Evaluation of Cutting Performance of a TBM Disc Cutter and Cerchar Abrasivity Index Based on the Brittleness and Properties of Rock
Abstract
1. Introduction
2. Material and Methodology
2.1. Linear Cutting Machine (LCM) Test
2.2. Cerchar Abrasivity Index Test

3. Results and Discussions
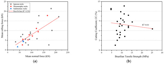
3.1. Cutter Force
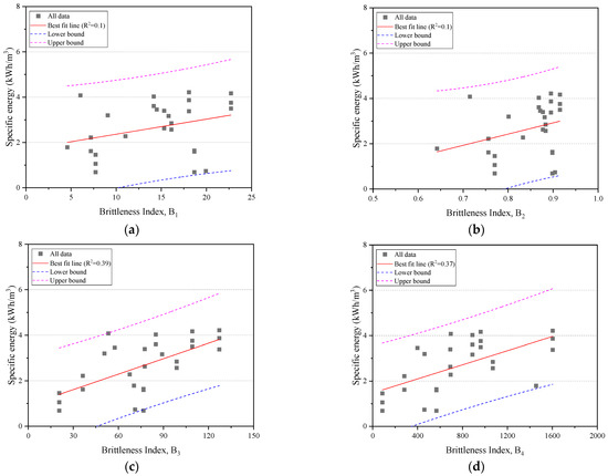
3.2. Specific Energy
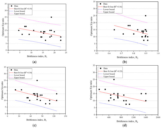
3.3. Optimum s/p Ratio
3.4. Abrasivity of Rock
4. Conclusions
- The normal force of a disc cutter was correlated with the UCS and BTS of rocks. It also had a good linear relationship with the brittleness indices, especially with B1.
- Among the four brittleness indices, B3 and B4 were correlated with the optimum specific energy; additionally, it was found that the optimum specific energy was highly correlated with the UCS of rocks. In addition, the specific energy had positive relationships with the penetration depth, UCS, BTS, and brittleness indices, while it had negative relationships with the cutter spacing.
- The optimum s/p ratio was found to range from 7.5 to 18 in the current LCM database, and it had negative linear relationships with brittleness and the UCS of rocks.
- It was found that the CAI was slightly correlated with the brittleness indices, and that it was highly correlated with the EQC. A significant linear relationship between the CAI and EQC was found. Furthermore, the CAI prediction models featuring the EQC showed high predictability.
Author Contributions
Funding
Institutional Review Board Statement
Informed Consent Statement
Data Availability Statement
Conflicts of Interest
References
- Altindag, R. Correlation of specific energy with rock brittleness concepts on rock cutting. J. S. Afr. Inst. Min. Metall. 2003, 103, 163–171. [Google Scholar]
- Gong, Q.M.; Zhao, J. Influence of rock brittleness on TBM penetration rate in Singapore granite. Tunn. Undergr. Space Technol. 2007, 22, 317–324. [Google Scholar] [CrossRef]
- Yagiz, S. Assessment of brittleness using rock strength and density with punch penetration test. Tunn. Undergr. Space Technol. 2009, 24, 66–74. [Google Scholar] [CrossRef]
- Jeong, H.Y.; Cho, J.W.; Jeon, S.; Rostami, J. Performance assessment of hard rock TBM and rock boreability using punch penetration test. Rock Mech. Rock Eng. 2016, 49, 1517–1532. [Google Scholar] [CrossRef]
- Meng, F.Z.; Wong, L.; Zhou, H. Rock brittleness indices and their applications to different fields of rock engineering: A review. J. Rock Mech. Geotech. 2021, 13, 221–247. [Google Scholar] [CrossRef]
- Meng, F.; Zhou, H.; Zhang, C.; Xu, R.; Lu, J. Evaluation methodology of brittleness of rock based on postpeak stress-strain curves. Rock Mech. Rock Eng. 2015, 48, 1787–1805. [Google Scholar] [CrossRef]
- Hucka, V.; Das, B. Brittleness Determination of Rocks by Different Methods. Int. J. Rock Mech. Min. Sci. Geomech. Abstr. 1974, 11, 389–392. [Google Scholar] [CrossRef]
- Altindag, R. Assessment of some brittleness indexes in rock-drilling efficiency. Rock Mech. Rock Eng. 2010, 43, 361–370. [Google Scholar] [CrossRef]
- Özfırat, M.K.; Yenice, H.; Şimşir, H.; Yarali, O. A new approach to rock brittleness and its usability at prediction of drillability. J. Afr. Earth Sci. 2016, 119, 94–101. [Google Scholar] [CrossRef]
- Kahraman, S.; Altindag, R. A brittleness index to estimate fracture toughness. Int. J. Rock Mech. Min. Sci. 2004, 41, 343–348. [Google Scholar] [CrossRef]
- Jeong, H.; Jeon, S. Characteristic of size distribution of rock chip produced by rock cutting with a pick cutter. Geomech. Eng. 2018, 15, 811–822. [Google Scholar]
- Gehring, K.H. Prognosis of advanced rates and wear for underground mechanized excavations. Felsbau 1995, 13, 439–448. [Google Scholar]
- Bruland, A. Hard rock tunnel boring–Advance rate and cutter wear, Project report 1B-98, NTNU. Trondheim Nor. Inst. Technol. 1998, 3, 83. [Google Scholar]
- Rostami, J.; Ozdemir, L.; Bruland, A.; Dahl, F. Review of issues related to cerchar abrasivity testing and their implications on geotechnical investigations and cutter cost estimates. In Proceedings of the Rapid Excavation and Tunneling Conference (RETC), Seattle, WA, USA, 27–29 June 2005; pp. 738–751. [Google Scholar]
- Hassanpour, J.; Rostami, J.; Azali, S.T.; Zhao, J. Introduction of an empirical TBM cutter wear prediction model for pyroclastic and mafic igneous rocks; a case history of Karaj water conveyance tunnel, Iran. Tunn. Undergr. Space Technol. 2014, 43, 222–231. [Google Scholar] [CrossRef]
- Farraokh, E.; Kim, D.Y. 2018, A discussion on hard rock TBM cutter wear and cutterhead intervention interval length evaluation. Tunn. Undergr. Space Technol. 2008, 23, 351–359. [Google Scholar]
- Elbaz, K.; Shen, S.L.; Zhou, A.; Yin, Z.Y.; Lyu, H.M. Prediction of disc cutter life during shield tunneling with AI via the incorporation of a genetic algorithm into a GMDH-type neural network. Engineering 2021, 7, 238–251. [Google Scholar] [CrossRef]
- Zhang, N.; Shen, S.L.; Zhou, A. A new index for cutter life evaluation and ensemble model for prediction of cutter wear. Tunn. Undergr. Space Technol. 2023, 131, 104830. [Google Scholar] [CrossRef]
- Atkinson, T.; Cassapi, V.B.; Singh, R.N. Assessment of abrasive wear resistance potential in rock excavation machinery. Int. J. Min. Geol. Eng. 1986, 3, 151–163. [Google Scholar] [CrossRef]
- Al-Ameen, S.I.; Waller, M.D. The influence of rock strength and abrasive mineral content on the Cerchar abrasive index. Eng. Geol. 1994, 36, 293–301. [Google Scholar] [CrossRef]
- Plinninger, R.J.; Kasling, H.; Thuro, K.; Spaun, G. Testing conditions and geomechanical properties influencing the cerchar abrsivity index (CAI) value. Int. J. Rock Mech. Min. Sci. 2003, 40, 259–263. [Google Scholar] [CrossRef]
- Alber, M. Stress dependency of the Cerchar abrasivity index (CAI) and its effects on wear of selected rock cutting tools. Tunn. Undergr. Space Technol. 2008, 23, 351–359. [Google Scholar] [CrossRef]
- Massalov, T.; Yagiz, S.; Rostami, J. Relationship between key rock properties and Cerchar abrasivity index for estimation of disc cutter wear life in rock tunneling applications. In Proceedings of the Eurock 2020, Trondheim, Norway, 14–19 June 2020. [Google Scholar]
- Mossalov, T.; Yagiz, S.; Adoko, A.C. Application of soft computing techniques to estimate cutter life index using mechanical properties of rocks. Appl. Sci. 2022, 12, 1446. [Google Scholar] [CrossRef]
- Ko, T.Y.; Lee, S.S. Effect of rock abrasiveness on wear of shield tunnelling in Bukit Timah granite. Appl. Sci. 2020, 10, 3231. [Google Scholar] [CrossRef]
- Goktan, R.M. Brittleness and micro-scale rock cutting efficiency. Int. J. Min. Sci. Technol. 1991, 13, 237–241. [Google Scholar] [CrossRef]
- Kahraman, S. Correlation of TBM and drilling machine performances with rock brittleness. Eng. Geol. 2002, 65, 269–283. [Google Scholar]
- Goktan, R.M.; Yilmaz, N.G. A new methodology for the analysis of the relationship between rock brittleness index and drag pick cutting efficiency, J.S. Afr. Inst. Min. Metall. 2005, 105, 727–734. [Google Scholar]
- Chang, S.H.; Choi, S.W.; Bae, G.J.; Jeon, S. Performance prediction of TBM disc cutting on granitic rock by the linear cutting test. Tunn. Undergr. Sp. Technol. 2006, 21, 271. [Google Scholar] [CrossRef]
- Jeong, H.Y.; Jeon, S.W.; Cho, J.W.; Chang, S.H.; Bae, G.J. Assessment of cutting performance of a TBM disc cutter for anisotropic rock by linear cutting test. Tunn. Undergr. Space 2011, 21, 508–517. [Google Scholar]
- Cho, J.W.; Jeon, S.; Yu, S.H.; Chang, S.H. Optimum spacing of TBM disc cutters: A numerical simulation using the three-dimensional dynamic fracturing method. Tunn. Undergr. Sp. Technol. 2010, 25, 230–244. [Google Scholar] [CrossRef]
- Hassanpour, J.; Rostami, J.; Khamehchiyan, M.; Bruland, A.; Tavakoli, H.R. TBM performance analysis in pyroclastic rocks: A case history of Karaj water conveyance tunnel. Rock Mech. Rock Eng. 2010, 43, 427–445. [Google Scholar] [CrossRef]
- D7625-10; Standard test method for laboratory determination of abrasiveness of rock using the CERCHAR Method. ASTM: Montgomery County, PA, USA, 2010.
- Lee, S.D.; Jung, H.Y.; Jeon, S.W. Determination of rock abrasiveness using Cerchar abrasiveness test. Tunn. Undergr. Space 2012, 22, 284–295. [Google Scholar] [CrossRef]
- Rostami, J.; Ghasemi, A.; Gharahbagh, E.A.; Dogrouz, C.; Dahl, F. Study of dominant factors affecting cerchar abrasivity index. Rock Mech. Rock Eng. 2014, 47, 1905–1919. [Google Scholar] [CrossRef]
- Snowdon, R.A.; Ryley, M.D.; Temporal, J. A study of disc cutting in selected British rocks. Int. J. Rock Mech. Min. Sci. Geomech. Abstr. 1982, 19, 107–121. [Google Scholar] [CrossRef]
- Pan, Y.; Liu, Q.; Peng, X.; Liu, Q.; Liu, J.; Huang, X.; Cui, X.; Cai, T. Full-scale linear cutting tests to propose some empirical formulas for TBM disc cutter performance prediction. Rock Mech. Rock Eng. 2019, 52, 4763–4783. [Google Scholar] [CrossRef]
- Gertsch, R.; Gertsch, L.; Rostami, J. Disc cutting tests in Colorado Red Granite: Implications for TBM performance prediction. Int. J. Rock Mech. Min. Sci. 2007, 44, 238–246. [Google Scholar] [CrossRef]
- Hassanpour, J.; Rostami, J.; Zhao, G. A new hard rock TBM performance prediction model for project planning. Tunn. Undergr. Space Technol. 2011, 26, 595–603. [Google Scholar] [CrossRef]
- Mohammadi, S.D.; Torabi-Kaveh, M.; Bayati, M. Prediction of TBM penetration rate using intact and mass rock properties (case study: Zagros long tunnel, Iran). Arab. J. Geosci. 2015, 8, 3893–3904. [Google Scholar] [CrossRef]
- Tumac, D.; Balci, C. Investigations into the cutting characteristics of CCS type disc cutters and the comparison between experimental, theoretical and empirical force estimations. Tunn. Undergr. Space Technol. 2015, 45, 84–98. [Google Scholar] [CrossRef]
- Moradizadeh, M.; Cheshomi, A.; Ghafoori, M.; TrighAzali, S. Correlation of equivalent quartz content, Slake durability index and Is50 with Cerchar abrasiveness index for different types of rock. Int. J. Rock Mech. Min. Sci. 2016, 86, 42–47. [Google Scholar] [CrossRef]
- Zhao, J.; Gong, Q.M.; Eisenten, Z. Tunnelling through a frequently changing and mixed ground: A case history in Singapore. Tunn. Undergr. Space Technol. 2007, 22, 388–400. [Google Scholar] [CrossRef]
- Elbaz, K.; Shen, S.L.; Cheng, J.W.C.; Arulrajah, A.; Shirlaw, N. Cutter-disc consumption during earth pressure balance tunnelling in mixed strata. ICE Proc. Geotech. Eng. 2018, 171, 1–11. [Google Scholar] [CrossRef]
- Zhao, Y.; Yang, H.; Chen, Z.; Chen, X.; Huang, L.; Liu, S. Effects of Jointed Rock Mass and Mixed Ground Conditions on the Cutting Efficiency and Cutter Wear of Tunnel Boring Machine. Rock Mech. Rock Eng. 2018, 52, 1303–1313. [Google Scholar] [CrossRef]
- Ren, D.J.; Shen, S.L.; Arulrajah, A.; Cheng, W.C. Prediction model of TBM disc cutter wear during tunnelling in heterogeneous ground. Rock Mech. Rock Eng. 2018, 51, 3599–3611. [Google Scholar] [CrossRef]
- Thuro, K. Drillability prediction: Geological influences in hard rock drill and blast tunnelling. Geol. Rundsch 1997, 86, 426–438. [Google Scholar] [CrossRef]
- Kotwica, K.; Malkowski, P. Methods of mechanical mining of compact-rock-A comparison of efficiency and energy consumption. Energies 2019, 12, 3562. [Google Scholar] [CrossRef]











| Definition of Rock Brittleness | References |
|---|---|
| [7] | |
| [7] | |
| [9] | |
| [1] | |
| [8] |
| Rock Type | UCS (MPa) | BTS (MPa) | B1 | B2 | B3 | B4 |
|---|---|---|---|---|---|---|
| Granite #1 | 209.0 | 9.2 | 22.71 | 0.915 | 109.1 | 961.4 |
| Granite #2 | 91.3 | 10.1 | 9.06 | 0.801 | 50.7 | 461.1 |
| Granite #3 | 107.6 | 7.4 | 14.48 | 0.871 | 57.5 | 398.1 |
| Granite #4 | 135.3 | 6.8 | 19.93 | 0.904 | 71.1 | 460.0 |
| Granite #5 | 36.5 | 4.7 | 7.71 | 0.770 | 20.6 | 85.8 |
| Granite #6 | 145.5 | 7.8 | 18.65 | 0.898 | 76.7 | 567.5 |
| Diorite | 158.5 | 11.2 | 14.15 | 0.868 | 84.9 | 887.6 |
| Felsite | 145.5 | 9.5 | 15.31 | 0.877 | 77.5 | 691.1 |
| Gneiss #1 | 167.5 | 10.6 | 15.80 | 0.881 | 89.1 | 887.8 |
| Gneiss #2 | 91.5 | 15.2 | 6.03 | 0.715 | 53.4 | 695.4 |
| Gneiss #3 | 123.8 | 11.2 | 11.02 | 0.833 | 67.5 | 693.3 |
| Gneiss #4 | 241.0 | 13.3 | 18.05 | 0.895 | 127.2 | 1602.7 |
| Gneiss #5 | 186.0 | 11.5 | 16.12 | 0.883 | 98.8 | 1069.5 |
| Tuff | 115.5 | 25.2 | 4.58 | 0.642 | 36.2 | 1455.3 |
| Limestone | 63.6 | 8.86 | 7.18 | 0.756 | 36.2 | 281.7 |
| Rock Type | p 1 (mm) | Sopt 1 (mm) | MNF 2 (kN) | MRF 2 (kN) | SEopt 1 (kWh/m3) | BI 1 (kN/mm) |
|---|---|---|---|---|---|---|
| Granite #1 | 4 | 40 | 122.0 | 5.8 | 4.17 | 30.50 |
| Granite #1 | 6 | 60 | 184.2 | 10.1 | 3.76 | 30.70 |
| Granite #1 | 8 | 60 | 212.5 | 17.2 | 3.50 | 26.56 |
| Granite #2 | 4 | 48 | 74.0 | 5.6 | 3.20 | 18.50 |
| Granite #3 | 4 | 40 | 90.8 | 5.5 | 3.46 | 22.70 |
| Granite #4 | 5 | 70 | 171.3 | 2.6 | 0.74 | 34.26 |
| Granite #5 | 4 | 72 | 32.9 | 4.2 | 1.46 | 8.23 |
| Granite #5 | 6 | 108 | 55 | 6.9 | 1.06 | 9.17 |
| Granite #5 | 8 | 144 | 62.4 | 8.0 | 0.69 | 7.80 |
| Granite #6 | 3 | 75 | 75.1 | 3.7 | 1.64 | 25.03 |
| Granite #6 | 5 | 75 | 85.7 | 2.6 | 0.69 | 17.14 |
| Granite #6 | 7 | 75 | 94.8 | 8.4 | 1.60 | 13.54 |
| Diorite | 5 | 70 | 126.2 | 14.1 | 4.03 | 25.24 |
| Diorite | 7 | 70 | 129.8 | 17.7 | 3.61 | 18.54 |
| Felsite | 5 | 70 | 94.6 | 9.2 | 2.63 | 18.92 |
| Felsite | 7 | 90 | 180.6 | 21.4 | 3.40 | 25.80 |
| Gneiss #1 | 5 | 70 | 119.7 | 11.1 | 3.17 | 23.94 |
| Gneiss #2 | 4 | 48 | 89.7 | 7.8 | 4.08 | 22.43 |
| Gneiss #3 | 4 | 60 | 63.2 | 5.5 | 2.28 | 15.80 |
| Gneiss #4 | 4 | 60 | 103 | 7.2 | 4.22 | 25.75 |
| Gneiss #4 | 6 | 60 | 127.1 | 9.4 | 3.87 | 21.18 |
| Gneiss #4 | 8 | 80 | 165.4 | 17.8 | 3.38 | 20.68 |
| Gneiss #5 | 4 | 30 | 61.5 | 2.6 | 2.57 | 15.38 |
| Gneiss #5 | 6 | 45 | 84.8 | 5.2 | 2.85 | 14.13 |
| Tuff | 4 | 60 | 65.6 | 4.3 | 1.79 | 16.40 |
| Limestone | 2 | 36 | 41.4 | 1.6 | 2.22 | 20.70 |
| Limestone | 4 | 72 | 63.6 | 4.7 | 1.62 | 15.90 |
| Origin | Rock Type | UCS (MPa) | BTS (MPa) | EQC | CAI | B1 | B2 | B3 | B4 |
|---|---|---|---|---|---|---|---|---|---|
| Igneous | Granite #1 | 178.4 | 8.2 | 58.3 | 3.001 | 21.75 | 0.912 | 93.3 | 731.4 |
| Granite #2 | 145.9 | 7.8 | 64.1 | 2.753 | 18.61 | 0.898 | 76.9 | 569.0 | |
| Granite #3 | 135.3 | 6.8 | 43.0 | 2.688 | 19.93 | 0.904 | 71.1 | 460.0 | |
| Granite #4 | 170.9 | 9.0 | 64.5 | 2.902 | 19.08 | 0.900 | 90.0 | 769.1 | |
| Granite #5 | 176.7 | 8.3 | 59.5 | 3.061 | 21.43 | 0.911 | 92.5 | 733.3 | |
| Granite #6 | 151.3 | 10.2 | 64.0 | 2.410 | 14.89 | 0.874 | 80.8 | 771.6 | |
| Granite #7 | 173.6 | 6.9 | 59.1 | 2.555 | 25.20 | 0.924 | 90.3 | 598.9 | |
| Granite #8 | 121.5 | 6.2 | 62.4 | 3.184 | 19.77 | 0.904 | 63.9 | 376.7 | |
| Granite #9 | 163.6 | 9.8 | 63.6 | 3.217 | 16.65 | 0.887 | 86.7 | 801.6 | |
| Granite #10 | 34.9 | 1.6 | 61.7 | 2.599 | 22.22 | 0.914 | 18.3 | 27.9 | |
| Diorite | 235.3 | 14.8 | 36.6 | 2.658 | 15.86 | 0.881 | 125.1 | 1741.2 | |
| Gabbro | 110.0 | 7.8 | 38.3 | 2.625 | 14.03 | 0.867 | 59.9 | 429.0 | |
| Diabase | 234.5 | 14.2 | 39.4 | 2.658 | 16.58 | 0.886 | 124.4 | 1664.9 | |
| Porphyry | 195.6 | 14.3 | 44.6 | 2.422 | 13.65 | 0.863 | 105.0 | 1398.5 | |
| Metamorphic | Gneiss #1 | 126.9 | 7.5 | 6.6 | 0.690 | 15.41 | 0.878 | 67.2 | 475.9 |
| Gneiss #2 | 162.7 | 17.5 | 47.3 | 2.208 | 15.70 | 0.880 | 90.1 | 1423.6 | |
| Gneiss #3 | 125.3 | 9.1 | 30.4 | 1.286 | 5.60 | 0.670 | 67.2 | 570.1 | |
| Gneiss #4 | 115.8 | 17.8 | 70.7 | 2.683 | 17.91 | 0.894 | 66.8 | 1030.6 | |
| Gneiss #5 | 65.6 | 13.0 | 52.2 | 2.708 | 12.23 | 0.849 | 39.3 | 426.4 | |
| Gneiss #6 | 162.2 | 9.1 | 81.2 | 2.946 | 9.34 | 0.807 | 85.7 | 738.0 | |
| Gneiss #7 | 223.1 | 18.2 | 50.8 | 2.792 | 13.94 | 0.866 | 120.7 | 2030.2 | |
| Gneiss #8 | 173.6 | 6.9 | 59.1 | 2.555 | 16.57 | 0.886 | 90.3 | 598.9 | |
| Gneiss #9 | 153.1 | 16.4 | 51.1 | 3.030 | 12.66 | 0.854 | 84.8 | 1255.4 | |
| Amphibole | 121.5 | 6.2 | 62.4 | 3.184 | 22.36 | 0.914 | 63.9 | 376.7 | |
| Propylite | 163.5 | 9.8 | 63.6 | 3.217 | 13.48 | 0.862 | 86.7 | 801.1 | |
| Sedimentary | Dolomite | 147.5 | 10.6 | 73.0 | 2.346 | 13.17 | 0.859 | 79.1 | 781.8 |
| Limestone | 34.9 | 1.6 | 61.7 | 2.599 | 16.97 | 0.889 | 18.3 | 27.9 | |
| Sandstone | 179.7 | 10.9 | 50.7 | 2.613 | 9.30 | 0.806 | 95.3 | 979.4 | |
| Shale | 153.2 | 12.1 | 55.6 | 2.744 | 13.85 | 0.865 | 82.7 | 926.9 | |
| Tuff | 179.8 | 8.0 | 47.8 | 2.799 | 6.50 | 0.733 | 93.9 | 719.2 |
| Model | Input Parameters | Equations |
|---|---|---|
| 1 | B1, p, S | (R2 = 0.66) |
| 2 | B2, p | (R2 = 0.63) |
| 3 | B3, p, S | (R2 = 0.65) |
| 4 | B4, p, S | (R2 = 0.55) |
| 5 | UCS, BTS, p, S | (R2 = 0.70) |
| Input Parameters | Equations |
|---|---|
| B3, p, S | (R2 = 0.44) |
| B4, p, S | (R2 = 0.47) |
| UCS, p, S | (R2 = 0.43) |
| UCS, BTS, p, S | (R2 = 0.47) |
| Input Parameters | Equations | |
|---|---|---|
| B1, EQC | (R2 = 0.59) | |
| B2, EQC | (R2 = 0.59) | |
| B3, EQC | (R2 = 0.61) | |
| B4, EQC | (R2 = 0.60) | |
| UCS, EQC | (R2 = 0.61) | |
Disclaimer/Publisher’s Note: The statements, opinions and data contained in all publications are solely those of the individual author(s) and contributor(s) and not of MDPI and/or the editor(s). MDPI and/or the editor(s) disclaim responsibility for any injury to people or property resulting from any ideas, methods, instructions or products referred to in the content. |
© 2023 by the authors. Licensee MDPI, Basel, Switzerland. This article is an open access article distributed under the terms and conditions of the Creative Commons Attribution (CC BY) license (https://creativecommons.org/licenses/by/4.0/).
Share and Cite
Jeong, H.; Choi, S.; Lee, Y.-K. Evaluation of Cutting Performance of a TBM Disc Cutter and Cerchar Abrasivity Index Based on the Brittleness and Properties of Rock. Appl. Sci. 2023, 13, 2612. https://doi.org/10.3390/app13042612
Jeong H, Choi S, Lee Y-K. Evaluation of Cutting Performance of a TBM Disc Cutter and Cerchar Abrasivity Index Based on the Brittleness and Properties of Rock. Applied Sciences. 2023; 13(4):2612. https://doi.org/10.3390/app13042612
Chicago/Turabian StyleJeong, Hoyoung, Seungbeom Choi, and Yong-Ki Lee. 2023. "Evaluation of Cutting Performance of a TBM Disc Cutter and Cerchar Abrasivity Index Based on the Brittleness and Properties of Rock" Applied Sciences 13, no. 4: 2612. https://doi.org/10.3390/app13042612
APA StyleJeong, H., Choi, S., & Lee, Y.-K. (2023). Evaluation of Cutting Performance of a TBM Disc Cutter and Cerchar Abrasivity Index Based on the Brittleness and Properties of Rock. Applied Sciences, 13(4), 2612. https://doi.org/10.3390/app13042612

