state (see Figure 5). Interval 1 of scenario 3 represents the loop’s start from the initial cold state. At the beginning, the temperatures in the loops were around 100 C (cold branch) and 200 C (hot branch). The increase in the power input P was gradual in steps from 60 to 200 kW, taking about 2.5 h. The flow rate Q H 2 O of the cooling water increased; the maximum value was 1.5 L/s, and at the end, it dropped to 1.0 L/s. In Figure 4, it can be seen that the temperature increase showed good agreement between the measurement and the calculation for both the hot and the cold branch. For the pressure p H e 1 , it was similar, and the calculated values followed the measurement results very well.
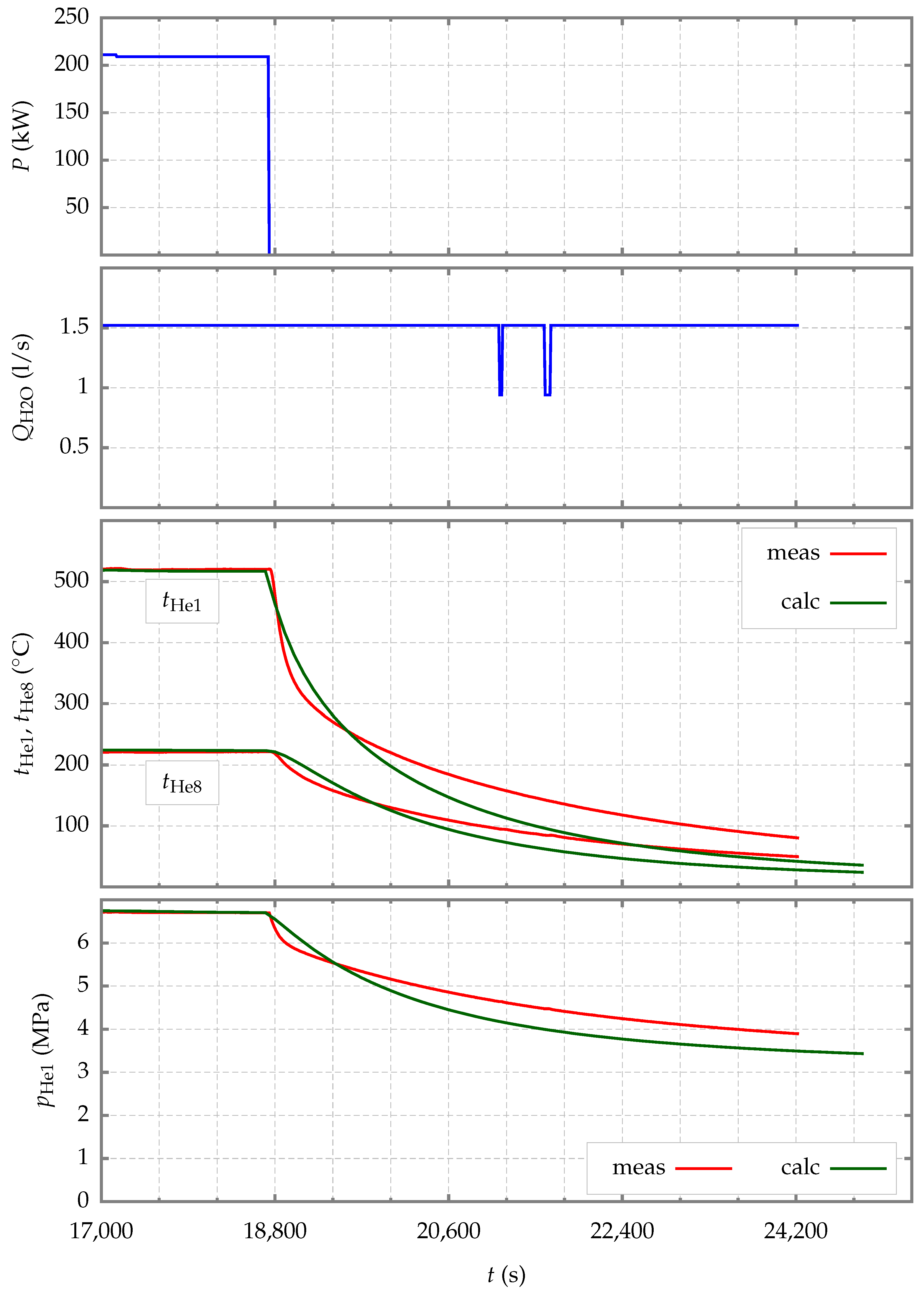
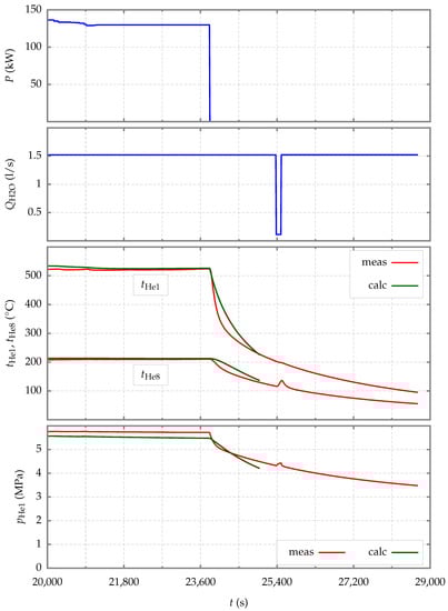
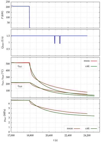
Figure 5 shows interval 2 of scenario 3, which started at 17,000 s. At the beginning of the interval, the system state was the steady state, and just before reaching 18,800 s, the generator input power P dropped to zero, but the flow rate Q H 2 O of the cooling water remained unchanged. In the graph, we can observe the response of pressures and temperatures to this change. At the end of the scenario (after 24,200 s), the calculated temperatures t H e 1 and t H e 8 were at higher values than the measured temperatures. This was also related to the pressure p H e 1 (in addition, the calculated value was higher by about 0.4 MPa). Figure 6 shows interval 1 of scenario 4 starting at 1000 s and ending at 19,000 s. The system contained less helium than in scenario 3, and therefore, the maximum pressure reached about 5.8 MPa (see Figure 7). In Figure 6, the power P was gradually increased to 130 kW, and the flow rate Q H 2 O was increased to 1.5 L/s. The calculated parameters t H e 1 , t H e 8 , and p H e 1 showed good agreement with the experimental data. Figure 7 presents interval 2 of scenario 4. The interval started at 20,000 s and represented the reactor model’s power failure.
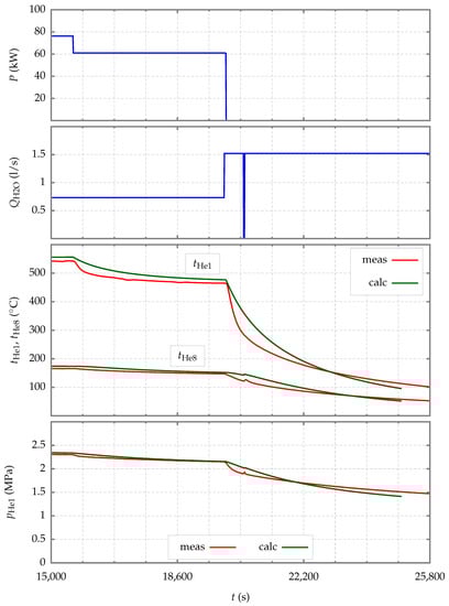
Figure 8 shows interval 1 of scenario 5. The start of the interval was at 2000 s, and its duration was 10,200 s. Throughout the time interval, the electrical power P of the model generator increased to 149 kW, and the flow rate Q H 2 O of the cooling water increased to 1.48 L/s. For this heating and cooling method (the power input increased in 20–30 kW steps), we observed at the end of the interval that the measured and calculated temperature data t H e 1 differed by about 30 C. The measured and calculated pressure values p H e 1 diverged between 0.3 and 0.5 MPa throughout the interval (the calculation predicted lower values than those of the measurement). Figure 9 shows interval 2 of scenario 5. The interval started at 15,000 s and showed the effects of the power drop in two steps; first, it decreased to 100 kW, and then to zero after 6300 s. The flow rate Q H 2 O of the cooling water was unchanged at 1.5 L/s. The figure shows the response of the temperatures t H e 1 and t H e 8 and the pressure p H e 1 to the power changes made. We can see that both the calculated and measured values were sensitive to these changes. In Figure 10, interval 1 of scenario 6 is at 1000 s and lasts 7200 s. The increase in power P of the reactor model to 120 kW occurred in four steps. The cooling-water flow rate Q H 2 O increased from 0.5 to 0.8 L/s only at the end of the interval. The temperature and pressure curves—with small deviations between the calculations and measurements—tracked the changes in the power input. Figure 11 shows interval 2 of scenario 6. It started at 13,000 s and ended at 23,800 s. The power P first dropped from 105 to 80 kW and then to zero. At the same time, the flow rate Q H 2 O of the cooling water changed from 1.05 to 1.55 L/s. The calculated temperature and pressure waveforms responded to these changes in good agreement. Figure 12 shows interval 1 of scenario 8 with its start at 800 s. At 810 s, there was a step in power P from zero to 60 kW. The flow rate Q H 2 O of the cooling water was held at 0.7 L/s throughout the observed interval. In the next steps, the power input was gradually increased up to a maximum of 87 kW and gradually decreased to 78 kW at the end. The helium charge was small, with a maximum pressure of p H e 1 = 2.48 MPa (significantly less than in the other scenarios) at a maximum temperature of t H e 1 = 530 C (hot branch). The differences between the calculation and the measurement in the case of temperature t H e 1 were significant, especially in the first part, where the effect of the increase in the power input P was evident. The cooling effect of the smaller amount of helium was small, and a large part of the energy was consumed to heat the solid parts of the loop (piping, structure, and containment). This phenomenon (energy accumulation in the solid parts of the loop) was captured with lower accuracy by the mathematical model. This led to the calculated temperature t H e 1 being underestimated in the first part and overestimated relative to the measurement at the end of the interval. Figure 13 shows interval 2 of scenario 8. The start was at 15,000 s. The power decreased from 78 to 60.5 kW in the first step and then dropped to zero at 20,280 s. We observe what we saw in interval 1 of this scenario: When the power input changed abruptly, there were much larger differences between the calculated and measured temperatures t H e 1 and t H e 8 . This was due to the smaller helium charge, for which the energy accumulation in the solid parts of the system was more pronounced. The difference between the calculations and measurements was also reflected in the pressure p H e 1 through the temperatures. Figure 14 shows interval 1 of scenario 13. The interval started at 500 s at a pressure of p H e 1 = 4.12 MPa and at temperatures of t H e 1 = 110 C and t H e 8 = 28 C. This part of scenario 13 was characterized by the power P increasing in two steps from 49 to 132 kW and then decreasing in three steps to 70 kW. At the simulation time of 4 s, the flow rate Q H 2 O of the cooling water started to rise gradually from 0.9 to 1.5 L/s. The calculated temperatures t H e 1 and t H e 8 were overestimated, resulting in a maximum overestimation of the calculated pressure p H e 1 of 0.6 MPa at 6000 s (peak of the curve). The calculated temperature values responded to the increasing and decreasing electrical input of the model generator in accordance with the measured values—that is, at the end of interval 2 at 8600 s, the temperature values dropped to t H e 1 = 300 C and t H e 8 = 145 C.
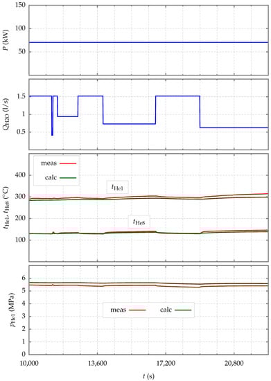
Figure 15 shows interval 2 of scenario 13. The interval started at 10,000 s with measured values of t H e 1 = 290 C, t H e 8 = 115 C, and p H e 1 = 5.5 MPa. The electric power P was constant throughout interval 2 (within 22,600 per second) with P = 70 kW. In the monitored interval, only the flow rate Q H 2 O of the cooling water was reduced from a value of 1.5 L/s to values of 0.9 , 0.7 , and 0.6 L/s with varying durations of the reduced flow rate. However, the cooling changes had only a negligible effect on the measured values, with the temperature of t H e 1 remaining in the range of 290 C to 310 C and the temperature of t H e 8 remaining in the range of 115 C to 120 C. Consistent with this was the pressure history of p H e 1 , which did not exceed 5.5 MPa. The calculated quantities confirmed this trend.
All of the investigated intervals of each scenario were statistically processed. Data were sampled according to the specified time step, and relative errors were calculated at each timestamp. The average values for each interval are provided in Table 1.
The results show that the mathematical model’s response was slightly different from the physical model’s response, which was more significant in the reactor shutdown simulation (decrease in the power input P, interval 2). This phenomenon resulted in higher relative errors in interval 2 when compared to that in interval 1. The accuracy of pressure prediction was highest among the monitored variables and varied from 1.0 to 6.8%. The hot branch temperature errors were between 2.2 and 21.2%, and the cold branch temperature errors ranged between 2.0 and 18.0%.
The higher errors in the second intervals may have stemmed from one-dimensional model limitations. The sudden change in the value of the boundary condition (power input P) probably did not only lead to a higher rate of numerical error, but the modeled helium flow also became unstable, as it switched from a relatively stable turbulent regime to an unstable transient regime, which possibly magnified the three-dimensional effects, such as backflows, swirls, or velocity profile distribution non-uniformity. The heat energy exchange between the solid parts of components and the flowing medium probably became more complex and exceeded the model’s simplifications. All of these effects also cast a shadow of uncertainty on the accuracy of the measurement devices.
The effects of the sudden changes in boundary conditions should not have been so significant during interval 1. Nevertheless, the errors could also stem from the flow regime change and non-uniform heat accumulation in all circuit components.

5. Conclusions

The goal of the presented paper was to introduce a one-dimensional transient mathematical model of flow in a natural circulation helium loop. The model was developed with STU in the context of ongoing studies in the field of emergency cooling for Generation IV nuclear reactors. The model was implemented in C++ and verified on an experimental setup. The experimental device was a large-scale STU-owned helium loop, which was sized to transfer power up to 250 kW at a maximum helium temperature of 520 and an overpressure of 7 MPa.
Verification of the mathematical model was performed in six scenarios. The scenarios differed in either the steady-state helium pressures and temperatures or the time courses of the heating and cooling performance. On the basis of the presented results, it can be concluded that the simulated pressure and temperature waveforms were qualitatively in agreement with those from the experiments.
A quantitative comparison of the results showed that the average deviations of the calculated temperatures of the experiment normally did not exceed 10% of the measured values of the variables. The exception was in scenario 3, where the relative error in the cooling phase (interval 2) was more than 20%. In general, it can be concluded that the simulated temperatures were overestimated during heating and underestimated during the cooling phases of the experiments. In steady states, the agreement between the experiments and simulations was in units of percent. In general, the results of the simulations and experiments differed the most in scenarios with rapid changes in input parameters during the start-up or after-cooling phase of the system. In Scenario 3, the heating was abruptly turned off while the cooling-water flow was maintained. As a result, the large differences in simulated temperatures were the most dramatic (21.22%—hot branch, 18.02%—cold branch). For the scenario with the smallest amount of helium in the system (Scenario 8), significant differences in the time courses of the temperature curves were also noticeable. In this scenario, the mean deviations in the helium temperatures reached up to 9.5%. The percentage agreement of the calculated pressures was less than 6.8%, regardless of the scenario.
The above observations can be attributed to heat accumulation in the solid parts of the loop. With abrupt changes in the input parameters, the transition between steady states is slowed by the heat exchange between the helium and the solid material. Similarly, with less helium mass in the system, the relative influence of heat released or absorbed by the solid parts is larger. Thus, our simulation results are burdened with errors that resulted from an incorrect estimation of the device’s mass. This problem is relatively easy to solve for laboratory-sized devices, but for our large-scale device, the mass cannot be accurately determined.
In addition to the above, the rapid changes in heating power caused phenomena that could not be captured by the one-dimensional model, such as secondary flows that were three-dimensional. Under these circumstances, the physical processes were more complex than our model predicted, leading to further biases in the results. Addressing these shortcomings of our model requires corrections based on more detailed three-dimensional numerical simulations that are verified by experimental data.

Author Contributions

Conceptualization, B.K. and M.V.; methodology, B.K., M.M. and M.V.; software, M.V. and F.V.; validation, B.K., M.M. and M.V.; formal analysis, B.K.; investigation, M.V., M.M., B.K., R.O. and F.V.; resources, F.U.; data curation, B.K. and P.M.; writing—original draft preparation, M.V., M.M. and B.K.; writing—review and editing, M.M.; visualization, M.V. and B.K.; supervision, B.K. and M.M.; project administration, F.U.; funding acquisition, F.U. All authors have read and agreed to the published version of the manuscript.

Funding

This article was written thanks to the generous support from the Operational Program Integrated Infrastructure for the project: “Research of physical, technical and material aspects of high-temperature reactors with the potential of hydrogen production”, project no. 313011BUH7, co-financed by the European Regional Development Fund. This work was also supported by the Slovak grant agency KEGA, project no. 016STU-4/2022.

Institutional Review Board Statement

This study does not require ethical approval.

Informed Consent Statement

Not applicable.

Data Availability Statement

Data sharing is not applicable to this article.

Conflicts of Interest

The authors declare no conflict of interest. The funders had no role in the design of the study, in the collection, analyses, or interpretation of data, in the writing of the manuscript, or in the decision to publish the results.

Abbreviations

The following abbreviations are used in this manuscript:
NCLNatural Circulation Loop

References

  1. Cohen, H.; Bayley, F.J. Heat-Transfer Problems of Liquid-cooled Gas-turbine Blades. Proc. Inst. Mech. Eng. 1955, 169, 1063–1080. [Google Scholar] [CrossRef]
  2. Cao, Y.; Gao, M. Wickless network heat pipes for high heat flux spreading applications. Int. J. Heat Mass Transf. 2002, 45, 2539–2547. [Google Scholar] [CrossRef]
  3. Vincent, C.; Kok, J. Investigation of the overall transient performance of the industrial two-phase closed loop thermosyphon. Int. J. Heat Mass Transf. 1992, 35, 1419–1426. [Google Scholar] [CrossRef]
  4. Siddiqui, M. Heat transfer and fluid flow studies in the collector tubes of a closed-loop natural circulation solar water heater. Energy Convers. Manag. 1997, 38, 799–812. [Google Scholar] [CrossRef]
  5. Kircher, F.; Bredy, P.; Calvo, A.; Cure, B.; Campi, D.; Desirelli, A.; Fabbricatore, P.; Farinon, S.; Herve, A.; Horvath, I.; et al. Final design of the CMS solenoid cold mass. IEEE Trans. Appl. Supercond. 2000, 10, 407–410. [Google Scholar] [CrossRef]
  6. Brédy, P.; Juster, F.; Baudouy, B.; Benkheira, L.; Cazanou, M. Experimental and Theoretical Study of a Two Phase Helium High Circulation Loop. AIP Conf. Proc. 2006, 823, 496–503. [Google Scholar] [CrossRef]
  7. Keller, J. Periodic oscillations in a model of thermal convection. J. Fluid Mech. 1966, 26, 599–606. [Google Scholar] [CrossRef]
  8. Welander, P. On the oscillatory instability of a differentially heated fluid loop. J. Fluid Mech. 1967, 29, 17–30. [Google Scholar] [CrossRef]
  9. Zvirin, Y. A review of natural circulation loops in pressurized water reactors and other systems. Nucl. Eng. Des. 1982, 67, 203–225. [Google Scholar] [CrossRef]
  10. Heisler, M.P. Development of scaling requirements for natural convection liquid-metal fast breeder reactor shutdown heat removal test facilities. Nucl. Sci. Eng. 1982, 80, 347–359. [Google Scholar] [CrossRef]
  11. Misale, M.; Frogheri, M. Stabilization of a single-phase natural circulation loop by pressure drops. Exp. Therm. Fluid Sci. 2001, 25, 277–282. [Google Scholar] [CrossRef]
  12. Vijayan, P.; Sharma, M.; Saha, D. Steady state and stability characteristics of single-phase natural circulation in a rectangular loop with different heater and cooler orientations. Exp. Therm. Fluid Sci. 2007, 31, 925–945. [Google Scholar] [CrossRef]
  13. Pilkhwal, D.; Ambrosini, W.; Forgione, N.; Vijayan, P.; Saha, D.; Ferreri, J. Analysis of the unstable behaviour of a single-phase natural circulation loop with one-dimensional and computational fluid-dynamic models. Ann. Nucl. Energy 2007, 34, 339–355. [Google Scholar] [CrossRef]
  14. Devia, F.; Misale, M. Analysis of the effects of heat sink temperature on single-phase natural circulation loops behaviour. Int. J. Therm. Sci. 2012, 59, 195–202. [Google Scholar] [CrossRef]
  15. Mousavian, S.K.; Misale, M.; D’Auria, F.A.; Salehi, M. Transient and stability analysis in single-phase natural circulation. Ann. Nucl. Energy 2004, 31, 1177–1198. [Google Scholar] [CrossRef]
  16. Kudariyawar, J.Y.; Vaidya, A.M.; Maheshwari, N.K.; Satyamurthy, P. Computational study of instabilities in a rectangular natural circulation loop using 3D CFD simulation. Int. J. Therm. Sci. 2016, 101, 193–206. [Google Scholar] [CrossRef]
  17. Luzzi, L.; Misale, M.; Devia, F.; Pini, A.; Cauzzi, M.; Fanale, F.; Cammi, A. Assessment of analytical and numerical models on experimental data for the study of single-phase natural circulation dynamics in a vertical loop. Chem. Eng. Sci. 2017, 162, 262–283. [Google Scholar] [CrossRef]
  18. Világi, F.; Knížat, B.; Mlkvik, M.; Olšiak, R.; Mlynár, P.; Ridzoň, F.; Urban, F. Leakage estimation of the high-pressure and high-temperature natural circulation helium loop. Ann. Nucl. Energy 2020, 146, 107584. [Google Scholar] [CrossRef]
  19. Vach, M.; Knízat, B.; Mlynár, P. Analysis of numerical methods suitable for 1D simulation of thermosyphons. AIP Conf. Proc. 2019, 2118, 030046. [Google Scholar] [CrossRef]
  20. Kralik, J.; Stiegler, P.; Vostry, Z.; Zavorka, J. Dynamic Modeling of Large-Scale Networks with Application to Gas Distribution; Elsevier, Amsterdam; 1988. Available online: https://www.osti.gov/biblio/5083155 (accessed on 21 September 2022).
  21. Anderson, J.D., Jr. (Ed.) Computational Fluid Dynamics: The Basics with Applications; McGraw-Hill Series in Mechanical Engineering; McGraw-Hill: New York, NY, USA, 1995. [Google Scholar]
Figure 1. Test facility.
Figure 1. Test facility.
Applsci 13 02826 g001
Figure 2. The base scheme of the helium loop STU.
Figure 2. The base scheme of the helium loop STU.
Applsci 13 02826 g002
Figure 3. The fixed and floating computational grids.
Figure 3. The fixed and floating computational grids.
Applsci 13 02826 g003
Figure 4. Scenario 3; interval 1.
Figure 4. Scenario 3; interval 1.
Applsci 13 02826 g004
Figure 5. Scenario 3; interval 2.
Figure 5. Scenario 3; interval 2.
Applsci 13 02826 g005
Figure 6. Scenario 4; interval 1.
Figure 6. Scenario 4; interval 1.
Applsci 13 02826 g006
Figure 7. Scenario 4; interval 2.
Figure 7. Scenario 4; interval 2.
Applsci 13 02826 g007
Figure 8. Scenario 5; interval 1.
Figure 8. Scenario 5; interval 1.
Applsci 13 02826 g008
Figure 9. Scenario 5; interval 2.
Figure 9. Scenario 5; interval 2.
Applsci 13 02826 g009
Figure 10. Scenario 6; interval 1.
Figure 10. Scenario 6; interval 1.
Applsci 13 02826 g010
Figure 11. Scenario 6; interval 2.
Figure 11. Scenario 6; interval 2.
Applsci 13 02826 g011
Figure 12. Scenario 8; interval 1.
Figure 12. Scenario 8; interval 1.
Applsci 13 02826 g012
Figure 13. Scenario 8; interval 2.
Figure 13. Scenario 8; interval 2.
Applsci 13 02826 g013
Figure 14. Scenario 13; interval 1.
Figure 14. Scenario 13; interval 1.
Applsci 13 02826 g014
Figure 15. Scenario 13; interval 2.
Figure 15. Scenario 13; interval 2.
Applsci 13 02826 g015
Table 1. Simulation error estimation. Average relative errors.
Table 1. Simulation error estimation. Average relative errors.
Scenario—IntervalTime Interval (s) T He 1 , err (%) T He 8 , err (%) p He 1 , err (%)
Scenario 3—interval 14200 ÷ 15,9004.1211.611.02
Scenario 3—interval 217,000 ÷ 24,20021.2218.026.43
Scenario 4—interval 11000 ÷ 19,0002.182.083.08
Scenario 4—interval 220,000 ÷ 25,0003.193.563.44
Scenario 5—interval 12000 ÷ 12,2005.216.896.25
Scenario 5—interval 215,000 ÷ 25,0005.654.106.77
Scenario 6—interval 11000 ÷ 82004.354.642.48
Scenario 6—interval 213,000 ÷ 23,8007.356.454.56
Scenario 8—interval 1800 ÷ 125009.479.673.71
Scenario 8—interval 215,000 ÷ 25,0007.717.662.64
Scenario 13—interval 1500 ÷ 86004.287.286.26
Scenario 13—interval 210,000 ÷ 22,0002.942.443.96
Disclaimer/Publisher’s Note: The statements, opinions and data contained in all publications are solely those of the individual author(s) and contributor(s) and not of MDPI and/or the editor(s). MDPI and/or the editor(s) disclaim responsibility for any injury to people or property resulting from any ideas, methods, instructions or products referred to in the content.

Share and Cite

MDPI and ACS Style

Knížat, B.; Vach, M.; Mlkvik, M.; Mlynár, P.; Világi, F.; Olšiak, R.; Urban, F. Numerical and Experimental Study of a Large-Scale Natural Circulation Helium Loop. Appl. Sci. 2023, 13, 2826. https://doi.org/10.3390/app13052826

AMA Style

Knížat B, Vach M, Mlkvik M, Mlynár P, Világi F, Olšiak R, Urban F. Numerical and Experimental Study of a Large-Scale Natural Circulation Helium Loop. Applied Sciences. 2023; 13(5):2826. https://doi.org/10.3390/app13052826

Chicago/Turabian Style

Knížat, Branislav, Matej Vach, Marek Mlkvik, Peter Mlynár, František Világi, Róbert Olšiak, and František Urban. 2023. "Numerical and Experimental Study of a Large-Scale Natural Circulation Helium Loop" Applied Sciences 13, no. 5: 2826. https://doi.org/10.3390/app13052826

APA Style

Knížat, B., Vach, M., Mlkvik, M., Mlynár, P., Világi, F., Olšiak, R., & Urban, F. (2023). Numerical and Experimental Study of a Large-Scale Natural Circulation Helium Loop. Applied Sciences, 13(5), 2826. https://doi.org/10.3390/app13052826

Note that from the first issue of 2016, this journal uses article numbers instead of page numbers. See further details here.

Article Metrics

Back to TopTop