Next Article in Journal
Comparative Analysis of Partially Renewable Composite Fuels Based on Peat, Lignite and Plant Oil
Next Article in Special Issue
Numerical Analysis Applying the Finite Element Method by Developing a Complex Three-Dimensional Biomodel of the Biological Tissues of the Elbow Joint Using Computerized Axial Tomography
Previous Article in Journal
Optimal Complex Morlet Wavelet Parameters for Quantitative Time-Frequency Analysis of Molecular Vibration
Previous Article in Special Issue
In-Vivo Quantification of Knee Deep-Flexion in Physiological Loading Condition trough Dynamic MRI
 
 
Font Type:
Arial Georgia Verdana
Font Size:
Aa Aa Aa
Line Spacing:
Column Width:
Background:
Article

Biomechanical Analysis of Femoral Stem Features in Hinged Revision TKA with Valgus or Varus Deformity: A Comparative Finite Elements Study

BEAMS Department (Bio Electro and Mechanical Systems), Université Libre de Bruxelles, 1050 Brussels, Belgium
*
Author to whom correspondence should be addressed.
Appl. Sci. 2023, 13(4), 2738; https://doi.org/10.3390/app13042738
Submission received: 12 January 2023 / Revised: 16 February 2023 / Accepted: 17 February 2023 / Published: 20 February 2023
(This article belongs to the Special Issue Advanced Imaging in Orthopedic Biomechanics)

Abstract

Featured Application

The present study intends to help and support clinicians and specialists in the decision process concerning the length and type of stems to use in case varus–valgus deformity is present in a patient.

Abstract

Hinged total knee arthroplasty (TKA) is a valid option to treat patients during revision of an implant; however, in case of varus/valgus deformity, the force transmission from the femur to the tibia could be altered and therefore the performance of the implant could be detrimental. To be able to evaluate this, the goal of this study was to investigate, using a validated finite element analysis, the effect of varus/valgus load configurations in the bones when a hinged TKA is used. In detail, short and long stem lengths (50 mm, and 120 mm), were analyzed both under cemented or press-fit fixation under the following varus and valgus deformity: 5°, 10°, 20°, and 30°. The main outputs of the study were average bone stress in different regions of interest, together with tibio-femoral contact pressure and force. Results demonstrated that changes in the varus or valgus deformity degrees induce a change in the medio-lateral stress and force distribution, together with a change in the contact area. The effect of stem length and cement do not alter the tibio-femoral contact biomechanics but its effect is mainly localized in the distal femoral region, and it is negligible in the proximal regions.

1. Introduction

Achieving the correct alignment in total knee arthroplasty (TKA) is an important factor to restore biomechanical functions of the knee (such as soft tissue balancing and joint line) and prevent early implant failure, thus guaranteeing long-term survival of the implant [1,2,3]. In detail, the alignment of the prosthesis components on the frontal plane strongly influences the distribution of tibio-femoral contact forces between the two tibial plateau compartments: biomechanical studies report that varus misalignment causes overload on the medial side while valgus misalignment leads to increased tibio-femoral force in the lateral side [4]. As a result of these deviations, the non-physiological loading of the knee enhances degeneration of the joint and causes overloads on the bone-implant interface and in the bone itself.
Alterations of the natural alignment, therefore, may lead to early aseptic loosening, polyethylene wear, erroneous patellofemoral tracking, instability and infection [2,5]; all of these factors are usually associated with TKA failure, which consequently leads to the need of a revision total knee replacement.
Together with alignment, the choice of an adequate level of constraint is essential to ensure successful clinical outcomes and long-term TKA survival [6]; this is even more important when dealing with revision surgeries.
The rotating hinge (RH) prosthesis represents a common solution among the different models available for revision procedures, as thanks to this degree of freedom around the tibial axis, this model is able to achieve reduced shear stress at the bone-cement interface, compared to other devices [7,8,9,10,11]. It is important to mention that this kind of implant can also be used as an alternative to primary TKA, in case of complex situations, such as extreme joint deformities [7,12].
The main issues addressed with the use of a RH TKA are therefore large ligamentous instability, severe bone loss, distal femoral or proximal tibial defects (resulting from injury or tumor) and severe varus or valgus deformities [13,14,15].
The design of a rotating hinge prosthesis usually consists of a femoral component and a tibial one (constrained among each other with a rotating hinge mechanism) and of a polyethylene insert placed between these two elements, in order to prevent luxation without reducing the range of motion [16].
The current designs are available in multiple sizes and present modularity, with sets of different features/stem lengths to allow for the different possible fixation techniques; this variety of possibilities represents thus a worthwhile opportunity, especially in revision patients where deficiencies of the bone cannot be totally predicted [17].
Stem length, among the other parameters, covers a crucial role in the overall success of the reconstruction. Usually, the choice of which length to use is largely determined by the stem fixation technique selected: in modern revision TKA, the options are usually fully cemented and press-fit fixation [18,19,20,21].
Despite its advantages, this kind of implant also implies the relative risks of mechanical failure and infection [9,22,23,24], which can furthermore increase in case of eventual patient joint deformities. The level of constraint provided by the rotating hinge, paired with the use of different stems and/or fixation approached, may therefore lead to eventual over-constraining issues affecting the tibio-femoral and/or the bone-implant interactions; a more comprehensive guideline on the suggested use and optimal configuration of these implants (when mainly aimed to address high deformities) is however still missing.
The present study intends to help and support clinicians and specialists, assisting the decision process concerning the length and type of stems to use in case varus–valgus deformity is present in a patient. A numerical biomechanical study was therefore performed in order to evaluate the effects and performances of different configurations of RH TKA prosthesis in patients with severe valgus and varus deformities, in terms of distribution of forces and relative contact areas on the polyethylene insert when different lengths of femoral stems are used, considering both fixation types (cemented and press-fit) and in terms of average bone stress in different regions of interests.

2. Materials and Methods

The model was developed based on an already validated and published knee finite element model [25,26,27].
Finite elements analysis approach was selected since it guarantees a great comparative potential, allowing to change any single parameter of the model in order to precisely analyze its influence on the outcomes while leaving the other boundary conditions unchanged [28,29,30].
The following features were implemented in the models.

2.1. Geometry & Configurations

The three-dimensional model of a femur, divided in cortical and cancellous bone, was obtained from CT scans of a right-side Sawbone synthetic bone (Sawbones Europe AB, Limhamn, Sweden), following an approach widely used for numerical and experimental tests [2,31,32,33,34,35,36].
A right side, medium size endo-model rotating hinge knee prosthesis (Waldemar Link GMBH & Co., Hamburg, Germany) was considered for the study and the relative geometries were obtained from a previous study [21].
Different angles of valgus and varus deformities of the femur were considered (5°, 10°, 20°, and 30°, considering a 0° configuration as the physiological control) and the relative models were implemented. For each configuration, two femoral stem lengths (50, 120 mm) and two types of fixations (cemented or press-fit) were tested; tibial tray component and polyethylene insert sizes were kept the same in each configuration, together with the tibial stem of 50 mm length. For each of the configurations analyzed, the prosthesis was virtually implanted into the femoral bone following the manufacturer’s surgical technique (therefore considered to be the ideal positioning of the implant, according to the patient configuration [21]). In the cemented configuration, the stem was positioned in the center of the intramedullary canal and surrounded by a homogeneous cement mantle, obtained by filling a previously reamed hole and subtracting the stem volume, simulating thus the ideal cementing technique [32].

2.2. Material Properties

According to the literature [2,32,37,38,39], the materials used in this study were assumed to be linear elastic; this was chosen to obtain a better approximation of all materials, in order to achieve a qualitative comparison among different configurations [2]. In particular, the material for the femoral component and the tibial tray was considered as cobalt-chromium (CoCr), whereas the material of the tibial insert was ultra-high-molecular-weight-polyethylene (UHMWPE). These materials were assumed to be homogeneous and isotropic [2,32,40]. The material used for the bone cement (Polymethyl-methacrylate, PMMA) in the relative configurations was considered homogeneous and isotropic [2,11]. The material properties in terms of Young’s modulus (E) and Poisson’s ratio (ν) are available in Table 1 [2,32,37].
The cortical bone, according to previous studies, was considered transversely isotropic [2,8,41,42]; the cancellous bone was instead considered linear isotropic [2,32,43].
The material properties used are reported in Table 2.

2.3. Finite Element Analysis and Boundary Conditions

Abaqus/Standard version 6.19 (Dassault Systèmes, Vélizy-Villacoublay, France) was used to assemble all parts of the prosthesis with femur bone, in order to perform all the finite element simulations.
Each model was meshed using tetrahedral elements with a size between 1 mm and 3 mm. A refinement of mesh was performed in the contact area of the internal components of the implant, and in the tibio-femoral and bone-implant interface sections to make sure that the selected mesh was the proper one to achieve the sought after results: to check the quality of the mesh and the proper size, a convergence test was thus performed [2,20] and is available in the Supplementary Materials.
According to the previously published study [21], surface-to-surface contacts were implemented for the definition of all contacts, i.e., among the components involved in the hinge mechanism, between the insert and the femoral component of the prosthesis and between the implant and the bone.
Each configuration analyzed was tested under the same total load conditions, i.e., the proximal part of the femur constrained and a total vertical compressive force of 1000 N applied to the inferior face of the tibial tray. The subdivision of this total force on the two sides of the tibial tray was then used as a parameter in order to model the different levels of varus/valgus deformities: a simplified model in the literature [11] allowed indeed to obtain the percentage of force distribution in the medial and lateral regions of the tibial component for each angle of deformity (based on the equilibrium of forces and moments in the frontal plane), and was therefore taken as reference. The percentages of force distribution in the medial and lateral compartments obtained from this mathematical model are reported in Table 3.
These percentages were therefore used in the present study to determine the subdivision of the total force on the medial and lateral sides, and the resulting forces were applied on the respective side of the tibial tray plateau (see Figure 1), as input loads for the FE simulations.
Each varus/valgus aligned configuration was statically analyzed in full extension, analyzing two femoral stem lengths (50, and 120 mm) and considering both types of fixations examined (cemented or press-fit).
For all of the configurations tested, the output for the finite element analysis was the medial and lateral tibio-femoral contact force and the relative contact area in the polyethylene insert, together with the average von Mises stress [44,45,46,47,48] in different regions of interest of the bone; in detail, in agreement with previous studies [20,21], the femoral shaft was subdivided in eight regions of interest, each with a height of 30 mm (Figure 2).

3. Results

Figure 3 concerns the cemented stem of 50 mm length, and reports the graphical overview of the average von Mises stress and contact pressure and area on the polyethylene insert for the different angles of deformity addressed.
From the figure, it is possible to note a change in the distribution of the stress and of the contact pressure on the tibial insert, that translates from lateral to medial when switching from valgus to varus configurations. Addressing the position of the contact point, the results show that the lateral contact is mainly located in the posterior section of the compartment while the medial contact point is mainly in the anterior one.
From a quantitative point of view, Table 4 and Table 5 report, respectively, the values of medial and lateral contact forces and the values of the medial and lateral contact areas for the different configurations and for different stem lengths and cementing techniques.
From these two tables, it is possible to note that the differences in terms of tibio-femoral contact relative to a change of stem lengths or fixation approach are negligible if compared to the changes induced by a different varus/valgus angle.
Figure 4 then reports, for the cemented 50 mm stem, different results relative to the medial side expressed as a percentage of their total on both sides; in detail, the different tibio-femoral contact forces and areas are represented in relation to the varus/valgus angles, together with the values of the input forces applied on the distal surface of the tibial insert (as a control for a comparative point of view).
It is possible to notice that each parameter presents a different trend, with the contact area being less sensible to changes of the varus/valgus angle (with a range of 9–58%) while the contact force is more sensible (with a range of 5–75%).
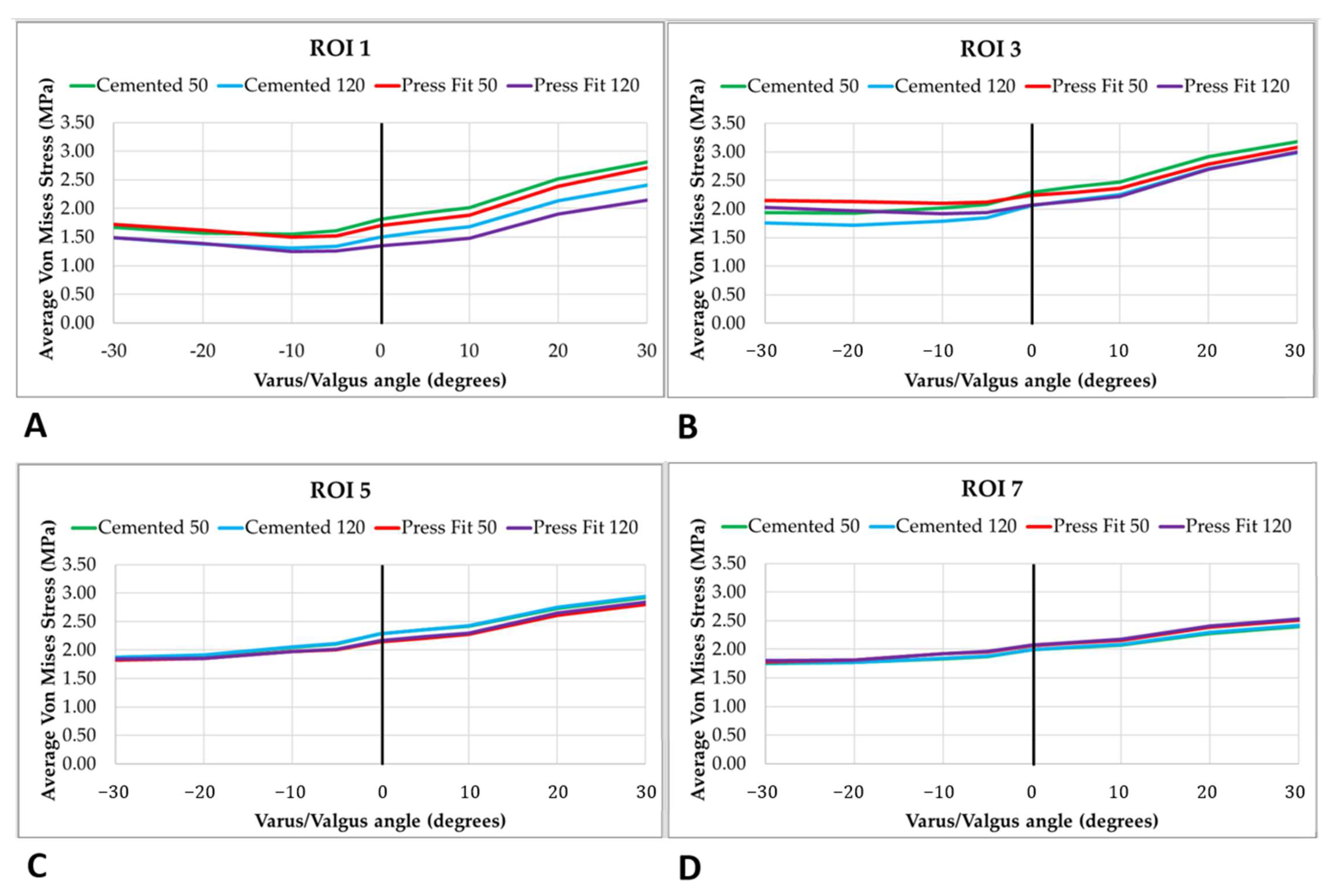
While the tibio-femoral contact forces and areas returned to be mostly insensible to variations of the stem length and fixation approach, the femoral bone showed to be influenced by these variations in terms of bone stress distributions in the different regions of interest addressed. Figure 5 reports the variations in terms of the average von Mises stress for ROI 1, 3, 5, and 7, according to the different configurations of stem length, fixation, and varus–valgus angle.
The detailed values for the four different models are reported in Table 6, Table 7, Table 8 and Table 9.
From Figure 5, it is thus possible to see that each model induces a different stress distribution, especially in the distal femoral region (ROI 1), and that the differences are instead lower in the proximal regions (ROI 7). Moreover, it is also possible to see that, for each configuration analyzed, the change in average von Mises stress is mostly insensible to changes of the valgus angle (with a variation curve almost horizontal) while it is moderately sensible to changes in terms of the varus angle.
Analyzing the proximal regions in detail, it is possible to see that in ROI 1 the short stem is characterized by a higher average stress (almost the same for cemented and press-fit fixation) while the press-fit long stem is characterized by lower stresses, especially in the varus conditions: this outcome is reasonably due to the stress shielding effect related to the longer stems, which consequently leads to slightly higher stresses in the regions close to the stem tip.

4. Discussion

In this study, a series of finite element simulations was performed in order to evaluate the effects on the insert and bones of different configurations of RH TKA prosthesis, in terms of valgus and varus deformities, lengths of femoral stems, and fixation approaches.
The results found returned that, overall, the tibio-femoral contact forces and areas are not considerably influenced by variations of stem length and fixation approach while varus/valgus variations lead to relative changes (varying according to the parameter analyzed and to the gravity of the deformity). Moreover, the femoral bone stress distribution was determined to be influenced by the variations in the prosthesis design and fixation, with further differences found in relation to the region of interest considered.
Addressing more in depth, the outcomes of the tibio-femoral interface, the reason behind the lower sensibility of the contact area to varus/valgus angles and the overall insensibility to the variations in stem length and fixation approach is indeed to be found in the design of the RH TKA itself. In detail the central constraint, which allows internal-external rotations and superior-inferior translations, does not enable any other degree of freedom and thus contributes to maintain the tibio-femoral interactions to be more constant. For this reason, indeed, changes in the contact area are remarkably low in varus deformities ranging from 0° to 30° (less than 20% variation in terms of contact area, while slightly higher values are found in terms of force), even if the difference in the input forces is greater than 35%. These outcomes are then in agreement with several clinical studies focused on endo-model hinged TKAs, which reported its stability and absence of cases of wear due to overloading of the polyethylene [13,15,49]. Moreover, a recently published study [50] on the use of the rotating hinge and followed over 10-years concluded that using a specific RH TKA design with less rotational constraint has better clinical and survival outcomes than implants with greater rotational constraint (such as one specific CCK addressed in the study) in case of varus and valgus deformities.
Addressing then the outcomes in terms of femoral bone stress, the results highlighted how these values are influenced more by the stem length and fixation rather than the values of varus and valgus deformities; these results are indeed in agreement with that found in the literature concerning the effects of stem design [20,21] and moreover demonstrate the ability of this prosthesis to maintain similar outcomes in terms of bone-prosthesis interactions, despite the different levels of deformity of the patient joint.
It is however to be mentioned that this study presents a series of limitations. Firstly, only one implant model was considered, with a single size and typology being analyzed; a single angle of flection was then simulated for all of the configurations. These two restrictions may indeed represent a limitation for the generalization of the results, but it is to be highlighted that these choices allowed to perform a comparative study focused on the specific parameters taken into consideration, thus obtaining meaningful information that can therefore represent an interesting insight for the surgeons during the decision-making process. Addressing the finite element models, it is to be mentioned that the material models used to simulate the bones in this study implied a series of assumptions: indeed, no bone activity was considered in the simulations and therefore the variations in femoral mechanic characteristic, usually occurring in response to the different loading conditions the joint undergoes [51,52,53,54], are not taken into account. Despite these latter limitations, however, these models were developed based on previously published and validated ones [21] and therefore the results they provided can be considered reliable, as they are furthermore in agreement with the literature [2,20,21].
Concerning the validation of the model, it is to be mentioned that no direct validation was performed for this study; however, it is to be considered that the model used was implemented starting from validated models that can be found in previously published studies [21,25,26,27], and therefore can be considered as reliable in its results.

5. Conclusions

This study provided interesting information on the influence of varus/valgus deformities of different levels of severity on the performances of different configurations of rotating hinged TKA, showing how the prosthesis design features mainly alter the bone stress distribution while varus/valgus deformities are the main responsible factors for variations in tibio-femoral contact forces and areas.
This result represents an interesting information for the surgeons: for implants characterized by high level of constraint, indeed, alterations in the bending and torsional stiffness and moments might occur if the stem length and fixation are modified, and they would therefore be transferred to the tibio-femoral interface of the implant; this eventuality may thus condition the surgeon’s choice, which may aim for a compromise in order to avoid any tibio-femoral issues deriving from these alterations. The results of this study showed instead that, in the case of the rotating hinge analyzed, no remarkable mechanical consequences on the tibio-femoral interface are found despite variations in stem and fixation configuration; the surgeon can therefore focus their decisions on optimizing the bone-implant interface, without the need for finding a compromise in the fear of altering excessively the tibio-femoral biomechanics.

Supplementary Materials

The following supporting information can be downloaded at: https://www.mdpi.com/article/10.3390/app13042738/s1, Convergence Test.

Author Contributions

Conceptualization, E.B. and B.I.; methodology, B.I.; software, B.I.; formal analysis, E.B. and B.I.; investigation, E.B. and B.I.; data curation, B.I.; writing—original draft preparation, E.B. and B.I.; writing—review and editing, E.B.; visualization, B.I.; supervision, B.I.; project administration, B.I. All authors have read and agreed to the published version of the manuscript.

Funding

This research received no external funding.

Institutional Review Board Statement

Not applicable.

Informed Consent Statement

Not applicable.

Data Availability Statement

Not applicable.

Conflicts of Interest

The authors declare no conflict of interest.

References

  1. Ritter, M.A.; Davis, K.E.; Meding, J.B.; Pierson, J.L.; Berend, M.E.; Malinzak, R.A. The Effect of Alignment and BMI on Failure of Total Knee Replacement. J. Bone Jt. Surg. 2011, 93, 1588–1596. [Google Scholar] [CrossRef] [PubMed]
  2. Innocenti, B.; Bellemans, J.; Catani, F. Deviations from Optimal Alignment in TKA: Is There a Biomechanical Difference Between Femoral or Tibial Component Alignment? J. Arthroplast. 2016, 31, 295–301. [Google Scholar] [CrossRef] [PubMed]
  3. Innocenti, B. Knee Prosthesis: Biomechanics and Design. In Human Orthopaedic Biomechanics; Elsevier: Amsterdam, The Netherlands, 2022; pp. 377–407. [Google Scholar]
  4. Sharma, L.; Song, J.; Dunlop, D.; Felson, D.; Lewis, C.E.; Segal, N.; Torner, J.; Cooke, T.D.V.; Hietpas, J.; Lynch, J.; et al. Varus and Valgus Alignment and Incident and Progressive Knee Osteoarthritis. Ann. Rheum. Dis. 2010, 69, 1940–1945. [Google Scholar] [CrossRef] [PubMed]
  5. Becker, R.; Tandogan, R.; Violante, B. Alignment in Total Knee Arthroplasty. Knee Surg. Sport. Traumatol. Arthrosc. 2016, 24, 2393–2394. [Google Scholar] [CrossRef]
  6. Castellarin, G.; Bori, E.; Rapallo, L.; Pianigiani, S.; Innocenti, B. Biomechanical Analysis of Different Levels of Constraint in TKA during Daily Activities. Arthroplasty 2023, 5, 3. [Google Scholar] [CrossRef]
  7. Guenoun, B.; Latargez, L.; Freslon, M.; Defossez, G.; Salas, N.; Gayet, L.-E. Complications Following Rotating Hinge Endo-Modell (Link®) Knee Arthroplasty. Orthop. Traumatol. Surg. Res. 2009, 95, 529–536. [Google Scholar] [CrossRef]
  8. Andreani, L.; Pianigiani, S.; Bori, E.; Lisanti, M.; Innocenti, B. Analysis of Biomechanical Differences Between Condylar Constrained Knee and Rotating Hinged Implants: A Numerical Study. J. Arthroplast. 2020, 35, 278–284. [Google Scholar] [CrossRef]
  9. Sanguineti, F.; Mangano, T.; Formica, M.; Franchin, F. Total Knee Arthroplasty with Rotating-Hinge Endo-Model Prosthesis: Clinical Results in Complex Primary and Revision Surgery. Arch. Orthop. Trauma Surg. 2014, 134, 1601–1607. [Google Scholar] [CrossRef]
  10. Zhao, D.; Banks, S.A.; D’Lima, D.D.; Colwell, C.W.; Fregly, B.J. In Vivo Medial and Lateral Tibial Loads during Dynamic and High Flexion Activities. J. Orthop. Res. 2007, 25, 593–602. [Google Scholar] [CrossRef]
  11. Halder, A.; Kutzner, I.; Graichen, F.; Heinlein, B.; Beier, A.; Bergmann, G. Influence of Limb Alignment on Mediolateral Loading in Total Knee Replacement. J. Bone Jt. Surg. 2012, 94, 1023–1029. [Google Scholar] [CrossRef]
  12. Dauwe, J.; Vandenneucker, H. Indications for Primary Rotating-Hinge Total Knee Arthroplasty. Is There Consensus? Acta Orthop. Belg. 2018, 84, 245–250. [Google Scholar]
  13. Gehrke, T.; Mommsen, P. 55 Hinged Implants for Revision Total Knee Replacement. In The Unhappy Total Knee Replacement; Springer International Publishing: Cham, Switzerland, 2015; pp. 663–669. [Google Scholar]
  14. Hernández-Vaquero, D.; Sandoval-García, M.A. Hinged Total Knee Arthroplasty in the Presence of Ligamentous Deficiency. Clin. Orthop. Relat. Res. 2010, 468, 1248–1253. [Google Scholar] [CrossRef] [PubMed]
  15. Mavrodontidis, A.N.; Andrikoula, S.I.; Kontogeorgakos, V.A.; Babis, G.C.; Xenakis, T.A.; Beris, A.E.; Soucacos, P.N. Application of the Endomodel Rotating Hinge Knee Prosthesis for Knee Osteoarthritis. J. Surg. Orthop. Adv. 2008, 17, 179–184. [Google Scholar] [PubMed]
  16. Rong, Q.; Bai, J.; Huang, Y.; Lin, J. Biomechanical Assessment of a Patient-Specific Knee Implant Design Using Finite Element Method. Biomed Res. Int. 2014, 2014, 353690. [Google Scholar] [CrossRef]
  17. Manning, D.W.; Chiang, P.P.; Freiberg, A.A. Hinge Implants. In Revision Total Knee Arthroplasty; Springer-Verlag: New York, NY, USA; pp. 219–236.
  18. Patel, A.R.; Barlow, B.; Ranawat, A.S. Stem Length in Revision Total Knee Arthroplasty. Curr. Rev. Musculoskelet. Med. 2015, 8, 407–412. [Google Scholar] [CrossRef]
  19. Conlisk, N.; Gray, H.; Pankaj, P.; Howie, C.R. The Influence of Stem Length and Fixation on Initial Femoral Component Stability in Revision Total Knee Replacement. Bone Jt. Res. 2012, 1, 281–288. [Google Scholar] [CrossRef]
  20. Innocenti, B.; Bori, E.; Pianigiani, S. Biomechanical Analysis of the Use of Stems in Revision Total Knee Arthroplasty. Bioengineering 2022, 9, 259. [Google Scholar] [CrossRef]
  21. Bori, E.; Armaroli, F.; Innocenti, B. Biomechanical Analysis of Femoral Stems in Hinged Total Knee Arthroplasty in Physiological and Osteoporotic Bone. Comput. Methods Programs Biomed. 2022, 213, 106499. [Google Scholar] [CrossRef]
  22. Bourbotte-Salmon, F.; Ferry, T.; Cardinale, M.; Servien, E.; Rongieras, F.; Fessy, M.-H.; Bertani, A.; Laurent, F.; Buffe-Lidove, M.; Batailler, C.; et al. Rotating Hinge Knee Arthroplasty for Revision Prosthetic-Knee Infection: Good Functional Outcomes but a Crucial Need for Superinfection Prevention. Front. Surg. 2021, 8, 388. [Google Scholar] [CrossRef]
  23. Utting, M.R.; Newman, J.H. Customised Hinged Knee Replacements as a Salvage Procedure for Failed Total Knee Arthroplasty. Knee 2004, 11, 475–479. [Google Scholar] [CrossRef] [PubMed]
  24. Rodríguez-Merchán, E.C. Total Knee Arthroplasty Using Hinge Joints: Indications and Results. EFORT Open Rev. 2019, 4, 121–132. [Google Scholar] [CrossRef] [PubMed]
  25. Innocenti, B.; Bilgen, Ö.F.; Labey, L.; van Lenthe, G.H.; Vander Sloten, J.; Catani, F. Load Sharing and Ligament Strains in Balanced, Overstuffed and Understuffed UKA. A Validated Finite Element Analysis. J. Arthroplast. 2014, 29, 1491–1498. [Google Scholar] [CrossRef]
  26. van Jonbergen, H.-P.W.; Innocenti, B.; Gervasi, G.; Labey, L.; Verdonschot, N. Differences in the Stress Distribution in the Distal Femur between Patellofemoral Joint Replacement and Total Knee Replacement: A Finite Element Study. J. Orthop. Surg. Res. 2012, 7, 28. [Google Scholar] [CrossRef]
  27. Catani, F.; Innocenti, B.; Belvedere, C.; Labey, L.; Ensini, A.; Leardini, A. The Mark Coventry Award Articular: Contact Estimation in TKA Using In Vivo Kinematics and Finite Element Analysis. Clin. Orthop. Relat. Res. 2010, 468, 19–28. [Google Scholar] [CrossRef] [PubMed]
  28. Heller, M.O. Finite Element Analysis in Orthopedic Biomechanics. In Human Orthopaedic Biomechanics; Elsevier: Amsterdam, The Netherlands, 2022; pp. 637–658. [Google Scholar]
  29. Innocenti, B.; Bori, E.; Armaroli, F.; Schlager, B.; Jonas, R.; Wilke, H.-J.; Galbusera, F. The Use of Computational Models in Orthopedic Biomechanical Research. In Human Orthopaedic Biomechanics; Elsevier: Amsterdam, The Netherlands, 2022; pp. 681–712. [Google Scholar]
  30. Pianigiani, S.; Innocenti, B. The Use of Finite Element Modeling to Improve Biomechanical Research on Knee Prosthesis; Nova Science Publishers: Hauppauge, NY, USA, 2015. [Google Scholar]
  31. Brihault, J.; Navacchia, A.; Pianigiani, S.; Labey, L.; De Corte, R.; Pascale, V.; Innocenti, B. All-Polyethylene Tibial Components Generate Higher Stress and Micromotions than Metal-Backed Tibial Components in Total Knee Arthroplasty. Knee Surg. Sport. Traumatol. Arthrosc. 2016, 24, 2550–2559. [Google Scholar] [CrossRef] [PubMed]
  32. El-Zayat, B.F.; Heyse, T.J.; Fanciullacci, N.; Labey, L.; Fuchs-Winkelmann, S.; Innocenti, B. Fixation Techniques and Stem Dimensions in Hinged Total Knee Arthroplasty: A Finite Element Study. Arch. Orthop. Trauma Surg. 2016, 136, 1741–1752. [Google Scholar] [CrossRef] [PubMed]
  33. Soenen, M.; Baracchi, M.; De Corte, R.; Labey, L.; Innocenti, B. Stemmed TKA in a Femur With a Total Hip Arthroplasty. J. Arthroplast. 2013, 28, 1437–1445. [Google Scholar] [CrossRef]
  34. Viceconti, M.; Casali, M.; Massari, B.; Cristofolini, L.; Bassini, S.; Toni, A. The “Standardized Femur Program” Proposal for a Reference Geometry to Be Used for the Creation of Finite Element Models of the Femur. J. Biomech. 1996, 29, 1241. [Google Scholar] [CrossRef]
  35. van Eijnatten, M.; van Dijk, R.; Dobbe, J.; Streekstra, G.; Koivisto, J.; Wolff, J. CT Image Segmentation Methods for Bone Used in Medical Additive Manufacturing. Med. Eng. Phys. 2018, 51, 6–16. [Google Scholar] [CrossRef]
  36. McNamara, B.P.; Cristofolini, L.; Toni, A.; Taylor, D. Relationship between Bone-Prosthesis Bonding and Load Transfer in Total Hip Reconstruction. J. Biomech. 1997, 30, 621–630. [Google Scholar] [CrossRef]
  37. Innocenti, B.; Pianigiani, S.; Ramundo, G.; Thienpont, E. Biomechanical Effects of Different Varus and Valgus Alignments in Medial Unicompartmental Knee Arthroplasty. J. Arthroplast. 2016, 31, 2685–2691. [Google Scholar] [CrossRef] [PubMed]
  38. Kayabasi, O.; Ekici, B. The Effects of Static, Dynamic and Fatigue Behavior on Three-Dimensional Shape Optimization of Hip Prosthesis by Finite Element Method. Mater. Des. 2007, 28, 2269–2277. [Google Scholar] [CrossRef]
  39. Sarathi Kopparti, P.; Lewis, G. Influence of Three Variables on the Stresses in a Three-Dimensional Model of a Proximal Tibia-Total Knee Implant Construct. Biomed. Mater. Eng. 2007, 17, 19–28. [Google Scholar] [PubMed]
  40. Ingrassia, T.; Nalbone, L.; Nigrelli, V.; Tumino, D.; Ricotta, V. Finite Element Analysis of Two Total Knee Joint Prostheses. Int. J. Interact. Des. Manuf. 2013, 7, 91–101. [Google Scholar] [CrossRef]
  41. Heiner, A.D. Structural Properties of Fourth-Generation Composite Femurs and Tibias. J. Biomech. 2008, 41, 3282–3284. [Google Scholar] [CrossRef] [PubMed]
  42. Rho, J.-Y.; Kuhn-Spearing, L.; Zioupos, P. Mechanical Properties and the Hierarchical Structure of Bone. Med. Eng. Phys. 1998, 20, 92–102. [Google Scholar] [CrossRef]
  43. Castellarin, G.; Pianigiani, S.; Innocenti, B. Asymmetric Polyethylene Inserts Promote Favorable Kinematics and Better Clinical Outcome Compared to Symmetric Inserts in a Mobile Bearing Total Knee Arthroplasty. Knee Surg. Sport. Traumatol. Arthrosc. 2019, 27, 1096–1105. [Google Scholar] [CrossRef]
  44. Quilez, M.P.; Seral, B.; Pérez, M.A. Biomechanical Evaluation of Tibial Bone Adaptation after Revision Total Knee Arthroplasty: A Comparison of Different Implant Systems. PLoS ONE 2017, 12, e0184361. [Google Scholar] [CrossRef]
  45. Jang, Y.W.; Kwon, S.-Y.; Kim, J.S.; Yoo, O.S.; Lee, M.C.; Lim, D. Alterations in Stress Distribution and Micromotion Characteristics Due to an Artificial Defect within a Composite Tibia Used for Mechanical/Biomechanical Evaluation of Total Knee Arthroplasty. Int. J. Precis. Eng. Manuf. 2015, 16, 2213–2218. [Google Scholar] [CrossRef]
  46. Apostolopoulos, V.; Tomáš, T.; Boháč, P.; Marcián, P.; Mahdal, M.; Valoušek, T.; Janíček, P.; Nachtnebl, L. Biomechanical Analysis of All-Polyethylene Total Knee Arthroplasty on Periprosthetic Tibia Using the Finite Element Method. Comput. Methods Programs Biomed. 2022, 220, 106834. [Google Scholar] [CrossRef]
  47. Kang, K.; Jang, Y.W.; Yoo, O.S.; Jung, D.; Lee, S.-J.; Lee, M.C.; Lim, D. Biomechanical Characteristics of Three Baseplate Rotational Arrangement Techniques in Total Knee Arthroplasty. Biomed Res. Int. 2018, 2018, 9641417. [Google Scholar] [CrossRef]
  48. Du, M.; Sun, J.; Liu, Y.; Wang, Y.; Yan, S.; Zeng, J.; Zhang, K. Tibio-Femoral Contact Force Distribution of Knee Before and After Total Knee Arthroplasty: Combined Finite Element and Gait Analysis. Orthop. Surg. 2022, 14, 1836–1845. [Google Scholar] [CrossRef] [PubMed]
  49. Pradhan, N.R.; Bale, L.; Kay, P.; Porter, M.L. Salvage Revision Total Knee Replacement Using the Endo-Model® Rotating Hinge Prosthesis. Knee 2004, 11, 469–473. [Google Scholar] [CrossRef] [PubMed]
  50. Sanz-Ruiz, P.; León-Román, V.E.; Matas-Diez, J.A.; Villanueva-Martínez, M.; Vaquero, J. Long-Term Outcomes of One Single-Design Varus Valgus Constrained versus One Single-Design Rotating Hinge in Revision Knee Arthroplasty after over 10-Year Follow-Up. J. Orthop. Surg. Res. 2022, 17, 135. [Google Scholar] [CrossRef] [PubMed]
  51. Zhang, L.; Liu, H.; Chen, T.; Yuan, F. Initial Damage Analysis in Bone Cement-Stem Debonding Procession of Cemented Hip Arthropsty. Mater. Des. 2023, 225, 111486. [Google Scholar] [CrossRef]
  52. Buccino, F.; Colombo, C.; Vergani, L.M. A Review on Multiscale Bone Damage: From the Clinical to the Research Perspective. Materials 2021, 14, 1240. [Google Scholar] [CrossRef]
  53. Doblaré, M.; Garcıa, J.M. Application of an Anisotropic Bone-Remodelling Model Based on a Damage-Repair Theory to the Analysis of the Proximal Femur before and after Total Hip Replacement. J. Biomech. 2001, 34, 1157–1170. [Google Scholar] [CrossRef]
  54. Buccino, F.; Zagra, L.; Savadori, P.; Colombo, C.; Grossi, G.; Banfi, G.; Vergani, L. Mapping Local Mechanical Properties of Human Healthy and Osteoporotic Femoral Heads. SSRN Electron. J. 2021, 20, 101229. [Google Scholar] [CrossRef]
Figure 1. Load conditions applied to the model, (A) frontal view, reporting the direction of the forces applied; (B) distal view, reporting the area used for the applied force. FL = lateral force (in blue), FM = medial force (in green).
Figure 1. Load conditions applied to the model, (A) frontal view, reporting the direction of the forces applied; (B) distal view, reporting the area used for the applied force. FL = lateral force (in blue), FM = medial force (in green).
Applsci 13 02738 g001
Figure 2. Regions of interest defined for the present study. All of the regions have a height of 30 mm measured along the femoral anatomical axis.
Figure 2. Regions of interest defined for the present study. All of the regions have a height of 30 mm measured along the femoral anatomical axis.
Applsci 13 02738 g002
Figure 3. Qualitative overview of the von Mises stress distribution (in MPa) on the polyethylene insert and of the contact pressure (in MPa) and area on the polyethylene insert for the different varus/valgus configurations analyzed in the study, for a stem length of 50 mm cemented. M = medial, L = lateral.
Figure 3. Qualitative overview of the von Mises stress distribution (in MPa) on the polyethylene insert and of the contact pressure (in MPa) and area on the polyethylene insert for the different varus/valgus configurations analyzed in the study, for a stem length of 50 mm cemented. M = medial, L = lateral.
Applsci 13 02738 g003
Figure 4. Input force, contact force and contact area relative to different varus/valgus angles for the cemented 50 mm stem.
Figure 4. Input force, contact force and contact area relative to different varus/valgus angles for the cemented 50 mm stem.
Applsci 13 02738 g004
Figure 5. Average von Mises stresses in four regions of interest ((A): ROI 1, (B): ROI 3, (C): ROI 5, (D): ROI 7) for the different prosthesis features, according to the varus/valgus angles addressed.
Figure 5. Average von Mises stresses in four regions of interest ((A): ROI 1, (B): ROI 3, (C): ROI 5, (D): ROI 7) for the different prosthesis features, according to the varus/valgus angles addressed.
Applsci 13 02738 g005
Table 1. Material properties of the implant components: CoCr = cobalt-chromium alloy, UHMWE = ultra-high-molecular-weight-polyethylene, PMMA = polymethyl-methacrylate.
Table 1. Material properties of the implant components: CoCr = cobalt-chromium alloy, UHMWE = ultra-high-molecular-weight-polyethylene, PMMA = polymethyl-methacrylate.
MaterialMaterial ModelElastic Modulus (MPa)Poisson Ratio
CoCrIsotropic240,0000.30
UHMWIsotropic6850.40
PMMAIsotropic30000.30
Table 2. Material properties of the femoral bone used for all models; the third axis was taken parallel with the anatomical axis of the femur.
Table 2. Material properties of the femoral bone used for all models; the third axis was taken parallel with the anatomical axis of the femur.
MaterialMaterial ModelElastic Modulus (MPa)Poisson Ratio
E1E2E3ν12ν23ν31
Cortical BoneTransversely Isotropic11,50011,50017,0000.510.31031
Cancellous BoneIsotropic2130 0.30
Table 3. Percentages of the total force applied in the different configurations analyzed in the study [11].
Table 3. Percentages of the total force applied in the different configurations analyzed in the study [11].
ConfigurationMedial ForceLateral Force
30° Varus91%9%
20° Varus82%18%
10° Varus64%36%
5° Varus60%40%
Well Aligned55%45%
5° Valgus43%57%
10° Valgus38%62%
20° Valgus8%92%
30° Valgus1%99%
Table 4. Medial and lateral contact forces for the different configurations and for different stem lengths and cementing techniques.
Table 4. Medial and lateral contact forces for the different configurations and for different stem lengths and cementing techniques.
ConfigurationPress Fit 50Cemented 50Press Fit 120Cemented 120
Medial Force(N)Lateral Force (N)Medial Force(N)Lateral Force(N)Medial Force (N)Lateral Force(N)Medial Force (N)Lateral Force (N)
30° Valgus43906419114390540911
20° Valgus89860868678785886864
10° Valgus307651307659310655308657
5° Valgus350619347618348620345620
Well Alligned442532447532443528445532
5° Varus484497486495484488484495
10° Varus517469516462515456517464
20° Varus657314660315660316663316
30° Varus726243726244728243731246
Table 5. Medial and lateral contact areas for the different configurations and for the different stem lengths and cementing techniques.
Table 5. Medial and lateral contact areas for the different configurations and for the different stem lengths and cementing techniques.
ConfigurationPress Fit 50Cemented 50Press Fit 120Cemented 120
Medial Area (mm2)Lateral Area (mm2)Medial Area (mm2)Lateral Area (mm2)Medial Area (mm2)Lateral Area (mm2)Medial Area (mm2)Lateral Area (mm2)
30° Valgus15157151581515915158
20° Valgus28156281562815528156
10° Valgus62132631326213263132
5° Valgus71130711307113070130
Well Alligned79115791157911579115
5° Varus81110811108110981109
10° Varus83107831068310683106
20° Varus9591969195919691
30° Varus10374105741057410574
Table 6. Average von Mises stresses (in MPa) in the different ROIs for the 50 mm press-fit stem.
Table 6. Average von Mises stresses (in MPa) in the different ROIs for the 50 mm press-fit stem.
ConfigurationPress-Fit 50—Average von Mises Stress (MPa)
ROI 1ROI 2ROI 3ROI 4ROI 5ROI 6ROI 7ROI 8
30° Valgus1.731.882.151.821.831.721.791.83
20° Valgus1.621.802.141.811.861.731.811.84
10° Valgus1.501.732.101.811.971.751.931.87
5° Valgus1.521.772.121.852.011.781.961.87
Well Aligned1.701.992.242.012.151.892.061.92
5° Varus1.792.092.292.102.211.952.111.94
10° Varus1.882.182.362.182.272.002.161.96
20° Varus2.392.692.792.632.612.282.392.08
30° Varus2.713.013.082.902.802.442.512.14
Table 7. Average von Mises stresses in the different ROIs for the 120 mm press-fit stem.
Table 7. Average von Mises stresses in the different ROIs for the 120 mm press-fit stem.
ConfigurationPress-Fit 120—Average von Mises Stress (MPa)
ROI 1ROI 2ROI 3ROI 4ROI 5ROI 6ROI 7ROI 8
30° Valgus1.491.652.031.841.851.741.811.81
20° Valgus1.391.571.971.821.861.721.811.81
10° Valgus1.251.461.921.821.981.751.931.83
5° Valgus1.261.501.941.862.021.781.961.85
Well Aligned1.351.672.072.032.161.902.071.89
5° Varus1.411.772.142.122.231.962.131.92
10° Varus1.481.852.222.212.302.022.181.94
20° Varus1.902.322.702.682.652.312.402.06
30° Varus2.152.603.002.952.842.472.532.13
Table 8. Average von Mises stresses in the different ROIs for the 50 mm cemented stem.
Table 8. Average von Mises stresses in the different ROIs for the 50 mm cemented stem.
ConfigurationCemented 50—Average von Mises Stress (MPa)
ROI 1ROI 2ROI 3ROI 4ROI 5ROI 6ROI 7ROI 8
30° Valgus1.671.731.941.651.871.761.751.67
20° Valgus1.571.701.931.691.901.771.771.67
10° Valgus1.561.832.021.892.051.861.831.65
5° Valgus1.611.902.081.972.111.911.871.67
Well Aligned1.812.142.292.212.292.061.991.72
5° Varus1.922.262.402.322.362.122.041.74
10° Varus2.022.362.482.402.422.172.081.76
20° Varus2.522.842.912.822.732.432.281.88
30° Varus2.813.133.183.062.922.582.401.95
Table 9. Average von Mises stresses in the different ROIs for the 120 mm cemented stem.
Table 9. Average von Mises stresses in the different ROIs for the 120 mm cemented stem.
ConfigurationCemented 120—Average von Mises Stress (MPa)
ROI 1ROI 2ROI 3ROI 4ROI 5ROI 6ROI 7ROI 8
30° Valgus1.491.531.751.661.881.761.761.67
20° Valgus1.381.481.721.691.911.781.771.67
10° Valgus1.301.561.791.892.051.871.841.65
5° Valgus1.341.621.851.972.111.911.881.67
Well Aligned1.501.842.062.212.292.051.991.72
5° Varus1.601.952.162.322.362.122.041.74
10° Varus1.682.042.252.412.432.182.091.77
20° Varus2.142.502.702.832.752.442.301.89
30° Varus2.402.782.993.082.942.602.421.96
Disclaimer/Publisher’s Note: The statements, opinions and data contained in all publications are solely those of the individual author(s) and contributor(s) and not of MDPI and/or the editor(s). MDPI and/or the editor(s) disclaim responsibility for any injury to people or property resulting from any ideas, methods, instructions or products referred to in the content.

Share and Cite

MDPI and ACS Style

Bori, E.; Innocenti, B. Biomechanical Analysis of Femoral Stem Features in Hinged Revision TKA with Valgus or Varus Deformity: A Comparative Finite Elements Study. Appl. Sci. 2023, 13, 2738. https://doi.org/10.3390/app13042738

AMA Style

Bori E, Innocenti B. Biomechanical Analysis of Femoral Stem Features in Hinged Revision TKA with Valgus or Varus Deformity: A Comparative Finite Elements Study. Applied Sciences. 2023; 13(4):2738. https://doi.org/10.3390/app13042738

Chicago/Turabian Style

Bori, Edoardo, and Bernardo Innocenti. 2023. "Biomechanical Analysis of Femoral Stem Features in Hinged Revision TKA with Valgus or Varus Deformity: A Comparative Finite Elements Study" Applied Sciences 13, no. 4: 2738. https://doi.org/10.3390/app13042738

APA Style

Bori, E., & Innocenti, B. (2023). Biomechanical Analysis of Femoral Stem Features in Hinged Revision TKA with Valgus or Varus Deformity: A Comparative Finite Elements Study. Applied Sciences, 13(4), 2738. https://doi.org/10.3390/app13042738

Note that from the first issue of 2016, this journal uses article numbers instead of page numbers. See further details here.

Article Metrics

Back to TopTop