On the Uniaxial Compression Testing of Metallic Alloys at High Strain Rates: An Assessment of DEFORM-3D Simulation
Abstract
Featured Application
Abstract
1. Introduction
2. Materials and Methods
2.1. Finite Element Simulation
2.2. Experimental Validation
3. Results
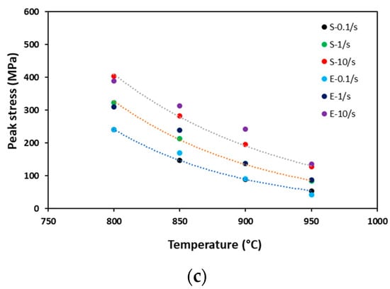
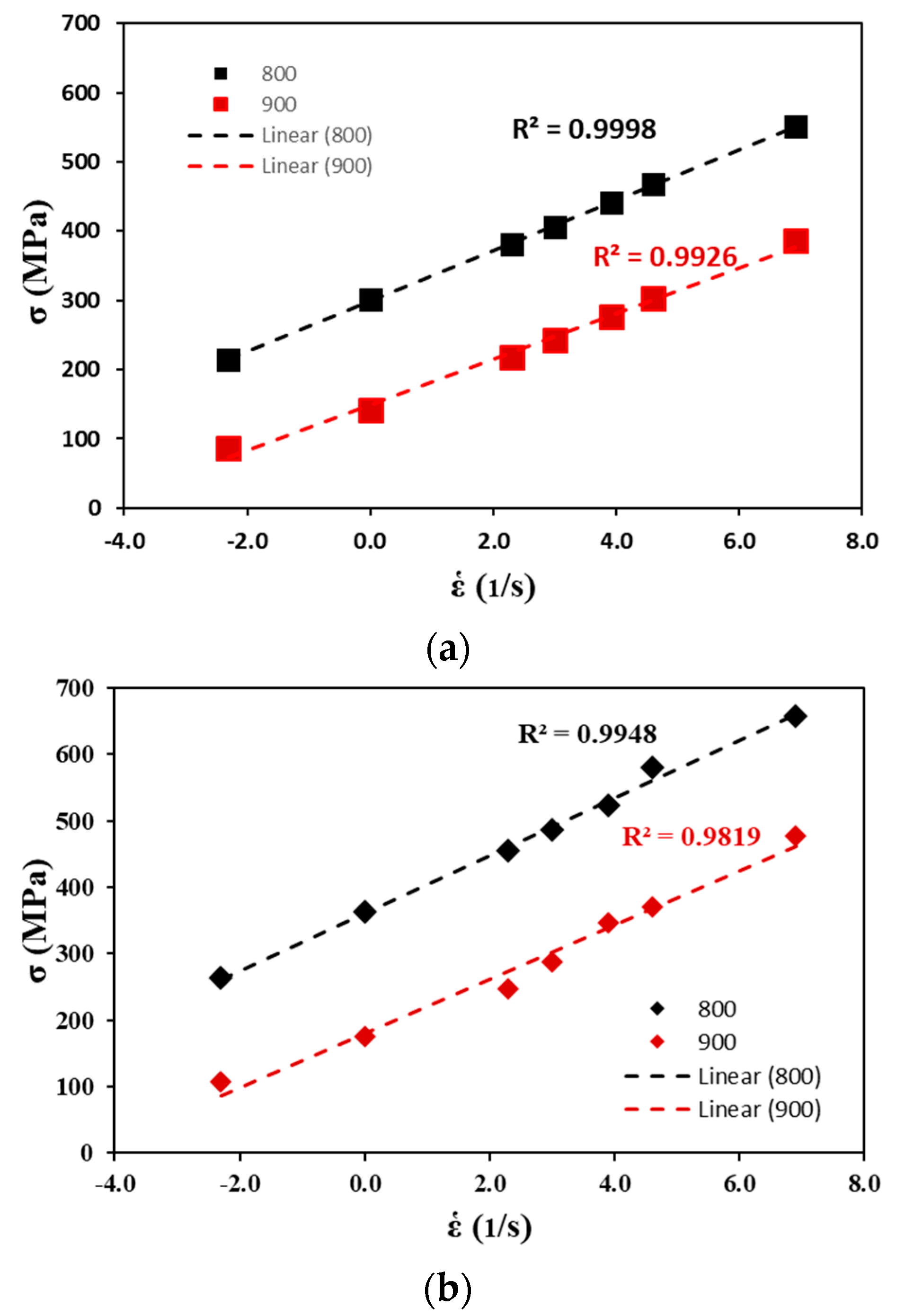
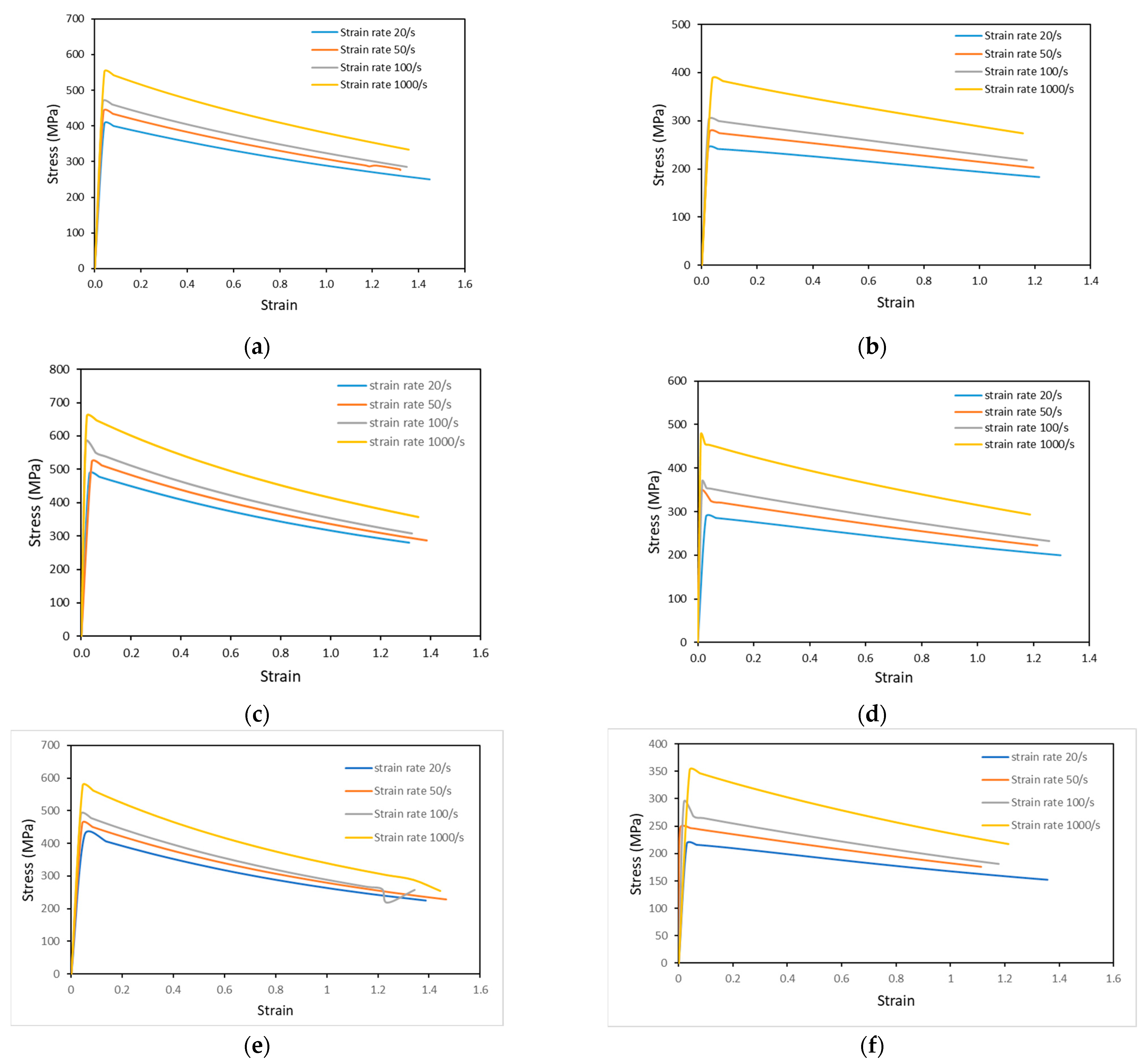
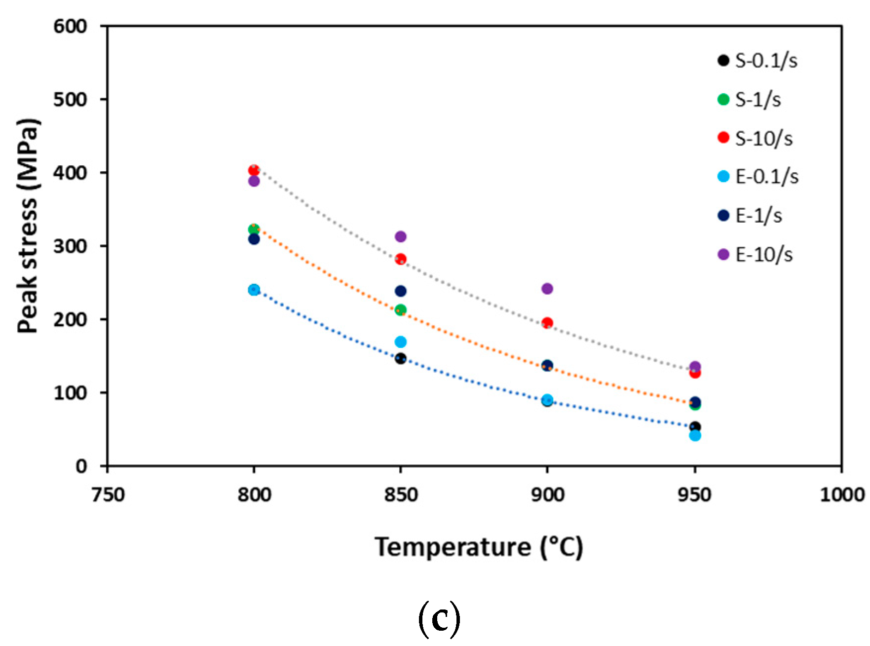
3.1. Flow Stress Prediction Using DEFORM-3D Simulation
3.2. Experimental Validation of Flow Stress Predicted by DEFORM-3D Simulation
4. Discussion
| Processes | Strain | Strain Rates (1/s) |
|---|---|---|
| Extrusion | 2.0–5.0 | 0.1–100 |
| Forging/rolling | 0.10–0.50 | 1–1000 |
| Sheet metal forming | 0.10–0.50 | 0.0001–100 |
| Machining | 1.0–10 | 1000–1,000,000 |
5. Conclusions
- (a)
- DEFORM-3D simulation could be used to conduct uniaxial compression test simulations at high strain rates by using established constitutive parameters from low strain rate uniaxial compression testing experiments. The results showed that the relationship between the DEFORM-3D-generated peak flow stress and all strain rates was linear, with a correlation of at least 0.98.
- (b)
- The peak flow stress values predicted by DEFORM-3D simulation were close to those obtained from experimental testing, but a difference of up to 20% may be expected. This difference can be minimized by improving the constitutive models from which the constitutive constants are derived.
Author Contributions
Funding
Institutional Review Board Statement
Informed Consent Statement
Data Availability Statement
Conflicts of Interest
References
- Dieter, G.E.; Kuhn, H.A.; Semiatin, S.L. (Eds.) Handbook of Workability and Process Design; ASM International: Novelty, OH, USA, 2003. [Google Scholar]
- Prasad, Y.V.R.K.; Rao, K.P.; Sasidhara, S. (Eds.) Hot Working Guide: A Compendium of Processing Maps, 2nd ed.; ASM International: Novelty, OH, USA, 2015. [Google Scholar]
- Bodunrin, M.O. Flow stress prediction using hyperbolic-sine Arrhenius constants optimised by simple generalised reduced gradient refinement. J. Mater. Res. Technol. 2020, 9, 2376–2386. [Google Scholar] [CrossRef]
- Lin, Y.C.; Chen, M.-S.; Zhong, J. Constitutive modeling for elevated temperature flow behavior of 42CrMo steel. Comput. Mater. Sci. 2008, 42, 470–477. [Google Scholar] [CrossRef]
- Lin, Y.C.; Chen, X.-M. A critical review of experimental results and constitutive descriptions for metals and alloys in hot working. Mater. Des. 2011, 32, 1733–1759. [Google Scholar] [CrossRef]
- McQueen, H.J.; Ryan, N.D. Constitutive analysis in hot working. Mater. Sci. Eng. A 2022, 322, 43–63. [Google Scholar] [CrossRef]
- Mirzadeh, H. Simple physically-based constitutive equations for hot deformation of 2024 and 7075 aluminum alloys. Trans. Nonferrous Met. Soc. China 2015, 25, 1614–1618. [Google Scholar] [CrossRef]
- Prasad, Y.V.R.K.; Seshacharyulu, T. Modelling of hot deformation for microstructural control. Int. Mater. Rev. 1998, 43, 243–258. [Google Scholar] [CrossRef]
- Murty, S.V.S.N.; Rao, B.N.; Kashyap, B.P. Development and validation of a processing map for zirconium alloys. Model. Simul. Mater. Sci. Eng. 2002, 10, 503–520. [Google Scholar] [CrossRef]
- Obiko, J.O. Friction correction of flow stress-strain curve in the upsetting process. IOP SciNotes 2021, 2, 014401. [Google Scholar] [CrossRef]
- Chamanfar, A.; Jahazi, M.; Gholipour, J.; Wanjara, P.; Yue, S. Evolution of flow stress and microstructure during isothermal compression of Waspaloy. Mater. Sci. Eng. A 2014, 615, 497–510. [Google Scholar] [CrossRef]
- Gray, G.T.R. High-strain-rate testing of materials: The split-Hopkinson pressure bar. In Characterization of Materials; Kaufmann, E.N., Ed.; John Wiley & Sons, Inc.: Hoboken, NJ, USA, 2012; pp. 1–15. [Google Scholar]
- Mohr, D. Lecture #2: Split Hopkinson Bar Systems. Presented at the Department of Mechanical and Process Engineering, Chair of Computational Modeling of Materials in Manufacturing, Fall 2015. Available online: https://ethz.ch/content/dam/ethz/special-interest/mavt/virtual-manufacturing/ivp-dam/Studium/Vorlesungsunterlagen/Dynamic%20Behavior%20of%20Materials%20and%20Structures/Downloads/Lecture2/Lecture%202.pdf (accessed on 2 February 2023).
- Zakaria, M.; Wu, X. Response of titanium alloys to high strain rate deformation. Mater. Sci. Technol. 2005, 21, 225–231. [Google Scholar] [CrossRef]
- Maloy, S.A.; Gray, G.T. High strain rate deformation of Ti—48Al—2Nb—2Cr. Acta Mater. 1996, 44, 1741–1756. [Google Scholar] [CrossRef]
- Obiko, J.; Mwema, F. Numerical simulation on the effect of sample geometry size on the metal flow behaviour during the forging process. IOP SciNotes 2020, 1, 014401. [Google Scholar] [CrossRef]
- Bodunrin, M.O.; Chown, L.H.; van der Merwe, J.W.; Alaneme, K.K. Hot working of Ti-6Al-4V with a complex initial microstructure. Int. J. Mater. Form. 2019, 12, 857–874. [Google Scholar] [CrossRef]
- Bodunrin, M.O.; Chown, L.H.; van der Merwe, J.W.; Alaneme, K.K. Hot working behaviour of experimental Ti-4.5Al-1 V-3Fe alloy with initial lamellar microstructure. Int. J. Adv. Manuf. Technol. 2020, 106, 1901–1916. [Google Scholar] [CrossRef]
- Bodunrin, M.O.; Chown, L.H.; van der Merwe, J.W.; Alaneme, K.K. On the substitution of vanadium with iron in Ti–6Al–4V: Thermo-Calc simulation and processing map considerations for design of low-cost alloys. Mater. Sci. Eng. A 2020, 791, 139622. [Google Scholar] [CrossRef]
- Bodunrin, M.O. Hot Deformation and Corrosion Behaviour of Low-Cost (a + ß) Titanium Alloys with Aluminium, Vanadium and Iron Additions. Ph.D. Thesis, University of the Witwatersrand, Johannesburg, South Africa, 2018. Available online: http://hdl.handle.net/10539/26579 (accessed on 2 February 2023).
- Bodunrin, M.O.; Chown, L.H.; van der Merwe, J.W.; Alaneme, K.K. Microstructural evolution during hot forming of Ti-6Al-4V alloy with complex initial microstructure. Int. J. Adv. Manuf. Technol. 2019, 104, 3017–3026. [Google Scholar] [CrossRef]
- Li, R.; Shih, A.J. Finite element modeling of 3D turning of titanium. Int. J. Adv. Manuf. Technol. 2006, 29, 253–261. [Google Scholar] [CrossRef]
- Vosough, M.; Schultheiss, F.; Agmell, M.; Ståhl, J.-E. A method for identification of geometrical tool changes during machining of titanium alloy Ti6Al4V. Int. J. Adv. Manuf. Technol. 2013, 67, 339–348. [Google Scholar] [CrossRef]
- Murillo-Marrodán, A.; Puchi-Cabrera, E.S.; García, E.; Dubar, M.; Cortés, F.; Dubar, L. An incremental physically-based model of P91 steel flow behaviour for the numerical analysis of hot-working processes. Metals 2018, 8, 269. [Google Scholar] [CrossRef]
- Zhang, W.; Yang, Q.; Tan, Y.; Yang, Y.; Xiang, S.; Zhao, F. Study on the dynamic recrystallization behavior of 47Zr-45Ti-5Al-3V alloy by CA–FE simulation. Materials 2021, 14, 2562. [Google Scholar] [CrossRef]
- Svyetlichnyy, D.; Nowak, J.; Biba, N.; Lach, L. Flow stress models for deformation under varying condition—Finite element method simulation. Int. J. Adv. Manuf. Technol. 2016, 87, 543–552. [Google Scholar] [CrossRef]
- Mwema, F.M.; Obiko, J.O.; Akinlabi, E.T.; Akinlabi, S.A.; Fatoba, O.S. Effect of punch force on the upsetting deformation process using three-dimensional finite element analysis. J. Phys. Conf. Ser. 2019, 1378, 032094. [Google Scholar] [CrossRef]
- Petrov, P.; Petrov, M.; Vasileva, E.; Dubinchin, A. Research on friction during hot deformation of Al-alloys at high strain rate. Int. J. Mater. Form. 2008, 1, 1255–1258. [Google Scholar] [CrossRef]
- Odenberger, E.-L.; Oldenburg, M.; Thilderkvist, P.; Stoehr, T.; Lechler, J.; Merklein, M. Tool development based on modelling and simulation of hot sheet metal forming of Ti–6Al–4V titanium alloy. J. Mater. Process. Technol. 2011, 211, 1324–1335. [Google Scholar] [CrossRef]
- Jaspers, S.P.F.C.; Dautzenberg, J.H. Material behaviour in metal cutting: Strains, strain rates and temperatures in chip formation. J. Mater. Process. Technol. 2002, 121, 123–135. [Google Scholar] [CrossRef]
- Alabort, E.; Putman, D.; Reed, R.C. Superplasticity in Ti–6Al–4V: Characterisation, modelling and applications. Acta Mater. 2015, 95, 428–442. [Google Scholar] [CrossRef]
- Obiko, J.O.; Mwema, M.F.; Bodunrin, M.O. Validation and optimization of cutting parameters for Ti-6Al-4V turning operation using DEFORM 3D simulations and Taguchi method. Manuf. Rev. 2021, 8, 5. [Google Scholar] [CrossRef]
- Chen, X.; Si, Y.; Bai, R.; Zhang, X.; Li, Z. Hot formability study of Cr5 alloy steel by integration of FEM and 3D processing maps. Materials 2022, 15, 4801. [Google Scholar] [CrossRef]
- Sulzbach, G.A.d.S.; Rodrigues, M.V.G.; Rodrigues, S.F.; Lima, M.N.d.S.; Loureiro, R.d.C.P.; de Sá, D.F.S.; Aranas, C.; Macedo, G.M.E.; Siciliano, F.; de Abreu, H.F.G.; et al. Optimization of thermomechanical processing under double-pass hot compression tests of a high Nb and N-bearing austenitic stainless-steel biomaterial using artificial neural networks. Metals 2022, 12, 1783. [Google Scholar] [CrossRef]
- Quan, G.-Z.; Pan, J.; Wang, X. Prediction of the hot compressive deformation behavior for superalloy nimonic 80A by BP-ANN model. Appl. Sci. 2016, 6, 66. [Google Scholar] [CrossRef]
- Zhou, M.; Hu, R.; Yang, J.; Wang, C.; Wen, M. Determination of constitutive equation and thermo–mechanical processing map for pure iridium. Metals 2020, 10, 1087. [Google Scholar] [CrossRef]
- Cho, J.; Song, S.-H. Modeling hot deformation of 5005 aluminum alloy through locally constrained regression models with logarithmic transformations. Appl. Sci. 2022, 12, 152. [Google Scholar] [CrossRef]
- Chen, F.; Qu, H.; Wu, W.; Zheng, J.-H.; Qu, S.; Han, Y.; Zheng, K. A physical-based plane stress constitutive model for high strength AA7075 under hot forming conditions. Metals 2021, 11, 314. [Google Scholar] [CrossRef]







| Ti Alloy | α | β | n′ | n | Q (kJ/mol) | A |
|---|---|---|---|---|---|---|
| Ti-4.5Al-1V-3Fe | 0.008 | 0.04 | 4.958 | 3.335 | 465 | 1.20 × 1020 |
| Ti-6Al-1V-3Fe | 0.006 | 0.03 | 5.595 | 3.808 | 487 | 1.50 × 1021 |
| Ti-6Al-4V | 0.005 | 0.04 | 7.569 | 5.057 | 620 | 1.44 × 1028 |
| Number | Description | Value |
|---|---|---|
| 1 | Workpiece material | Titanium alloys |
| 2 | Workpiece height (mm) | 12 |
| 3 | Workpiece diameter (mm) | 8 |
| 4 | Strain rate (/s) | 0.1, 1, 10, 15, 20, 50 |
| 5 | Workpiece temperature (°C) | 800, 850, 900, 950 |
| 6 | Initial die temperature (°C) | 200 |
| 7 | Coefficient of heat convection (N/(s.mm.°C)) | 0.02 |
| 8 | Coefficient of heat transfer (N/(s.mm. °C)) | 5 |
| 9 | Coefficient of friction (lubricated) | 0.3 |
| 10 | Finite element method elements | 26,247 |
| 11 | Element nodes | 5352 |
| 12 | Simulation environment (°C) | 25 |
| 13 | Friction type | shear |
| Strain Rate (1/s) | Ln Strain Rate (1/s) | Simulated Peak Stress | Experimental Peak Stress * | Difference (%) |
|---|---|---|---|---|
| 900 °C | 900 °C | |||
| 0.1 | −2.302585 | 89.8 | 88 | 2.05 |
| 1 | 0 | 137.1 | 138 | 0.65 |
| 10 | 2.3025851 | 196 | 243 | 19.3 |
| 20 | 2.9957323 | 217.6 | 247.8 | 12.2 |
| 50 | 3.9120230 | 246.3 | 262.7 | 6.2 |
| 100 | 4.6051702 | 293.3 | - | - |
| 1000 | 6.9077553 | 351.8 | - | - |
Disclaimer/Publisher’s Note: The statements, opinions and data contained in all publications are solely those of the individual author(s) and contributor(s) and not of MDPI and/or the editor(s). MDPI and/or the editor(s) disclaim responsibility for any injury to people or property resulting from any ideas, methods, instructions or products referred to in the content. |
© 2023 by the authors. Licensee MDPI, Basel, Switzerland. This article is an open access article distributed under the terms and conditions of the Creative Commons Attribution (CC BY) license (https://creativecommons.org/licenses/by/4.0/).
Share and Cite
Bodunrin, M.; Obiko, J.; Klenam, D. On the Uniaxial Compression Testing of Metallic Alloys at High Strain Rates: An Assessment of DEFORM-3D Simulation. Appl. Sci. 2023, 13, 2686. https://doi.org/10.3390/app13042686
Bodunrin M, Obiko J, Klenam D. On the Uniaxial Compression Testing of Metallic Alloys at High Strain Rates: An Assessment of DEFORM-3D Simulation. Applied Sciences. 2023; 13(4):2686. https://doi.org/10.3390/app13042686
Chicago/Turabian StyleBodunrin, Michael, Japheth Obiko, and Desmond Klenam. 2023. "On the Uniaxial Compression Testing of Metallic Alloys at High Strain Rates: An Assessment of DEFORM-3D Simulation" Applied Sciences 13, no. 4: 2686. https://doi.org/10.3390/app13042686
APA StyleBodunrin, M., Obiko, J., & Klenam, D. (2023). On the Uniaxial Compression Testing of Metallic Alloys at High Strain Rates: An Assessment of DEFORM-3D Simulation. Applied Sciences, 13(4), 2686. https://doi.org/10.3390/app13042686

